Effects of Slotted Blades on the Hydrodynamic Performance of Horizontal Axis Tidal Turbines
Abstract
1. Introduction
2. Geometric Description
3. Simulation Model
3.1. Basic Equations
3.2. Computational Domains and Grid Generation
- (1)
- Inlet: Uniform steady velocity of 0.5 m/s.
- (2)
- Outlet: Pressure outlet with a relative atmospheric pressure of 0 Pa.
- (3)
- Interface: The boundary between the rotating and stationary domains is set as the interface boundary.
- (4)
- Periodic boundary: The periodic boundary conditions for rotation are applied to the sidewall surfaces.
- (5)
- No sliding wall: A no-sliding-wall condition is imposed on the blade surface.
3.3. Solution Settings
4. Results Discussion
4.1. Numerical Model Validation
4.2. Hydrodynamic Characteristics of 2-D Slotted Hydrofoils
4.3. Analysis of the Passive Fluid Control Mechanism of the Slot
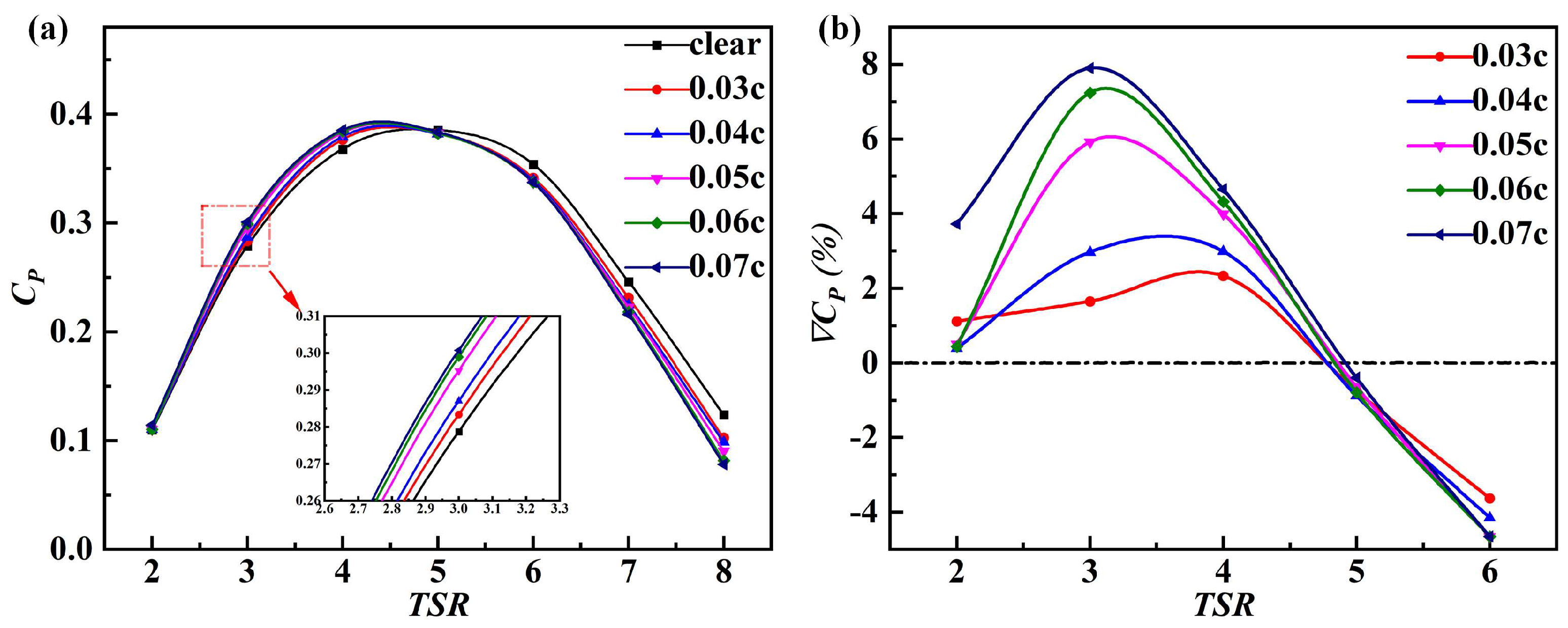
4.4. Hydrodynamic Characteristics of the Three-Dimensional Slotted Blade
5. Conclusions
Author Contributions
Funding
Institutional Review Board Statement
Informed Consent Statement
Data Availability Statement
Conflicts of Interest
Nomenclature
| B | Number of blades [–] |
| c | Local chord length [m] |
| Drag coefficient [–] | |
| Lift coefficient [–] | |
| Power coefficient [–] | |
| Pressure coefficient [–] | |
| Thrust coefficient [–] | |
| D | Rotor diameter [m] |
| l | Slot length [m] |
| L | Lift force on the hydrofoil [N] |
| M | Turbine torque [N·m] |
| p | Pressure [Pa] |
| p∞ | The far-field pressure [Pa] |
| r | Local radius [m] |
| Rh | Hub radius [m] |
| Rb | Rotor radius [m] |
| S | Area of the hydrofoil [m2] |
| t | Slot exit width [m] |
| T | Turbine thrust [N] |
| Ti | Turbulence intensity [%] |
| V0 | Free-stream velocity [m/s] |
| X | Slot exit position [m] |
| ρ | Sea water density [kg/m3] |
| ω | Rotor rotation speed [rad/s] |
| 2-D | two-dimensional |
| 3-D | three-dimensional |
| AOA | angle of attack |
| CFD | computational fluid dynamics |
| HATT | horizontal axis tidal turbine |
| MRF | multi-reference frame |
| RANS | Reynolds Averaged Navier–Stokes |
| SST | shear stress transport |
| TSR | tip-speed ratio |
References
