Next Article in Journal
Variation in Structure and Functional Diversity of Surface Bacterioplankton Communities in the Eastern East China Sea
Previous Article in Journal
Study and Quantitative Analysis of Mode Localization in Wind Turbine Blades
 
 
Font Type:
Arial Georgia Verdana
Font Size:
Aa Aa Aa
Line Spacing:
Column Width:
Background:
Article

Assessing Long-Term Lake Dynamics in Response to Climatic Variability: A Comprehensive Statistical Analysis

1
Oceanology Department, Southern Federal University, Zorge, 40, 344015 Rostov-on-Don, Russia
2
Department of Cyber-Physical Systems, St. Petersburg State Marine Technical University, 190121 Saint-Petersburg, Russia
*
Author to whom correspondence should be addressed.
J. Mar. Sci. Eng. 2024, 12(1), 68; https://doi.org/10.3390/jmse12010068
Submission received: 5 November 2023 / Revised: 21 December 2023 / Accepted: 22 December 2023 / Published: 27 December 2023
(This article belongs to the Section Physical Oceanography)

Abstract

:
This comprehensive study delves into the intricate relationship between climatic factors and the dynamic changes in lakes across the Kerch Peninsula. By analyzing annual mean temperature, annual mean precipitation, and their impact on lake area, this research uncovers significant insights. Key findings include a strong inverse correlation between rising annual mean temperature and reductions in the lake area. With every 1-degree Celsius increase in temperature, the average lake area decreases by 0.302 square kilometers. The analysis indicates higher temperatures are consistently associated with diminishing lake areas, a trend commonly observed in water bodies. While annual precipitation also influences lake areas, the effect is less pronounced, with a correlation coefficient of 0.141, signifying a positive connection between the two variables. Temporal analysis reveals climate impact exhibits a one-year time lag, meaning changes in the current year’s climate manifest in alterations in lake areas in the subsequent year. Generalized Additive Models provide further insights, emphasizing the complex, non-linear nature of the relationship between climatic factors and lake areas. Pseudo-R2 values for lakes on the Kerch Peninsula range from 0.0913 to 0.2769, indicating the proportion of variability in lake area explained by the models. These values emphasize the significance of essential factors, though some unexplained variability remains. In summary, this research highlights the critical role of climate factors in shaping the dynamics of lakes in the Kerch Peninsula. The findings underscore the need for continued monitoring and adaptive management to address the multifaceted challenges posed by climate change and other contributing factors in this region.

1. Introduction

The modern world has witnessed sharp changes in climate conditions, which impacted the environment and natural resources [1,2]. These changes, primarily driven by human activities, exert a substantial influence on various aspects of ecosystems, including water resources [1]. One of the regions susceptible to adverse climate changes is the Kerch Peninsula [3].
The lakes of the Kerch Peninsula play a vital role in maintaining biodiversity and ecological stability in this region [4]. They serve as a source of freshwater essential for living organisms and provide breeding and habitat for numerous fish and bird species. However, recent studies indicate these lakes are undergoing a reduction in their surface area due to climate change, which may pose significant challenges to the region’s ecosystems and local communities [5].
Forecasts suggest climate change on the Kerch Peninsula continues and intensify, posing a long-term threat to the sustainability of the region’s water resources [6]. It is in this context understanding the interrelation between climate parameters, such as annual mean temperature and precipitation, and lake area becomes of paramount importance.
Considering the aforementioned factors, this study aims to analyze the impact of climate changes on the dynamics of Kerch Peninsula’s lakes using modern data analysis methods, including correlation analysis, regression analysis, and generalized additive model (GAM) analysis.
In the face of ongoing climate changes, scientific research on the influence of climatic factors on water resources, such as lakes, assumes critical significance [7,8,9]. The impact of different climatic factors was investigated in different studies. Zhang [10] conducted a study in Northeast Inner Mongolia Grassland, China, to understand the key factors controlled the variations in lake area and vegetation cover over the last five decades. The study found the variations in the lake area were mainly controlled by precipitation fluctuation, while the vegetation cover was mainly controlled by intense local grazing and climatic change. The study also showed the soil moisture at shallow depths was the key root-zone soil moisture that could influence vegetation cover. In a similar study, Zhang [11] analyzed the long-term changes of the lake area and vegetation coverage in the Qinghai-Tibetan Plateau (QTP) and their relations to climate change. The study found the lake area of the QTP increased significantly during the past 30 years, and the increasing rates have been dramatically sped up since the year 2000. The study also showed the overall Normalized Difference Vegetation Index (NDVI) increased in the QTP during the past 30 years, and the shifts in the temporal climate trend around the year 2000 had led to the lake area and vegetation coverage increasing. Woolway [12] analyzed satellite data from 19 lakes situated across the Northern Hemisphere to investigate how lake surface water temperature (LSWT) changes varied across different lake surfaces. The study found considerable intra-lake variability in warming trends across many lakes, with deep areas of large lakes displaying higher rates of warming of summer LSWT. Meyer-Jacob [13] demonstrated the long-term impacts of acid deposition and climate change on lake-water dissolved organic carbon (DOC) concentrations in low and high acid-deposition areas. The study showed acid depositions suppressed naturally higher DOC concentrations during the 20th century, but a “re-browning” of lakes was now occurring with emissions reductions in formerly high deposition areas. Tan et al. (2020) [14] explored the relationship between land use/land cover (LULC) changes and land surface temperature (LST) in the Dongting Lake area, China. The study found LST varied significantly across LULC types, with water bodies playing an important regulatory role in reducing LST and mitigating thermal effects on the ground. Overall, these studies highlight the complex relationship between climate change and lake areas, vegetation cover, and water temperature, and the need for further research to understand the environmental changes under global warming in different regions.
The Kerch Peninsula, located at the intersection of various climatic zones, is highly vulnerable to climatic fluctuations. This region experiences rising annually mean temperatures and alterations in precipitation, which directly affect its ecological and economic sustainability [6].
The Kerch Peninsula, located in the eastern part of the Crimean Peninsula, has been the subject of various studies focusing on its environmental and ecological aspects.
Krivoguz [3] discuss the use of QGIS, Python, and Sentinel-2 data to automate remote monitoring of water bodies in the Kerch Peninsula. They found using the NDWI index was advisable for this purpose and were able to analyze changes in the areas of the lakes over time. Kelterbaum [15] reconstructed the palaeogeographic and environmental evolution of Lake Chokrak on the Kerch Peninsula during the mid- and late-Holocene, revealing major changes in the palaeogeographic setting of the lake over time. Sokol [16] studied boron enrichment in mud and water emitted by mud volcanoes on the Kerch Peninsula, finding boron content correlated with the burial depth of the source Oligo-Miocene Maykop mudrocks. They also found most highly evolved saline mud volcano waters were enriched in 18 O and D isotopes and were also rich in boron. Finally, Sikorsky [17] provides information about the bird fauna of the State Nature Reserve “Opukskiy” and adjacent territories on the Kerch Peninsula, emphasizing the importance of the reserve in maintaining breeding populations of rare and protected species of birds. The author presents additions to the list of avifauna of the reserve and adjacent territories, providing information on the species composition and state of the bird fauna, their status, and seasonal residence periods for the period from 1989 to 2020.
The study of climate’s impact on the lakes of the Kerch Peninsula holds paramount relevance in the face of the threat of diminishing water resources in the region. These lakes are key components of the peninsula’s ecosystem and vital sources of freshwater for local communities [5,18,19]. Understanding how climate change affects these water bodies can be a determining factor in shaping strategies for resource management and conservation in this unique territory.
Furthermore, the Kerch Peninsula is not unique solely within the Russian context; it possesses global value in terms of its rich biodiversity and natural beauty [16,20,21,22]. Therefore, the findings of this research may have far-reaching consequences, being valuable not only for the region but also for the global understanding of the interplay between climate and water resources.
Previous research touched upon the influence of temperature and precipitation on the state of the Kerch Peninsula’s lakes in the year 2018 [20]. The study described three primary methods of monitoring aquatic bodies: field, remote, and combined. The primary focus was on remote monitoring using Sentinel-2 data, QGIS, and Python. In this work, an automated monitoring method for the lakes of the Kerch Peninsula was proposed based on the Normalized Difference Water Index (NDWI) and a comparative analysis was conducted with the Modified Normalized Difference Water Index (mNDWI). Temporal series of changes in lake areas were derived from the analysis of Sentinel-2 data for the year 2018, revealing characteristic trends. According to the research results, the lakes of the Kerch Peninsula exhibit annual fluctuations in their areas, often reaching up to 100%. Starting from March-April, and at times even February, there is a decline in water levels, which persists through the summer due to rising air temperatures and intensive evaporation. This phenomenon may lead to complete desiccation of the lakes.
For lakes subjected to anthropogenic influences, such as Lake Uzunlarskoye and Lake Churbashskoye, more significant water level fluctuations were characteristic. Lake Uzunlarskoye is afflicted by its proximity to anthropogenic facilities, leading to shoreline deformation and contamination by fuel waste. Lake Churbashskoye is affected by the presence of a disused iron ore mining enterprise, ultimately resulting in severe water pollution. The study has revealed changes in the lake areas on the Kerch Peninsula correlated with the annual temperature variations, groundwater levels, and infiltration from the Black and Azov Seas. Precipitation’s influence on lake area changes is generally negligible and often absent.
This research is directed towards investigating the impact of climatic factors on the dynamics of lake areas in this region. The primary objective of the study is to analyze the relationship between annual mean temperature, annual mean precipitation, and lake area. Within this study, a detailed assessment of the influence of temperature and atmospheric precipitation on changes in lake sizes on the peninsula was planned. The analysis is conducted to identify trends and patterns in this relationship, as well as to determine key inflection points that may indicate critical changes in water resources.
However, the impact of climatic factors on water resources is rarely straightforward. Therefore, the study also encompasses the examination of the complex interaction between temperature and precipitation on lake dynamics. The aim of this analysis is to determine how these two climatic factors jointly affect the lake area and under what conditions this impact is most pronounced.
The synthesis of the research findings will enable conclusions to be drawn regarding the climate’s influence on the water resources of the Kerch Peninsula. Special attention will be paid to the predictive capacity of the GAM model and its adequacy in the context of the studied issue. It is anticipated the results of this study contribute to a better understanding of the relationship between climate change and water resources in the Kerch Peninsula and provide essential data for the development of management and conservation strategies in this region.

