A 3-D Viscous Vorticity Model for Predicting Turbulent Flows over Hydrofoils
Abstract
:1. Introduction
- Software development: The SST model has been successfully integrated into the 3-D VISVE solver based on the finite volume method (FVM). This work extends the capabilities of the laminar viscous vorticity equation (VISVE) solver to handle 3-D turbulent flow scenarios. This is a novel contribution as previous works have primarily focused on 2-D or 3-D laminar flows and on 2-D turbulent flows. The extension to 3-D turbulent simulations addresses a critical gap in the existing numerical methods.
- Parallelization of the turbulence model: Another development involves the parallelization of the turbulence model within the VISVE solver. This enhances the computational efficiency for turbulent flows. Parallelization is particularly advantageous when leveraging high-performance computing (HPC) resources.
- Application to 3-D hydrofoil cases: The implemented model has been applied to 3-D hydrofoil cases, thereby expanding the solver’s applicability. This extension beyond 2-D cases is essential for a comprehensive understanding of turbulent flows around hydrofoils and serves as preparatory work for future applications to rotating propellers and turbines.
- Convergence studies and validation: The newly developed model has undergone convergence studies concerning grid numbers and time step size. Results were obtained for various angles of attack, Reynolds numbers, and unsteady and steady states, and were validated against those from a RANS solver. This process ensures the reliability and accuracy of the enhanced VISVE solver for turbulent flow simulations.
- Addressing computational challenges: The vorticity-based approach of VISVE, coupled with the integration of the SST model, results in reduced computational domain and costs, addressing a critical need for efficient numerical tools in marine propeller simulations.
- Reduced computational cost: In addition to minimizing the computational domain, the turbulent VISVE solver is parallelized to harness HPC resources. Furthermore, the solver accounts for the influence of the half wing image on the key half wing by treating vorticity and velocity as symmetrically identical relative to the midplane of the wing, thereby reducing unknowns and computational costs. Additionally, the elimination of the pressure term in VISVE without coupling it with velocity allows for post-processing pressure calculation, further reducing computational time.
- Reliability and accuracy: Convergence studies and validation against a Reynolds-averaged Navier–Stokes (RANS) solver ensures the reliability and accuracy of the enhanced VISVE solver for turbulent flow simulations.
- User-friendly meshing process: The small and compact computational domain also simplifies the meshing process. Mesh generation is user-friendly and is automatically generated by denoting the number of panels on the hydrofoil, making it accessible for researchers and engineers.
2. Methodology and Numerical Implementations
2.1. Methodology
2.1.1. 3-D Viscous Vorticity Equation
2.1.2. Velocity Solver
2.1.3. SST Turbulence Model
2.1.4. Boundary Conditions
2.2. Numerical Implementations
2.2.1. Stokes’s Theorem Applied to 3-D Vorticity Equation
2.2.2. Gaussian Divergence Theorem Applied to the SST Model
2.2.3. Numerical Methods
2.2.4. PARDISO Matrix Solver
2.2.5. Parallelization
2.2.6. A Summary of the Numerical Model for 3-D Turbulent Flow
- Initialization procedure: The simulation starts with an initialization procedure for both vorticity and velocity fields. This step sets the initial conditions for the fluid flow simulation.
- Poisson solver: The Poisson solver is used to compute the velocity field based on the initial vorticity and velocity distributions. It solves the Poisson equation to obtain the velocity field.
- Turbulence solver: The turbulence solver then takes the velocity field obtained from the Poisson solver and calculates the turbulent viscosity within the flow domain.
- Turbulent VISVE solver: Turbulent viscosity is considered in addition to the molecular viscosity, allowing the model to capture the effects of turbulence more accurately. Using the computed turbulent viscosity, the turbulent VISVE solver updates the overall viscosity of the fluid.
- BEM solver: A boundary element method (BEM) solver is applied to correct the vorticity distribution at the boundary to satisfy the boundary conditions. Additionally, the BEM solver includes “images” to account for infinite geometries like hydrofoils, hubs, and other blades in the flow domain.

