Unmanned Surface Vessel–Unmanned Aerial Vehicle Cooperative Path Following Based on a Predictive Line of Sight Guidance Law
Abstract
1. Introduction
- In the guidance system for USVs, an improved adaptive LOS method is proposed. The advantage of this method is its ability to adjust the size of the variable acceptance circle automatically, allowing it to achieve smaller overshoots at turning points.
- A high-order differentiator is constructed in the heterogeneous USV-UAV formation control system. The main advantages of a high-order differentiator are twofold and include the following: it addresses the issue of unknown USV velocity and resolves the non-continuous function differentiation in the UAV component.
2. USV-UAV Cooperative Control System
2.1. USV Mathematical Model
2.1.1. USV Simulation Model
2.1.2. USV Control Model
2.2. UAV Mathematical Model
2.3. Control Objectives and Structure
- (1)
- The states xs, ys, and of the USV and the states xa, ya, and of the UAV are known.
- (2)
- The unidentified disturbances f is bounded; that is, .
- (3)
- The second-order derivatives of the system states x and y are bounded and significantly smaller than the respective state variables, namely, ,.
3. Position Prediction LOS Guidance Law
4. Controller Design
4.1. USV Controller
4.1.1. Nonlinear Hyperbolic Tangent Sliding-Mode Controller for the USV
4.1.2. RBF Neural Network Design for USV
4.1.3. Nonlinear State Observer for the USV
4.2. Feedforward Compensation PD Controller for the UAV
4.2.1. Design of the Position Control Law for the UAV
4.2.2. Design of the Virtual Attitude Control Law
4.2.3. Computation of Expected Attitude for the UAV
4.2.4. Design of the Tracking Differentiator for the UAV
5. Stability Analysis
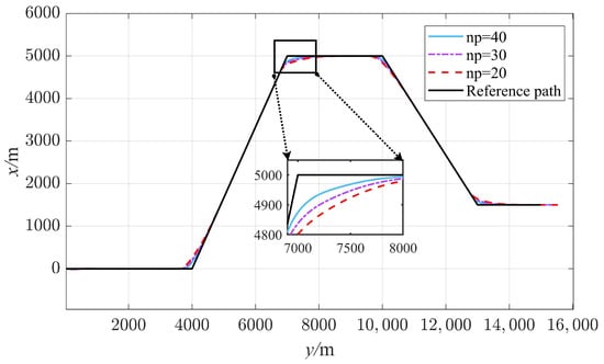
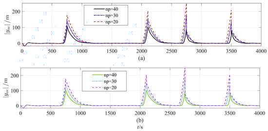
6. Simulation Experiment and Result Analysis
6.1. UAV-UVA Model Parameter
6.2. Simulation Result


7. Conclusions
- In the presence of time-varying disturbances, such as wind and waves, the robustness of SMC combined with feedforward compensation control can control the USV-UAV system to track the reference path accurately.
- The proposed predictive LOS algorithm can reduce the overshooting of USVs at turning points.
- The proposed high-order differentiator can accurately obtain differential signals.
Author Contributions
Funding
Institutional Review Board Statement
Informed Consent Statement
Data Availability Statement
Conflicts of Interest
References
- Li, J.; Zhang, G.; Zhang, X.; Zhang, W. Integrating dynamic event-triggered and sensor-tolerant control: Application to USV-UAVS cooperative formation system for maritime parallel search. IEEE Trans. Intell. Transp. Syst. 2024, 25, 3986–3998. [Google Scholar] [CrossRef]
- Li, W.; Ge, Y.; Ye, G. UAV-USV cooperative tracking based on mpc. In Proceedings of the 2022 34th Chinese Control and Decision Conference (CCDC), Anhui, China, 15–17 August 2022; IEEE: Piscataway, NJ, USA, 2022; pp. 4652–4657. [Google Scholar]
- Wang, Y.; Liu, W.; Liu, J.; Sun, C. Cooperative usv–uav marine search and rescue with visual navigation and reinforcement learning-based control. ISA Trans. 2023, 137, 222–235. [Google Scholar] [CrossRef] [PubMed]
- Huang, C.; Zhang, X.; Zhang, G. Decentralized event-triggered cooperative path-following control for multiple autonomous surface vessels under actuator failures. Appl. Ocean Res. 2021, 113, 102751. [Google Scholar] [CrossRef]
- Ma, Y.; Zhao, Y.; Incecik, A.; Yan, X.; Wang, Y.; Li, Z. A collision avoidance approach via negotiation protocol for a swarm of USVS. Ocean Eng. 2021, 224, 108713. [Google Scholar] [CrossRef]