2. Materials and Methods

2.1. Research Area

The Kerch Peninsula, situated in the eastern part of the Crimean Peninsula, represents a unique region subject to the influence of both continental and marine climatic factors (Figure 1). Surrounded by the Black and Azov Seas and the Kerch Strait, this region plays a pivotal role in climatic dynamics. With a total area of approximately 3000 square kilometers and characterized by diverse topography, the Kerch Peninsula is a zone of heightened seismic activity, and its climatic features can be described as dry, moderately hot, and of a continental type.
Geologically, the peninsula belongs to the Kerch-Taman fold belt, where sedimentary rocks predominate, reaching thicknesses of over five kilometers. Scientific research confirms seismic activity in the region, comparable to mountain systems like the Caucasus and the Crimean mountains. Particularly high seismic activity is observed in young geological formations, mud volcano zones, and surface movements. Currently, despite previous seismic events, the region is in a state of seismic quiescence.
The climate of the peninsula significantly impacts its surface water resources, including lakes. The annual mean air temperature stands at approximately 11 °C, with summer temperature peaks reaching 35–40 °C and winter minima at −4 °C. The peninsula receives an average of about 459 mm of precipitation annually, with the highest precipitation levels occurring in winter and early spring. There is a tendency for decreasing precipitation from east to west, although precipitation distribution is relatively homogeneous across the entire territory. This climatic context is a significant factor for the lakes on the Kerch Peninsula.
The lakes of the Kerch Peninsula have a marine origin and are located on the shores of the Black Sea, the Sea of Azov, and the Kerch Strait. The lakes’ water supply is maintained by surface watercourses, which result from snowmelt and summer rains. The most well-known lake, Chokrak, is located 16 km from Kerch and is separated from the Sea of Azov by a narrow 320-m sandy spit. The lake waters typically exhibit elevated salinity, rendering them denser than seawater. These lakes also serve as a source of therapeutic mud, although over the past two decades, the lake ecosystem has undergone significant changes due to pollution and salinization, resulting in a substantial reduction in mud volume.

2.2. Statistical Analysis Methods for Assessing the Influence of Climate Factors on the Dynamics of Lake Areas in the Kerch Peninsula

2.2.1. Correlation Analysis

Correlation analysis is a statistical method that allows us to investigate the degree of linear relationship between two variables [23,24,25]. In this context, we explored the correlation between the annual mean temperature (denoted as X ) and the lake area (denoted as Y ), as well as between the annual mean precipitation (denoted as Z ) and the lake area ( Y ).
To begin the analysis, we calculate the Pearson correlation coefficient ( r ), which measures the linear relationship between two continuous variables. The formula for calculating the Pearson correlation coefficient is as follows [26]:
r = i = 1 n X i X ¯ Y i Y ¯ i = 1 n X i X ¯ 2 i = 1 n Y i Y ¯ 2
where X i and Y i are the values of the variables for each of the n observed data points; X ¯ and Y ¯ are the mean values of variables X and Y .
The Pearson correlation coefficient ranges from −1 to 1. A value closer to 1 indicates a positive linear relationship, closer to −1 indicates a negative one, and closer to 0 indicates no linear relationship.
For a more detailed analysis of temporal dependencies, lag correlation was also conducted. Lag correlation assesses the relationship between variables while considering a time lag [27,28,29]. It allows us to identify temporal delays in relationships [30,31]. These correlation analysis methods helped identify and assess statistically significant relationships between the annual mean temperature, precipitation, and lake area in the Kerch Peninsula. This was a crucial step in understanding the impact of climate factors on the water resources of this region.
For calculating lag correlation, the Pearson correlation coefficient, denoted as r k , is applied between two time series data sets shifted by a certain number of time points (lag) [30,32]. The formula for calculating lag correlation between the X and Y data series with a lag of k is as follows:
r = i = 1 n X t X ¯ Y t k Y ¯ i = 1 n X t X ¯ 2 i = 1 n Y t k Y ¯ 2
where X t and Y t represent the respective values of annual mean temperature and lake area at time t ; X ¯ and Y ¯ are the mean values of variables X and Y .
In this case, k represents the time lag by which we shift one of the data series. Positive values of k correspond to a delay in data for one of the parameters. The value of r k can also range from −1 to 1. Positive r k values indicate the existence of positive lag correlation, meaning changes in annual mean temperature (or precipitation) at time t are associated with changes in lake area at time t k . Negative r k values suggest an inverse relationship.

2.2.2. Regression Analysis

Regression analysis is a statistical method used to assess and model the relationships between a dependent variable (in this case, lake area, denoted as Y ) and one or more independent variables (annual mean temperature, denoted as X , and annual mean precipitation, denoted as Z ) [33,34,35]. In this context, we investigated the correlation and influence of annual mean temperature and precipitation on the lake area in the Kerch Peninsula.
In the case of simple linear regression, we explored the relationship between a single independent variable (annual mean temperature or annual mean precipitation) and the dependent variable (lake area). The simple linear regression model takes the following form [36]:
Y = β 0 + β 1 X + ϵ
where Y represents the lake area, X represents either annual mean precipitation or temperature, β 0 is the intercept coefficient, β 1 is the slope coefficient, ϵ represents the error (residuals).
To determine the values of β 0 and β 1 , the least squares method was employed.
In regression analysis, various statistical metrics are used to assess the quality of the model. One of these metrics is the coefficient of determination ( R 2 ), which indicates the proportion of variance in the dependent variable that can be explained by the model [5]. Additionally, tests for the significance of model parameters are conducted, and the adequacy of the model is evaluated [36].
Regression analysis allows us to quantify the relationship between climate variables (temperature and precipitation) and the size of lakes on the Kerch Peninsula. By examining these relationships, we gain insights into the impact of climate factors on water resources in the region. The results of the analysis provide a valuable understanding of how changes in climate parameters affect the lakes in this area, which can be crucial for developing strategies to manage and conserve these natural resources.

2.2.3. Analysis Using GAM Models

In this study, Generalized Additive Models (GAM) were applied to analyze the relationship between changes in the lake area on the Kerch Peninsula and climatic factors such as annual mean temperature and annual mean precipitation. GAMs are a powerful tool for modeling nonlinear relationships, making them particularly useful in the context of studying the impact of climate changes on ecosystems [37,38,39].
The general formula for a GAM is as follows [40]:
Y = β 0 + s 1 X 1 + s 2 X 2 + + s p X p + ϵ
where Y represents lake area, β 0 is the intercept coefficient, s 1 X 1 , s 2 X 2 , , s p X p are smooth functions, representing nonlinear relationships between independent variables X 1 , X 2 , , X p and Y , ϵ is an error.
The smooth functions s in GAMs are estimated using smoothing basis functions, such as cubic splines [41]. The shape of these functions is determined automatically based on the data and can be nonlinear. Smoothing allows us to uncover nonlinear dependencies between climatic parameters and lake areas.
In addition to assessing the shape of dependencies, GAMs also enable the evaluation of the statistical significance and importance of each independent variable. They also facilitate model diagnostics, including assessing adequacy.
The application of GAMs in this study is valuable for understanding the intricate relationships between climate variables and the lake area on the Kerch Peninsula. By employing these models, we can capture complex, nonlinear patterns in the data, which is crucial for gaining a more comprehensive understanding of the impact of climate change on water resources in the region.

2.3. Extraction of Lake Areas on the Kerch Peninsula Using Deep Neural Networks and Landsat Data

In this study, the process of extracting lake area data was accomplished using a deep neural network developed with the Keras framework [42] in the Python programming language. This neural network was specifically adapted for analyzing satellite imagery to extract information about the dynamics of lake areas on the Kerch Peninsula [43].
The architecture of the neural network comprised several key layers. The Flatten layer served the purpose of “flattening” the input data. In this context, it converted two- or multi-dimensional matrices of satellite imagery into one-dimensional vectors. For instance, it transformed a matrix with dimensions (1, 1, 12) into a one-dimensional vector with 6000 elements. This allowed the data to be in a convenient format for further processing by the neural network.
Fully connected layers represented classical layers where each neuron from the previous layer was connected to every neuron in the current layer. Rectified Linear Unit (ReLU) activation functions were used in all layers except the last one. ReLU returns 0 for negative arguments and the argument itself for positive values. This helped reduce computational costs and expedited the model training process. The Softmax activation function was used on the output layer, which was often employed in classification tasks.
The geemap library [44] was used for data extraction. Geemap is a tool specifically designed for the analysis of geospatial data using the Python programming language. It provides numerous functions and capabilities for working with geospatial data, including analysis and visualization. To cover the entire time span of the research, Landsat 5, 7, and 8 satellite images were used. These images provided information about changes in lake areas on the Kerch Peninsula throughout the study period. They were downloaded and processed using the geemap package.
The effective use of deep neural networks in combination with geemap tools and Landsat 5, 7, and 8 satellite imagery allowed for the automated analysis of lake area dynamics on the Kerch Peninsula over the chosen time frame. This approach enables researchers to efficiently monitor changes in lake areas over time, providing valuable insights for the study of environmental conditions and climate-related impacts in the region.

