Study and Quantitative Analysis of Mode Localization in Wind Turbine Blades
Abstract
1. Introduction
2. The Mechanism of Modal Localization
3. Numerical Examples
3.1. Analysis Model
3.2. Analysis of the Diagnostic Modality
4. Modeling and Modal Analysis
5. Simulation of Wind Turbine Blade Detuning
5.1. Mass Detuning
5.2. Stiffness Detuning
5.3. Geometry Detuning
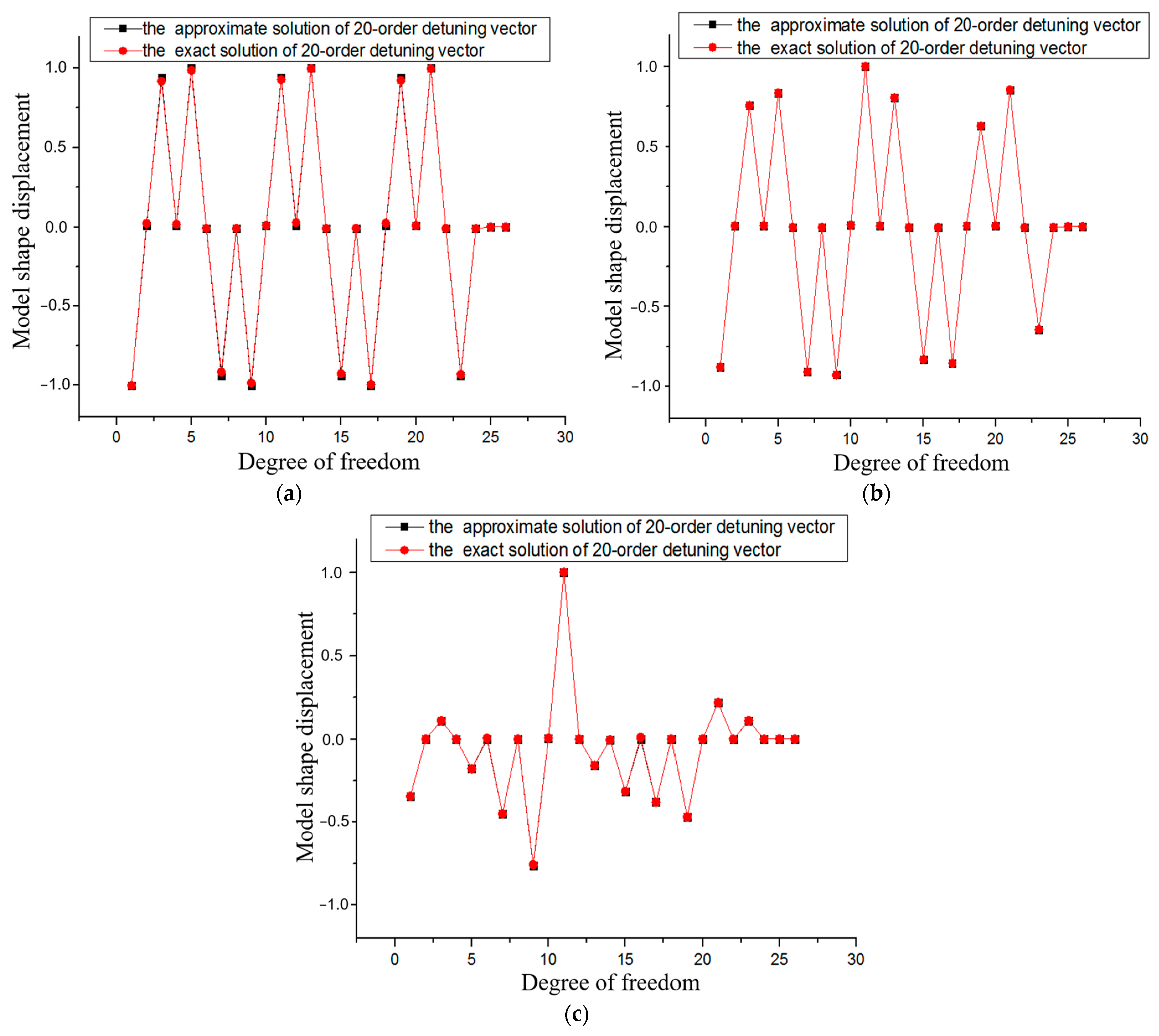
6. Quantitative Analysis of Wind Turbine Blades
6.1. Quantitative Analysis of the Model Location
6.2. Quantitative Analysis of the Components of the Detuning Mode Shape
7. Conclusions
Author Contributions
Funding
Institutional Review Board Statement
Informed Consent Statement
Data Availability Statement
Conflicts of Interest
Nomenclature
| i-order normalized modal vector without any detuning | |
| i-order eigenvector after disturbance | |
| first-order perturbation expansion coefficient of the i-order mode corresponding to the s-order mode | |
| linear superposition coefficient | |
| di | degree of detuning |
| δij | intensive degree of modes |
| λi | i-order eigenvalue after disturbance |
| MAC | model assurance criterion |
| the d-order detuning modal vector | |
| Ri | mode localization factor |
| maximum displacement of the i-th mode shape in the detuned structure | |
| maximum displacement of the i-th harmonic mode | |
| the ratio of the maximum displacement of the i-th detuned mode to the sum of the absolute values of its mode displacements | |
| the ratio of the maximum displacement of the i-th harmonic mode to the sum of the absolute values of its mode displacements |
References
- Liao, D.; Zhu, S.P.; Correia, J.A.; De Jesus, A.M.; Veljkovic, M.; Berto, F. Fatigue reliability of wind turbines: Historical perspectives, recent developments and future prospects. Renew. Energy 2022, 200, 724–742. [Google Scholar] [CrossRef]
- Li, J.; Wang, G.; Li, Z.; Yang, S.; Chong, W.T.; Xiang, X. A review on development of offshore wind energy conversion system. Int. J. Energy Res. 2020, 44, 9283–9297. [Google Scholar] [CrossRef]
- Nejad, A.R.; Keller, J.; Guo, Y.; Sheng, S.; Polinder, H.; Watson, S.; Dong, J.; Qin, Z.; Ebrahimi, A.; Schelenz, R.; et al. Wind turbine drivetrains: State-of-the-art technologies and future development trends. Wind Energy Sci. Discuss. 2022, 7, 287–411. [Google Scholar] [CrossRef]
- Veers, P.; Bottasso, C.; Manuel, L.; Naughton, J.; Pao, L.; Paquette, J.; Robertson, A.; Robinson, M.; Ananthan, S.; Barlas, T.; et al. Grand challenges in the design, manufacture, and operation of future wind turbine systems. Wind Energy Sci. Discuss. 2023, 8, 1071–1131. [Google Scholar] [CrossRef]
