Study on the Energy Loss Characteristics of Shaft Tubular Pump Device under Stall Conditions Based on the Entropy Production Method
Abstract
1. Introduction
2. Numerical Simulation and Entropy Production Method
2.1. Three-Dimensional Model and Turbulence Model
2.2. Grid Division and Scheme Selection
2.3. Boundary Conditions and Settings
2.4. Entropy Production Method
3. Model Test
3.1. Test Equipment and Procedures
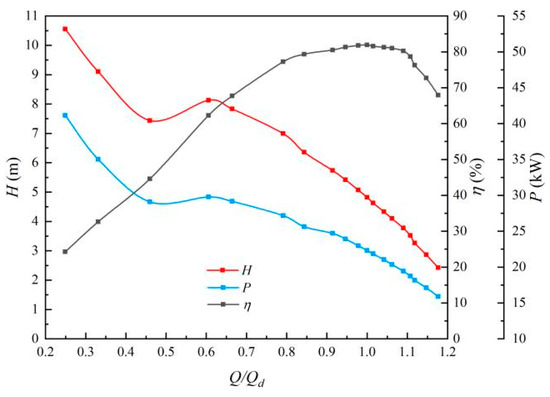
3.2. Model Test Results
4. Results and Discussion
4.1. Reliability Analysis of Numerical Simulation
4.2. The Energy Loss Characteristics of Impeller and Guide Vanes
4.3. The Energy Loss Characteristics of Inlet Passage
4.4. The Energy Loss Characteristics of Outlet Passage
5. Conclusions
Author Contributions
Funding
Institutional Review Board Statement
Informed Consent Statement
Data Availability Statement
Conflicts of Interest
References
- Shi, L.J.; Chai, Y.; Wang, L.; Xu, T.; Jiang, Y.; Xing, J.; Yan, B.; Chen, Y.; Han, Y. Numerical simulation and model test of the influence of guide vane angle on the performance of axial flow pump. Phys. Fluids 2023, 35, 015129. [Google Scholar] [CrossRef]
- Gopal, C.; Mohanraj, M.; Chandramohan, P.; Chandrasekar, P. Renewable energy source water pumping systems-A literature review. Renew. Sustain. Energy Rev. 2013, 25, 351–370. [Google Scholar] [CrossRef]
- Ji, D.T.; Lu, W.G.; Lu, L.G.; Xu, L.; Liu, J.; Shi, W.; Huang, G.H. Study on the Comparison of the Hydraulic Performance and Pressure Pulsation Characteristics of a Shaft Front-Positioned and a Shaft Rear-Positioned Tubular Pump Devices. J. Mar. Sci. Eng. 2021, 10, 8. [Google Scholar] [CrossRef]
- Luo, C.; Du, K.; Qi, W.J.; Cheng, L.; Huang, X.B.; Lu, J.X. Investigation on the Effect of the Shaft Transition Form on the Inflow Pattern and Hydrodynamic Characteristics of the Pre-Shaft Tubular Pump Device. Front. Energy Res. 2022, 10, 955492. [Google Scholar] [CrossRef]
- Emmons, H.W.; Pearson, C.E.; Grant, H.P. Compressor surge and stall propagation. Trans. ASME 1955, 2, 455–469. [Google Scholar] [CrossRef]
- Sinha, M.; Pinarbasi, A.; Katz, J. The flow structure during onset and developed states of rotating stall within a vaned diffuser of a centrifugal pump. J. Fluids Eng. 2001, 123, 490–499. [Google Scholar] [CrossRef]
- Ji, D.T.; Lu, W.G.; Lu, L.G.; Xu, L.; Liu, J.; Shi, W.; Zhu, Y. Comparison of Saddle-Shaped Region of Head-Flow Curve between Axial-Flow Pump and Its Corresponding Axial-Flow Pump Device. Shock. Vib. 2021, 2021, 1–17. [Google Scholar] [CrossRef]
- Day, I.J. Stall, Surge, and 75 Years of Research. J. Turbomach. 2016, 138, 011001. [Google Scholar] [CrossRef]
- Pedersen, N.; Larsen, P.S.; Jacobsen, C.B. Flow in a centrifugal pump impeller at design and off-design conditions—Part I: Particle image velocimetry (PIV) and laser Doppler velocimetry (LDV) measurements. J. Fluids Eng. 2003, 125, 61–72. [Google Scholar] [CrossRef]
- Miyabe, M.; Maeda, H.; Umeki, I.; Jittani, Y. Unstable Head-Flow Characteristic Generation Mechanism of a Low Specific Speed Mixed Flow Pump. J. Therm. Sci. 2006, 15, 115. [Google Scholar] [CrossRef]
- Geng, W.; Liu, C.; Tang, F. 3D-PIV measurements of flow fields at exit to impeller of an axial flow pump. J. Hohai Univ. Nat. Sci. 2010, 38, 516–521. [Google Scholar]
- Yao, Z.; Wang, F.; Qu, L.; Xiao, R.; He, C.; Wang, M. Experimental Investigation of Time-Frequency Characteristics of Pressure Fluctuations in a Double-Suction Centrifugal Pump. J. Fluids Eng. 2011, 133, 101303. [Google Scholar] [CrossRef]