2.4. Data Sources and Description

In the current study, the dynamics of lake areas within the Kerch Peninsula were meticulously analyzed using satellite data from the Landsat series, specifically Landsat 5, 7, and 8. This suite of satellites, managed by NASA and the United States Geological Survey (USGS), forms a cornerstone of Earth observation, offering a continuous and comprehensive view of the planet’s surface since the 1970s.
Landsat 5, operational from 1984 to 2013, was equipped with the Thematic Mapper (TM) sensor. This sensor captured images across seven spectral bands, including the visible, near infrared, and short-wave infrared spectra. The TM sensor’s 30-m spatial resolution made it an invaluable resource for assessing long-term changes in the lake areas of the Kerch Peninsula, providing a historical perspective on landscape dynamics.
The study also incorporated data from Landsat 7, launched in 1999, which carried the Enhanced Thematic Mapper Plus (ETM+). The ETM+ data, with its 30-m resolution and additional panchromatic band providing 15-m resolution, offered crucial insights into the changes in lake areas post-2003.
Finally, the analysis benefited from the advanced capabilities of Landsat 8, operational since 2013. This satellite, equipped with the Operational Land Imager (OLI) and Thermal Infrared Sensor (TIRS), offers enhanced data quality and increased spectral bands. The OLI sensor provides imagery in nine spectral bands at a 30-m resolution, along with a panchromatic band at 15 m, enabling a more detailed and accurate assessment of the recent changes in lake areas.
The combined use of data from Landsat 5, 7, and 8 allowed for a comprehensive and longitudinal analysis of lake area dynamics in the Kerch Peninsula, capturing the nuanced changes driven by climatic and environmental factors over several decades.
Alongside satellite imagery, this study incorporated critical climatic data, specifically temperature and precipitation records, obtained from the meteorological station in Kerch (Station number 33983). These data were meticulously sourced from the RIHMI—WDC (All-Russian Research Institute of Hydrometeorological Information—World Data Center).
The Kerch meteorological station, strategically located within the study area, provided an extensive dataset encompassing long-term temperature and precipitation records. These records were instrumental in assessing the climatic influences on the lake areas in the Kerch Peninsula. The data, spanning several decades, enabled a thorough analysis of temporal trends and patterns in climatic variables, offering insights into their correlation with changes in lake surface areas.
The temperature data included daily, monthly, and annual average temperatures, while the precipitation data encompassed daily, monthly, and annual totals. This comprehensive dataset facilitated a detailed examination of the temporal variations in climatic conditions and their potential impact on the hydrological characteristics of the region’s lakes.
By integrating these climatic records with satellite-based observations, the study achieved a multi-dimensional analysis of the environmental factors influencing lake dynamics in the Kerch Peninsula, thereby enriching the understanding of the complex interplay between climatic variables and water systems.

3. Results

3.1. Dynamics of Lake Areas on the Kerch Peninsula

When discussing the changes in lake areas on the Kerch Peninsula, the data from the beginning of the study period in 1985 indicated the lake areas were relatively stable (Figure 2). Many of these lakes were small and shallow, with their areas changing only minimally. By 1995, some lakes began to increase in size. This change could be linked to climatic factors, such as increased precipitation or alterations in water runoff patterns. However, from 1995 to 2005, there was some variability. Some lakes expanded, while others shrank. This may suggest a complex interplay of various factors, including both climatic and human influences. By 2015, there was a noticeable decrease in some lakes on the peninsula. This decline could be associated with anthropogenic activities, such as the use of lakefront areas for construction or agriculture.
According to the most recent data available up to 2022, the dynamics of changes in lake areas on the Kerch Peninsula continue to be variable. Some lakes may have restored their areas after periods of reduction, while others may continue to decrease.
To gain a comprehensive understanding of these dynamics, it is crucial to correlate these changes in lake areas with climatic factors such as temperature and precipitation (Figure 3). The observed fluctuations may indeed result from a combination of natural climatic variability and human activities, making this region of particular interest for further research and environmental monitoring.
The Kerch Peninsula, situated in a temperate climate zone, experiences fluctuations in annual average air temperatures throughout the observed period, ranging from 9.5 to 13.3 °C. The coldest month is January, with average monthly temperatures ranging from −5.2 to 4.9 °C. An absolute minimum temperature of −23.7 °C was recorded on 23 January 2006, while the absolute maximum temperature occurred twice, on 8 August 2017, and 7 July 2020, reaching +37.9 °C.
It is essential to acknowledge the thermal regime can significantly deviate from multi-year averages in specific years. The coldest years within the 37-year period were 1985 and 1987 when the annual average temperature was 2.5 °C below the climatic norm. Conversely, the warmest years were 2010 and 2020, with an annual average temperature of 13.3 °C.
Analyzing the air temperature dynamics on the Kerch Peninsula, we observed in 1985, the annual average temperature was approximately +9.5 °C. A decade later, in 1995, there was an increase in the annual average temperature to around +10.2 °C, suggesting a trend toward rising temperatures in the region. Over the next decade, in 2005, the annual average temperature continued to rise, reaching values of approximately +12.2 °C. This period was characterized by the most noticeable acceleration in temperature rise on the peninsula. In the subsequent years, from 2015 to 2022, there is a continued increase in the annual average temperature. By 2022, the annual average temperature had reached +12.5 °C. This trend indicates the annual average air temperature on the Kerch Peninsula is on the rise, with far-reaching implications.
First and foremost, a persistent trend of increasing annual average temperatures is observed. The main contributor to this recorded positive trend in temperature is the southwest atmospheric circulation, characterized by the more frequent appearance of southern cyclones.
Equally important is the change in the amplitude of fluctuations in the annual average temperature. At the beginning of the analyzed period, the amplitude of changes was relatively moderate, characteristic of some natural variability. However, as time progressed, the amplitude increased, indicating a growth in climatic instability in the region. This can have far-reaching consequences for the biosphere and geosystems of the peninsula.
An essential aspect of climate change on the Kerch Peninsula is the identification of possible anomalies in temperature regimes. The analysis notes rare but significant events related to abnormally high or low temperatures. These anomalies can result from natural disasters or changes in regional climate patterns.
In summary, the analysis conducted reveals the Kerch Peninsula is subject to the influence of global climate change processes. The rising annual average temperature, increasing amplitude of fluctuations, and the occurrence of anomalies are integral parts of this process. Such changes can have a significant impact on the natural and social systems of the region, necessitating further attention and scientific analysis.
Analyzing the data on precipitation changes at the Kerch station, it is evident monthly precipitation on the peninsula exhibits pronounced seasonality. The highest precipitation occurs during the winter months, especially in January and February, while summer months (June, July, and August) witness a substantial decrease in precipitation.
The graph also illustrates some variability in precipitation levels over time. From 1985 to 1995, monthly precipitation varied, but it eventually stabilized to a consistent level. From 1995 to 2005, monthly precipitation exhibited pronounced seasonality, but there were also years with higher and lower precipitation levels. This variability may be attributed to long-term climatic factors.
From 2005 to 2015, precipitation continued to vary, and there were noticeable years with both high and low precipitation levels, indicating the complex nature of climate change. Overall, the peninsula experiences seasonality in precipitation, with the highest values during winter and the lowest during summer. Over time, variability in precipitation persists, and there are occasional years with high and low levels of precipitation.

3.2. Correlation Analysis

The correlation matrix for Lake Aktashskoye (Figure 4) reveals a negative relationship between the lake’s area and the average temperature (−0.278460). This indicates an increase in temperature in the previous year may contribute to a reduction in the area of Lake Aktashskoye. On the other hand, the correlation with precipitation is positive (0.230810), suggesting higher precipitation in the previous year may lead to an increase in the lake’s area. These relationships can be interpreted from the perspective of the lake’s water balance. Increasing temperature can enhance water evaporation from the lake, potentially causing a decrease in its area. Conversely, increased precipitation can augment the lake’s water level and, consequently, its area.
The correlation matrix for Lake Chokrakskoye shows a weak negative relationship between the lake’s area and average temperature (−0.083627). This indicates a limited influence of temperature on the size of Lake Chokrakskoye. A positive correlation with precipitation (0.149880) emphasizes precipitation levels may have a more significant impact on the lake’s area. This situation may be attributed to the lake’s characteristics and its environment. One of the primary water sources for Lake Chokrakskoye involves the consistent replenishment of water through infiltration from the thin coastal strip with the Azov Sea, which is not highly dependent on climate changes, including air temperature.
For Lake Uzunlarskoye, a moderate negative correlation between the lake’s area and average temperature (−0.332179) is observed. This indicates increasing temperatures may decrease the area of Lake Uzunlarskoye. On the other hand, a correlation with precipitation (0.496998) is positive, suggesting precipitation has a more moderate positive impact on the lake’s area. The reason for this dependence may be Lake Uzunlarskoye is more sensitive to temperature changes than to precipitation. This is likely due to the fact water supply, similar to Lake Chokrakskoye, primarily occurs through infiltration from the Black Sea. However, in the case of Lake Uzunlarskoye, the thermal regime plays a more critical role in its state.
For Lake Tobeckikskoye, there is a very weak positive correlation between the lake’s area and average temperature (0.065856). This indicates temperature has a limited impact on the lake’s size. The correlation with precipitation (0.127284) is also weak but positive, suggesting precipitation may have some influence on the area of Lake Tobeckikskoye. Likely, this is because Lake Tobeckikskoye maintains relatively stable water supply conditions, thanks to its proximity to the Kerch Strait, which is not significantly affected by climate factors. However, even small changes in temperature and precipitation may lead to minor variations in its area.
Analyzing the correlation matrix for Lake Marfovskoye, a negative correlation between the lake’s area and average temperature (−0.440911) is evident. This observation indicates the sensitivity of Lake Marfovskoye to temperature changes. The possible cause of this phenomenon is the acceleration of water evaporation from the lake at elevated temperatures, leading to a decrease in its area. Nevertheless, underground water sources may also influence this relationship. A positive correlation with atmospheric precipitation (0.149034) suggests increased precipitation can have a positive impact on the area of Lake Marfovskoye. This effect can be explained by excess precipitation increasing underground water reserves, ultimately contributing to an expansion of the lake’s area.
The correlation matrix for Lake Koyashskoye shows a moderate negative correlation between the lake’s area and average temperature (−0.070268). This suggests increasing temperature may reduce the lake’s area. The reasons for this may be related to increased water evaporation from the lake at higher observed temperatures. The negative correlation with precipitation (−0.031058) may indicate increased precipitation can mitigate the reduction in the lake’s area due to water evaporation at high air temperatures. Additional precipitation might compensate for the increased evaporation, ultimately having a limited impact on the area of Lake Koyashskoye.
In summary, the analysis of correlation matrices for lakes on the Kerch Peninsula reveals several general trends and helps understand which factors influence the sizes of these lakes.
  • Most lakes on the peninsula exhibit a negative correlation between the lake’s area and average temperature. This indicates increasing temperatures often coincide with a reduction in the lake’s area. Air temperature has a significant impact on water evaporation from the lakes, which may lead to size reduction.
  • Despite the general trend, the degree of correlation between the lake’s area and temperature may vary among specific lakes. For example, Lake Marfovskoye shows a higher negative correlation with temperature compared to other lakes, indicating a stronger influence of temperature on its changes.
  • Although the correlation between the lake’s area and total precipitation is less pronounced and often close to zero, some lakes, such as Marfovskoye and Kachik, demonstrate a positive correlation with precipitation. This can be linked to additional precipitation increasing underground water reserves, affecting the lake’s size.
  • Each lake has its unique characteristics and responds differently to climatic factors, emphasizing the importance of an individual approach to the management and conservation of these water resources on the Kerch Peninsula.