- Zhang, S.; Wei, J.; Chen, X.; Zhao, Y. China in global wind power development: Role, status and impact. Renew. Sustain. Energy Rev. 2020, 127, 109881. [Google Scholar] [CrossRef]
- Sessarego, M.; Feng, J.; Ramos-García, N.; Horcas, S.G. Design optimization of a curved wind turbine blade using neural networks and an aero-elastic vortex method under turbulent inflow. Renew. Energy 2019, 146, 1524–1535. [Google Scholar] [CrossRef]
- Jokar, H.; Mahzoon, M.; Vatankhah, R. Dynamic modeling and free vibration analysis of horizontal axis wind turbine blades in the flap-wise direction. Renew. Energy 2020, 146, 1818–1832. [Google Scholar] [CrossRef]
- Pacheco-Chérrez, J.; Probst, O. Vibration-based damage detection in a wind turbine blade through operational modal analysis under wind excitation. Mater. Today Proc. 2022, 56, 291–297. [Google Scholar] [CrossRef]
- Zhang, J.W.; Liang, X.; Wang, L.Z.; Wang, B.X.; Wang, L.L. The influence of tuned mass dampers on vibration control of monopile offshore wind turbines under wind-wave loadings. Ocean Eng. 2023, 278, 114394. [Google Scholar] [CrossRef]
- Ma, Y.; Chen, C.; Fan, T.; Lu, H.; Fang, J. An innovative aerodynamic design methodology of wind turbine blade models for wind tunnel real-time hybrid tests based on genetic algorithm. Ocean Eng. 2022, 257, 111724. [Google Scholar] [CrossRef]
- Dong, X.; Lian, J.; Wang, H. Vibration source identification of offshore wind turbine structure based on optimized spectral kurtosis and ensemble empirical mode decomposition. Ocean Eng. 2019, 172, 199–212. [Google Scholar] [CrossRef]
- Hübner, G.R.; Pinheiro, H.; de Souza, C.E.; Franchi, C.M.; Da Rosa, L.D.; Dias, J.P. Detection of mass imbalance in the rotor of wind turbines using Support Vector Machine. Renew. Energy 2021, 170, 49–59. [Google Scholar] [CrossRef]
- Yang, X.; Zhang, Y.; Lv, W.; Wang, D. Image recognition of wind turbine blade damage based on a deep learning model with transfer learning and an ensemble learning classifier. Renew. Energy 2021, 163, 386–397. [Google Scholar] [CrossRef]
- Choe, D.E.; Kim, H.C.; Kim, M.H. Sequence-based modeling of deep learning with LSTM and GRU networks for structural damage detection of floating offshore wind turbine blades. Renew. Energy 2021, 174, 218–235. [Google Scholar] [CrossRef]
- Movsessian, A.; Cava, D.G.; Tcherniak, D. An artificial neural network methodology for damage detection: Demonstration on an operating wind turbine blade. Mech. Syst. Signal Process. 2021, 159, 107766. [Google Scholar] [CrossRef]
