Depth Profiles of Microplastic in Sediment Cores in the Mangrove Area of Kuala Gula Mangrove, Malaysia
Abstract
1. Introduction
2. Materials and Methods
2.1. Study Area and Sample Collection
2.2. Microplastic Extraction from Sediment
2.3. Microplastic Identification
2.4. Contamination Control
2.5. Statistical Analysis
3. Results and Discussion
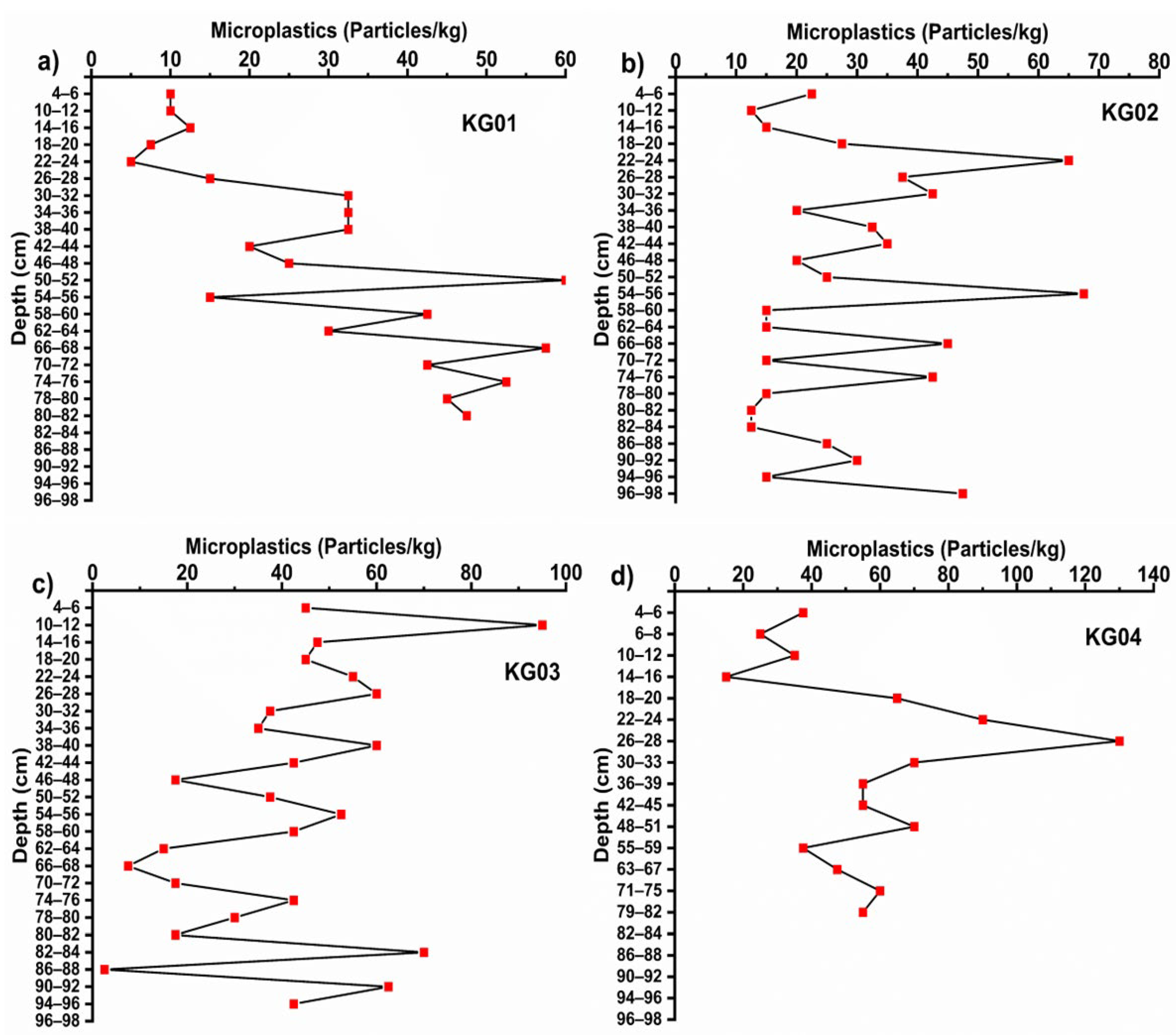
3.1. Abundance of Microplastics
3.2. Physical Characteristics of Microplastics: Shape, Size, and Color
3.2.1. Shape
3.2.2. Size
3.2.3. Color
3.2.4. Type of Microplastic Polymers
3.2.5. Statistical Analysis
4. Conclusions
Author Contributions
Funding
Institutional Review Board Statement
Informed Consent Statement
Data Availability Statement
Conflicts of Interest
References
- Plastics Europe. Plastics—The Facts 2020: An Analysis of European Plastics Production, Demand and Recovery for 2020; Plastics Europe Market Research Group [PEMRG]: Brussels, Belgium, 2021. [Google Scholar]
- Santodomingo, N.; Perry, C.; Waheed, Z.; Syed Hussein, M.A.B.; Rosedy, A.; Johnson, K.G. Marine litter pollution on coral reefs of Darvel Bay (East Sabah, Malaysia). Mar. Pollut. Bull. 2021, 173, 112998. [Google Scholar] [CrossRef] [PubMed]
- Tan, E.; Jaafar, N.F.; Aileen Tan, S.H.; Mohd Zanuri, N.B. A review of plastic and microplastic pollution towards the Malaysian marine environment. IOP Conf. Ser. Earth Environ. Sci. 2022, 1013, 012012. [Google Scholar] [CrossRef]
- Picó, Y.; Barceló, D. Analysis and Prevention of Microplastics Pollution in Water: Current Perspectives and Future Directions. ACS Omega 2019, 4, 6709–6719. [Google Scholar] [CrossRef] [PubMed]
- Pradit, S.; Nitiratsuwan, T.; Towatana, P.; Jualaong, S.; Sornplang, K.; Noppradit, P.; Jirajarus, M.; Darakai, Y.; Weerawong, C. Marine debris accumulation on the beach in libong, a small island in andaman sea, thailand. Appl. Ecol. Environ. Res. 2020, 18, 5461–5474. [Google Scholar] [CrossRef]
- Han, X.-L.; Jiang, N.-J.; Hata, T.; Choi, J.; Du, Y.-J.; Wang, Y.-J. Deep learning based approach for automated characterization of large marine microplastic particles. Mar. Environ. Res. 2023, 183, 105829. [Google Scholar] [CrossRef]
- Patterson, J.; Jeyasanta, K.I.; Sathish, N.; Edward, J.K.P.; Booth, A.M. Microplastic and heavy metal distributions in an Indian coral reef ecosystem. Sci. Total Environ. 2020, 744, 140706. [Google Scholar] [CrossRef]
- Botterell, Z.L.R.; Bergmann, M.; Hildebrandt, N.; Krumpen, T.; Steinke, M.; Thompson, R.C.; Lindeque, P.K. Microplastic ingestion in zooplankton from the Fram Strait in the Arctic. Sci. Total Environ. 2022, 831, 154886. [Google Scholar] [CrossRef]
