Research on Decoupling Duty Cycle Optimization Control Method of a Multiport Converter for Dual-Port Direct Drive Wave Power Generation System
Abstract
1. Introduction
2. Optimal Power Capture Analysis of the DP-DDWEPGS
2.1. Hydrodynamic Model of Float
2.2. Optimal Power Capture of DP-DDWEPGS
3. Mathematical Model Analysis of DP-DDWEPGS
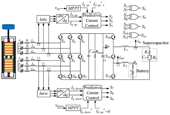
3.1. Mathematical Modeling of DP-DDWEPGS’ Generator Side
3.2. Mathematical Modeling of DP-DDWEPGS’ Hybrid Energy Storage System Side
4. Decoupling Duty Cycle Optimization Model Predictive Control
4.1. Model Predictive Control of NSC
4.2. Decoupling MPCC
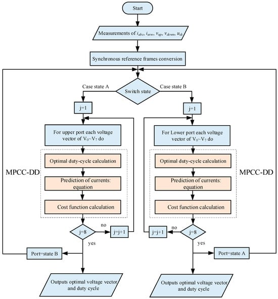
4.3. Duty Cycle Optimization of Decoupling MPCC
5. Simulation Results and Analysis of DP-DDWEPGS
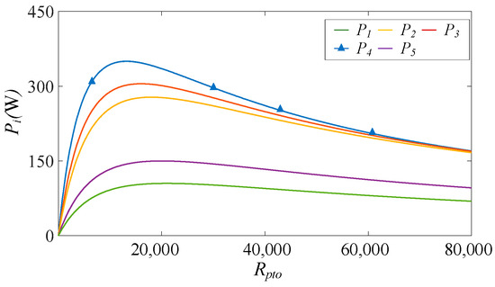
5.1. Local Optimal Power Capture
5.2. Comparison of MPCC, MPCC-D, MPCC-DD
5.3. Simulation Analysis of the Control Effect Whole System
5.3.1. Simulation of Optimal Frequency Point of Overall System Operation
5.3.2. Operation Results of DP-DDWEPGS in Irregular Waves
6. Conclusions
Author Contributions
Funding
Institutional Review Board Statement
Informed Consent Statement
Data Availability Statement
Conflicts of Interest
Appendix A
| Switching States [S1–S9] | Upper Port Voltage Vector | Lower Port Voltage Vector |
|---|---|---|
| [111111000] | V7 (0) | V7 (0) |
| [110111001] | V2 () | V2 () |
| [111110001] | V7 (0) | V2 () |
| [101111010] | V6 () | V6 () |
| [100111011] | V1 () | V1 () |
| [101110011] | V6 () | V1 () |
| [111101010] | V7 (0) | V6 () |
| [110101011] | V2 () | V1 () |
| [111100011] | V7 (0) | V1 () |
| [011111100] | V4 () | V4 () |
| [010111101] | V3 () | V3 () |
| [011110101] | V4 () | V3 () |
| [001111110] | V5 () | V5 () |
| [000111111] | V0 (0) | V0 (0) |
| [001110111] | V5 () | V0 (0) |
| [011101110] | V4 () | V5 () |
| [010101111] | V3 () | V0 (0) |
| [011100111] | V4 () | V0 (0) |
| [111011100] | V7 (0) | V4 () |
| [110011101] | V2 () | V3 () |
| [111010101] | V7 (0) | V3 () |
| [101011110] | V6 () | V5 () |
| [100011111] | V1 () | V0 (0) |
| [101010111] | V6 () | V0 (0) |
| [111001110] | V7 (0) | V5 () |
| [110001111] | V2 () | V0 (0) |
| [111000111] | V7 (0) | V0 (0) |
| Acronyms | Full Form |
|---|---|
| DP-DDWEPGS | dual-port direct drive wave energy power generation system |
| SP-DDWEPGS | single-port direct drive wave energy power generation system |
| FCS-MPC | finite control set model predictive control |
| DDWEPGS | direct drive wave energy power generation system |
| PMLG | permanent magnet linear generator |
| VSR | voltage source rectifier |
| HESS | hybrid energy storage system |
| NSC | nine-switch converter |
| MPCC | model predictive current control |
| MPCC-D | decoupling model predictive current control |
| MPCC-DD | decoupling duty cycle optimization model predictive current control |
References
- Xiao, X.; Huang, X.; Kang, Q. A Hill-Climbing-Method-Based Maximum-Power-Point-Tracking Strategy for Direct-Drive Wave Energy Converters. IEEE Trans. Ind. Electron. 2016, 63, 257–267. [Google Scholar] [CrossRef]
