Big Data Analysis of the Speed Performance of a 176k DWT Bulk Carrier in Real Operating Conditions
Abstract
1. Introduction
2. Improvement of ISO Standard
- -
- Correction for External Forces: While ISO 19030 considers the influence of wind, it does not account for the effects of waves and currents. As a result, the interpretation of performance is done with the inclusion of wave and current effects, making it challenging to compare the performance of different vessels. However, it allows for the comparison of the same vessel’s hull and propeller performance over time with the intention to measure performance changes for a specific vessel, as specified in the ISO 19030 standard.
- -
- Preprocessing of Operational Data: Preprocessing operational data according to the ISO 19030 standard involves dividing the data into 10 min blocks and applying Chauvenet filtering to major operational data such as speed through water, speed over ground, and RPM. However, this filtering process can lead to a significant amount of data, ranging from 30% to 70%, being filtered out due to environmental factors. This raises concerns about whether the performance analysis results can be considered representative of the vessel’s entire operational range [31]. Figure 2 shows the application of data filtering before and after according to the ISO 19030 standard for the first voyage of the target vessel (approximately two weeks). The blue points represent the data distribution over the previous two-week period. However, as evident from the plot, many data points deviate from the clustered data. Such data points are filtered out through two rounds of filtering, leaving only the valid data points represented by green diamond shapes, which are used for interpretation. Consequently, the blue dots and orange crosses represent the data filtered during the preprocessing and this filtered portion is roughly estimated to be approximately 70% in this particular sample.
3. Materials and Methods
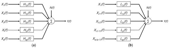
3.1. Multi-Input, Single-Output (MISO) Linear Dynamic Response Model
3.2. Target Vessel
3.3. Operational Data
4. Inputs and Outputs for the Dynamic MISO Model
4.1. Data Preparation
4.2. Selection of Independent Variable Using Correlation Analysis
4.3. Selection of Independent Variable Using Coherence Function
5. Results of Speed Performance Analysis Using MISO Model
5.1. Behavior of Speed Performance with Respect to Voyage
5.2. Comparison with ISO 19030 Standard Analysis Results
5.3. Comparison of Speed–Power Curves
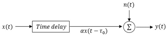
5.4. Time Delays between Environmental Disturbances and Speed Response
6. Discussions
7. Conclusions
- -
- No additional filtering is applied beyond removing outliers caused by mechanical faults in the data.
- -
- Correlations between various variables and the ship’s speed performance are evaluated to determine input variables.
- -
- The optimal transfer functions between environmental disturbances and the speed fluctuations have been derived to identify the dynamic response characteristics of the ship.
- -
- The impact of speed variation due to first-level input variables is assessed first, then, other variables are sequentially evaluated by excluding the influence of the preceding ones.
Author Contributions
Funding
Institutional Review Board Statement
Informed Consent Statement
Data Availability Statement
Conflicts of Interest
References
- Merlo, S.; Gabarrell Durany, X.; Pedroso Tonon, A.; Rossi, S. Marine Microalgae Contribution to Sustainable Development. Water 2021, 13, 1373. [Google Scholar] [CrossRef]