- Azad, S.M.O.; Towatana, P.; Pradit, S.; Patricia, B.G.; Hue, H.T. Ingestion of microplastics by some commercial fishes in the lower Gulf of Thailand: A preliminary approach to ocean conservation. Int. J. Agric. Technol. 2018, 14, 1017–1032. [Google Scholar]
- Li, Q.; Ma, C.; Zhang, Q.; Shi, H. Microplastics in shellfish and implications for food safety. Curr. Opin. Food Sci. 2021, 40, 192–197. [Google Scholar] [CrossRef]
- Hossain, M.S.; Rahman, M.S.; Uddin, M.N.; Sharifuzzaman, S.M.; Chowdhury, S.R.; Sarker, S.; Nawaz Chowdhury, M.S. Microplastic contamination in Penaeid shrimp from the Northern Bay of Bengal. Chemosphere 2020, 238, 124688. [Google Scholar] [CrossRef]
- Liu, S.; Shi, J.; Wang, J.; Dai, Y.; Li, H.; Li, J.; Liu, X.; Chen, X.; Wang, Z.; Zhang, P. Interactions Between Microplastics and Heavy Metals in Aquatic Environments: A Review. Front. Microbiol. 2021, 12, 652520. [Google Scholar] [CrossRef]
- Frias, J.P.G.L.; Sobral, P.; Ferreira, A.M. Organic pollutants in microplastics from two beaches of the Portuguese coast. Mar. Pollut. Bull. 2010, 60, 1988–1992. [Google Scholar] [CrossRef]
- Kwon, J.-H.; Chang, S.; Hong, S.H.; Shim, W.J. Microplastics as a vector of hydrophobic contaminants: Importance of hydrophobic additives. Integr. Environ. Assess. Manag. 2017, 13, 494–499. [Google Scholar] [CrossRef]
- Mamun, A.A.; Prasetya, T.A.E.; Dewi, I.R.; Ahmad, M. Microplastics in human food chains: Food becoming a threat to health safety. Sci. Total Environ. 2023, 858, 159834. [Google Scholar] [CrossRef] [PubMed]
- Gijsman, R.; Horstman, E.M.; van der Wal, D.; Friess, D.A.; Swales, A.; Wijnberg, K.M. Nature-Based Engineering: A Review on Reducing Coastal Flood Risk with Mangroves. Front. Mar. Sci. 2021, 8, 702412. [Google Scholar] [CrossRef]
- Powell, E.J.; Tyrrell, M.C.; Milliken, A.; Tirpak, J.M.; Staudinger, M.D. A review of coastal management approaches to support the integration of ecological and human community planning for climate change. J. Coast. Conserv. 2018, 23, 1–18. [Google Scholar] [CrossRef]
- Martin, C.; Almahasheer, H.; Duarte, C.M. Mangrove forests as traps for marine litter. Environ. Pollut. 2019, 247, 499–508. [Google Scholar] [CrossRef]
- Ibrahim, N.A.; Khairul Anuar, M.H.H.; Mazlan, M.A.Y.U.; Ahmad Nahar, A.M.; Syed Alyan, S.N.N.; Zakaria, N.A.; Hashim, M.A.; Ahmad Kamil, K. Abundance, Uptake, Presence and Biodegradation of Microplastics in Malaysian Context: A Systematic Literature Review. J. Sustain. Sci. Manag. 2022, 17, 221–239. [Google Scholar] [CrossRef]
- Barasarathi, J.; Agamuthu, P.; Emenike, C.U.; Fauziah, S.H. Microplastic abundance in selected mangrove forest in Malaysia. In Proceedings of the ASEAN Conference on Science and Technology, Bogor, Indonesia, 18–27 August 2014. [Google Scholar]