- Sun, Z.G.; Cheung, N.C.; Zhao, S.W.; Lu, Y.; Shi, Z.H. Design and simulation of a linear switched reluctance generator for wave energy conversion. In Proceedings of the 2011 4th International Conference on Power Electronics Systems and Applications, Hong Kong, China, 11 August 2011; pp. 1–5. [Google Scholar]
- Farrok, O.; Islam, M.R.; Muttaqi, K.M.; Sutanto, D.; Zhu, J. Design and Optimization of a Novel Dual-Port Linear Generator for Oceanic Wave Energy Conversion. IEEE Trans. Ind. Electron. 2020, 67, 3409–3418. [Google Scholar] [CrossRef]
- Rasool, S.; Islam, M.R.; Muttaqi, K.M.; Sutanto, D. Coupled Modeling and Advanced Control for Smooth Operation of a Grid-Connected Linear Electric Generator Based Wave-to-Wire System. IEEE Trans. Ind. Appl. 2020, 56, 5575–5584. [Google Scholar] [CrossRef]
- Liu, H.; Huang, L.; Li, Y.; Yang, J.; Zhang, J. Resonance control to eliminate reactive power of an improved dual-port direct-drive wave energy converter. Ocean Eng. 2023, 288, 116007. [Google Scholar] [CrossRef]
- Wu, H.; Xu, P.; Hu, H.; Zhou, Z.; Xing, Y. Multiport Converters Based on Integration of Full-Bridge and Bidirectional DC-DC Topologies for Renewable Generation Systems. IEEE Trans. Ind. Electron. 2014, 61, 856–869. [Google Scholar] [CrossRef]
- Jarutus, N.; Kumsuwan, Y. A Carrier-Based Phase-Shift Space Vector Modulation Strategy for a Nine-Switch Inverter. IEEE Trans. Power Electron. 2017, 32, 3425–3441. [Google Scholar] [CrossRef]
- Liu, X.; Loh, P.C.; Wang, P.; Blaabjerg, F. A Direct Power Conversion Topology for Grid Integration of Hybrid AC/DC Energy Resources. IEEE Trans. Ind. Electron. 2013, 60, 5696–5707. [Google Scholar] [CrossRef]
- Gao, F.; Zhang, L.; Li, D.; Loh, P.C.; Tang, Y.; Gao, H. Optimal Pulsewidth Modulation of Nine-Switch Converter. IEEE Trans. Power Electron. 2010, 25, 2331–2343. [Google Scholar] [CrossRef]
- Pan, L.; Zhang, J.; Zhang, J.; Pang, Y.; Wang, B.; Wang, K.; Xu, D. A Novel Space-Vector Modulation Method for Nine-Switch Converter. IEEE Trans. Power Electron. 2020, 35, 1789–1804. [Google Scholar] [CrossRef]
- de Andrade, F.C.; Bradaschia, F.; Limongi, L.R.; Cavalcanti, M.C. A Reduced Switching Loss Technique Based on Generalized Scalar PWM for Nine-Switch Inverters. IEEE Trans. Ind. Electron. 2018, 65, 38–48. [Google Scholar] [CrossRef]
- Abdel-Moneim, M.G.; Abdel-Azim, W.E.; Abdel-Khalik, A.S.; Hamed, M.S.; Ahmed, S. Model Predictive Current Control of Nine-Switch Inverter-Fed Six-Phase Induction Motor Drives Under Healthy and Fault Scenarios. IEEE Trans. Transp. Electrif. 2024. [Google Scholar] [CrossRef]
- Lee, S.S.; Heng, Y.E.; Roslan, M.A. Finite control set model predictive control of nine-switch AC/DC/AC converter. In Proceedings of the 2016 IEEE International Conference on Power and Energy (PECon), Melaka, Malaysia, 28–29 November 2016; pp. 746–751. [Google Scholar]
- Kouro, S.; Cortes, P.; Vargas, R.; Ammann, U.; Rodriguez, J. Model Predictive Control—A Simple and Powerful Method to Control Power Converters. IEEE Trans. Ind. Electron. 2009, 56, 1826–1838. [Google Scholar] [CrossRef]