- Jaramillo, F.; Gutiérrez, J.M.; Orchard, M.; Guarini, M.; Astroza, R. A Bayesian approach for fatigue damage diagnosis and prognosis of wind turbine blades. Mech. Syst. Signal Process. 2022, 174, 109067. [Google Scholar] [CrossRef]
- Hodges, C.H. Confinement of vibration by structural irregularity. J. Sound Vib. 1982, 82, 411–424. [Google Scholar] [CrossRef]
- Pierre, C.; Tang, D.M.; Dowell, E.H. Localized vibrations of disordered multispan beams: Theory and experiment. AIAA J. 1987, 25, 1249–1257. [Google Scholar] [CrossRef]
- Xie, W.C.; Ariaratnam, S.T. Vibration mode lpcalization in disordered cyclic structures, II: Multiple substructure modes. J. Sound Vib. 1996, 189, 647–660. [Google Scholar] [CrossRef]
- Bendiksen, O.O. Localization phenomena in structural dynamics. Chaos Solitons Fractals 2000, 11, 1621–1660. [Google Scholar] [CrossRef]
- Filoche, M.; Mayboroda, S. Strong Localization Induced by One Clamped Point in Thin Plate Vibrations. Phys. Rev. Lett. 2009, 103, 254301. [Google Scholar] [CrossRef] [PubMed]
- Shaat, M. Mode localization phenomenon in microbeams due to surface roughness. arXiv 2018, arXiv:1803.02638. [Google Scholar] [CrossRef]
- Ying, Z.; Ni, Y.; Kang, L. Mode localization characteristics of damaged quasiperiodically supported beam structures with local weak coupling. Struct. Control Health Monit. 2019, 26, e2351. [Google Scholar] [CrossRef]
- Rabenimanana, T.; Walter, V.; Kacem, N.; Le Moal, P.; Bourbon, G.; Lardies, J. Mass sensor using mode localization in two weakly coupled MEMS cantilevers with different lengths: Design and experimental model validation. Sens. Actuators A Phys. 2019, 295, 643–652. [Google Scholar] [CrossRef]
- Chen, Y.; Song, Z.; Li, F. Generating mechanism of mode localization for the beams and its application in the passive vibration control. J. Sound Vib. 2020, 485, 115531. [Google Scholar] [CrossRef]
- Morozov, N.F.; Indeitsev, D.A.; Igumnova, V.S.; Lukin, A.V.; Popov, I.A.; Shtukin, L.V. Nonlinear dynamics of mode-localized MEMS accelerometer with two electrostatically coupled microbeam sensing elements. Int. J. Non-Linear Mech. 2022, 138, 103852. [Google Scholar] [CrossRef]
- Lyu, H.; Wang, Z.; Yang, W.; Xiong, X.; Liu, Z.; Zou, X. Modeling and Parameter Sensitivity Improvement in ΔE-Effect Magnetic Sensor Based on Mode Localization Effect. Micromachines 2022, 13, 674. [Google Scholar] [CrossRef]
- Bisegna, P.; Caruso, G. A Continuous Model for the Dynamical Analysis of Mistuned Bladed Rotors. Int. J. Rotating Mach. 2012, 2012, 378565. [Google Scholar] [CrossRef][Green Version]