- Hamid, F.S.; Jia, W.; Zakaria, R.M. Microplastics Abundance and Uptake by Meretrix lyrata (Hard Clam) in Mangrove Forest. J. Eng. Technol. Sci. 2020, 52, 436–448. [Google Scholar] [CrossRef]
- Pradit, S.; Noppradit, P.; Loh, P.-S.; Nitiratsuwan, T.; Le, T.P.Q.; Oeurng, C.; Mohamed, C.A.R.; Lee, C.W.; Lu, X.; Anshari, G.Z.; et al. The Occurrence of Microplastics in Sediment Cores from Two Mangrove Areas in Southern Thailand. J. Mar. Sci. Eng. 2022, 10, 418. [Google Scholar] [CrossRef]
- Azam, S.N.; Unjah, T. Innovative Management of Natural Resources: Case Study of Mangrove Area in Kuala Gula, Perak. Plan. Malays. J. 2017, 15, 45–56. [Google Scholar] [CrossRef]
- Ismail, A.; Rahman, F. Current Status of the Milky Stork Re-introduction Programme in Malaysia and Its Challenges. Trop. Life Sci. Res. 2016, 27, 13–24. [Google Scholar] [CrossRef] [PubMed]
- Chinfak, N.; Sompongchaiyakul, P.; Charoenpong, C.; Shi, S.; Yeemin, T.; Zhang, J. Abundance, composition, and fate of microplastics in water, sediment, and shellfish in the Tapi-Phumduang River system and Bandon Bay, Thailand. Sci. Total Environ. 2021, 781, 146700. [Google Scholar] [CrossRef]
- Wang, S.; Chen, H.; Zhou, X.; Tian, Y.; Lin, C.; Wang, W.; Zhou, K.; Zhang, Y.; Lin, H. Microplastic abundance, distribution and composition in the mid-west Pacific Ocean. Environ. Pollut. 2020, 264, 114125. [Google Scholar] [CrossRef]
- Jahan, S.; Strezov, V.; Weldekidan, H.; Kumar, R.; Kan, T.; Sarkodie, S.A.; He, J.; Dastjerdi, B.; Wilson, S.P. Interrelationship of microplastic pollution in sediments and oysters in a seaport environment of the eastern coast of Australia. Sci. Total Environ. 2019, 695, 133924. [Google Scholar] [CrossRef]
- Jiwarungrueangkul, T.; Phaksopa, J.; Sompongchaiyakul, P.; Tipmanee, D. Seasonal microplastic variations in estuarine sediments from urban canal on the west coast of Thailand: A case study in Phuket province. Mar. Pollut. Bull. 2021, 168, 112452. [Google Scholar] [CrossRef] [PubMed]
- Gardel, A.; Anthony, E.J.; Santos, V.F.; Huybrechts, N.; Lesourd, S.; Sottolichio, A.; Maury, T. A remote sensing-based classification approach for river mouths of the Amazon-influenced Guianas coast. Reg. Environ. Chang. 2022, 22, 65. [Google Scholar] [CrossRef]
- Yu, L.; Li, R.; Chai, M.; Li, B. Vertical distribution, accumulation, and characteristics of microplastics in mangrove sediment in China. Sci. Total Environ. 2022, 856, 159256. [Google Scholar] [CrossRef] [PubMed]
- Dong, M.; Luo, Z.; Jiang, Q.; Xing, X.; Zhang, Q.; Sun, Y. The rapid increases in microplastics in urban lake sediments. Sci. Rep. 2020, 10, 848. [Google Scholar] [CrossRef]