- Wu, D.; Ren, Y.; Mou, J.; Gu, Y. Investigation of the correlation between noise & vibration characteristics and unsteady flow in a circulator pump. J. Mech. Sci. Technol. 2017, 31, 2155–2166. [Google Scholar] [CrossRef]
- Goltz, I.; Kosyna, G.; Stark, U.; Saathoff, H.; Bross, S. Stall inception phenomena in a single-stage axial-flow pump. Proc. Inst. Mech. Eng. Part A J. Power Energy 2003, 217, 471–479. [Google Scholar] [CrossRef]
- Yuan, Z.; Yujie, C.; Rui, Z.; Xinfeng, G.; Guopeng, L.; Aoran, S. Analysis on Unsteady Stall Flow Characteristics of Axial-flow Pump. Trans. Chin. Soc. Agric. Mach. 2017, 48, 127–135. [Google Scholar]
- Mu, T.; Zhang, R.; Xu, H.; Zheng, Y.; Fei, Z.; Li, J. Study on improvement of hydraulic performance and internal flow pattern of the axial flow pump by groove flow control technology. Renew. Energy 2020, 160, 756–769. [Google Scholar] [CrossRef]
- Ji, L.L.; Li, W.; Shi, W.D. Influence of tip leakage flow and inlet distortion flow on a mixed-flow pump with different tip clearances within the stall condition. Proc. Inst. Mech. Eng. Part A J. Power Energy 2020, 234, 433–453. [Google Scholar] [CrossRef]
- Toyokura, T. Studies on the Characteristics of Axial-Flow pumps: Part 1, General Tendencies of the Characteristics of Pumps. Bull. JSME 1961, 14, 287–293. [Google Scholar] [CrossRef]
- Zierke, W.C.; Straka, W.A.; Taylor, P.D. An Experimental Investigation of the Flow Through an Axial-Flow Pump. J. Fluids Eng. 1995, 117, 485–490. [Google Scholar] [CrossRef]
- Benra, F.K.; Dohmen, H.J. Unsteady Three-Dimensional Flow Phenomena in an Axial Flow Pump at Different Operating Points. In ASME 2008 Fluids Engineering Division Summer Meeting Collocated with the Heat Transfer, Energy Sustainability, and 3rd Energy Nanotechnology Conferences; American Society of Mechanical Engineers: New York, NY, USA, 2008; pp. 277–283. [Google Scholar]
- Farrell, K.J.; Billet, M.L. A correlation of leakage vortex cavitation in axial-flow pumps. J. Fluids Eng. 1994, 3, 551–557. [Google Scholar] [CrossRef]
- Canbaz, O.; Yucel, N.; Albayrak, K. Experimental Investigation of Unsteady Flow in a Vertical Shaft Axial Flow Pump. J. Polytech. 2022. [Google Scholar] [CrossRef]
- Kan, K.; Zheng, Y.; Chen, Y.; Xie, Z.; Yang, G.; Yang, C. Numerical study on the internal flow characteristics of an axial-flow pump under stall conditions. J. Mech. Sci. Technol. 2018, 32, 4683–4695. [Google Scholar] [CrossRef]
- Kock, F.; Herwig, H. Local entropy production in turbulent shear flows: A high-Reynolds number model with wall functions. Int. J. Heat Mass. Trans. 2004, 47, 2205–2215. [Google Scholar] [CrossRef]
- Herwig, H.; Kock, F. Local Entropy Production in Turbulent Shear Flows: A Tool for Evaluating Heat Transfer Performance. J. Therm. Sci. 2006, 15, 159–167. [Google Scholar] [CrossRef]
- McEligot, D.M.; Nolan, K.P.; Walsh, E.J.; Laurien, E. Effects of pressure gradients on entropy generation in the viscous layers of turbulent wall flows. Int. J. Heat Mass. Trans. 2008, 51, 1104–1114. [Google Scholar] [CrossRef]
- McEligot, D.M.; Brodkey, R.S.; Eckelmann, H. Laterally converging duct flows. Part 4. Temporal behaviour in the viscous layer. J. Fluids Mech. 2009, 634, 433–461. [Google Scholar] [CrossRef]
- Schmandt, B.; Herwig, H. Internal Flow Losses: A Fresh Look at Old Concepts. J. Fluids Eng. 2011, 133, 051201. [Google Scholar] [CrossRef]