3.3. Correlation Analysis with A One-Year Lag

In this section, we delve into the correlation analysis with a one-year lag, aiming to understand the delayed effects of temperature and atmospheric precipitation on the areas of lakes on the Kerch Peninsula (Figure 5).
The analysis of the correlation matrix for Lake Aktashskoye reveals a negative relationship between the lake’s area and temperature with a one-year lag (−0.198969). This can be interpreted as an indicator that an increase in temperature in the preceding year may lead to a reduction in the lake’s area. However, it is important to note the correlation with precipitation with a one-year lag is 0.178537, indicating a positive relationship. This suggests higher precipitation in the previous year may contribute to an increase in the lake’s area.
Lake Chokrakskoye, while having a lower negative correlation between area and temperature (−0.012173) compared to other lakes, is of interest due to temperature having a limited impact on the lake’s size. However, the positive correlation with precipitation (0.207918) suggests precipitation may have a more significant influence on the lake’s area. Therefore, this lake may be less sensitive to temperature changes but more dependent on precipitation. This could be related to the hydrology of this lake and the precipitation regime on the peninsula.
Lake Uzunlarskoye demonstrates a moderate negative correlation between the lake’s area and temperature (−0.341079). This indicates an increase in temperature in the previous year may reduce the lake’s area. On the other hand, the correlation with precipitation is 0.094466, pointing to a weaker positive effect of precipitation on the lake’s area. Consequently, it can be concluded the weak positive correlation with precipitation suggests more complex relationships between climatic factors and the lake’s area.
For Lake Tobeckikskoye, there is a very weak positive correlation between the lake’s area and temperature (0.065856). This indicates the temperature in the preceding year has a limited impact on the lake’s area. Similarly, the correlation with precipitation (0.127284) is weak but positive, suggesting precipitation may have some influence on the lake’s area. This characteristic makes Lake Tobeckikskoye less sensitive to climate factors.
Lake Marfovskoye exhibits a moderate negative correlation between the lake’s area and temperature (−0.470142), suggesting an increase in temperature may lead to a reduction in the lake’s area. On the other hand, the correlation with precipitation is 0.346489, indicating a moderate positive impact of precipitation on the lake’s area. These relationships make Lake Marfovskoye sensitive to climate changes and particularly dependent on precipitation.
Lake Koyashskoye also shows a moderate negative correlation between the lake’s area and temperature (−0.281145), indicating higher temperatures may reduce the lake’s area. The correlation with precipitation is −0.130955, suggesting a weak negative effect of precipitation on the lake’s area. This means climate factors, especially temperature, can have a more significant impact on this lake.
In summary, most lakes on the peninsula generally exhibit a negative correlation between the lake’s area and the previous year’s temperature. This suggests an increase in temperature in the preceding year is often associated with a decrease in the lake’s area. However, the degree of this correlation varies among the lakes. For instance, Lake Marfovskoye has a stronger negative correlation with temperature compared to other lakes, indicating a more pronounced impact of temperature on its changes.
The correlation between the lake’s area and precipitation in the previous year is less pronounced and often close to zero. This suggests changes in precipitation in the previous year likely have a lesser impact on the lake’s area on the Kerch Peninsula.
It is important to note there are some differences in correlations between specific lakes. For example, Lake Aktashskoye and Lake Chokrakskoye have a positive correlation with precipitation, although this correlation is not very pronounced.
Overall, it can be concluded temperature in the preceding year generally has a more significant impact on changes in the lake’s area on the Kerch Peninsula than precipitation. This may be due to the influence of temperature on water evaporation from the lakes and their filling regime.

3.4. Regression Analysis

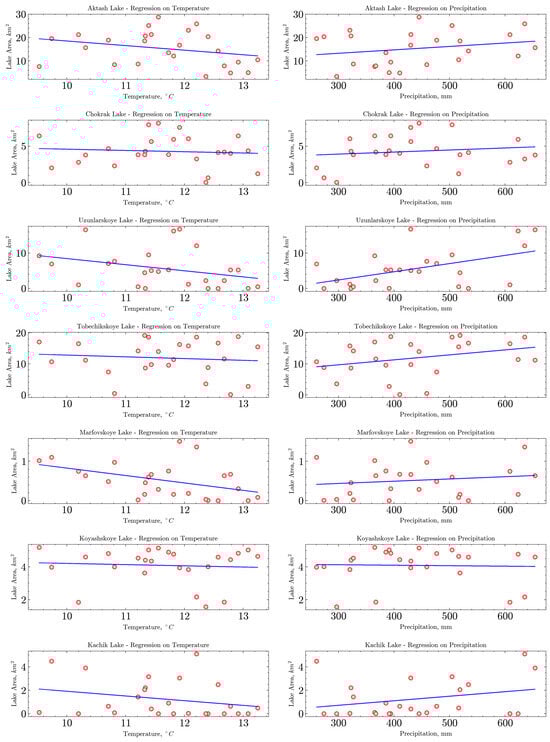
The regression analysis for the Aktashskoye Lake indicates a substantial negative trend, with an annual decrease in the lake’s area (Figure 6). The coefficient of determination R 2 of 0.2206 suggests the regression model accounts for 22.06% of the variability in the lake’s area. A low p -value of 0.0178 confirms the statistical significance of this trend. The lake is shrinking at an average rate of 0.3451 km2 per year.
Similary, the Cokrakskoye Lake displays a negative trend in its area, with an annual reduction. The R 2 value of 0.0781 indicates the regression model explains 7.81% of the variance. The p -value, though not very low at 0.1759, suggests potential statistical significance. The average annual decrease in the lake’s area is 0.0606 km2.
The analysis reveals the Uzunlarskoye Lake is also experiencing a reduction in its area over time. The negative slope of −0.2416 indicates a declining trend. The R 2 value of 0.1988 suggests the regression model accounts for 19.88% of the variation in the lake’s area. A low p -value of 0.0255 confirms the statistical significance of this trend. The average annual decrease is 0.2416 km2.
The Tobechikskoye Lake’s regression analysis shows a negative trend with an annual decrease in its area. However, the R 2 value of 0.0353 is relatively low, indicating only 3.53% of the variability in the lake’s area can be explained by the regression model. The p -value of 0.3685 suggests low statistical significance. The average annual decrease is 0.1099 km2.
Regression analysis for the Marfovskoye Lake indicates a negative trend with a yearly reduction in area. The R 2 value of 0.2658 suggests 26.58% of the variation in the lake’s area is explained by the regression model. A low p -value of 0.0083 confirms the statistical significance of this trend. The average annual decrease is 0.0230 km2.
The Koyashskoye Lake also exhibits a negative trend, with a yearly reduction in area. The R 2 value of 0.0739 indicates the regression model explains 7.39% of the variance. While the p -value of 0.1886 suggests potential statistical significance, it is not as strong as in some other cases. The average annual decrease is 0.0299 km2.
The regression analysis for Kachik Lake reveals a negative trend, with a slope of −0.0438, indicating a consistent reduction in its area. The coefficient of determination is 0.0730, suggesting the regression model explains 7.30% of the variability in the lake’s area. The p -value is 0.1914, indicating a level of statistical significance. The average annual decrease in Lake Kachik’s area is 0.0438 km2.
Consequently, it can be concluded all the lakes on the peninsula exhibit a negative trend, signifying a decrease in their areas over time (Table 1). This overarching trend is substantial and characterizes long-term environmental changes. Nonetheless, variations in the rates of area reduction are present. For instance, the Marfovskoye and Uzunlarskoye Lakes are experiencing a more rapid decline, as indicated by their steeper regression slopes. Despite these differing rates, statistical analysis demonstrates changes in the lake areas are statistically significant for most lakes on the peninsula, as confirmed by the low p -values.