- Reinold, S.; Herrera, A.; Stile, N.; Saliu, F.; Hernández-González, C.; Martinez, I.; Ortega, Z.; Marrero, M.D.; Lasagni, M.; Gómez, M. An annual study on plastic accumulation in surface water and sediment cores from the coastline of Tenerife (Canary Island, Spain). Mar. Pollut. Bull. 2021, 173, 113072. [Google Scholar] [CrossRef]
- Zandhi, R.; Yuliadi, L.P.S.; Ismail, M.R.; Yuniarti, M.S. Conditions for Sediment Coating Microplastic in Mangrove Ecosystems in Kupang and Rote, East Nusa Tenggara, Indonesia. World News Nat. Sci. 2019, 27, 50–58. [Google Scholar]
- Pervez, R.; Wang, Y. Microplastic distribution within core sediments of beach and its responses to anthropogenic activities. Mar. Pollut. Bull. 2022, 174, 113256. [Google Scholar] [CrossRef]
- Li, J.; Huang, W.; Xu, Y.; Jin, A.; Zhang, D.; Zhang, C. Microplastics in sediment cores as indicators of temporal trends in microplastic pollution in Andong salt marsh, Hangzhou Bay, China. Reg. Stud. Mar. Sci. 2020, 35, 101149. [Google Scholar] [CrossRef]
- Yang, T.; Gao, M.; Nowack, B. Formation of microplastic fibers and fibrils during abrasion of a representative set of 12 polyester textiles. Sci. Total Environ. 2023, 862, 160758. [Google Scholar] [CrossRef]
- Belzagui, F.; Gutiérrez-Bouzán, C.; Álvarez-Sánchez, A.; Vilaseca, M. Textile microfibers reaching aquatic environments: A new estimation approach. Environ. Pollut. 2020, 265, 114889. [Google Scholar] [CrossRef]
- Pohl, F.; Eggenhuisen, J.T.; Kane, I.A.; Clare, M.A. Transport and Burial of Microplastics in Deep-Marine Sediments by Turbidity Currents. Environ. Sci. Technol. 2020, 54, 4180–4189. [Google Scholar] [CrossRef]
- Wu, P.; Tang, Y.; Dang, M.; Wang, S.; Jin, H.; Liu, Y.; Jing, H.; Zheng, C.; Yi, S.; Cai, Z. Spatial-temporal distribution of microplastics in surface water and sediments of Maozhou River within Guangdong-Hong Kong-Macao Greater Bay Area. Sci. Total Environ. 2020, 717, 135187. [Google Scholar] [CrossRef] [PubMed]
- Besseling, E.; Quik, J.T.K.; Sun, M.; Koelmans, A.A. Fate of nano- and microplastic in freshwater systems: A modeling study. Environ. Pollut. 2017, 220, 540–548. [Google Scholar] [CrossRef]
- Mohamed Nor, N.H.; Obbard, J.P. Microplastics in Singapore’s coastal mangrove ecosystems. Mar. Pollut. Bull. 2014, 79, 278–283. [Google Scholar] [CrossRef] [PubMed]
- Zhang, M.; Liu, L.; Xu, D.; Zhang, B.; Li, J.; Gao, B. Small-sized microplastics (<500 μm) in roadside soils of Beijing, China: Accumulation, stability, and human exposure risk. Environ. Pollut. 2022, 304, 119121. [Google Scholar] [CrossRef] [PubMed]
- Chen, X.; Chen, X.; Liu, Q.; Zhao, Q.; Xiong, X.; Wu, C. Used disposable face masks are significant sources of microplastics to environment. Environ. Pollut. 2021, 285, 117485. [Google Scholar] [CrossRef] [PubMed]