- Barreiro, J.; Zaragoza, S.; Diaz-Casas, V. Review of Ship Energy Efficiency. Ocean Eng. 2022, 257, 111594. [Google Scholar] [CrossRef]
- Handayani, M.P.; Kim, H.; Lee, S.; Lee, J. Navigating Energy Efficiency: A Multifaceted Interpretability of Fuel Oil Consumption Prediction in Cargo Container Vessel Considering the Operational and Environmental Factors. J. Mar. Sci. Eng. 2023, 11, 2165. [Google Scholar] [CrossRef]
- Chen, Z.S.; Lam, J.S.L.; Xiao, Z. Prediction of Harbour Vessel Fuel Consumption Based on Machine Learning Approach. Ocean Eng. 2023, 278, 114483. [Google Scholar] [CrossRef]
- Fan, A.; Yang, J.; Yang, L.; Wu, D.; Vladimir, N. A Review of Ship Fuel Consumption Models. Ocean Eng. 2022, 264, 112405. [Google Scholar] [CrossRef]
- Zhou, T.; Hu, Q.; Hu, Z.; Zhen, R. An Adaptive Hyper Parameter Tuning Model for Ship Fuel Consumption Prediction under Complex Maritime Environments. J. Ocean Eng. Sci. 2022, 7, 255–263. [Google Scholar] [CrossRef]
- Zhang, M.; Tsoulakos, N.; Kujala, P.; Hirdaris, S. A Deep Learning Method for the Prediction of Ship Fuel Consumption in Real Operational Conditions. Eng. Appl. Artif. Intell. 2024, 130, 107425. [Google Scholar] [CrossRef]
- Poulsen, R.T.; Viktorelius, M.; Varvne, H.; Rasmussen, H.B.; von Knorring, H. Energy Efficiency in Ship Operations—Exploring Voyage Decisions and Decision-Makers. Transp. Res. Part D Transp. Environ. 2022, 102, 103120. [Google Scholar] [CrossRef]
- Durlik, I.; Miller, T.; Cembrowska-Lech, D.; Krzemińska, A.; Złoczowska, E.; Nowak, A. Navigating the Sea of Data: A Comprehensive Review on Data Analysis in Maritime IoT Applications. Appl. Sci. 2023, 13, 9742. [Google Scholar] [CrossRef]
- Lang, X.; Mao, W. A semi-empirical model for ship speed loss prediction at head sea and its validation by full-scale measurements. Ocean Eng. 2020, 209, 107494. [Google Scholar] [CrossRef]
- Tilling, F.; Ringsberg, J.W. A 4 DOF simulation model developed for fuel consumption prediction of ships at sea. Ships Offshore Struct. 2019, 14 (Suppl. 1), 112–120. [Google Scholar] [CrossRef]
- Kim, Y.R.; Steen, S.; Kramel, D.; Muri, H.; Strømman, A.H. Modelling of ship resistance and power consumption for the global fleet: The MariTEAM model. Ocean Eng. 2023, 281, 114758. [Google Scholar] [CrossRef]
- Yan, R.; Wang, S.; Psaraftis, H.N. Data analytics for fuel consumption management in maritime transportation: Status and perspectives. Transport. Res. E Logist. Transport. Rev. 2021, 155, 102489. [Google Scholar] [CrossRef]
- Huang, L.; Pena, B.; Liu, Y.; Anderlini, E. Machine learning in sustainable ship design and operation: A review. Ocean Eng. 2022, 266, 112907. [Google Scholar] [CrossRef]
- Petersen, J.P.; Winther, O.; Jacobsen, D.J. A Machine-Learning Approach to Predict Main Energy Consumption under Realistic Operational Conditions. Ship Technol. Res. 2012, 59, 64–72. [Google Scholar] [CrossRef]
- Shin, J.H.; Shim, J.Y.; Park, J.W.; Choi, D.H.; Byeon, S.S. A Study on the Improvement of Sailing Efficiency Using Big Data of Ship Operation. In Proceedings of the Korean Society of Marine Environment & Safety, Mokpo, Republic of Korea, 27–28 April 2017. [Google Scholar]
- Yoo, B.; Kim, J. Powering performance analysis of full-scale ships under environmental disturbances. IFAC PapersOnLine 2017, 50, 2323–2328. [Google Scholar] [CrossRef]
- Kim, D.H.; Han, S.J.; Jung, B.K.; Han, S.H.; Lee, S.B. A Machine Learning-Based Method to Predict Engine Power. J. Korean Soc. Mar. Environ. Saf. 2019, 25, 851–857. [Google Scholar] [CrossRef]
- ISO 15016:2015(E); Ships and Marine Technology—Guideline for the Assessment of Speed and Power Performance by Analysis of Speed Trial Data. ISO: Geneve, Switzerland, 2015.