- Yang, Z.; Li, M.; Yu, Z.; Cheng, Y.; Xu, G.; Zhang, Y. Fault detection and fault-tolerant cooperative control of multi-UAVS under actuator faults, sensor faults, and wind disturbances. Drones 2023, 7, 503. [Google Scholar] [CrossRef]
- Shao, G.; Ma, Y.; Malekian, R.; Yan, X.; Li, Z. A novel cooperative platform design for coupled USV–UAV systems. IEEE Trans. Ind. Inform. 2019, 15, 4913–4922. [Google Scholar] [CrossRef]
- Li, Y.; Li, S.; Zhang, Y.; Zhang, W.; Lu, H. Dynamic route planning for a USV-UAV multi-robot system in the rendezvous task with obstacles. J. Intell. Robot. Syst. 2023, 107, 52. [Google Scholar] [CrossRef]
- Li, J.; Zhang, G.; Li, B. Robust adaptive neural cooperative control for the USV-UAV based on the LVS-LVA guidance principle. J. Mar. Sci. Eng. 2022, 10, 51. [Google Scholar] [CrossRef]
- Li, J.; Zhang, G.; Zhang, W.; Zhang, X. Robust control for cooperative path following of marine surface-air vehicles with a constrained inter-vehicles communication. Ocean Eng. 2024, 308, 118240. [Google Scholar] [CrossRef]
- Li, J.; Zhang, G.; Zhang, W.; Shan, Q.; Zhang, W. Cooperative path following control of USV-UAVS considering low design complexity and command transmission requirements. IEEE Trans. Intell. Veh. 2023, 9, 715–724. [Google Scholar] [CrossRef]
- Li, J.; Zhang, G.; Shan, Q.; Zhang, W. A novel cooperative design for USV-UAV systems: 3d mapping guidance and adaptive fuzzy control. IEEE Trans. Control. Netw. Syst. 2023, 10, 564–574. [Google Scholar] [CrossRef]
- Hou, Y.; Tao, H.; Gong, J.; Liang, X.; Zhang, A.N. Cooperative path planning of USV and UAV swarms under multiple constraints. Chin. J. Ship Res. 2021, 16, 1. [Google Scholar]
- Liu, H.; Weng, P.; Tian, X.; Mai, Q. Distributed adaptive fixed-time formation control for UAV-USV heterogeneous multi-agent systems. Ocean Eng. 2023, 267, 113240. [Google Scholar] [CrossRef]
- Xing, Y.; Zhang, G.; Li, J. Adaptive fuzzy quantized control for a cooperative USV-UAV system based on asynchronous separate guidance. J. Mar. Sci. Eng. 2023, 11, 2331. [Google Scholar] [CrossRef]
- Zhu, Y.; Li, S.; Guo, G.; Yuan, P.; Bai, J. Formation control of UAV–USV based on distributed event-triggered adaptive mpc with virtual trajectory restriction. Ocean Eng. 2024, 294, 116850. [Google Scholar] [CrossRef]
- Zhang, H.; Zhang, X.; Gao, S.; Ma, D. Path following of underactuated surface vessels based active disturbance rejection control considering lateral drift. Proc. Inst. Mech. Eng. Part M J. Eng. Marit. Environ. 2024. [Google Scholar] [CrossRef]
- Xu, H.; da Silva, P.P.; Guedes Soares, C. Effect of sampling rate in sea trial tests on the estimation of hydrodynamic parameters for a nonlinear ship manoeuvring model. J. Mar. Sci. Eng. 2024, 12, 407. [Google Scholar] [CrossRef]
- Sutulo, S.; Guedes Soares, C. Nomoto-type manoeuvring mathematical models and their applicability to simulation tasks. Ocean Eng. 2024, 304, 11763. [Google Scholar] [CrossRef]
- Xu, H.; Guedes Soares, C. Vector field path following for surface marine vessel and parameter identification based on LS-SVM. Ocean. Eng. 2016, 113, 151–161. [Google Scholar] [CrossRef]
- Xu, H.; Oliveira, P.; Soares, C.G. L1 adaptive backstepping control for path-following of underactuated marine surface ships. Eur. J. Control 2021, 58, 357–372. [Google Scholar] [CrossRef]
- Salih, A.L.; Moghavvemi, M.; Mohamed, H.A.; Gaeid, K.S. Modelling and PID controller design for a quadrotor un- manned air vehicle. In Proceedings of the 2010 IEEE International Conference on Automation, Quality and Testing, Robotics (AQTR), Cluj-Napoca, Romania, 28–30 May 2010; Volume 1, pp. 1–5. [Google Scholar]