- Herwig, H.; Gloss, D.; Wenterodt, T. A new approach to understanding and modelling the influence of wall roughness on friction factors for pipe and channel flows. J. Fluids Mech. 2008, 613, 35–53. [Google Scholar] [CrossRef]
- Gong, R.; Wang, H.; Chen, L.; Li, D.; Zhang, H.; Wei, X. Application of entropy production theory to hydro-turbine hydraulic analysis. Sci. China Technol. Sci. 2013, 56, 1636–1643. [Google Scholar] [CrossRef]
- Ghorani, M.M.; Haghighi, M.H.S.; Maleki, A.; Riasi, A. A numerical study on mechanisms of energy dissipation in a pump as turbine (PAT) using entropy generation theory. Renew. Energy 2020, 162, 1036–1053. [Google Scholar] [CrossRef]
- Osman, M.K.; Wang, W.; Yuan, J.; Zhao, J.; Wang, Y.; Liu, J. Flow loss analysis of a two-stage axially split centrifugal pump with double inlet under different channel designs. Proc. Inst. Mech. Eng. Part C J. Mech. Eng. Sci. 2019, 233, 5316–5328. [Google Scholar] [CrossRef]
- Zhou, L.; Hang, J.; Bai, L.; Krzemianowski, Z.; El-Emam, M.A.; Yasser, E.; Agarwal, R. Application of entropy production theory for energy losses and other investigation in pumps and turbines: A review. Appl. Energy 2022, 318, 119211. [Google Scholar] [CrossRef]
- Ren, Y.; Zhu, Z.; Wu, D.; Li, X. Influence of Guide Ring on Energy Loss in a Multistage Centrifugal Pump. J. Fluids Eng. 2018, 141, 061302. [Google Scholar] [CrossRef]
- Sun, L.; Pan, Q.; Zhang, D.; Zhao, R.; van Esch, B.P.M.B. Numerical study of the energy loss in the bulb tubular pump system focusing on the off-design conditions based on combined energy analysis methods. Energy 2022, 258, 124794. [Google Scholar] [CrossRef]
- Menter, F.R. Review of the shear-stress transport turbulence model experience from an industrial perspective. Int. J. Comput. Fluid Dyn. 2009, 23, 305–316. [Google Scholar] [CrossRef]
- Kim, Y.; Heo, M.; Shim, H.; Lee, B.; Kim, D.; Kim, K. Hydrodynamic Optimization for Design of a Submersible Axial-Flow Pump with a Swept Impeller. Energies 2020, 13, 3053. [Google Scholar] [CrossRef]
- Li, W.; Ji, L.; Li, E.; Shi, W.; Agarwal, R.; Zhou, L. Numerical investigation of energy loss mechanism of mixed-flow pump under stall condition. Renew. Energy 2021, 167, 740–760. [Google Scholar] [CrossRef]
- Smirnov, P.E.; Menter, F.R. Sensitization of the SST Turbulence Model to Rotation and Curvature by Applying the Spalart-Shur Correction Term. J. Turbomach. 2009, 131, 041010. [Google Scholar] [CrossRef]
- Huang, X.; Yang, W.; Li, Y.; Qiu, B.; Guo, Q.; Liu, Z. Review on the sensitization of turbulence models to rotation/curvature and the application to rotating machinery. Appl. Math. Comput. 2019, 341, 46–69. [Google Scholar] [CrossRef]
- Spalart, P.R.; Shur, M. On the Sensitization of Turbulence Models to Rotation and Curvature. Aerosp. Sci. Technol. 1997, 5, 297–302. [Google Scholar] [CrossRef]
- Roache, P.J. Conservatism of the grid convergence index in finite volume computations on steady-state fluid flow and heat transfer. J. Fluids Eng. 2003, 125, 731–732. [Google Scholar] [CrossRef]
- Meng, F.; Li, Y.J. Energy characteristics of a bidirectional axial-flow pump with two impeller airfoils based on entropy production analysis. Entropy 2022, 24, 962. [Google Scholar] [CrossRef] [PubMed]
- Hou, H.C.; Zhang, Y.X.; Li, Z.L. A numerical research on energy loss evaluation in a centrifugal pump system based on local entropy production method. Therm. Sci. 2017, 21, 1287–1299. [Google Scholar] [CrossRef]