- Karagiannidis, P.; Themelis, N.; Zaraphonitis, G.; Spandonidis, C.; Giordamlis, C. Ship Fuel Consumption Prediction using Artificial Neural Network. In Proceedings of the Hellenic Institute of Marine Technology—Annual Meeting 2019, Athens, Greece, 26–27 November 2019. [Google Scholar]
- Wahl, J.M. Prediction of Fuel Consumption of a Ship in Transit Using Machine Learning. Master’s Thesis, Norwegian University of Science and Technology, Trondheim, Norway, 2019. [Google Scholar]
- Uyanık, T.; Karatuğ, Ç.; Arslanoğlu, Y. Machine learning approach to ship fuel consumption: A case of container vessel. Transport. Res. Part D-Transport. Environ. 2020, 84, 102389. [Google Scholar] [CrossRef]
- Gupta, P.; Rasheed, A.; Steen, S. Ship performance monitoring using machine-learning. Ocean Eng. 2022, 254, 111094. [Google Scholar] [CrossRef]
- Abebe, M.; Shin, Y.; Noh, Y.; Lee, S.B.; Lee, I. Machine Learning Approaches for Ship Speed Prediction towards Energy Efficient Shipping. Appl. Sci. 2020, 10, 2325. [Google Scholar] [CrossRef]
- Cho, Y.; Jeon, K.H.; Lee, S.B.; Park, H.; Lee, I. Evaluation of In-service Speed Performance Improvement by means of FDR-AF (Frictional Drag Reducing Anti-Fouling) marine coating based on ISO 19030 standard. Sci Rep. 2021, 11, 1062. [Google Scholar] [CrossRef] [PubMed]
- Boychuk, I.P.; Grinek, A.V.; Martyushev, N.V.; Klyuev, R.V.; Malozyomov, B.V.; Tynchenko, V.S.; Kukartsev, V.A.; Tynchenko, Y.A.; Kondratiev, S.I. A Methodological Approach to the Simulation of a Ship’s Electric Power System. Energies 2023, 16, 8101. [Google Scholar] [CrossRef]
- Zwierzewicz, Z.; Dorobczyński, L.; Jaszczak, S. Design of ship course-keeping system via active disturbance rejection control using a full-scale realistic ship model. Procedia Comput. Sci. 2021, 192, 3000–3009. [Google Scholar] [CrossRef]
- ISO/TC8/SC2 ISO/DIS 19030-1; Ships and Marine Technology—Measurement of Changes in Hull and Propeller Performance—Part 1: General Principles. ISO: Geneve, Switzerland, 2016.
- ISO/TC8/SC2 ISO/DIS 19030-2; Ships and Marine Technology—Measurement of Changes in Hull and Propeller Performance—Part 2: Default Method. ISO: Geneve, Switzerland, 2016.
- Cho, Y.; Lee, I.; Jeon, K.H.; Lee, S.B. Frictional Resistance and Speed Performance Review based on Actual Operating data for 175k BC. In Proceedings of the 5th Hull Performance & Insight Conference (HullPIC 2020), Tullamore, Ireland, 26–28 October 2020. [Google Scholar]
- Park, B.J.; Shin, M.S.; Ki, M.S.; Lee, G.J.; Lee, S.B. Experience in Applying ISO 19030 to Field Data. In Proceedings of the Second Hull Performance & Insight Conference (HullPIC 2017), Ulrichshusen, Germany, 27–29 March 2017; pp. 150–155. [Google Scholar]