3. Application and Results
3.1. Geometry of the Rectangular Wing
3.2. Computational Settings
3.2.1. Computational Settings in VISVE
3.2.2. Computational Settings in RANS
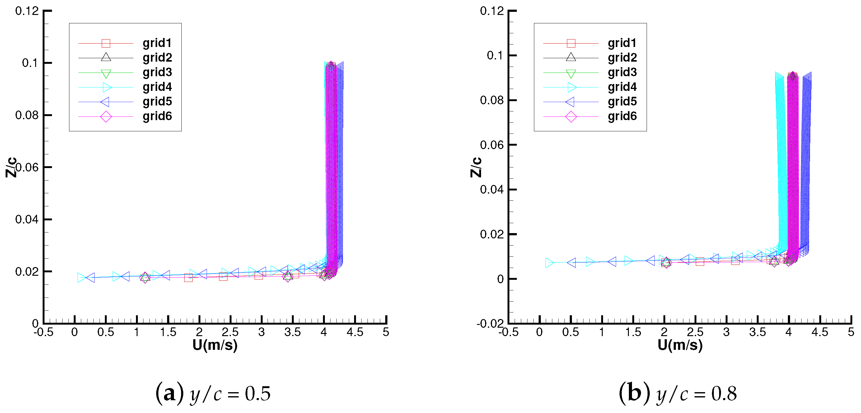
3.3. Convergence Test
3.4. Comparison between VISVE and RANS Results
3.4.1. Unsteady State
3.4.2. Steady State
4. Conclusions and Future Research
Author Contributions
Funding
Institutional Review Board Statement
Informed Consent Statement
Data Availability Statement
Conflicts of Interest
Appendix A. Numerical Implementation of the 3-D SST Model
Appendix A.1. Convective Term

Appendix A.2. Diffusive Term
Appendix A.3. Source Term
Appendix B. Vorticity Solver

Appendix C. Velocity Solver
References
- Kerwin, J.E.; Lee, C.S. Prediction of Steady and Unsteady Marine Propeller Performance by Numerical Lifting-Surface Theory. SNAME Trans. 1978, 86, 218–253. [Google Scholar]
- Lee, C.S. Predicton of Steady and Unsteady Performance of Marine Propellers with or without Cavitation by Numerical Lifting-Surface Theory. Ph.D. Thesis, Massachusetts Institute of Technology, Cambridge, MA, USA, 1979. [Google Scholar]
- Kerwin, J.; Kinnas, S.; Wilson, M. Experimental and analytical techniques for the study of unsteady propeller sheet cavitation. In Proceedings of the 16th Symposium on Naval Hydrodynamics, Berkeley, CA, USA, 13–18 July 1986. [Google Scholar]
- Kinnas, S.A. Non-Linear Corrections to the Linear Theory for the Prediction of the Cavitating Flow around Hydrofoils. Ph.D. Thesis, Massachusetts Institute of Technology, Cambridge, MA, USA, 1985. [Google Scholar]
- Kinnas, S.A. Leading-edge corrections to the linear theory of partially cavitating hydrofoils. J. Ship Res. 1991, 35, 15–27. [Google Scholar] [CrossRef]
- Kinnas, S.A.; Fine, N.E. Theoretical prediction of midchord and face unsteady propeller sheet cavitation. In Proceedings of the 5th International Conference on Numerical Ship Hydrodynamics, Hiroshima, Japan, 24–28 September 1989. [Google Scholar]
- Kinnas, S.A.; Pyo, S. Cavitating propeller analysis including the effects of wake alignment. J. Ship Res. 1999, 43, 38–47. [Google Scholar] [CrossRef]
- Kinnas, S.A. A general theory for the coupling between thickness and loading for wings and propellers. J. Ship Res. 1992, 36, 59–68. [Google Scholar] [CrossRef]
- Kinnas, S.A.; Fine, N.E. A numerical nonlinear analysis of the flow around two-and three-dimensional partially cavitating hydrofoils. J. Fluid Mech. 1993, 254, 151–181. [Google Scholar] [CrossRef]
- Kinnas, S.A.; Fine, N.E. A Nonlinear Boundary Element Method for the Analysis of Unsteady Propeller Sheet Cavitation. In Proceedings of the Nineteenth Symposium on Naval Hydrodynamics, Washington, DC, USA, 21–26 August 1994; pp. 717–737. [Google Scholar]
- Young, Y.L.; Kinnas, S.A. A BEM for the prediction of unsteady midchord face and/or back propeller cavitation. J. Fluids Eng. 2001, 123, 311–319. [Google Scholar] [CrossRef]
- Young, Y.L.; Kinnas, S.A. Performance prediction of surface-piercing propellers. J. Ship Res. 2004, 48, 288–304. [Google Scholar] [CrossRef]
- Young, Y.L.; Kinnas, S.A. Numerical modeling of supercavitating propeller flows. J. Ship Res. 2003, 47, 48–62. [Google Scholar] [CrossRef]
- Lee, H.; Kinnas, S.A. Application of a boundary element method in the prediction of unsteady blade sheet and developed tip vortex cavitation on marine propellers. J. Ship Res. 2004, 48, 15–30. [Google Scholar] [CrossRef]
