PIV Experimental Research and Numerical Simulation of the Pigging Process
Abstract
1. Introduction
2. Research Methods
2.1. Experimental Planning and Working Condition
2.2. The Measurement Scheme
2.2.1. The Liquid-Phase Measurement Scheme
2.2.2. Measurement Process
2.2.3. The Gas-Phase Measurement Scheme
2.3. Simulation Model Settings
2.4. Control Differential Equations and Turbulence Models
2.5. The Gas–Liquid Two-Phase Flow Model
3. Results and Discussion
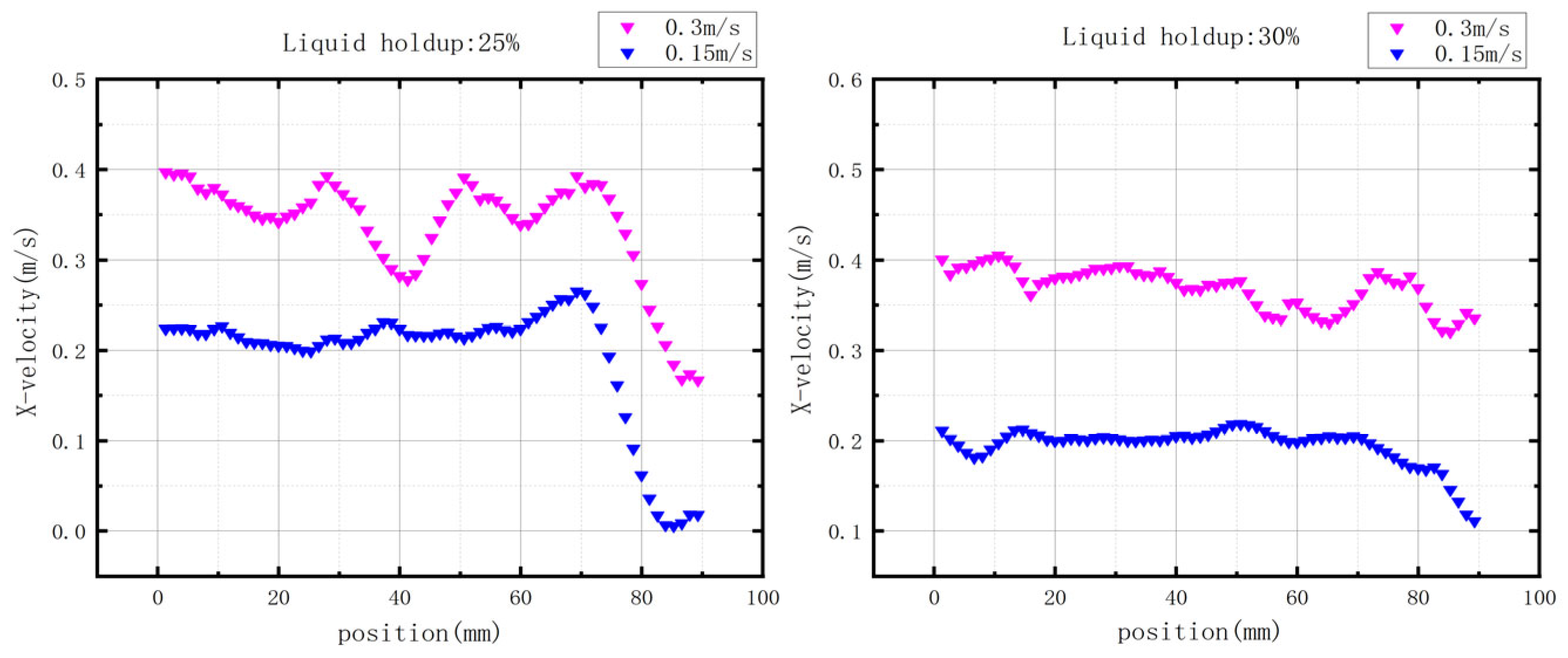
3.1. Liquid-Phase Velocity Analysis
3.2. Comparative Analysis of Simulation Results
Error Analysis
3.3. Gas-Phase Velocity Analysis
3.4. Gas–Liquid Two-Phase Velocity Analysis
4. Conclusions
- (1)
- When the initial liquid holdup is fixed, the liquid-phase velocity generated in the pipeline increases with the more considerable running speed of the pig. At 30% holdup, the maximum liquid-phase velocity is 10% lower than the pig’s initial operating speed. At 25% holdup, the ultimate liquid-phase velocity is 16% lower than the pig’s initial operational velocity. However, the maximum liquid-phase velocity does not exceed the initial operating velocity of the corresponding pig. Regarding liquid-phase height, the velocity increases on average by 20% for every 5 mm increase in the Y direction.