- Bendat, J.S.; Piersol, A.G. Random Data: Analysis and Measurement Procedures, 3rd ed.; Wiley: Hoboken, NJ, USA, 2000; pp. 240–259. [Google Scholar]














| Designation | Symbol | Value |
|---|---|---|
| Length overall | 291.80 m | |
| Breadth | 45.00 m | |
| Mean draft, laden condition | 18.25 m | |
| Mean draft, design condition | 16.50 m | |
| Mean draft, ballast condition | 7.95 m |
| Event | Time/Period | Voyage No. |
|---|---|---|
| SPMS installation | November 2014 | |
| First dry docking | November 2015 | |
| Second service period (3 years) | November 2015~November 2018 | Ballast 38~64/laden 38~64 |
| Second dry docking | December 2018 | |
| Third service period (2 years) | January 2019~November 2020 | Ballast 65~78/laden 65~78 |
| Voyage | Loading Condition | Departure [YYYY-MM-DD] | Arrival [YYYY-MM-DD] | Mean Draft [m] | No. of Data |
|---|---|---|---|---|---|
| 39 | Ballast | 2015-11-20 | 2015-11-21 | 8.65 | 10,571 |
| Laden | 2015-12-07 | 2015-12-20 | 14.96 | 9429 | |
| 39 | Ballast | 2015-12-25 | 2016-01-04 | 7.55 | 7406 |
| Laden | 2016-12-25 | 2016-01-27 | 17.98 | 8119 | |
| …. | |||||
| 62 | Ballast | 2018-09-18 | 2018-10-02 | 7.93 | 114,163 |
| Laden | 2018-10-10 | 2018-10-27 | 17.71 | 126,279 | |
| 63 | Ballast | 2018-11-03 | 2018-11-18 | 8.29 | 84,592 |
| Laden | 2018-11-19 | 2018-12-02 | 18.08 | 105,038 | |
| Draft | Voyage | rel. Wind Speed | Wave Height | SHP | Current Speed_CAL (=STW − SOG) |
|---|---|---|---|---|---|
| Ballast | 65 | 0.072 | 0.174 | 0.204 | 0.256 |
| 66 | 0.065 | 0.209 | 0.170 | 0.266 | |
| 67 | 0.040 | 0.068 | 0.096 | 0.332 | |
| 68 | 0.039 | 0.044 | 0.060 | 0.308 | |
| 69 | 0.096 | 0.165 | 0.168 | 0.276 | |
| 70 | 0.045 | 0.095 | 0.127 | 0.156 | |
| 71 | 0.048 | 0.145 | 0.103 | 0.212 | |
| Average 65~71 | 0.058 | 0.129 | 0.133 | 0.258 | |
| Laden | 65 | 0.054 | 0.162 | 0.116 | 0.290 |
| 67 | 0.042 | 0.083 | 0.079 | 0.451 | |
| 68 | 0.032 | 0.055 | 0.056 | 0.338 | |
| 69 | 0.032 | 0.070 | 0.073 | 0.387 | |
| 70 | 0.074 | 0.162 | 0.095 | 0.291 | |
| Average 65~70 | 0.047 | 0.106 | 0.084 | 0.351 |
| Draft | Voyage | Expected Speed [knots] | Measured Speed [knots] | Total Loss [knots] | X1 Loss (Current) [%] | X2 Loss (Wave Height) [%] | X3 Loss (rel. Wind Speed) [%] | N-Loss (Fouling, Aging) [%] |
|---|---|---|---|---|---|---|---|---|
| Ballast (second service) | 40 | 16.195 | 15.574 | 0.621 (0.38%) | 0.98 | 0.31 | 0.22 | 2.33 |
| 41 | 14.847 | 14.159 | 0.688 (4.63%) | 1.08 | 0.33 | 0.24 | 2.98 | |
| 42 | 15.553 | 14.675 | 0.878 (5.65%) | 1.21 | 0.33 | 0.25 | 3.86 | |
| 43 | 14.093 | 13.498 | 0.595 (4.22%) | 1.08 | 0.31 | 0.21 | 2.63 | |
| 44 | 13.961 | 13.088 | 0.873 (6.25%) | 1.01 | 0.35 | 0.24 | 4.65 | |
| 46 | 14.617 | 14.070 | 0.547 (3.74%) | 0.98 | 0.36 | 0.22 | 2.19 | |
| 47 | 13.874 | 13.278 | 0.596 (4.30%) | 0.99 | 0.32 | 0.25 | 2.74 | |