- Lee, H.; Kinnas, S.A. Unsteady wake alignment for propellers in nonaxisymmetric flows. J. Ship Res. 2005, 49, 176–190. [Google Scholar] [CrossRef]
- Du, W.; Kinnas, S.A. A 3D flow separation model for open propellers with blunt trailing edge. Ocean. Eng. 2021, 233, 109054. [Google Scholar] [CrossRef]
- Kim, S.; Kinnas, S.A. Prediction of unsteady developed tip vortex cavitation and its effect on the induced hull pressures. J. Mar. Sci. Eng. 2020, 8, 114. [Google Scholar] [CrossRef]
- Kim, S.; Kinnas, S.A. A panel method for the prediction of unsteady performance of ducted propellers in ship behind condition. Ocean. Eng. 2022, 246, 110582. [Google Scholar] [CrossRef]
- Jessup, S.D. An Experimental Investigation of Viscous Aspects of Propeller Blade Flow; The Catholic University of America: Washington, DC, USA, 1989. [Google Scholar]
- Hufford, G.S.; Drela, M.; Kerwin, J.E. Viscous flow around marine propellers using boundary-layer strip theory. J. Ship Res. 1994, 38, 52–62. [Google Scholar] [CrossRef]
- Sun, H.; Kinnas, S.A. Performance prediction of cavitating water-jet propulsors using a viscous/inviscid interactive method. SNAME Trans. 2008, 116, 166–181. [Google Scholar]
- Kinnas, S.A.; Jeon, C.H.; Purohit, J.; Tian, Y. Prediction of the unsteady cavitating performance of ducted propellers subject to an inclined inflow. In Proceedings of the International Symposium on Marine Propulsors SMP, Lauceston, Australia, 5–7 May 2013; Volume 13. [Google Scholar]
- Kinnas, S.A.; Yu, X.; Tian, Y. Prediction of propeller performance under high loading conditions with viscous/inviscid interaction and a new wake alignment model. In Proceedings of the 29th Symposium on Naval Hydrodynamics, Gothenburg, Sweden, 26–31 August 2012; pp. 26–31. [Google Scholar]
- Jang, H.; Mahesh, K. Large eddy simulation of flow around a reverse rotating propeller. J. Fluid Mech. 2013, 729, 151–179. [Google Scholar] [CrossRef]
- Fluent, A. 2022 User’s guide. Ansys. Inc. 2022, 6, 552. [Google Scholar]
- Siemens, P. STAR-CCM+ User Guide Version 13.04; Siemens PLM Software Inc.: Munich, Germany, 2019. [Google Scholar]
- Greenshields, C.J. OpenFOAM User Guide; OpenFOAM Foundation Ltd.: London, UK, 2015; Volume 3, p. 47. [Google Scholar]
- Zhao, M.S.; Zhao, W.W.; Wan, D.C. Numerical simulations of propeller cavitation flows based on OpenFOAM. J. Hydrodyn. 2020, 32, 1071–1079. [Google Scholar] [CrossRef]
- Vijayanandh, R.; Venkatesan, K.; Kumar, M.S.; Kumar, G.R.; Jagadeeshwaran, P.; Kumar, R.R. Comparative fatigue life estimations of Marine Propeller by using FSI. J. Phys. Conf. Ser. 2020, 1473, 012018. [Google Scholar] [CrossRef]
- Göksu, B.; Ergİher, K.E. Performance Prediction Of DTMB 4119 And Highly Skewed Model Propellers Using Star-Ccm+ Cfd Solver. In Recent Advances in Natural and Engineering Science; Livre de Lyon: Lyon, France, 2023; pp. 69–85. [Google Scholar]
- Tian, Y.; Kinnas, S.A. A viscous vorticity method for propeller tip flows and leading edge vortex. In Proceedings of the Fourth International Symposium on Marine Propulsors (SMP15), Austin, TX, USA, 31 May–4 June 2015. [Google Scholar]
- Tian, Y. Leading Edge Vortex Modeling and Its Effect on Propulsor Performance. Ph.D. Thesis, Ocean Engineering Group, Maseeh Department of Civil, Architectural and Environmental Engineering, The University of Texas at Austin, Austin, TX, USA, 2014. [Google Scholar]