- Kelly, M.R.; Lant, N.J.; Kurr, M.; Burgess, J.G. Importance of Water-Volume on the Release of Microplastic Fibers from Laundry. Environ. Sci. Technol. 2019, 53, 11735–11744. [Google Scholar] [CrossRef]
- Ory, N.C.; Sobral, P.; Ferreira, J.L.; Thiel, M. Amberstripe scad Decapterus muroadsi (Carangidae) fish ingest blue microplastics resembling their copepod prey along the coast of Rapa Nui (Easter Island) in the South Pacific subtropical gyre. Sci. Total Environ. 2017, 586, 430–437. [Google Scholar] [CrossRef]
- Periyasamy, A.P.; Tehrani-Bagha, A. A review on microplastic emission from textile materials and its reduction techniques. Polym. Degrad. Stab. 2022, 199, 109901. [Google Scholar] [CrossRef]
- Kaur, I.; Sharma, N.; Kumari, V. Modification of fiber properties through grafting of acrylonitrile to rayon by chemical and radiation methods. J. Adv. Res. 2013, 4, 547–557. [Google Scholar] [CrossRef] [PubMed]
- Woodall, L.C.; Sanchez-Vidal, A.; Canals, M.; Paterson, G.L.J.; Coppock, R.; Sleight, V.; Calafat, A.; Rogers, A.D.; Narayanaswamy, B.E.; Thompson, R.C. The deep sea is a major sink for microplastic debris. R. Soc. Open Sci. 2014, 1, 140317. [Google Scholar] [CrossRef] [PubMed]
- Lusher, A.L.; McHugh, M.; Thompson, R.C. Occurrence of microplastics in the gastrointestinal tract of pelagic and demersal fish from the English Channel. Mar. Pollut. Bull. 2013, 67, 94–99. [Google Scholar] [CrossRef]
- Tsironi, T.N.; Chatzidakis, S.M.; Stoforos, N.G. The future of polyethylene terephthalate bottles: Challenges and sustainability. Packag. Technol. Sci. 2022, 35, 317–325. [Google Scholar] [CrossRef]
- Naji, A.; Nuri, M.; Amiri, P.; Niyogi, S. Small microplastic particles (S-MPPs) in sediments of mangrove ecosystem on the northern coast of the Persian Gulf. Mar. Pollut. Bull. 2019, 146, 305–311. [Google Scholar] [CrossRef]








| Station | Coordinates | Site Description |
|---|---|---|
| KG01 | 04°56′37.12″ N 100°28′48.37″ E | Near the boat jetty, samples were taken close to mangrove vegetation. |
| KG02 | 04°55′46.2″ N 100°28′12.7″ E | Taken at the river mouth, where a lot of aquaculture activities are conducted. |
| KG03 | 04°54′55.9″ N 100°28′06.8″ E | Taken at the estuary, near a mudflat area. Slightly southward from the river mouth. Boats coming in and out. |
| KG04 | 04°54′54.5″ N 100°27′10.8″ E | Taken at a mudflat area, facing seaward. Birds are seen foraging. |
| Station | Values | Fibers | Fragment | Others | <500 µm | 500 µm–1 mm | >1 mm |
|---|---|---|---|---|---|---|---|
| KG01 | Mean | 9.45 | 2.25 | 0.20 | 3.90 | 4.15 | 3.85 |
| S.E. | 1.28 | 0.98 | 0.12 | 1.14 | 0.71 | 0.57 | |
| Median | 9.00 | 1.00 | 0.00 | 2.00 | 3.00 | 3.50 | |
| KG02 | Mean | 10.60 | 0.52 | 0.28 | 4.40 | 3.88 | 3.12 |