- Gao, H.; Wu, B.; Xu, D. Nine-switch ac/ac current source converter for microgrid application with model predictive control. IET Power Electron. 2017, 10, 1759–1766. [Google Scholar] [CrossRef]
- Gulbudak, O.; Santi, E. Model predictive control of dual-output nine-switch inverter with output filter. In Proceedings of the 2015 IEEE Energy Conversion Congress and Exposition (ECCE), Montreal, QC, Canada, 20–24 September 2015; pp. 1582–1589. [Google Scholar] [CrossRef]
- Guazzelli, P.R.U.; Castro, A.G.D.; Dos Santos, S.T.C.A.; de Oliveira, C.M.R.; Pereira, W.C.A.; Monteiro, J.R.B.A.; Aguiar, M.L.D. Dual Predictive Current Control of Grid Connected Nine-Switch Converter Applied to Induction Generator. In Proceedings of the 2018 13th IEEE International Conference on Industry Applications (INDUSCON), Sao Paulo, Brazil, 12–14 November 2018; pp. 1038–1044. [Google Scholar]
- Aciego, J.J.; Gonzalez Prieto, I.; Duran, M.J.; Bermudez, M.; Salas-Biedma, P. Model Predictive Control Based on Dynamic Voltage Vectors for Six-Phase Induction Machines. IEEE J. Emerg. Sel. Top. Power Electron. 2021, 9, 2710–2722. [Google Scholar] [CrossRef]
- Zhang, Y.; Xie, W.; Li, Z.; Zhang, Y. Model Predictive Direct Power Control of a PWM Rectifier With Duty Cycle Optimization. IEEE Trans. Power Electron. 2013, 28, 5343–5351. [Google Scholar] [CrossRef]
- Nikzad, M.R.; Asaei, B.; Ahmadi, S.O. Discrete Duty-Cycle-Control Method for Direct Torque Control of Induction Motor Drives With Model Predictive Solution. IEEE Trans. Power Electron. 2018, 33, 2317–2329. [Google Scholar] [CrossRef]
- Nie, Z.; Xiao, X.; Yi, H.; Kang, Q. Direct drive wave energy converters integrated with a composite energy storage system. In Proceedings of the 2011 International Conference on Electrical Machines and Systems, Beijing, China, 20–23 August 2011; pp. 1–5. [Google Scholar]
- Manandhar, U.; Ukil, A.; Gooi, H.B.; Tummuru, N.R.; Kollimalla, S.K.; Wang, B.; Chaudhari, K. Energy Management and Control for Grid Connected Hybrid Energy Storage System Under Different Operating Modes. IEEE Trans. Smart Grid 2019, 10, 1626–1636. [Google Scholar] [CrossRef]
- Copping, A.; Battey, H.; Brown-Saracino, J.; Massaua, M.; Smith, C. An international assessment of the environmental effects of marine energy development. Ocean. Coast. Manag. 2014, 99, 3–13. [Google Scholar] [CrossRef]
- Dong, J.; Chen, G.; Deng, Y.; Wang, K.; He, X. A family of integrated dual-output DC-DC converters: Synthesis methodology and performance analysis. In Proceedings of the 2016 IEEE 8th International Power Electronics and Motion Control Conference (IPEMC-ECCE Asia), Hefei, China, 22–26 May 2016; pp. 342–347. [Google Scholar]
- O’Sullivan, A.C.M.; Lightbody, G. Co-design of a wave energy converter using constrained predictive control. Renew. Energy 2017, 102, 142–156. [Google Scholar] [CrossRef]