- (2)
- The proportion of the liquid content volume is directly related to the fluid velocity. As the initial liquid holdup and pig running speed increase, the liquid content volume fraction in the pipeline also increases gradually. However, the change in the fluid content volume fraction at the initial liquid deposit increases with the pig’s rising liquid holdup rate and initial running speed. Therefore, during the pigging operation, it is necessary to consider the fluid holdup rate and the initial running speed of the pig and install a deflector to increase the pig’s working life and improve pigging efficiency.
- (3)
- When using a pig to clean a pipeline, it is essential to remember that the pig’s speed affects the gas flow velocity in the pipeline. As the pig moves faster, the gas flow velocity increases. It is important to note that the maximum gas flow velocity will be greater than the initial operating speed of the pig. The maximum average gas flow velocity can be up to 33.3% higher than the pigging velocity. Therefore, when plugging the pig, it is necessary to consider that the plugging speed is greater than the initial operating speed of the pig to provide a scheme for promoting the pig.
- (4)
- The gas-phase velocity cloud map indicates that the change in the gas phase is more noticeable than that of liquid-phase velocity. By comparing the gas–liquid-phase velocity, it was found that the velocity of the liquid phase is lower, and its distribution is regular and even throughout the pipeline. On the other hand, the gas-phase velocity distribution is irregular and decreases with the increase in initial liquid holdup. Therefore, when the liquid holdup in the pipeline is low, it is essential to focus on improving the corrosion resistance of the pig to the gas phase. This study explicitly investigated the gas–liquid two-phase flow in a pipeline. However, to enhance understanding of the pigging process under such conditions, it is crucial to measure velocity changes at the gas–liquid interface within the pipeline. Therefore, further research is warranted through conducting a comprehensive investigation on gas–liquid two-phase synchronous testing.
Author Contributions
Funding
Institutional Review Board Statement
Informed Consent Statement
Data Availability Statement
Conflicts of Interest
References
- Shan, H.; Zhu, Y.; Lang, X.A. Small Leak Detection and Localization Method for Oil Pipelines Based on Improved Robust Principle Component Analysis. J. Phys. Conf. Ser. 2022, 2264, 12021. [Google Scholar] [CrossRef]
- Hu, J.; Tao, T. Numerical investigation of ice pigging isothermal flow in water-supply pipelines cleaning. Chem. Eng. Res. Des. 2022, 182, 428–437. [Google Scholar] [CrossRef]
- Luo, H.; Meng, C.; Li, C. Design of a remote-controllable pipeline inspection robot with a robotic arm. In Proceedings of the Seventh International Conference on Electromechanical Control Technology and Transportation, Guangzhou, China, 23 November 2022; Volume 12302. [Google Scholar]
- Hudaya, Z.A.; Widyatama, A.; Dinaryanto, O. The liquid wave characteristics during the transportation of air-water stratified co-current two-phase flow in a horizontal pipe. Exp. Therm. Fluid Sci. 2019, 103, 304–317. [Google Scholar] [CrossRef]
- Figueiredo, B.A.; Baptista, M.R.; de Freitas Rachid, F.B.; Bodstein, G.C.R. Numerical simulation of stratified-pattern two-phase flow in gas pipelines using a two-fluid model. Int. J. Multiph. Flow 2017, 88, 8830–8849. [Google Scholar] [CrossRef]
- Xu, X.; Gong, J. Pigging simulation for horizontal gas-condensate pipelines with low-liquid loading. J. Pet. Sci. Eng. 2005, 48, 272–280. [Google Scholar] [CrossRef]