3.5. Analysis Using GAM Models

From the graphs depicting the relationship between the Lake Aktashskoye (Figure 7) area and temperature and precipitation, it can be deduced, as temperature increases, the lake’s area generally expands. However, there are specific inflection points where this growth decelerates or comes to a halt. Precipitation also exerts an influence on the lake’s area, and this impact may not be linear. The model also considers the interaction between temperature and precipitation.
The influence of this interaction can be intricate and contingent on specific conditions. In the dependency graphs, one can observe how the combined effect of temperature and precipitation can introduce changes to the lake’s area. The pseudo R2 of the model is approximately 0.0913. This value signifies the model elucidates only a small portion of the data’s variance, which may be due to the possibility that changes in the Aktashskoe Lake area could be influenced by numerous other factors not encompassed by this model.
Based on statistical tests, it can be affirmed the selected smoothing functions (spline functions) for temperature, precipitation, and their interaction are statistically significant and vital for explaining changes in the lake’s area. Furthermore, the dependency graphs enable the observation that the influence of temperature and precipitation on the lake’s area is nonlinear and has its limits.
An analysis of the relationship between Lake Chokrakskoe’s area (Figure 8) and the annual average temperature revealed a significant dependence between these variables. The dependency graph demonstrated a nonlinear nature of the relationship with distinct inflection points. This underscores the lake’s area responds to changes in temperature. Specifically, as the annual average temperature increases, the lake’s area tends to expand, but this growth slows with rising temperatures. Similarly, an analysis of the impact of annual average precipitation on the area also unveiled important patterns expressed through a nonlinear relationship with clear inflection points. Precipitation has a substantial impact on the lake’s area, and an increase in precipitation can lead to a significant expansion of the lake’s area, but only up to a certain precipitation level, beyond which area growth decelerates.
An analysis of the relationship between Lake Chokrakskoe’s area and the annual average temperature revealed a significant dependence between these variables. The dependency graph demonstrated a nonlinear nature of the relationship with distinct inflection points. This underscores the lake’s area responds nonlinearly to changes in temperature. Specifically, as the annual average temperature increases, the lake’s area tends to expand, but this growth slows with rising temperatures. Similarly, an analysis of the impact of annual average precipitation on the area also unveiled important patterns expressed through a nonlinear relationship with clear inflection points. Precipitation has a substantial impact on the lake’s area, and an increase in precipitation can lead to a significant expansion of the lake’s area, but only up to a certain precipitation level, beyond which area growth decelerates.
The investigation of the interaction between the annual average temperature and precipitation unveiled a complex relationship. Interestingly, under certain conditions, an increase in temperature is accompanied by an expansion of the lake’s area, particularly at high levels of precipitation. However, under specific combinations of temperature and precipitation, this effect can change, and changes in one factor may be offset by the other.
The results of the analysis indicate a complex and nonlinear nature of the influence of the annual average temperature and precipitation on the area of Lake Chokrakskoe. Furthermore, they constitute crucial factors determining changes in the lake’s size. It is also important to note the model’s predictive capability is relatively low, approximately 0.27, indicating the model can adequately explain only 27% of the variability in the lake’s area, relying solely on data regarding temperature and atmospheric precipitation levels, as well as their combined impact. This is most likely explained by the influence of other factors that can significantly affect changes in lakes on the Kerch Peninsula.
For Lake Uzunlarskoye, the LinearGAM model has identified (Figure 9) a significant and statistically meaningful interaction between the annual mean temperature and annual mean precipitation ( p < 0.001 ). This interaction describes how changes in air temperature and precipitation levels influence variations in Lake Uzunlarskoye. The analysis indicates an increase in both the annual mean temperature and annual mean precipitation leads to an expansion of the lake’s area. This may suggest warmer and wetter years contribute to an increase in the lake’s area.
The assessment of the predictive ability of the LinearGAM model is based on the pseudo R2, which stands at 0.1167. This value reflects approximately 11.67% of the variability in Lake Uzunlarskoye can be explained by the annual mean temperature, annual mean precipitation, and their interaction. Test results indicate all utilized features, including annual mean temperature, annual mean precipitation, and their interaction, exhibit high statistical significance ( p < 0.001 ), affirming the model’s good fit to the data.
The model has detected the annual mean temperature had a statistically significant impact on the lake’s area ( p < 0.001 ). This implies changes in air temperature influence alterations in the lake’s area. When analyzing the annual mean precipitation for Lake Uzunlarskoye, the LinearGAM model also identified its statistical significance concerning changes in the lake’s area. This suggests precipitation plays a crucial role in the dynamics of the lake’s area. The interpretation of results shows an increase in annual mean precipitation contributes to an expansion of the lake’s area. Precipitation is a key factor in determining the water level of the lake. Higher precipitation leads to increased water inflow and, consequently, an enlargement of the lake’s area. The interaction between the annual mean temperature and annual mean precipitation has also proven to be statistically significant in the analysis of Lake Uzunlarskoye’s area. This interaction indicates changes in temperature and precipitation jointly exert a substantial influence on the lake’s area.
The analysis of the relationship between the area of Lake Tobechikskoye (Figure 10) and the annual mean temperature reveals the model identifies a statistically significant impact of the annual mean temperature on the lake’s area ( p < 0.001 ). This confirms changes in environmental temperature affect the size of lake. Examples of the relationship demonstrate with an increase in the annual mean temperature, the lake’s area tends to expand. It is essential to note the presence of inflection points in this relationship, which may indicate critical temperature values at which the nature of the impact changes.
When analyzing the relationship between the lake’s area and annual mean precipitation, the LinearGAM model also detected the statistical significance of this impact. This reaffirms the significant role of precipitation in determining the dynamics of the lake’s area. The relationship shows an increase in annual mean precipitation contributes to an expansion. The interaction between the annual mean temperature and annual mean precipitation has also proven to be statistically significant concerning its area. This interaction suggests changes in temperature and precipitation, when combined, have a strong impact on the water surface.
Summarizing, it can be stated both the annual mean temperature and annual mean precipitation exert a substantial influence on the area of Lake Tobechikskoye. Increasing temperature and greater precipitation contribute to the expansion of the lake’s area. The pseudo R2 (0.1271) indicates this model explains approximately 12.71% of the variability in the lake’s area.
For Lake Marfovskoye, the model demonstrated (Figure 11) statistically significant influences of mean annual temperature, mean annual precipitation, and their interaction on the lake’s area. This underscores the pivotal role of climatic factors in determining changes in their dimensions. The analysis of the relationship between the lake’s area and mean annual temperature revealed an increase in temperature corresponded to an expansion of the first. Temperature exerts a positive influence on it. Inflection points are observed, suggesting the possible presence of critical temperature values at which changes in the area become more pronounced.
Mean annual precipitation also has a significant impact on Marfovskoye Lake’s area. Increased precipitation contributes to the expansion of the lake, highlighting the substantial role of precipitation in the watershed and maintenance of the water level in the lake. The interaction between mean annual temperature and mean annual precipitation has also proven to be statistically significant. This interaction indicates changes in both temperature and precipitation may interact and enhance their influence on area. Wet and warm years may lead to a considerable increase in it.
Generally, it can be concluded both mean annual temperature and mean annual precipitation play a substantial role in determining the dynamics of Marfovskoye Lake. However, the model can only explain approximately 9.65% of the variability in the lake’s area, which is relatively low, suggesting other factors likely play a more significant role in its area changes.
The GAM model for Koyashskoye Lake (Figure 12) identified statistically significant influences of various factors on the lake’s area. This indicates changes in climatic parameters significantly affect the lake’s size. An analysis of the relationship between the lake’s area and mean annual temperature revealed an increase in mean annual temperature was associated with an expansion of the lake’s area.
The model for Koyashskoye Lake identified statistically significant influences of various factors on the lake’s area. This indicates changes in climatic parameters significantly affect the lake’s size. An analysis of the relationship between the lake’s area and mean annual temperature revealed an increase in mean annual temperature was associated with an expansion of the lake’s area.
Furthermore, the analysis of the relationship between the lake’s area and mean annual precipitation suggests increased precipitation also has a positive impact on the lake’s area, enhancing its water supply. It is important to note the model also revealed an interaction between mean annual temperature and mean annual precipitation. This interaction may vary depending on climatic conditions and indicates complex processes that can influence the lake’s size.
The overall predictive capability of the GAM model for Koyashskoye Lake is assessed as moderate, with a pseudo R2 value of 0.1634. This means the model explains approximately 16.34% of the variability in the lake area, which can be considered a satisfactory result.
The analysis of the relationship between Lake Kachik’s area (Figure 13) and the mean annual temperature identifies a statistically significant correlation between these factors. Visual analysis demonstrates an increase in the mean annual temperature corresponds to an upward trend in the lake’s area. Mean annual precipitation also exerts a statistically significant influence on it.
The relationship indicates higher mean annual precipitation contributes to an enlargement of the lake’s area. Excessive precipitation can lead to increased runoff, subsequently expanding the lake. Furthermore, the interaction between mean annual temperature and mean annual precipitation also has a statistically significant impact on Lake Kachik’s area. Also, it can be concluded both annual temperature and annual precipitation significantly affect the area, leading to an increase in its size. The LinearGAM model demonstrates adequate predictive capabilities regarding changes in the lake’s area based on mean annual temperature, mean annual precipitation, and their interaction. The pseudo R2 of 0.1741 indicates a good explanatory power of the model, accounting for only 17.41% of the variability.
Overall, the pseudo R2 for all lakes remains at a relatively low level, suggesting annual temperature and precipitation, considered individually, can only explain a small portion of the variation in lake areas. It is important to note the influence of temperature and precipitation may be more significant when their interaction is considered. However, even in this case, the pseudo R2 remains insufficiently high to consider temperature and precipitation as dominant factors in the change of lake areas. In general, while mean annual temperature and mean annual precipitation may play a certain role in altering the lake areas on the Kerch Peninsula, they are not the sole determinants. The complex interplay of climatic, geographical, and human factors underscores the importance of further research on this topic to gain a deeper understanding of water resource dynamics in this region.

3.6. Accuracy of the GAM Models

In assessing the accuracy of the GAM applied to analyze the impact of climatic factors on the surface areas of lakes in the Kerch Peninsula, a comprehensive approach was taken. A range of statistical metrics was employed to ensure the robustness and reliability of the models (Table 2).
The models’ complexity was balanced, as indicated by the Effective Degrees of Freedom (EDoF), which stood at approximately 2.97 for each model. This level of EDoF suggests the models were sufficiently complex to capture the underlying patterns in the data without the risk of overfitting.
The explanatory power of the models, as represented by the pseudo R2 values, varied modestly, with scores ranging from 0.0913 to 0.2769. These values imply the models have a moderate level of success in explaining the variations in lake surface areas due to changes in climatic conditions.
The models’ fit and relative quality were further evaluated using the Akaike Information Criterion (AIC). The AIC values, which varied across the models, were essential in determining the models that best balanced data fit with simplicity.
Lastly, the scale parameter, reflecting the variance of the error terms, was found to be relatively low in all models, indicating a high level of precision in the predictions.