- Sá, R.C.; de Araújo, A.L.C.; Varela, A.T.; Barreto, G.D.A. Construction and pid control for stability of an unmanned aerial vehicle of the type quadrotor. In Proceedings of the 2013 Latin American Robotics Symposium and Competition, Arequipa, Peru, 21–27 October 2013; pp. 95–99. [Google Scholar]
- Zhang, H.; Zhang, X.; Bu, R. Radial basis function neural network sliding mode control for ship path following based on position prediction. J. Mar. Sci. Eng. 2021, 9, 1055. [Google Scholar] [CrossRef]
- Fossen, T.I.; Breivik, M.; Skjetne, R. Line-of-sight path following of underactuated marine craft. IFAC Proc. Vol. 2003, 36, 211–216. [Google Scholar] [CrossRef]
- Moreira, L.; Fossen, T.I.; Guedes Soares, C. Path following control system for a tanker ship model. Ocean Eng. 2007, 34, 2074–2085. [Google Scholar] [CrossRef]
- Zhang, H.; Zhang, X.; Cao, T.; Bu, R. Active disturbance rejection control for ship path following with Euler method. Ocean Eng. 2022, 247, 110516. [Google Scholar] [CrossRef]
- Zhi-peng, S.; Chang-sheng, D.; Ning, Z. Trajectory tracking control of underactuated ship based on adaptive iterative sliding mode. J. Traffic Transp. Eng. 2017, 17, 125–134. [Google Scholar]
- Perera, L.P.; Guedes Soares, C. Pre-filtered sliding mode control for nonlinear ship steering associated with disturbances. Ocean Eng. 2013, 51, 49–62. [Google Scholar] [CrossRef]
- Cecati, C.; Kolbusz, J.; Rózycki, P.; Siano, P.; Wilamowski, B.M. A novel RBF training algorithm for short-term electric load forecasting and comparative studies. IEEE Trans. Ind. Electron. 2015, 62, 6519–6529. [Google Scholar] [CrossRef]
- Chen, D. Research on traffic flow prediction in the big data environment based on the improved rbf neural network. IEEE Trans. Ind. Inform. 2017, 13, 2000–2008. [Google Scholar] [CrossRef]
- Sun, Y.; Xu, J.; Lin, G.; Ji, W.; Wang, L. Rbf neural network-based supervisor control for maglev vehicles on an elastic track with network time delay. IEEE Trans. Ind. Inform. 2020, 18, 509–519. [Google Scholar] [CrossRef]
- Zhang, H.; Zhang, X.; Gao, S.; Han, X.; Ma, D. Global fast terminal sliding mode control for path following of ultra large underactuated ship based on predictive los guidance. Ocean Eng. 2023, 285, 115387. [Google Scholar] [CrossRef]
- Sun, H.; Sun, Q.; Wu, W.; Chen, Z.; Tao, J. Altitude control for flexible wing unmanned aerial vehicle based on active disturbance rejection control and feedforward compensation. Int. J. Robust Nonlinear Control 2020, 30, 222–245. [Google Scholar] [CrossRef]
- Liu, X.; Hu, D. Trajectory tracking control for quadrotor UAV based on pd with feedforward compensation. Ship Electron. Eng. 2022, 42, 55–60. [Google Scholar]
- Yang, H.; Cheng, L.; Zhang, J.; Xia, Y. Leader–follower trajectory control for quadrotors via tracking differentiators and disturbance observers. IEEE Trans. Syst. Man Cybern. Syst. 2018, 51, 601–609. [Google Scholar] [CrossRef]
- Yang, Z.; Ji, J.; Sun, X.; Zhu, H.; Zhao, Q. Active disturbance rejection control for bearingless induction motor based on hyperbolic tangent tracking differentiator. IEEE J. Emerg. Sel. Top. Power Electron. 2019, 8, 2623–2633. [Google Scholar] [CrossRef]
- Zhang, H.; Yao, J.; Sui, J.; Deng, Y.; Zhang, G. Neural sliding mode path following control for underctuated ship based on dsc. Ship Eng 2019, 41, 85–90. [Google Scholar]
- Zhang, H.; Zhang, X.; Bu, R. Sliding mode adaptive control for ship path following with sideslip angle observer. Ocean Eng. 2022, 251, 111106. [Google Scholar] [CrossRef]