- Melikoglu, M. Vision 2023: Status quo and future of biomass and coal for sustainable energy generation in Turkey. Renew. Sustain. Energy Rev. 2017, 74, 800–808. [Google Scholar] [CrossRef]
- Melikoglu, M. Shale gas: Analysis of its role in the global energy market. Renew. Sustain. Energy Rev. 2014, 37, 460–468. [Google Scholar] [CrossRef]
- El-Farra, N.H.; Christofides, P.D. Special issue on “control and optimization of renewable energy systems”. Renew. Energy 2017, 100, 1–2. [Google Scholar] [CrossRef]
- Gul, M.; Tai, N.; Huang, W.; Nadeem, M.H.; Yu, M. Assessment of Wind Power Potential and Economic Analysis at Hyderabad in Pakistan: Powering to Local Communities Using Wind Power. Sustainability 2019, 11, 1391. [Google Scholar] [CrossRef]
- Zhang, J.S.; Gao, P.; Zheng, J.H.; Wu, X.G.; Peng, Y.X.; Zhang, T.T. Current-induced seabed scour around a pile-supported horizontal-axis tidal stream turbine. J. Mar. Sci. Technol. 2015, 23, 929–936. [Google Scholar] [CrossRef]
- Abuan, B.E.; Howell, R.J. The performance and hydrodynamics in unsteady flow of a horizontal axis tidal turbine. Renew. Energy 2019, 133, 1338–1351. [Google Scholar] [CrossRef]
- Soleimani, K.; Ketabdari, M.J.; Khorasani, F. Feasibility study on tidal and wave energy conversion in Iranian seas. Sustain. Energy Technol. Assess. 2015, 11, 77–86. [Google Scholar] [CrossRef]
- Hassan, H.F.; El-Shafie, A.; Karim, O.A. Tidal current turbines glance at the past and look into future prospects in Malaysia. Renew. Sustain. Energy Rev. 2012, 16, 5707–5717. [Google Scholar] [CrossRef]
- Xu, Q.; Li, W.; Lin, Y.; Liu, H.; Gu, Y. Investigation of the performance of a stand-alone horizontal axis tidal current turbine based on in situ experiment. Ocean Eng. 2016, 113, 111–120. [Google Scholar] [CrossRef]
- Andritz Hydro Hammerfest. Renewable Energy from Tidal Currents. 2015. Available online: https://orbitalmarine.com/O2 (accessed on 13 March 2023).
- Atlantis Resources. Ar1500 Tidal Turbine. 2016. Available online: https://simecatlantis.com/wp-content/uploads/2016/08/AR1500-Brochure-Final-1.pdf (accessed on 10 March 2023).
- Orbital Marine Power. Orbital o2 2mw. 2021. Available online: https://orbitalmarine.com/O2 (accessed on 10 March 2023).