4. Discussion

4.1. General Trends of Climate Impact on the Dynamics of Lakes in the Kerch Peninsula

The conducted analysis has revealed several patterns regarding the influence of climate change on the state of lakes in the Kerch Peninsula.
First and foremost, a strong inverse correlation with the increase in atmospheric air temperature is observed. The calculated correlation coefficient between temperature and lake area is −0.302. This signifies, with a 1-degree Celsius increase in the annual mean temperature, the lake area decreases on average by 0.302 km2. This finding allows us to conclude higher temperatures are associated with a reduction in lake areas on the peninsula, a trend typical for water bodies in general, although not solely.
Annual precipitation also exerts an influence on lake areas, but this impact is less pronounced. The correlation coefficient between precipitation and lake area is 0.141, indicating a positive connection between the two.
One crucial aspect of climate impact on lakes is temporal delay. Lag-correlation analysis has shown the climate’s influence had a one-year time lag. This implies changes in the climate in the current year may manifest in alterations in lake areas in the following year.
GAM, accounting for non-linear dependencies, have complemented our conclusions. The Effective Degrees of Freedom for the annual mean temperature and precipitation were 2.9725. This suggests a complex non-linear nature of the relationship between these factors and the lakes areas. Besides climatic factors, other, non-climate-related factors significantly influence lakes areas.
Pseudo-R2 values for the lakes on the Kerch Peninsula range from 0.0913 to 0.2769. These values indicate the proportion of variability in the lakes areas that can be explained by the models used. Pseudo-R2 values close to zero indicate a low explanatory power of the model, while values near one indicate high explanatory power. In our case, the pseudo-R2 values show the models encompass essential factors, but some unexplained variability remains, which might be attributed to other factors or more complex interactions.
Presented research finds relevant parallels and distinctions when compared with significant contributions in the field. The investigations by Yaning Chen [45,46] into the impact of regional climate change on river runoff and glacial-lake outburst floods in China establish a contextual understanding of hydrological responses to climatic variations. These studies correlate with the observed impacts of temperature and precipitation shifts on lake areas in the Kerch Peninsula. In parallel, Liping Zhu’s extensive research [47] on the changes in lake water storage and their responses to climate change in the Tibetan Plateau provide an informative comparative backdrop. Their utilization of remote sensing data and bathymetric analysis offers methodological insights that enrich the understanding of the current study’s findings. Similarly, Guoqing Zhang’s exploration [48,49] of lake water level variations and lake evolution under the impact of climate change, particularly in the Tibetan Plateau, aligns with the trends observed in the lakes of the Kerch Peninsula. Zhang’s methodological approach, involving ICESat altimetry data and gauge measurements, presents a valuable perspective for future research methodologies in similar studies. Further, the work of Junqiang Yao [50] in analyzing temperature and precipitation trends and studying the hydrological responses in the Ebinur Lake Catchment supports the findings of significant climatic influences on lake dynamics, as observed in the current study. Moreover, Xiao-Yan Li’s analyses [51,52] of the climate change impacts in the Qinghai Lake Watershed and the associated sandy land development highlight the complex nature of climate impacts, encompassing both hydrological changes and land use alterations.
The current study adds to this existing body of knowledge by focusing on the less-studied region of the Kerch Peninsula. It extends the research themes by examining the specific impacts of regional climate variability over recent decades on the surface dynamics of the peninsula’s lakes. The findings emphasize the necessity of considering the direct and indirect impacts of climate change on aquatic ecosystems and advocate for integrated research approaches that combine surface analysis with in-depth hydrological and sediment-based studies.
In conclusion, despite the pronounced climate change and aridification of the Kerch Peninsula over the past 35 years, the climate’s contribution to the dynamics of water bodies in the region is not determinative. These changes were more likely driven by constantly shifting levels and directions of impact, as well as ongoing political and economic instability on the peninsula. This, in turn, has led to the absence of a clear plan for managing the peninsula’s water resources and their subsequent degradation. Even with the recent stabilization of all political and economic factors, the situation still poses a risk and requires ongoing monitoring.

4.2. Practical Recommendations for Addressing the Decline of Water Resources on the Kerch Peninsula

The water resource situation on the Kerch Peninsula presents a complex issue that demands a comprehensive and sustainable approach. Based on the analysis of climate data and research on the impact of climate on the peninsula’s lakes, a set of practical recommendations can be proposed, considering global best practices in water resource management.
First and foremost, attention should be directed toward enhancing the monitoring system for climate change and water resources. The expansion of meteorological data collection stations and those responsible for monitoring the condition of water bodies on the Kerch Peninsula is a critical initial step, as there is currently only one such station. This would enable the collection of precise data on temperature, precipitation, and water levels. The integration of modern technologies, such as remote sensing, should also be considered for continuous monitoring of changes. Based on this data, more accurate forecasts and long-term trend analyses can be developed.
Special emphasis should be placed on improving the efficiency of water resource utilization. This includes upgrading water supply and sewage systems to reduce leakage, as well as modernizing agricultural and urban irrigation systems for more efficient water use. Educating the population about water conservation principles and conscious consumption will also be a crucial aspect of this effort.
It is imperative to develop climate adaptation strategies, encompassing development scenarios and crisis measures. Significant attention should be devoted to water supply during periods of drought and water management during periods of increased precipitation. Effective measures may involve the construction of reservoirs, the establishment of water purification systems, and flood protection measures.
These practical recommendations, rooted in an evidence-based approach, can contribute to the sustainable management and preservation of water resources on the Kerch Peninsula, thereby addressing the challenges posed by climate change and ensuring a more secure and resilient water future for the region.

4.3. Limitations of This Study

Research in the field of climate change and its impact on water resources always encompasses certain limitations and shortcomings. It is crucial to consider these aspects when interpreting the results and formulating conclusions. Here are some of the limitations that may be applicable to this study.
The size and quality of available data can influence the accuracy of the analysis. In some instances, data on climate parameters or lake areas were either unavailable or spatially and temporally limited, which may lead to restrictions on the results. Climate parameters such as temperature and precipitation can vary across different years and seasons. A study focused on a specific time interval may not capture the full complexity of climate dynamics.
Lakes and aquatic ecosystems, in general, are intricate and subject to multiple influences such as impacts, land use changes, pollution, and more. Establishing a direct link between climate changes and lake area alterations can be challenging due to these factors.
The use of models, such as Generalized Additive Models (GAM), involves assumptions about the functional relationships between variables. These assumptions may vary depending on the chosen model, and some aspects of the interaction between climate parameters and lakes may not be fully considered.
Long-term changes in climate and water resources may require analysis over more extended temporal intervals than the available data. A study conducted within a limited time frame may not capture long-term trends.
The findings and conclusions of this study are specific to the context of the Kerch Peninsula and may not be to other regions with different climate and ecological characteristics.
Some factors that were critical for changes in water resources were not considered in the study due to data limitations.
Despite these limitations, this study represents a significant contribution to the understanding of the interplay between climate changes and water resource dynamics on the Kerch Peninsula. Understanding these relationships is crucial for the development of adaptation strategies and sustainable water resource management in the face of a changing climate.

5. Conclusions

The research conducted on the Kerch Peninsula’s lake dynamics under the influence of climate change from 1985 to 2022 revealed profound insights. It is observed the lakes’ surface areas have diminished significantly, with a direct correlation to climatic variables, especially temperature and precipitation. The study notes an inverse relationship between rising atmospheric temperatures and the lake areas, signifying a critical susceptibility of these water bodies to temperature fluctuations. Precipitation also plays a notable role, albeit secondary to temperature, in influencing the lake areas, contributing variably across different lakes.
Notably, the research uncovers a temporal lag in the impact of climatic changes on lake dynamics, where alterations in climate variables each year manifest in lake areas in the subsequent year. This finding, derived through the application of Generalized Additive Models, underlines the non-linear and complex nature of these interactions.
From a regional perspective, these findings carry substantial implications for environmental management and policymaking in the Kerch Peninsula. They underscore the urgency for adaptive strategies in response to the evolving climate. On a broader scale, the study contributes significantly to the global discourse on climate change and its impact on water resources, providing valuable insights into similar ecological contexts globally.

Author Contributions

Conceptualization, D.K. and S.C.; methodology, L.B.; software, A.I.; validation, D.K., S.C. and A.Z.; formal analysis, S.C.; investigation, A.Z.; resources, I.G.; data curation, P.T.; writing—original draft preparation, D.K.; visualization, L.B.; supervision, A.I.; project administration, A.V.; funding acquisition, A.Z. All authors have read and agreed to the published version of the manuscript.

Funding

The research is partially funded by the Ministry of Science and Higher Education of the Russian Federation as part of the World-class Research Center program: Advanced Digital Technologies (contract No. 075-15-2022-312 dated 20 April 2022).

Institutional Review Board Statement

Not applicable.

Informed Consent Statement

Not applicable.

Data Availability Statement

All data relevant to or analyzed in the study are contained within the article.

Conflicts of Interest

The authors declare no conflicts of interest.