- Manandhar, U.; Tummuru, N.R.; Kollimalla, S.K.; Ukil, A.; Beng, G.H.; Chaudhari, K. Validation of Faster Joint Control Strategy for Battery- and Supercapacitor-Based Energy Storage System. IEEE Trans. Ind. Electron. 2018, 65, 3286–3295. [Google Scholar] [CrossRef]
- Wu, S.; Liu, C.; Chen, X. Offshore wave energy resource assessment in the East China Sea. Renew. Energy 2015, 76, 628–636. [Google Scholar] [CrossRef]





















| Frequency (Hz) | Amplitude (N) | Phase (rad) |
|---|---|---|
| f1 = 0.0333 | 876 | 1.6057 |
| f2 = 0.1 | 3023 | −0.40143 |
| f3 = 0.1333 | 3541 | 0.05236 |
| f4 = 0.1667 | 4009 | 2.1468 |
| f5 = 0.2667 | 1098 | −0.8203 |
| Rpto | ΣPi (i = 1, 2, 3, 4, 5) (W) |
|---|---|
| 21,110 (f1 = 0.0333) | 1162.43 |
| 18,003 (f2 = 0.1) | 1168.67 |
| 15,911 (f3 = 0.1333) | 1177.58 |
| 13,190 (f4 = 0.1667) | 1180.03 |
| 20,110 (f5 = 0.2667) | 1166.77 |
| Control Method | MPCC | MPCC-D | MPCC-DD |
|---|---|---|---|
| Voltage vectors calculations and conversion (10−6 s) | 18.821 | 2.836 | 2.915 |
| Predictions (10−6 s) | 3.498 | 0.5 | 0.563 |
| Cost functions (10−6 s) | 1.054 | 0.269 | 0.274 |
| Duty cycle optimization (10−6 s) | — | — | 3.078 |
| Else (10−6 s) | 2.127 | 1.518 | 1.775 |
| Total tome(10−6 s) | 25.5 | 5.123 | 8.605 |
Disclaimer/Publisher’s Note: The statements, opinions and data contained in all publications are solely those of the individual author(s) and contributor(s) and not of MDPI and/or the editor(s). MDPI and/or the editor(s) disclaim responsibility for any injury to people or property resulting from any ideas, methods, instructions or products referred to in the content. |
© 2024 by the authors. Licensee MDPI, Basel, Switzerland. This article is an open access article distributed under the terms and conditions of the Creative Commons Attribution (CC BY) license (https://creativecommons.org/licenses/by/4.0/).
Share and Cite
Huang, L.; Wang, S.; Pan, B.; Liu, H.; Zhang, J.; Wu, S. Research on Decoupling Duty Cycle Optimization Control Method of a Multiport Converter for Dual-Port Direct Drive Wave Power Generation System. J. Mar. Sci. Eng. 2024, 12, 1811. https://doi.org/10.3390/jmse12101811
Huang L, Wang S, Pan B, Liu H, Zhang J, Wu S. Research on Decoupling Duty Cycle Optimization Control Method of a Multiport Converter for Dual-Port Direct Drive Wave Power Generation System. Journal of Marine Science and Engineering. 2024; 12(10):1811. https://doi.org/10.3390/jmse12101811
Chicago/Turabian StyleHuang, Lei, Shixiang Wang, Baoyi Pan, Haitao Liu, Jiyu Zhang, and Shiquan Wu. 2024. "Research on Decoupling Duty Cycle Optimization Control Method of a Multiport Converter for Dual-Port Direct Drive Wave Power Generation System" Journal of Marine Science and Engineering 12, no. 10: 1811. https://doi.org/10.3390/jmse12101811
APA StyleHuang, L., Wang, S., Pan, B., Liu, H., Zhang, J., & Wu, S. (2024). Research on Decoupling Duty Cycle Optimization Control Method of a Multiport Converter for Dual-Port Direct Drive Wave Power Generation System. Journal of Marine Science and Engineering, 12(10), 1811. https://doi.org/10.3390/jmse12101811