| 49 | 15.634 | 14.078 | 1.556 (9.95%) | 0.93 | 0.28 | 0.10 | 8.65 | |
| 50 | 15.481 | 15.096 | 0.385 (2.49%) | 1.03 | 0.26 | 0.13 | 1.07 | |
| 51 | 13.954 | 13.318 | 0.636 (4.56%) | 1.04 | 0.32 | 0.14 | 3.06 | |
| 52 | 15.435 | 14.872 | 0.563 (3.65%) | 1.02 | 0.25 | 0.17 | 2.22 | |
| 53 | 15.444 | 14.497 | 0.947 (6.13%) | 1.02 | 0.25 | 0.17 | 4.70 | |
| 54 | 15.454 | 14.646 | 0.808 (5.23%) | 1.05 | 0.25 | 0.16 | 3.77 | |
| 55 | 15.826 | 15.272 | 0.554 (3.50%) | 0.99 | 0.16 | 0.13 | 2.22 | |
| 60 | 15.579 | 14.310 | 1.269 (8.15%) | 1.17 | 0.38 | 0.19 | 6.41 | |
| 61 | 15.856 | 14.594 | 1.262 (7.96%) | 1.08 | 0.22 | 0.16 | 6.50 | |
| 62 | 15.677 | 14.792 | 0.885 (5.65%) | 1.10 | 0.24 | 0.13 | 4.17 | |
| 63 | 15.597 | 14.528 | 1.069 (6.85%) | 1.07 | 0.24 | 0.13 | 5.40 | |
| Ballast (third service) | 65 | 14.052 | 13.372 | 0.680 (4.84%) | 2.05 | 0.77 | 0.68 | 1.34 |
| 66 | 15.158 | 14.628 | 0.530 (3.50%) | 1.81 | 0.57 | 0.55 | 0.57 | |
| 67 | 14.589 | 13.659 | 0.930 (6.37%) | 1.29 | 0.40 | 0.42 | 4.26 | |
| 68 | 15.394 | 13.244 | 2.150 (14.0%) | 1.10 | 0.32 | 0.31 | 12.23 | |
| 69 | 15.065 | 13.087 | 1.978 (13.1%) | 1.38 | 0.52 | 0.50 | 10.73 | |
| 70 | 14.840 | 14.462 | 1.378 (9.29%) | 1.42 | 0.67 | 0.53 | 6.66 | |
| 71 | 14.454 | 12.370 | 2.084 (14.4%) | 1.47 | 0.64 | 0.50 | 11.81 | |
| 72 | 14.062 | 12.670 | 1.392 (9.90%) | 1.43 | 0.59 | 0.43 | 7.45 | |
| 73 | 13.837 | 12.783 | 1.054 (7.62%) | 1.52 | 0.52 | 0.40 | 5.17 | |
| 74 | 14.072 | 12.675 | 1.397 (9.93%) | 1.32 | 0.45 | 0.39 | 7.76 | |
| 75 | 14.335 | 12.164 | 2.171 (15.1%) | 1.27 | 0.40 | 0.29 | 13.18 | |
| 76 | 14.140 | 11.845 | 2.295 (16.2%) | 0.13 | 0.57 | 0.41 | 15.12 | |
| 77 | 13.935 | 11.974 | 1.961 (14.1%) | 1.50 | 0.68 | 0.50 | 11.39 |
| Draft | Voyage | Expected Speed [knots] | Measured Speed [knots] | Total Loss [knots] | X1 Loss (Current) [%] | X2 Loss (Wave Height) [%] | X3 Loss (rel. Wind Speed) [%] | N-Loss (Fouling, Aging) [%] |
|---|---|---|---|---|---|---|---|---|
| Laden (second service) | 39 | 14.684 | 14.14 | 0.540 (3.68%) | 0.99 | 0.54 | 0.38 | 1.76 |
| 40 | 13.890 | 13.184 | 0.706 (5.08%) | 1.14 | 0.26 | 0.33 | 3.35 | |
| 41 | 14.624 | 14.047 | 0.577 (3.95%) | 1.16 | 0.18 | 0.59 | 2.02 | |
| 42 | 13.412 | 12.727 | 0.685 (5.11%) | 0.94 | 0.35 | 0.27 | 3.55 | |
| 43 | 13.164 | 12.634 | 0.530 (4.03%) | 1.00 | 0.32 | 0.26 | 2.45 | |
| 46 | 14.024 | 13.311 | 0.713 (5.08%) | 1.03 | 0.35 | 0.25 | 3.46 | |
| 47 | 14.124 | 13.143 | 0.981 (6.95%) | 0.98 | 0.23 | 0.22 | 5.52 | |
| 49 | 13.767 | 13.253 | 0.514 (3.73%) | 1.22 | 0.24 | 0.14 | 2.14 | |
| 50 | 13.630 | 12.756 | 0.874 (6.41%) | 1.19 | 0.32 | 0.14 | 4.77 | |
| 51 | 14.164 | 13.352 | 0.812 (5.73%) | 1.09 | 0.30 | 0.17 | 4.17 | |
| 52 | 14.006 | 12.915 | 1.091 (7.79%) | 1.04 | 0.24 | 0.16 | 6.35 | |