- Sazonov, Y.A.; Mokhov, M.A.; Gryaznova, I.V.; Voronova, V.V.; Tumanyan, K.A.; Frankov, M.A.; Balaka, N.N. Computational Fluid Dynamics (CFD) Simulation of Mesh Jet Devices for Promising Energy-Saving Technologies. Civ. Eng. J. 2022, 8, 2749–2767. [Google Scholar] [CrossRef]
- Sazonov, Y.A.; Mokhov, M.A.; Gryaznova, I.V.; Voronova, V.V.; Tumanyan, K.A.; Frankov, M.A.; Balaka, N.N. Designing Mesh Turbomachinery with the Development of Euler’s Ideas and Investigating Flow Distribution Characteristics. Civ. Eng. J. 2022, 8, 2598–2627. [Google Scholar] [CrossRef]
- Tiainen, J.; Grönman, A.; Jaatinen-Värri, A.; Backman, J. Flow Control Methods and Their Applicability in Low-Reynolds-Number Centrifugal Compressors—A Review. Int. J. Turbomach. Propuls. Power 2018, 3, 2. [Google Scholar] [CrossRef]
- Yavuz, T.; Koç, E.; Kaynak, B. Hydrodynamics performance of hydrofoil-slat arrangements in 3D analysis. Energy Convers. Manag. 2013, 75, 44–50. [Google Scholar] [CrossRef]
- Wei, Q.; Chen, H.-X.; Zhang, R. Numerical research on the performances of slot hydrofoil. J. Hydrodyn. 2015, 27, 105–111. [Google Scholar] [CrossRef]
- Liu, C.; Yan, Q.; Wood, H.G. Numerical investigation of passive cavitation control using a slot on a three-dimensional hydrofoil. Int. J. Numer. Methods Heat Fluid Flow 2019, 30, 3585–3605. [Google Scholar] [CrossRef]
- Belamadi, R.; Djemili, A.; Ilinca, A.; Mdouki, R. Aerodynamic performance analysis of slotted airfoils for application to wind turbine blades. J. Wind. Eng. Ind. Aerodyn. 2016, 151, 79–99. [Google Scholar] [CrossRef]
- Moshfeghi, M.; Nur, N. Numerical investigation on the coanda effect over the s809 airfoil with synthetic jet actuator at high angle of attack. In Proceedings of the 4th ASME Joint US-European Fluids Engineering Division Summer Meeting, Chicago, IL, USA, 3–7 August 2014. [Google Scholar]
- Xie, Y.; Chen, J.; Qu, H.; Xie, G.; Zhang, D.; Moshfeghi, M. Numerical and Experimental Investigation on the Flow Separation Control of S809 Airfoil with Slot. Math. Probl. Eng. 2013, 2013, 301748. [Google Scholar] [CrossRef]
- Beyhaghi, S.; Amano, R.S. Improvement of Aerodynamic Performance of Cambered Airfoils Using Leading-Edge Slots. J. Energy Resour. Technol. 2017, 139, 051204. [Google Scholar] [CrossRef]
- Kundu, P. Hydrodynamic performance improvement on small horizontal axis current turbine blade using different tube slots configurations. Appl. Ocean Res. 2019, 91, 101873. [Google Scholar] [CrossRef]
- Ni, Z.; Dhanak, M.; Su, T.-C. Improved performance of a slotted blade using a novel slot design. J. Wind. Eng. Ind. Aerodyn. 2019, 189, 34–44. [Google Scholar] [CrossRef]
- Ni, Z.; Dhanak, M.; Su, T.-C. Performance of a slotted hydrofoil operating close to a free surface over a range of angles of attack. Ocean Eng. 2019, 188, 106296. [Google Scholar] [CrossRef]
- Mohamed, O.S.; Ibrahim, A.A.; Etman, A.K.; Abdelfatah, A.A.; Elbaz, A.M. Numerical investigation of Darrieus wind turbine with slotted airfoil blades. Energy Convers. Manag. X 2020, 5, 100026. [Google Scholar] [CrossRef]
- Abdolahifar, A.; Karimian, S. A comprehensive three-dimensional study on Darrieus vertical axis wind turbine with slotted blade to reduce flow separation. Energy 2022, 248, 123632. [Google Scholar] [CrossRef]
- Tian, W.; VanZwieten, J.H.; Pyakurel, P.; Li, Y. Influences of yaw angle and turbulence intensity on the performance of a 20 kW in-stream hydrokinetic turbine. Energy 2016, 111, 104–116. [Google Scholar] [CrossRef]