References

  1. Anderson, R.; Bayer, P.E.; Edwards, D. Climate Change and the Need for Agricultural Adaptation. Curr. Opin. Plant Biol. 2020, 56, 197–202. [Google Scholar] [CrossRef]
  2. Goñi, M.F.S. Regional Impacts of Climate Change and Its Relevance to Human Evolution. Evol. Hum. Sci. 2020, 2, e55. [Google Scholar] [CrossRef]
  3. Zhilenkov, A.; Chernyi, S.; Emelianov, V. Application of Artificial Intelligence Technologies to Assess the Quality of Structures. Energies 2021, 14, 8040. [Google Scholar] [CrossRef]
  4. Borovskaya, R.; Zhugaylo, S.; Pugach, M.; Adzhiumerov, E.; Krivoguz, D. Current State of the Habitat of Commercial Invertebrates in the Hypersaline Lakes of Crimea. Aquat. Bioresour. Environ. 2020, 3, 35–49. [Google Scholar] [CrossRef]
  5. Borovskaya, R.V.; Smirnov, S.S. Technology of water surface area calculation using data received from artificial satellites of Sentinel-2 series, and its implementation for determination of the surface areas of the Crimean saline lakes. MSoE 2020, 36–43. [Google Scholar] [CrossRef]
  6. Krivoguz, D.; Bespalova, L. Analysis of Kerch Peninsula’s Climatic Parameters in Scope of Landslide Susceptibility. Bull. KSMTU 2018, 2, 5–11. [Google Scholar]
  7. Fawzy, S.; Osman, A.I.; Doran, J.; Rooney, D.W. Strategies for Mitigation of Climate Change: A Review. Environ. Chem. Lett. 2020, 18, 2069–2094. [Google Scholar] [CrossRef]
  8. O’Neill, B.C.; Carter, T.R.; Ebi, K.; Harrison, P.A.; Kemp-Benedict, E.; Kok, K.; Kriegler, E.; Preston, B.L.; Riahi, K.; Sillmann, J.; et al. Achievements and Needs for the Climate Change Scenario Framework. Nat. Clim. Chang. 2020, 10, 1074–1084. [Google Scholar] [CrossRef]
  9. Woolway, R.I.; Kraemer, B.M.; Lenters, J.D.; Merchant, C.J.; O’Reilly, C.M.; Sharma, S. Global Lake Responses to Climate Change. Nat. Rev. Earth Environ. 2020, 1, 388–403. [Google Scholar] [CrossRef]
  10. Zhang, Y.; Liang, W.; Liao, Z.; Han, Z.; Xu, X.; Jiao, R.; Liu, H. Effects of Climate Change on Lake Area and Vegetation Cover over the Past 55 Years in Northeast Inner Mongolia Grassland, China. Theor. Appl. Clim. 2019, 138, 13–25. [Google Scholar] [CrossRef]
  11. Zhang, Z.; Chang, J.; Xu, C.-Y.; Zhou, Y.; Wu, Y.; Chen, X.; Jiang, S.; Duan, Z. The Response of Lake Area and Vegetation Cover Variations to Climate Change over the Qinghai-Tibetan Plateau during the Past 30 years. Sci. Total Environ. 2018, 635, 443–451. [Google Scholar] [CrossRef] [PubMed]
  12. Woolway, R.I.; Merchant, C.J. Intralake Heterogeneity of Thermal Responses to Climate Change: A Study of Large Northern Hemisphere Lakes. J. Geophys. Res. Atmos. 2018, 123, 3087–3098. [Google Scholar] [CrossRef]
  13. Meyer-Jacob, C.; Michelutti, N.; Paterson, A.M.; Cumming, B.F.; Keller, W.B.; Smol, J.P. The Browning and Re-Browning of Lakes: Divergent Lake-Water Organic Carbon Trends Linked to Acid Deposition and Climate Change. Sci. Rep. 2019, 9, 16676. [Google Scholar] [CrossRef] [PubMed]
  14. Tan, J.; Yu, D.; Li, Q.; Tan, X.; Zhou, W. Spatial Relationship between Land-Use/Land-Cover Change and Land Surface Temperature in the Dongting Lake Area, China. Sci. Rep. 2020, 10, 9245. [Google Scholar] [CrossRef] [PubMed]
  15. Kelterbaum, D.; Brückner, H.; Dikarev, V.; Gerhard, S.; Pint, A.; Porotov, A.; Zin’ko, V. Palaeogeographic Changes at Lake Chokrak on the Kerch Peninsula, Ukraine, during the Mid- and Late-Holocene. Geoarchaeology 2012, 27, 206–219. [Google Scholar] [CrossRef]
  16. Sokol, E.V.; Kokh, S.N.; Kozmenko, O.A.; Lavrushin, V.Y.; Belogub, E.V.; Khvorov, P.V.; Kikvadze, O.E. Boron in an Onshore Mud Volcanic Environment: Case Study from the Kerch Peninsula, the Caucasus Continental Collision Zone. Chem. Geol. 2019, 525, 58–81. [Google Scholar] [CrossRef]
  17. Sikorsky, I.A. Additions to the Avifauna of the State Nature Reserve «OPUKSKIY» and Adjacent Territories. Sci. Notes V.I. Vernadsky Crime. Fed. Univ. Biol. Chem. 2021, 6, 225–245. [Google Scholar] [CrossRef]
  18. Krivoguz, D.O. Statistical Analysis of Hydrological Drivers of Landslide Inducing Factors Using Weights of Evidence Approach on Kerch Peninsula. Int. J. Environ. Geoinform. 2021, 9, 60–63. [Google Scholar] [CrossRef]
  19. Pozachenyuk, E.; Fedor, L.; Kalinchuk, I.; Asanova, A.; Ignatenko, I. Modern Landscapes of the Kerch Peninsula. In Proceedings of the Bioscience Biotechnology Research Communications, Albena, Bulgaria, 26 August 2019; Volume 12. [Google Scholar]
  20. Krivoguz, D.; Mal’ko, S.; Borovskaya, R.; Semenova, A. Automatic Processing of Sentinel-2 Image for Kerch Peninsula Lake Areas Extraction Using QGIS and Python. In Proceedings of the E3S Web of Conferences, EDP Sciences, Blagoveshchensk, Russia, 23–24 September 2020; Volume 203, p. 03011. [Google Scholar]
  21. Krivoguz, D.; Zakharova, J. Geospatial Analysis of Ecology-Economic Grows of Kerch Peninsula Using GIS. Geoinformatika 2018, 1, 52–55. [Google Scholar]
  22. Zakharov, V.S.; Simonov, D.A.; Bryantseva, G.V.; Kosevich, N.I. Self-Similarity Properties of the Kerch Peninsula Stream Network and Their Comparison with the Results of Structural and Geomorphological Analysis. Izv. Atmos. Ocean. Phys. 2019, 55, 721–730. [Google Scholar] [CrossRef]
  23. Briggs, B.H. On the Analysis of Moving Patterns in Geophysics—I. Correlation Analysis. J. Atmos. Terr. Phys. 1968, 30, 1777–1788. [Google Scholar] [CrossRef]
  24. Cohen, J.; Cohen, P.; West, S.G.; Aiken, L.S. Applied Multiple Regression/Correlation Analysis for the Behavioral Sciences; Routledge: London, UK, 2013; ISBN 978-1-134-80101-5. [Google Scholar]
  25. Härdle, W.K.; Simar, L. Canonical Correlation Analysis. In Applied Multivariate Statistical Analysis; Härdle, W.K., Simar, L., Eds.; Springer: Berlin/Heidelberg, Germany, 2015; pp. 443–454. ISBN 978-3-662-45171-7. [Google Scholar]
  26. Senthilnathan, S. Usefulness of Correlation Analysis. 2019. Available online: https://www.ssrn.com/index.cfm/en/ (accessed on 1 September 2023).
  27. Baldocchi, D.D.; Meyers, T.P. A Spectral and Lag-Correlation Analysis of Turbulence in a Deciduous Forest Canopy. Bound. Layer. Meteorol. 1988, 45, 31–58. [Google Scholar] [CrossRef]
  28. Nagel, S.S. Applying Correlation Analysis to Case Prediction. Tex. Law Rev. 1963, 42, 1006. [Google Scholar]
  29. Olden, J.D.; Neff, B.D. Cross-Correlation Bias in Lag Analysis of Aquatic Time Series. Mar. Biol. 2001, 138, 1063–1070. [Google Scholar] [CrossRef]
  30. Golin, S.; Sweeney, P.D.; Shaeffer, D.E. The Causality of Causal Attributions in Depression: A Cross-Lagged Panel Correlational Analysis. J. Abnorm. Psychol. 1981, 90, 14–22. [Google Scholar] [CrossRef] [PubMed]
  31. Rogosa, D. A Critique of Cross-Lagged Correlation. Psychol. Bull. 1980, 88, 245–258. [Google Scholar] [CrossRef]
  32. Yan, W.; Du, M.; Qin, C.; Liu, Q.; Wang, Y.; Liang, W.; Liu, M.; Liu, J. Association between Public Attention and Monkeypox Epidemic: A Global Lag-Correlation Analysis. J. Med. Virol. 2023, 95, e28382. [Google Scholar] [CrossRef]
  33. Borovskaya, R.; Krivoguz, D.; Chernyi, S.; Kozhurin, E.; Khorosheltseva, V.; Zinchenko, E. Surface Water Salinity Evaluation and Identification for Using Remote Sensing Data and Machine Learning Approach. J. Mar. Sci. Eng. 2022, 10, 257. [Google Scholar] [CrossRef]
  34. Calkoen, F.; Luijendijk, A.; Rivero, C.R.; Kras, E.; Baart, F. Traditional vs. Machine-Learning Methods for Forecasting Sandy Shoreline Evolution Using Historic Satellite-Derived Shorelines. Remote Sens. 2021, 13, 934. [Google Scholar] [CrossRef]
  35. Mitchell, T.M. Machine Learning; McGraw-Hill: New York, NY, USA, 2007; Volume 1. [Google Scholar]
  36. Zhou, Z.-H. Machine Learning; Springer Nature: Berlin/Heidelberg, Germany, 2021. [Google Scholar]
  37. Grego, J.M. Generalized Additive Models. In Encyclopedia of Environmetrics; John Wiley & Sons, Ltd.: Hoboken, NJ, USA, 2013; ISBN 978-0-470-05733-9. [Google Scholar]
  38. Hastie, T.; Tibshirani, R. Generalized Additive Models: Some Applications. J. Am. Stat. Assoc. 1987, 82, 371–386. [Google Scholar] [CrossRef]
  39. Hastie, T.J.; Tibshirani, R.J. Generalized Additive Models; CRC Press: Boca Raton, FL, USA, 1990; ISBN 978-0-412-34390-2. [Google Scholar]
  40. McLean, M.W.; Hooker, G.; Staicu, A.-M.; Scheipl, F.; Ruppert, D. Functional Generalized Additive Models. J. Comput. Graph. Stat. 2014, 23, 249–269. [Google Scholar] [CrossRef] [PubMed]
  41. Wood, S.N. Generalized Additive Models: An Introduction with R, 2nd ed.; CRC Press: Boca Raton, FL, USA, 2017; ISBN 978-1-4987-2834-8. [Google Scholar]
  42. Chollet, F. Keras 3: A New Multi-Backend Keras; GitHub: San Francisco, CA, USA, 2015. [Google Scholar]
  43. Krivoguz, D.; Bespalova, L.; Zhilenkov, A.; Chernyi, S. A Deep Neural Network Method for Water Areas Extraction Using Remote Sensing Data. J. Mar. Sci. Eng. 2022, 10, 1392. [Google Scholar] [CrossRef]
  44. Wu, Q. Geemap: A Python Package for Interactive Mapping with Google Earth Engine. J. Open Source Softw. 2020, 5, 2305. [Google Scholar] [CrossRef]
  45. Chen, Y.; Xu, C.; Chen, Y.; Li, W.; Liu, J. Response of Glacial-Lake Outburst Floods to Climate Change in the Yarkant River Basin on Northern Slope of Karakoram Mountains, China. Quat. Int. 2010, 226, 75–81. [Google Scholar] [CrossRef]
  46. Chen, Y.; Takeuchi, K.; Xu, C.; Chen, Y.; Xu, Z. Regional Climate Change and Its Effects on River Runoff in the Tarim Basin, China. Hydrol. Process. 2006, 20, 2207–2216. [Google Scholar] [CrossRef]
  47. Zhu, L.; Xie, M.; Wu, Y. Quantitative Analysis of Lake Area Variations and the Influence Factors from 1971 to 2004 in the Nam Co Basin of the Tibetan Plateau. Chin. Sci. Bull. 2010, 55, 1294–1303. [Google Scholar] [CrossRef]
  48. Zhang, G.; Yao, T.; Xie, H.; Yang, K.; Zhu, L.; Shum, C.K.; Bolch, T.; Yi, S.; Allen, S.; Jiang, L.; et al. Response of Tibetan Plateau Lakes to Climate Change: Trends, Patterns, and Mechanisms. Earth-Sci. Rev. 2020, 208, 103269. [Google Scholar] [CrossRef]
  49. Zhang, G.; Xie, H.; Duan, S.; Tian, M.; Yi, D. Water Level Variation of Lake Qinghai from Satellite and in Situ Measurements under Climate Change. J. Appl. Remote Sens. 2011, 5, 053532. [Google Scholar] [CrossRef]
  50. Yao, J.; Liu, Z.; Yang, Q.; Meng, X.; Li, C. Responses of Runoff to Climate Change and Human Activities in the Ebinur Lake Catchment, Western China. Water Resour. 2014, 41, 738–747. [Google Scholar] [CrossRef]
  51. Li, X.-Y.; Xu, H.-Y.; Sun, Y.-L.; Zhang, D.-S.; Yang, Z.-P. Lake-Level Change and Water Balance Analysis at Lake Qinghai, West China during Recent Decades. Water Resour. Manag. 2007, 21, 1505–1516. [Google Scholar] [CrossRef]
  52. Sun, Y.; Li, X.; Liu, L.; Xu, H.; Zhang, D. Climate Change and Sandy Land Development in Qinghai Lake Watershed, China. Front. Environ. Sci. Eng. China 2008, 2, 340–348. [Google Scholar] [CrossRef]
Figure 1. Schematic location of the research area and studied lakes on the Kerch Peninsula.
Figure 1. Schematic location of the research area and studied lakes on the Kerch Peninsula.
Jmse 12 00068 g001
Figure 2. Dynamics of lake areas on the Kerch Peninsula from 1985 to 2022.
Figure 2. Dynamics of lake areas on the Kerch Peninsula from 1985 to 2022.
Jmse 12 00068 g002
Figure 3. Temperature and precipitation dynamics at the Kerch station from 1985 to 2022.
Figure 3. Temperature and precipitation dynamics at the Kerch station from 1985 to 2022.
Jmse 12 00068 g003
Figure 4. Correlation dependencies of lake areas on the Kerch Peninsula with temperature and atmospheric precipitation.
Figure 4. Correlation dependencies of lake areas on the Kerch Peninsula with temperature and atmospheric precipitation.
Jmse 12 00068 g004
Figure 5. Correlation dependencies of lake areas on the Kerch Peninsula on temperature and atmospheric precipitation with a one-year lag.
Figure 5. Correlation dependencies of lake areas on the Kerch Peninsula on temperature and atmospheric precipitation with a one-year lag.
Jmse 12 00068 g005
Figure 6. Results of the regression analysis for lakes of the Kerch Peninsula in 1985–2022.
Figure 6. Results of the regression analysis for lakes of the Kerch Peninsula in 1985–2022.
Jmse 12 00068 g006
Figure 7. Results of GAM model training for evaluating the impact of temperature, precipitation, and their combined influence on the area of Lake Aktashskoe.
Figure 7. Results of GAM model training for evaluating the impact of temperature, precipitation, and their combined influence on the area of Lake Aktashskoe.
Jmse 12 00068 g007
Figure 8. Results of GAM model training for evaluating the impact of temperature, precipitation, and their combined influence on the area of Lake Chokrakskoe.
Figure 8. Results of GAM model training for evaluating the impact of temperature, precipitation, and their combined influence on the area of Lake Chokrakskoe.
Jmse 12 00068 g008
Figure 9. Results of GAM model training for evaluating the impact of temperature, precipitation, and their combined influence on the area of Lake Uzunlarskoye.
Figure 9. Results of GAM model training for evaluating the impact of temperature, precipitation, and their combined influence on the area of Lake Uzunlarskoye.
Jmse 12 00068 g009
Figure 10. Results of GAM model training for evaluating the impact of temperature, precipitation, and their combined influence on the area of Lake Tobechikskoye.
Figure 10. Results of GAM model training for evaluating the impact of temperature, precipitation, and their combined influence on the area of Lake Tobechikskoye.
Jmse 12 00068 g010
Figure 11. Results of GAM model training for evaluating the impact of temperature, precipitation, and their combined influence on the area of Lake Marfovskoye.
Figure 11. Results of GAM model training for evaluating the impact of temperature, precipitation, and their combined influence on the area of Lake Marfovskoye.
Jmse 12 00068 g011
Figure 12. Results of GAM model training for evaluating the impact of temperature, precipitation, and their combined influence on the area of Lake Koyashskoye.
Figure 12. Results of GAM model training for evaluating the impact of temperature, precipitation, and their combined influence on the area of Lake Koyashskoye.
Jmse 12 00068 g012
Figure 13. Results of GAM model training for evaluating the impact of temperature, precipitation, and their combined influence on the area of Lake Kachik.
Figure 13. Results of GAM model training for evaluating the impact of temperature, precipitation, and their combined influence on the area of Lake Kachik.
Jmse 12 00068 g013
Table 1. Results of regression analysis for changes in the areas of lakes on the Kerch Peninsula (1985–2022).
Table 1. Results of regression analysis for changes in the areas of lakes on the Kerch Peninsula (1985–2022).
Lake NameSlopeInterceptR2p-ValueStd Error
Aktashskoye Lake−0.3451705.98040.22060.01780.1353
Chokrakskoye Lake−0.0606125.64660.07810.17590.0434
Uzunlarskoye Lake−0.2416489.12350.19880.02550.1011
Tobeckikskoye Lake−0.1099231.84850.03530.36850.1198
Marfovskoye Lake−0.023046.47170.26580.00830.0080
Koyashskoye Lake−0.029964.02900.07390.18860.0221
Kachik Lake−0.043888.96170.07300.19140.0326
Table 2. Statistical metrics of GAM models for lake areas on the Kerch Peninsula (1985–2022).
Table 2. Statistical metrics of GAM models for lake areas on the Kerch Peninsula (1985–2022).
Lake NameEDoFPseudo R2AICScale
Aktashskoye Lake2.97250.0913251.72951.8443
Chokrakskoye Lake2.97250.2769123.98433.594
Uzunlarskoye Lake2.97250.1167220.22527.4011
Tobeckikskoye Lake2.97250.1271227.180231.5573
Marfovskoye Lake2.97250.096586.99970.1894
Koyashskoye Lake2.97250.163477.92941.0725
Kachik Lake2.97250.1741105.03822.2957
Disclaimer/Publisher’s Note: The statements, opinions and data contained in all publications are solely those of the individual author(s) and contributor(s) and not of MDPI and/or the editor(s). MDPI and/or the editor(s) disclaim responsibility for any injury to people or property resulting from any ideas, methods, instructions or products referred to in the content.