| 53 | 14.055 | 13.577 | 0.478 (3.40%) | 1.10 | 0.24 | 0.14 | 1.93 | |
| 54 | 14.105 | 12.881 | 1.224 (8.68%) | 1.06 | 0.23 | 0.13 | 7.26 | |
| 59 | 13.764 | 12.609 | 1.155 (8.39%) | 0.96 | 0.23 | 0.16 | 7.04 | |
| 60 | 14.083 | 13.624 | 0.459 (3.26%) | 1.13 | 0.19 | 0.14 | 1.80 | |
| 61 | 14.025 | 13.504 | 0.521 (3.71%) | 1.01 | 0.26 | 0.14 | 2.30 | |
| 62 | 14.086 | 12.729 | 1.357 (9.63%) | 1.04 | 0.24 | 0.11 | 8.24 | |
| 63 | 14.056 | 12.944 | 1.112 (7.91%) | 1.05 | 0.22 | 0.12 | 6.52 | |
| Laden (third service) | 65 | 13.836 | 13.089 | 0.747 (5.40%) | 1.50 | 0.51 | 0.35 | 2.70 |
| 67 | 14.077 | 12.622 | 1.455 (10.34%) | 1.17 | 0.32 | 0.22 | 8.24 | |
| 68 | 14.009 | 12.898 | 1.111 (7.93%) | 1.02 | 0.42 | 0.29 | 3.48 | |
| 69 | 13.881 | 13.204 | 0.677 (4.88%) | 1.37 | 0.50 | 0.32 | 2.29 | |
| 70 | 13.648 | 11.368 | 2.280 (16.7%) | 1.41 | 0.75 | 0.47 | 8.02 | |
| 71 | 13.481 | 10.825 | 2.656 (19.7%) | 1.16 | 0.90 | 0.65 | 5.96 | |
| 72 | 13.957 | 12.739 | 1.218 (8.73%) | 1.23 | 0.34 | 0.37 | 6.41 | |
| 73 | 13.599 | 12.609 | 0.990 (7.28%) | 1.29 | 0.38 | 0.33 | 5.08 | |
| 74 | 12.878 | 11.337 | 1.541 (12.0%) | 1.22 | 0.39 | 0.38 | 10.15 | |
| 76 | 13.384 | 12.028 | 1.356 (10.1%) | 1.41 | 0.50 | 0.35 | 7.63 | |
| 77 | 13.753 | 12.384 | 1.369 (9.95%) | 1.36 | 0.38 | 0.34 | 7.18 |
Disclaimer/Publisher’s Note: The statements, opinions and data contained in all publications are solely those of the individual author(s) and contributor(s) and not of MDPI and/or the editor(s). MDPI and/or the editor(s) disclaim responsibility for any injury to people or property resulting from any ideas, methods, instructions or products referred to in the content. |
© 2024 by the authors. Licensee MDPI, Basel, Switzerland. This article is an open access article distributed under the terms and conditions of the Creative Commons Attribution (CC BY) license (https://creativecommons.org/licenses/by/4.0/).
Share and Cite
Cho, Y.; Lee, I. Big Data Analysis of the Speed Performance of a 176k DWT Bulk Carrier in Real Operating Conditions. J. Mar. Sci. Eng. 2024, 12, 1816. https://doi.org/10.3390/jmse12101816
Cho Y, Lee I. Big Data Analysis of the Speed Performance of a 176k DWT Bulk Carrier in Real Operating Conditions. Journal of Marine Science and Engineering. 2024; 12(10):1816. https://doi.org/10.3390/jmse12101816
Chicago/Turabian StyleCho, Yurim, and Inwon Lee. 2024. "Big Data Analysis of the Speed Performance of a 176k DWT Bulk Carrier in Real Operating Conditions" Journal of Marine Science and Engineering 12, no. 10: 1816. https://doi.org/10.3390/jmse12101816
APA StyleCho, Y., & Lee, I. (2024). Big Data Analysis of the Speed Performance of a 176k DWT Bulk Carrier in Real Operating Conditions. Journal of Marine Science and Engineering, 12(10), 1816. https://doi.org/10.3390/jmse12101816