- Tian, L.; Song, Y.; Zhao, N.; Shen, W.; Zhu, C.; Wang, T. Effects of turbulence modelling in AD/RANS simulations of single wind & tidal turbine wakes and double wake interactions. Energy 2020, 208, 118440. [Google Scholar] [CrossRef]
- Bahaj, A.S.; Molland, A.F.; Chaplin, J.R.; Batten, W.M.J. Power and thrust measurements of marine current turbines under various hydrodynamic flow conditions in a cavitation tunnel and a towing tank. Renew. Energy 2007, 32, 407–426. [Google Scholar] [CrossRef]
- Kolekar, N.; Banerjee, A. Performance characterization and placement of a marine hydrokinetic turbine in a tidal channel under boundary proximity and blockage effects. Appl. Energy 2015, 148, 121–133. [Google Scholar] [CrossRef]
- Badshah, M.; VanZwieten, J.; Badshah, S.; Jan, S. CFD study of blockage ratio and boundary proximity effects on the performance of a tidal turbine. IET Renew. Power Gener. 2019, 13, 744–749. [Google Scholar] [CrossRef]
- Amiri, H.A.; Shafaghat, R.; Alamian, R.; Taheri, S.M.; Shadloo, M.S. Study of horizontal axis tidal turbine performance and investigation on the optimum fixed pitch angle using CFD A case study of Iran. Int. J. Numer. Methods Heat Fluid Flow 2020, 30, 206–227. [Google Scholar] [CrossRef]
- Lee, N.J.; Kim, I.C.; Kim, C.G.; Hyun, B.S.; Lee, Y.H. Performance study on a counter-rotating tidal current turbine by CFD and model experimentation. Renew. Energy 2015, 79, 122–126. [Google Scholar] [CrossRef]
- Liu, J.; Lin, H.; Purimitla, S.R. Wake field studies of tidal current turbines with different numerical methods. Ocean Eng. 2016, 117, 383–397. [Google Scholar] [CrossRef]
- Sánchez, S.; Hidalgo, V.; Velasco, M.; Puga, D.; López-Jiménez, P.A.; Sánchez, M.P. Parametric study of a horizontal axis wind turbine with similar characteristics to those of the Villonaco wind power plant. J. Appl. Res. Technol. Eng. 2021, 2, 51–62. [Google Scholar] [CrossRef]
- Dehouck, V.; Lateb, M.; Sacheau, J.; Fellouah, H. Application of the BEM Theory to design HAWT blades. J. Sol. Energy Eng. 2017, 104, 014501-9. [Google Scholar]
- Chen, Y.; Lin, B.; Lin, J.; Wang, S. Experimental study of wake structure behind a horizontal axis tidal stream turbine. Appl. Energy 2017, 196, 82–96. [Google Scholar] [CrossRef]
- Mycek, P.; Gaurier, B.; Germain, G.; Pinon, G.; Rivoalen, E. Experimental study of the turbulence intensity effects on marine current turbines behaviour. Part II: Two interacting turbines. Renew. Energy 2014, 68, 876–892. [Google Scholar] [CrossRef]
- Yamini, O.A.; Movahedi, A.; Mousavi, S.H.; Kavianpour, M.R.; Kyriakopoulos, G.L. Hydraulic Performance of Seawater Intake System Using CFD Modeling. J. Mar. Sci. Eng. 2022, 10, 988. [Google Scholar] [CrossRef]
- Zhang, J.; Zhou, Y.; Lin, X.; Wang, G.; Guo, Y.; Chen, H. Experimental investigation on wake and thrust characteristics of a twin-rotor horizontal axis tidal stream turbine. Renew. Energy 2022, 195, 701–715. [Google Scholar] [CrossRef]
- Moshfeghi, M.; Shams, S.; Hur, N. Aerodynamic performance enhancement analysis of horizontal axis wind turbines using a passive flow control method via split blade. J. Wind. Eng. Ind. Aerodyn. 2017, 167, 148–159. [Google Scholar] [CrossRef]
- Tian, W.; Mao, Z.; Ding, H. Design, test and numerical simulation of a low-speed horizontal axis hydrokinetic turbine. Int. J. Nav. Arch. Ocean Eng. 2018, 10, 782–793. [Google Scholar] [CrossRef]
- UIUC Applied Aerodynamics Group, Department of Aerospace Engineering. Available online: https://m-selig.ae.illinois.edu/ads/coord_database.html (accessed on 19 September 2021).