Share and Cite

MDPI and ACS Style

Krivoguz, D.; Ioshpa, A.; Bespalova, L.; Zhilenkov, A.; Chernyi, S.; Goryachev, I.; Tsareva, P.; Voronova, A. Assessing Long-Term Lake Dynamics in Response to Climatic Variability: A Comprehensive Statistical Analysis. J. Mar. Sci. Eng. 2024, 12, 68. https://doi.org/10.3390/jmse12010068

AMA Style

Krivoguz D, Ioshpa A, Bespalova L, Zhilenkov A, Chernyi S, Goryachev I, Tsareva P, Voronova A. Assessing Long-Term Lake Dynamics in Response to Climatic Variability: A Comprehensive Statistical Analysis. Journal of Marine Science and Engineering. 2024; 12(1):68. https://doi.org/10.3390/jmse12010068

Chicago/Turabian Style

Krivoguz, Denis, Alexander Ioshpa, Liudmila Bespalova, Anton Zhilenkov, Sergei Chernyi, Ivan Goryachev, Polina Tsareva, and Anna Voronova. 2024. "Assessing Long-Term Lake Dynamics in Response to Climatic Variability: A Comprehensive Statistical Analysis" Journal of Marine Science and Engineering 12, no. 1: 68. https://doi.org/10.3390/jmse12010068

APA Style

Krivoguz, D., Ioshpa, A., Bespalova, L., Zhilenkov, A., Chernyi, S., Goryachev, I., Tsareva, P., & Voronova, A. (2024). Assessing Long-Term Lake Dynamics in Response to Climatic Variability: A Comprehensive Statistical Analysis. Journal of Marine Science and Engineering, 12(1), 68. https://doi.org/10.3390/jmse12010068

Note that from the first issue of 2016, this journal uses article numbers instead of page numbers. See further details here.

Article Metrics

Back to TopTop