- Zhang, H.; Zhang, X.; Xu, H.; Guedes Soares, C. Heterogeneous cooperative trajectory tracking control between surface and underwater unmanned vehicles. Ocean Eng. 2024, 301, 117137. [Google Scholar] [CrossRef]
- Fan, J.; Zhang, X.; Cao, T.; Ma, D. Ship longitudinal stabilization control based on cgsa and nonlinear switch modification. Ocean Eng. 2023, 286, 115707. [Google Scholar] [CrossRef]
- Wang, J.; Zou, Z.; Wang, T. Path following of a ship sailing in restricted waters based on an extended updated-gain high-gain ob- server. In Proceedings of the International Conference on Offshore Mechanics and Arctic Engineering, Madrid, Spain, 17–22 June 2018; American Society of Mechanical Engineers: New York, NY, USA, 2018; Volume 51272, p. V07BT06A030. [Google Scholar]
- Labbadi, M.; Cherkaoui, M. Robust adaptive nonsingular fast terminal sliding-mode tracking control for an uncertain quadrotor uav subjected to disturbances. ISA Trans. 2020, 99, 290–304. [Google Scholar] [CrossRef]










| Symbol | Unit | Value | |
|---|---|---|---|
| USV length | Ls | m | 126.00 |
| UAV breadth | Bs | m | 20.8 |
| Deadweight | DWT | t | 14,635 |
| Front wind projection area | Fs | m2 | 369.9 |
| Side wind projection area | Ss | m2 | 1031.94 |
| Rudder area | m2 | 18.8 | |
| Draft | d | m | 8.0 |
| Block coefficient | Cb | / | 0.681 |
| Propeller diameter | Dp | m | 4.6 |
| Revolutions of the propeller | RPM | r/mins | 100 |
| Turning lag index T | T | / | 216 |
| Turning ability index K | K | / | 0.47 |
| Name | Symbol | Unit | Value |
|---|---|---|---|
| UAV length | La | m | 0.22 |
| UAV breadth | Ba | m | 0.22 |
| Mass | ma | kg | 1.8 |
| Lift coefficient | ba | N·s2 | 3× 10−5 |
| Resistance coefficient | da | N·s2 | 7 × 10−7 |
| Rotational inertia Ix | Ix | kg·m2 | 1.25 |
| Rotational inertia Iy | Iy | kg·m2 | 1.25 |
| Rotational inertia Iz | Iz | kg·m2 | 2.5 |
| Rotational inertia Jr | Jr | kg·m2 | 4 × 10−5 |
Disclaimer/Publisher’s Note: The statements, opinions and data contained in all publications are solely those of the individual author(s) and contributor(s) and not of MDPI and/or the editor(s). MDPI and/or the editor(s) disclaim responsibility for any injury to people or property resulting from any ideas, methods, instructions or products referred to in the content. |
© 2024 by the authors. Licensee MDPI, Basel, Switzerland. This article is an open access article distributed under the terms and conditions of the Creative Commons Attribution (CC BY) license (https://creativecommons.org/licenses/by/4.0/).
Share and Cite
Zhang, H.; Fan, J.; Zhang, X.; Xu, H.; Guedes Soares, C. Unmanned Surface Vessel–Unmanned Aerial Vehicle Cooperative Path Following Based on a Predictive Line of Sight Guidance Law. J. Mar. Sci. Eng. 2024, 12, 1818. https://doi.org/10.3390/jmse12101818
Zhang H, Fan J, Zhang X, Xu H, Guedes Soares C. Unmanned Surface Vessel–Unmanned Aerial Vehicle Cooperative Path Following Based on a Predictive Line of Sight Guidance Law. Journal of Marine Science and Engineering. 2024; 12(10):1818. https://doi.org/10.3390/jmse12101818
Chicago/Turabian StyleZhang, Hugan, Jiaming Fan, Xianku Zhang, Haitong Xu, and C. Guedes Soares. 2024. "Unmanned Surface Vessel–Unmanned Aerial Vehicle Cooperative Path Following Based on a Predictive Line of Sight Guidance Law" Journal of Marine Science and Engineering 12, no. 10: 1818. https://doi.org/10.3390/jmse12101818
APA StyleZhang, H., Fan, J., Zhang, X., Xu, H., & Guedes Soares, C. (2024). Unmanned Surface Vessel–Unmanned Aerial Vehicle Cooperative Path Following Based on a Predictive Line of Sight Guidance Law. Journal of Marine Science and Engineering, 12(10), 1818. https://doi.org/10.3390/jmse12101818