- Sadeghi, H.M.; Chitsaz, S.; Ettefagh, M.M. Effect of PIG’s physical parameters on dynamic behavior of above ground pipeline in pigging operation. Mech. Syst. Signal Process 2019, 132, 692–720. [Google Scholar] [CrossRef]
- Wen, W.; Shi, M.; Shang, N.; Yin, L. Vibration Analysis for Pigging of Suspension Pipe Bridge. Appl. Mech. Mater. 2012, 1968, 669–672. [Google Scholar]
- Liu, Y.; Zhu, X.; Song, J.; Wu, H.; Zhang, S.; Zhang, S. Research on bypass pigging in offshore riser system to mitigate severe slugging. Ocean Eng. 2022, 246, 110606. [Google Scholar] [CrossRef]
- Deng, T.; Zhou, J.; Liang, G.; Xiao, Y.; Zhu, B.; Gong, J. Numerical Simulation of Pigging Operation through CurvedPipeline Coupling a T-Abrupt and Bend Drain Pipe. J. Pipeline Syst. Eng. Pract. 2021, 12, 04020052. [Google Scholar] [CrossRef]
- Wang, W.; Huang, Q.; Liu, Y.; Sepehrnoori, K. Experimental study on mechanisms of wax removal during pipeline pigging. In Proceedings of the SPE Annual Technical Conference and Exhibition, Houston, TX, USA, 28–30 September 2015; SPE: Richardson, TX, USA, 2015; p. D021S019R004. [Google Scholar]
- Nieckele, A.; Braga, A.; Azevedo, L. Transient Pig Motion Through Gas and Liquid Pipelines. J. Energy Resour. Technol. 2001, 123, 260–269. [Google Scholar] [CrossRef]
- Mirshamsi, M.; Rafeeyan, M. Dynamic analysis and simulation of long pig in gas pipeline. J. Nat. Gas Sci. Eng. 2015, 23, 294–303. [Google Scholar] [CrossRef]
- Sousa, A.; Pereira, M.J.; Matos, H.A. Planning pipeline pigging operations with predictivemaintenance. E3S Web Conf. EDP Sci. 2021, 266, 01017. [Google Scholar] [CrossRef]
- Hendrix, M.H.W.; Ijsseldijk, H.P.; Breugem, W.P.; Henkes, R. Experiments and modeling of by-pass pigging under low-pressure conditions. J. Process Control 2018, 71, 1–13. [Google Scholar] [CrossRef]
- Li, X.; He, L.; Luo, X.; Liu, H.; He, S.; Li, Q. Transient pigging dynamics in gas pipelines: Models, experiments, and simulations. Ocean Eng. 2021, 232, 109126. [Google Scholar] [CrossRef]
- Jamshidi, B.; Sarkari, M. Simulation of pigging dynamics in gas-liquid two-phase flow pipelines. J. Nat. Gas Sci. Eng. 2016, 32, 407–414. [Google Scholar] [CrossRef]
- Chen, J.; He, L.; Luo, X.; Zhang, H.; Li, X.; Liu, H.; He, S.; Lu, L. Characterization of bypass pig velocity in gas pipeline: An experimental and analytical study. J. Nat. Gas Sci. Eng. 2020, 73, 103059. [Google Scholar] [CrossRef]
- Zhang, L.; Zhou, J.; He, H. Modeling and simulation of pigging for a gas pipeline using a bypass pig. Math. Probl. Eng. 2020, 2020, 1–12. [Google Scholar] [CrossRef]
- Wu, X.; Niu, S.; Li, C. The study of the dynamic response of the natural gas pipeline aerial crossing during pigging process: A Review. J. Fluids Struct. 2021, 105, 103339. [Google Scholar] [CrossRef]
- Hendrix, M.; Liang, X.; Breugem, W.; Henkes, R. Characterization of the pressure loss coefficient using a building block approach with application to by-pass pigs. J. Pet. Sci. Eng. 2016, 150, 13–21. [Google Scholar] [CrossRef]
- Rao, P.; Yelgaonkar, V.N.; Tiwari, C.B.; Dhakar, V.; Panicker, M. Locating block caused by stuck PIGs in multi product pipeline using combination of radioisotope techniques. Appl. Radiat. Isot. 2023, 193, 110660. [Google Scholar] [CrossRef]
- Zhang, Y.; Wang, J. Measurement of flow in rectangular micropipes by micro-PIV. J. Exp. Fluid Mech. 2011, 25, 92–95. [Google Scholar]
- Jin, X.; Deng, Y.; Liu, G.; Chen, B. Research on pipeline flow characteristics based on PIV technology. Appl. Chem. Ind. 2020, 49, 430–434+438. [Google Scholar]