- Wu, C.; Kinnas, S.A.; Li, Z.; Wu, Y. A conservative viscous vorticity method for unsteady unidirectional and oscillatory flow past a circular cylinder. Ocean. Eng. 2019, 191, 106504. [Google Scholar] [CrossRef]
- Wu, C.; Kinnas, S.A. A 3-D VIScous Vorticity Equation (VISVE) Method Applied to Flow Past a Hydrofoil of Elliptical Planform and a Propeller. In Proceedings of the 6th International Symposium on Marine Propulsors, SMP19, Rome, Italy, 26–30 May 2019; pp. 26–30. [Google Scholar]
- Wu, C.; Kinnas, S.A. Flow past a rotating cylinder predicted by a compact Eulerian viscous vorticity method under non-inertial rotating frame. Ocean. Eng. 2021, 230, 108882. [Google Scholar] [CrossRef]
- Wu, C.; Kinnas, S.A. Parallel implementation of a VIScous Vorticity Equation (VISVE) method in 3-D laminar flow. J. Comput. Phys. 2021, 426, 109912. [Google Scholar] [CrossRef]
- Xing, L.; Kinnas, S.A. VISVE, a Vorticity Based Model Applied to Cavitating Flow around a 2-D Hydrofoil. In Proceedings of the 10th International Symposium on Cavitation, CAV2018, Baltimore, MD, USA, 14–16 May 2018. [Google Scholar]
- Iliopoulos, K.; Kinnas, S.A. VISVE, a Vorticity Based Model Applied to 2-D Hydrofoils in Cavitating Conditions. In Proceedings of the 11th International Symposium on Cavitation, CAV2021, Daejon, Republic of Korea, 10–13 May 2021. [Google Scholar]
- Kinnas, S.A. VIScous Vorticity Equation (VISVE) for Turbulent 2-D Flows with Variable Density and Viscosity. J. Mar. Sci. Eng. 2020, 8, 191. [Google Scholar] [CrossRef]
- Yao, H.; Kinnas, S.A. Coupling Viscous Vorticity Equation (VISVE) Method with OpenFOAM to Predict Turbulent Flow around 2-D Hydrofoils and Cylinders. In Proceedings of the Twenty-Ninth (2019) International Ocean and Polar Engineering Conference, ISOPE, Honolulu, HI, USA, 16–21 June 2019; pp. 3442–3451. [Google Scholar]
- Wu, C.; Kinnas, S.A. Laminar and Turbulent Flow Past a Hydrofoil Predicted by a Distributed Vorticity Method. In Proceedings of the International Conference on Offshore Mechanics and Arctic Engineering, Virtual, 3–7 August 2020; American Society of Mechanical Engineers: New York, NY, USA, 2020; Volume 84409, p. V008T08A008. [Google Scholar]
- You, R.; Kinnas, S.A. VIScous Vorticity Equation (VISVE) model applied to 2-D turbulent flow over hydrofoils. Ocean. Eng. 2022, 256, 111416. [Google Scholar] [CrossRef]
- You, R.; Tiwari, A.S.; Kinnas, S.A. VIScous Vorticity Equation (VISVE) Model Applied to Oscillatory Turbulent Flow around a Cylinder. In Proceedings of the SNAME 27th Offshore Symposium, Houston, TX, USA, 22 February 2022. [Google Scholar]
- Kinnas, S.A. VIScous Vorticity Equation (VISVE) for Turbulent 3-D Flows with Variable Density and Viscosity. The University of Texas at Austin: Austin, TX, USA, 2023; manuscript in preparation. [Google Scholar]
- You, R. A Viscous Vorticity Method for the Prediction of Turbulent Flows around Hydrofoils and Propellers. Ph.D. Thesis, Ocean Engineering Group, Maseeh Department of Civil, Architectural and Environmental Engineering, The University of Texas at Austin, Austin, TX, USA, 2023. [Google Scholar]
- Menter, F.R. Two-equation eddy-viscosity turbulence models for engineering applications. AIAA J. 1994, 32, 1598–1605. [Google Scholar] [CrossRef]
- Wilcox, D.C. Turbulence Modeling for CFD; DCW industries Inc.: La Canada, CA, USA, 1998; Volume 2. [Google Scholar]
- Leonard, B.P. A stable and accurate convective modelling procedure based on quadratic upstream interpolation. Comput. Methods Appl. Mech. Eng. 1979, 19, 59–98. [Google Scholar] [CrossRef]