- Chan, H.C.; Liu, J.K. Mode localization and frequency loci veering in disordered engineering structures. Chaos Solitons Fractals 2000, 11, 1493–1504. [Google Scholar] [CrossRef]
- Irwanto, B.; Hardtke, H.J.; Pawandenat, D. Perturbation theory in modal analysis of mistuned rotors. Aust. J. Mech. Eng. 2004, 1, 83–89. [Google Scholar] [CrossRef]
- Wang, D.F.; Chatani, K.; Ikehara, T.; Maeda, R. Mode localization analysis and characterization in a 5-beam array of coupled nearly identical micromechanical resonators for ultra-sensitive mass detection and analyte identification. Microsyst. Technol. 2012, 18, 1923–1929. [Google Scholar] [CrossRef]
- Liu, Z.H. Research on Vibration Mode Localization and Mode Jumping of Reticulated Shells. Ph.D. Thesis, Harbin Institute of Technology, Harbin, China, 2015. [Google Scholar] [CrossRef]
- Liu, X.X.; Hu, J. A New Way to Define Closely Spaced Modes of Vibration. J. Astronaut. 2010, 31, 1093–1099. [Google Scholar] [CrossRef]
- Wang, J.J.; Li, Q.H.; Zhu, Z.G. Vibratory localization of mistuned bladed disk assemblies—A review. Adv. Mech. 2000, 30, 517–528. [Google Scholar]
- Ewins, D.J. Modal Testing: Theory and Practice; Research Studies Press: Herts, UK, 1984; pp. 225–226. [Google Scholar] [CrossRef]










| Mode | Frequency | Mode | Frequency | Mode | Frequency |
|---|---|---|---|---|---|
| 1 | 35.467 | 10 | 40.095 | 19 | 81.511 |
| 2 | 36.737 | 11 | 40.095 | 20 | 81.545 |
| 3 | 36.737 | 12 | 40.344 | 21 | 81.545 |
| 4 | 37.471 | 13 | 57.484 | 22 | 81.577 |
| 5 | 37.471 | 14 | 57.484 | 23 | 81.577 |
| 6 | 38.450 | 15 | 81.477 | 24 | 81.608 |
| 7 | 38.450 | 16 | 81.486 | 25 | 138.969 |
| 8 | 39.407 | 17 | 81.486 | 26 | 138.969 |
| 9 | 39.407 | 18 | 81.511 |
| Mode | δij (i = 20; j = 11, 12, …26) | di (i = 20) | ||
|---|---|---|---|---|
| σ = 0.0001 | σ = 0.001 | σ = 0.01 | ||
| 11 | 0.34076 | 0.000004 | 0.00020 | 0.00271 |
| 12 | 0.33802 | 0.000004 | 0.00020 | 0.00271 |
| 13 | 0.17306 | 0.000004 | 0.00020 | 0.00271 |
| 14 | 0.17306 | 0.000004 | 0.00020 | 0.00271 |
| 15 | 0.00041 | 0.000004 | 0.00020 | 0.00271 |
| 16 | 0.00035 | 0.000004 | 0.00020 | 0.00271 |
| 17 | 0.00035 | 0.000004 | 0.00020 | 0.00271 |
| 18 | 0.00020 | 0.000004 | 0.00020 | 0.00271 |
| 19 | 0.00020 | 0.000004 | 0.00020 | 0.00271 |
| 20 | 0.00000 | 0.000004 | 0.00020 | 0.00271 |
| 21 | 0.00000 | 0.000004 | 0.00020 | 0.00271 |
| 22 | 0.00020 | 0.000004 | 0.00020 | 0.00271 |
| 23 | 0.00020 | 0.000004 | 0.00020 | 0.00271 |
| 24 | 0.00093 | 0.000004 | 0.00020 | 0.00271 |