- Zhang, H.Y.; Meng, F.; Cao, L.; Li, Y.J.; Wang, X.K. The Influence of a Pumping Chamber on Hydraulic Losses in a Mixed-Flow Pump. Processes 2022, 10, 407. [Google Scholar] [CrossRef]
- ANSYS Inc. ANSYS CFX-Solver Theory Guide; ANSYS Inc.: Canonsburg, PA, USA, 2018. [Google Scholar]
- Wang, F.J. Analysis Method of Flow in Pumps and Pumping Stations; China Water and Power Press: Beijing, China, 2020. [Google Scholar]
- Mathieu, J.; Scott, J. An Introduction to Turbulent Flow; Cambridge University Press: Cambridge, UK, 2000. [Google Scholar]
- Hasmatuchi, V.; Farhat, M.; Roth, S.; Botero, F.; Avellan, F. Experimental Evidence of Rotating Stall in a Pump-Turbine at Off-Design Conditions in Generating Mode. J. Fluids Eng. 2011, 133, 051104. [Google Scholar] [CrossRef]
- Yang, H.; Sun, D.D.; Tang, F.P.; Zhang, X.F. Experiment research on inlet flow field for axial-flow pump at unsteady operating condition. J. Drain. Irrig. Mach. 2011, 29, 406–410. [Google Scholar]
- Zhang, D.S.; Shi, W.D.; Pan, D.Z.; Dubuisson, M. Numerical and Experimental Investigation of Tip Leakage Vortex Cavitation Patterns and Mechanisms in an Axial Flow Pump. J. Fluids Eng. 2015, 137, 121103. [Google Scholar] [CrossRef]






















| Parameters | Values |
|---|---|
| N1, N2, N3 | 10.3 M, 4.7 M, 2.1 M |
| r21, r32 | 1.303, 1.318 |
| Φ1, Φ2, Φ3 | 81.38%, 81.60%, 81.76% |
| p | 2.28 |
| , | 1.22, 1.21 |
| , | 0.30%, 0.17% |
| GCI21 | 0.45% |
| GCI32 | 0.24% |
| Scheme | Number of Grid Cells/106 | Number of Nodes in the Tip Clearance | Turbulent Entropy Production in IR10/W |
|---|---|---|---|
| 3 | 8.5 | 15 | 330.1 |
| 4 | 10.3 | 22 | 338.7 |
| 5 | 12.4 | 31 | 340.6 |
Disclaimer/Publisher’s Note: The statements, opinions and data contained in all publications are solely those of the individual author(s) and contributor(s) and not of MDPI and/or the editor(s). MDPI and/or the editor(s) disclaim responsibility for any injury to people or property resulting from any ideas, methods, instructions or products referred to in the content. |
© 2023 by the authors. Licensee MDPI, Basel, Switzerland. This article is an open access article distributed under the terms and conditions of the Creative Commons Attribution (CC BY) license (https://creativecommons.org/licenses/by/4.0/).
Share and Cite
Ji, D.; Lu, W.; Xu, B.; Xu, L.; Jiang, T. Study on the Energy Loss Characteristics of Shaft Tubular Pump Device under Stall Conditions Based on the Entropy Production Method. J. Mar. Sci. Eng. 2023, 11, 1512. https://doi.org/10.3390/jmse11081512
Ji D, Lu W, Xu B, Xu L, Jiang T. Study on the Energy Loss Characteristics of Shaft Tubular Pump Device under Stall Conditions Based on the Entropy Production Method. Journal of Marine Science and Engineering. 2023; 11(8):1512. https://doi.org/10.3390/jmse11081512
Chicago/Turabian StyleJi, Dongtao, Weigang Lu, Bo Xu, Lei Xu, and Tao Jiang. 2023. "Study on the Energy Loss Characteristics of Shaft Tubular Pump Device under Stall Conditions Based on the Entropy Production Method" Journal of Marine Science and Engineering 11, no. 8: 1512. https://doi.org/10.3390/jmse11081512
APA StyleJi, D., Lu, W., Xu, B., Xu, L., & Jiang, T. (2023). Study on the Energy Loss Characteristics of Shaft Tubular Pump Device under Stall Conditions Based on the Entropy Production Method. Journal of Marine Science and Engineering, 11(8), 1512. https://doi.org/10.3390/jmse11081512