- O’Brien, J.; Young, T.; O’Mahoney, D.; Griffin, P. Horizontal axis wind turbine research: A review of commercial CFD, FE codes and experimental practices. Prog. Aerosp. Sci. 2017, 92, 1–24. [Google Scholar] [CrossRef]
- Lawson, M.J.; Li, Y.; Sale, D.C. Development and verification of a computational fluid dynamics model of a horizontal-axis tidal current turbine. In Proceedings of the ASME 2011 30th International Conference on Ocean, Offshore and Arctic Engineering, Rotterdam, The Netherlands, 19–24 June 2011; American Society of Mechanical Engineers: Rotterdam, The Netherlands, 2011; pp. 711–720. [Google Scholar] [CrossRef]
- Tu, T.N. Numerical simulation of propeller open water characteristics using RANSE method. Alex. Eng. J. 2019, 58, 531–537. [Google Scholar] [CrossRef]
- Lee, J.H.; Park, S.; Kim, D.H.; Rhee, S.H.; Kim, M.-C. Computational methods for performance analysis of horizontal axis tidal stream turbines. Appl. Energy 2012, 98, 512–523. [Google Scholar] [CrossRef]
















| Number of blade B [–] | 3 |
| Rotor diameter D [m] | 1.2 |
| Hub radius Rh [m] | 0.12 |
| Rotor radius Rb [m] | 0.6 |
| Local chord length c [m] | 0.081~0.096 |
| Slot exit position X [m] | 0.35c, 0.4c, 0.45c, 0.5c |
| Slot exit width t [m] | 0.03c, 0.04c, 0.05c, 0.06c, 0.07c |
| Slot length l [m] | 0.5Rb, 0.6Rb, 0.7Rb, 0.8Rb |
| Free-stream velocity V0 [m/s] | 0.5 |
| Turbulence intensity Ti [%] | 3 |
| Sea water density ρ [kg/m3] | 1024 |
| Rotational speed ω [rad/s] | 1.67~6.67 |
| Tip-speed ratio TSR [–] | 2~8 |
| Number of Grids | 2,300,000 | 3,500,000 | 5,000,000 | 6,200,000 |
|---|---|---|---|---|
| CP | 0.374 | 0.385 | 0.391 | 0.393 |
| CT | 0.644 | 0.664 | 0.673 | 0.676 |
Disclaimer/Publisher’s Note: The statements, opinions and data contained in all publications are solely those of the individual author(s) and contributor(s) and not of MDPI and/or the editor(s). MDPI and/or the editor(s) disclaim responsibility for any injury to people or property resulting from any ideas, methods, instructions or products referred to in the content. |
© 2023 by the authors. Licensee MDPI, Basel, Switzerland. This article is an open access article distributed under the terms and conditions of the Creative Commons Attribution (CC BY) license (https://creativecommons.org/licenses/by/4.0/).
Share and Cite
Yang, G.; Mao, Z.; Zhang, T.; Tian, W. Effects of Slotted Blades on the Hydrodynamic Performance of Horizontal Axis Tidal Turbines. J. Mar. Sci. Eng. 2023, 11, 1545. https://doi.org/10.3390/jmse11081545
Yang G, Mao Z, Zhang T, Tian W. Effects of Slotted Blades on the Hydrodynamic Performance of Horizontal Axis Tidal Turbines. Journal of Marine Science and Engineering. 2023; 11(8):1545. https://doi.org/10.3390/jmse11081545
Chicago/Turabian StyleYang, Guangyong, Zhaoyong Mao, Tianqi Zhang, and Wenlong Tian. 2023. "Effects of Slotted Blades on the Hydrodynamic Performance of Horizontal Axis Tidal Turbines" Journal of Marine Science and Engineering 11, no. 8: 1545. https://doi.org/10.3390/jmse11081545
APA StyleYang, G., Mao, Z., Zhang, T., & Tian, W. (2023). Effects of Slotted Blades on the Hydrodynamic Performance of Horizontal Axis Tidal Turbines. Journal of Marine Science and Engineering, 11(8), 1545. https://doi.org/10.3390/jmse11081545