- Schenk, O.; Gärtner, K. Solving unsymmetric sparse systems of linear equations with PARDISO. Future Gener. Comput. Syst. 2004, 20, 475–487. [Google Scholar] [CrossRef]
- Syrakos, A.; Varchanis, S.; Dimakopoulos, Y.; Goulas, A.; Tsamopoulos, J. A critical analysis of some popular methods for the discretisation of the gradient operator in finite volume methods. Phys. Fluids 2017, 29, 127103. [Google Scholar] [CrossRef]
































| Parameter | Description |
|---|---|
| iparm(1) = 1 | No default value is used. |
| iparm(2) = 2 | Fill-in reordering from METIS. |
| iparm(3) = 24 | Numbers of processors. |
| iparm(4) = 0 | No iterative-direct algorithm is used. |
| iparm(5) = 0 | No user fill-in reducing permutation. |
| iparm(8) = 9 | Number of iterative refinement steps. |
| iparm(10) = 13 | Perturb the pivot elements with . |
| iparm(11) = 1 | Use nonsymmetric permutation and scaling. |
| iparm(13) = 1 | Maximum weighted matching algorithm is switched on. |
| iparm(18) = −1 | Output: number of nonzeros in the factor LU. |
| iparm(27) = 1 | Check the input matrix. |
| Setting | Value/Description |
|---|---|
| Solver | Pressure-Based, Segregated Flow |
| Turbulence Model | SST |
| Numerical Scheme | Second Order Upwind |
| Pressure–Velocity Coupling | SIMPLE |
| Time Step | s |
| Convergence Criteria | Residuals < |
| Initialization Method | Initialize from Inlet |
| Boundary Conditions | Velocity inlet; Pressure outlet; Non-slip at wall; Symmetric at midchord |
| Mesh Type | Structured |
| Grid Refinement | Manual |
| VISVE | RANS | |
|---|---|---|
| Mesh | 199,680 | 2,342,640 |
| Computational time/iter | 5.7 s | 22 s |
| No. of CPUs | 40 | 40 |
| Grid | x | y | z | Total Grids |
|---|---|---|---|---|
| 1 | 64 | 20 | 30 | 199,680 |
| 2 | 64 | 20 | 46 | 306,176 |
| 3 | 84 | 20 | 46 | 365,056 |
| 4 | 44 | 20 | 46 | 247,296 |
| 5 | 64 | 15 | 46 | 258,336 |
| 6 | 64 | 30 | 46 | 401,856 |
| Case | Time Step |
|---|---|
| 1 | 0.00005 s |
| 2 | 0.0001 s |
| 3 | 0.0002 s |
Disclaimer/Publisher’s Note: The statements, opinions and data contained in all publications are solely those of the individual author(s) and contributor(s) and not of MDPI and/or the editor(s). MDPI and/or the editor(s) disclaim responsibility for any injury to people or property resulting from any ideas, methods, instructions or products referred to in the content. |
© 2023 by the authors. Licensee MDPI, Basel, Switzerland. This article is an open access article distributed under the terms and conditions of the Creative Commons Attribution (CC BY) license (https://creativecommons.org/licenses/by/4.0/).
Share and Cite
You, R.; Kinnas, S.A. A 3-D Viscous Vorticity Model for Predicting Turbulent Flows over Hydrofoils. J. Mar. Sci. Eng. 2024, 12, 45. https://doi.org/10.3390/jmse12010045
You R, Kinnas SA. A 3-D Viscous Vorticity Model for Predicting Turbulent Flows over Hydrofoils. Journal of Marine Science and Engineering. 2024; 12(1):45. https://doi.org/10.3390/jmse12010045
Chicago/Turabian StyleYou, Rui, and Spyros A. Kinnas. 2024. "A 3-D Viscous Vorticity Model for Predicting Turbulent Flows over Hydrofoils" Journal of Marine Science and Engineering 12, no. 1: 45. https://doi.org/10.3390/jmse12010045
APA StyleYou, R., & Kinnas, S. A. (2024). A 3-D Viscous Vorticity Model for Predicting Turbulent Flows over Hydrofoils. Journal of Marine Science and Engineering, 12(1), 45. https://doi.org/10.3390/jmse12010045