| S.E. | 1.22 | 0.19 | 0.16 | 0.69 | 0.59 | 0.72 | |
| Median | 9.00 | 0.00 | 0.00 | 4.00 | 3.00 | 3.00 | |
| KG03 | Mean | 14.46 | 1.79 | 0.08 | 6.75 | 4.71 | 4.88 |
| S.E. | 1.604 | 0.37 | 0.08 | 0.76 | 0.65 | 0.71 | |
| Median | 15.00 | 1.50 | 0.00 | 6.50 | 4.00 | 4.50 | |
| KG04 | Mean | 19.20 | 3.07 | 0.33 | 8.40 | 7.33 | 6.87 |
| S.E. | 2.19 | 0.89 | 0.16 | 1.83 | 0.72 | 1.03 | |
| Median | 19.00 | 2.00 | 0.00 | 7.00 | 8.00 | 7.00 | |
| Mean | 12.96 | 1.75 | 0.21 | 5.67 | 4.80 | 4.46 | |
| S.E. | 0.84 | 0.32 | 0.07 | 0.54 | 0.35 | 0.39 | |
| Median | 12.00 | 1.00 | 0.00 | 5.00 | 4.00 | 4.00 |
Disclaimer/Publisher’s Note: The statements, opinions and data contained in all publications are solely those of the individual author(s) and contributor(s) and not of MDPI and/or the editor(s). MDPI and/or the editor(s) disclaim responsibility for any injury to people or property resulting from any ideas, methods, instructions or products referred to in the content. |
© 2023 by the authors. Licensee MDPI, Basel, Switzerland. This article is an open access article distributed under the terms and conditions of the Creative Commons Attribution (CC BY) license (https://creativecommons.org/licenses/by/4.0/).
Share and Cite
Mohamed, C.A.R.; Shahruddin, A.N.; Pradit, S.; Loh, P.S.; Nitiratsuwan, T.; Kobkeatthawin, T.; Noppradit, P.; Le, T.P.Q.; Oeurng, C.; Sok, T.; et al. Depth Profiles of Microplastic in Sediment Cores in the Mangrove Area of Kuala Gula Mangrove, Malaysia. J. Mar. Sci. Eng. 2023, 11, 1223. https://doi.org/10.3390/jmse11061223
Mohamed CAR, Shahruddin AN, Pradit S, Loh PS, Nitiratsuwan T, Kobkeatthawin T, Noppradit P, Le TPQ, Oeurng C, Sok T, et al. Depth Profiles of Microplastic in Sediment Cores in the Mangrove Area of Kuala Gula Mangrove, Malaysia. Journal of Marine Science and Engineering. 2023; 11(6):1223. https://doi.org/10.3390/jmse11061223
Chicago/Turabian StyleMohamed, Che Abd Rahim, Aqilah Nur Shahruddin, Siriporn Pradit, Pei Sun Loh, Thongchai Nitiratsuwan, Thawanrat Kobkeatthawin, Prakrit Noppradit, Thi Phuong Quynh Le, Chantha Oeurng, Ty Sok, and et al. 2023. "Depth Profiles of Microplastic in Sediment Cores in the Mangrove Area of Kuala Gula Mangrove, Malaysia" Journal of Marine Science and Engineering 11, no. 6: 1223. https://doi.org/10.3390/jmse11061223
APA StyleMohamed, C. A. R., Shahruddin, A. N., Pradit, S., Loh, P. S., Nitiratsuwan, T., Kobkeatthawin, T., Noppradit, P., Le, T. P. Q., Oeurng, C., Sok, T., Lee, C. W., Bong, C. W., Lu, X., Anshari, G. Z., Kandasamy, S., & Wang, J. (2023). Depth Profiles of Microplastic in Sediment Cores in the Mangrove Area of Kuala Gula Mangrove, Malaysia. Journal of Marine Science and Engineering, 11(6), 1223. https://doi.org/10.3390/jmse11061223