| 25 | 0.26041 | 0.000004 | 0.00020 | 0.00271 |
| 26 | 0.26041 | 0.000004 | 0.00020 | 0.00271 |
| Mode | Harmonic Frequencies | Mode | Harmonic Frequencies |
|---|---|---|---|
| 1 | 0.16648 | 7 | 0.63440 |
| 2 | 0.16650 | 8 | 0.66146 |
| 3 | 0.16650 | 9 | 0.66146 |
| 4 | 0.42903 | 10 | 1.28278 |
| 5 | 0.43733 | 11 | 1.32847 |
| 6 | 0.43733 | 12 | 1.32847 |
| Mode | δij (i = 1; j = 1, 2, …6) | di (i = 1) | ||
|---|---|---|---|---|
| Mass Detuning | Stiffness Detuning | Geometry Detuning | ||
| 1 | 0.00000 | 0.00012 | 0.00006 | 0.00006 |
| 2 | 0.00006 | 0.00012 | 0.00006 | 0.00006 |
| 3 | 0.00006 | 0.00012 | 0.00006 | 0.00006 |
| 4 | 0.44090 | 0.00012 | 0.00006 | 0.00006 |
| 5 | 0.44860 | 0.00012 | 0.00006 | 0.00006 |
| 6 | 0.58430 | 0.00012 | 0.00006 | 0.00006 |
| MAC | Mass Detuning |
|---|---|
| 0.7050 | |
| 0.1800 | |
| 0.1132 | |
| 0.9982 |
| Mode | cv | ||
|---|---|---|---|
| Mass Detuning | Stiffness Detuning | Geometry Detuning | |
| 1 | 0.4854 | 0.4062 | 0.7300 |
| 2 | 0.6230 | 0.3579 | 0.7140 |
| 3 | 0.1522 | 0.8950 | 0.3331 |
Disclaimer/Publisher’s Note: The statements, opinions and data contained in all publications are solely those of the individual author(s) and contributor(s) and not of MDPI and/or the editor(s). MDPI and/or the editor(s) disclaim responsibility for any injury to people or property resulting from any ideas, methods, instructions or products referred to in the content. |
© 2023 by the authors. Licensee MDPI, Basel, Switzerland. This article is an open access article distributed under the terms and conditions of the Creative Commons Attribution (CC BY) license (https://creativecommons.org/licenses/by/4.0/).
Share and Cite
Jiang, T.; Guo, X.; Zhang, Y.; Li, D. Study and Quantitative Analysis of Mode Localization in Wind Turbine Blades. J. Mar. Sci. Eng. 2024, 12, 67. https://doi.org/10.3390/jmse12010067
Jiang T, Guo X, Zhang Y, Li D. Study and Quantitative Analysis of Mode Localization in Wind Turbine Blades. Journal of Marine Science and Engineering. 2024; 12(1):67. https://doi.org/10.3390/jmse12010067
Chicago/Turabian StyleJiang, Tao, Xin Guo, Yongpeng Zhang, and Dongsheng Li. 2024. "Study and Quantitative Analysis of Mode Localization in Wind Turbine Blades" Journal of Marine Science and Engineering 12, no. 1: 67. https://doi.org/10.3390/jmse12010067
APA StyleJiang, T., Guo, X., Zhang, Y., & Li, D. (2024). Study and Quantitative Analysis of Mode Localization in Wind Turbine Blades. Journal of Marine Science and Engineering, 12(1), 67. https://doi.org/10.3390/jmse12010067