- Wu, X.; Zao, S.; Yong, L. Measurement of flow in bent pipe based on PIV method. Hydraul. Pneum. 2014, 06, 39–42. [Google Scholar]
- Cheng, W.; Murai, Y.; Sasaki, T.; Yamamoto, F. Bubble velocity measurement with a recursive cross correlation PIV technique. Flow Meas. Instrum. 2005, 16, 35–46. [Google Scholar] [CrossRef]
- Wen, C.; Zheng, Y.; Mi, D.; Qian, Z.; Zhang, H. Design for the Vent Holes of Gas Turbine Flow Guide Disks Based on the Shape Optimization Method. Metals 2023, 13, 1151. [Google Scholar] [CrossRef]
- Chen, J.; He, L.; Luo, X.; Lu, L.; Zhang, H.; Li, X.; Liu, H.; He, S. Bypass pigging technology on amelioration of pigging-induced liquid flow: An experimental and modelling study. Ocean Eng. 2020, 198, 106974. [Google Scholar] [CrossRef]
- Teyssandiert, R.G.; Wilson, M.P. An analysis of flow through sudden enlargements in pipes. J. Fluid Mech. 1974, 64, 85–95. [Google Scholar] [CrossRef]
- Wang, X.; Ghidaoui, M.S. Pipeline leak detection using the matched-field processing method. J. Hydraul. Eng. 2018, 144, 04018030. [Google Scholar] [CrossRef]





























| Equipment Name | Equipment Parameter | Value |
|---|---|---|
| Digital camera image system | Minimum exposure interval | 200 ns |
| Collector resolution | 3380 × 2710 | |
| Grey levels | 12 bit | |
| Double-pulse laser system | Single pulse energy | 500 MJ |
| Wave length | 532 nm | |
| Repetition frequency | 1–10 HZ | |
| Pulse length | 6–10 ns |
| Pig Speed | Liquid Holdup | Cross-Frame Time | Operating Frequency |
|---|---|---|---|
| m/s | mm | μs | HZ |
| 0.3 | 30% | 1500 | 8 |
| 25% | |||
| 0.15 | 30% | 1000 | 8 |
| 25% |
| Name | Model Size |
|---|---|
| PIG | Length: 70 mm |
| Cup diameter: 48 mm | |
| Pipeline | Length: 1.5 m |
| Inner diameter: 50 mm |
| (a) Initial liquid-phase buildup | ||
| Initial pig operating speed | 0.3 m/s | |
| Liquid holdup in the pipeline | 25% | 30% |
| Mean absolute error | 51.54% | 57.04% |
| (b) When the surface is in a steady state | ||
| Initial pig operating speed | 0.3 m/s | |
| Liquid holdup in the pipeline | 25% | 30% |
| Mean absolute error | 17.45% | 6.31% |
Disclaimer/Publisher’s Note: The statements, opinions and data contained in all publications are solely those of the individual author(s) and contributor(s) and not of MDPI and/or the editor(s). MDPI and/or the editor(s) disclaim responsibility for any injury to people or property resulting from any ideas, methods, instructions or products referred to in the content. |
© 2024 by the authors. Licensee MDPI, Basel, Switzerland. This article is an open access article distributed under the terms and conditions of the Creative Commons Attribution (CC BY) license (https://creativecommons.org/licenses/by/4.0/).
Share and Cite
Chen, S.; Zhang, Y.; Su, T.; Gong, Y. PIV Experimental Research and Numerical Simulation of the Pigging Process. J. Mar. Sci. Eng. 2024, 12, 549. https://doi.org/10.3390/jmse12040549
Chen S, Zhang Y, Su T, Gong Y. PIV Experimental Research and Numerical Simulation of the Pigging Process. Journal of Marine Science and Engineering. 2024; 12(4):549. https://doi.org/10.3390/jmse12040549
Chicago/Turabian StyleChen, Shengtao, Yuhan Zhang, Tianyu Su, and Yongjun Gong. 2024. "PIV Experimental Research and Numerical Simulation of the Pigging Process" Journal of Marine Science and Engineering 12, no. 4: 549. https://doi.org/10.3390/jmse12040549
APA StyleChen, S., Zhang, Y., Su, T., & Gong, Y. (2024). PIV Experimental Research and Numerical Simulation of the Pigging Process. Journal of Marine Science and Engineering, 12(4), 549. https://doi.org/10.3390/jmse12040549
