Numerical Simulation of the Beach Response Mechanism under Typhoon Lekima: A Case Study of the Southern Beach of Chudao
Abstract
1. Introduction
2. Materials and Methods
2.1. Study Area and Data
2.2. Numerical Model Method
2.2.1. Overview of the XBeach Model
2.2.2. Model Grid Setup
2.2.3. Model Parameters Setup
- (1)
- Constructing the likelihood function:where represents the BSS value of each parameter set, and represents the total number of times that the model’s computation exceeds the threshold.
- (2)
- Setting the threshold: Choosing a threshold that is too low is not conducive to determining the parameter tuning range, while a high threshold may result in fewer occurrences in which the threshold is exceeded. In this paper, a BSS threshold of 0.3 is selected.
- (3)
- Parameter sensitivity ranking: Assuming the numerical ranges of the base parameters follow a uniform distribution of likelihood functions, the simulated cumulative likelihood functions of each parameter are compared and analyzed against the assumed cumulative uniform functions.
| Parameter | Description | Default | Recommended Range |
|---|---|---|---|
| facua | The extent to which wave skewness and asymmetry impact the directional movement of sediment. | 0.1 | 0–1 |
| eps | Depth threshold for distinguishing between wet and dry cells. | 0.005 | 0.001–0.1 |
| gamma | The wave dissipation model’s breaker index. | 0.55 | 0.4–0.9 |
| gammax | The maximum permissible ratio of wave height to water depth. | 2 | 0.4–5 |
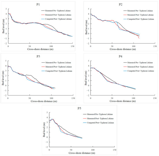
2.2.4. Model Validation
3. Results
3.1. Beach Dynamic Response Status
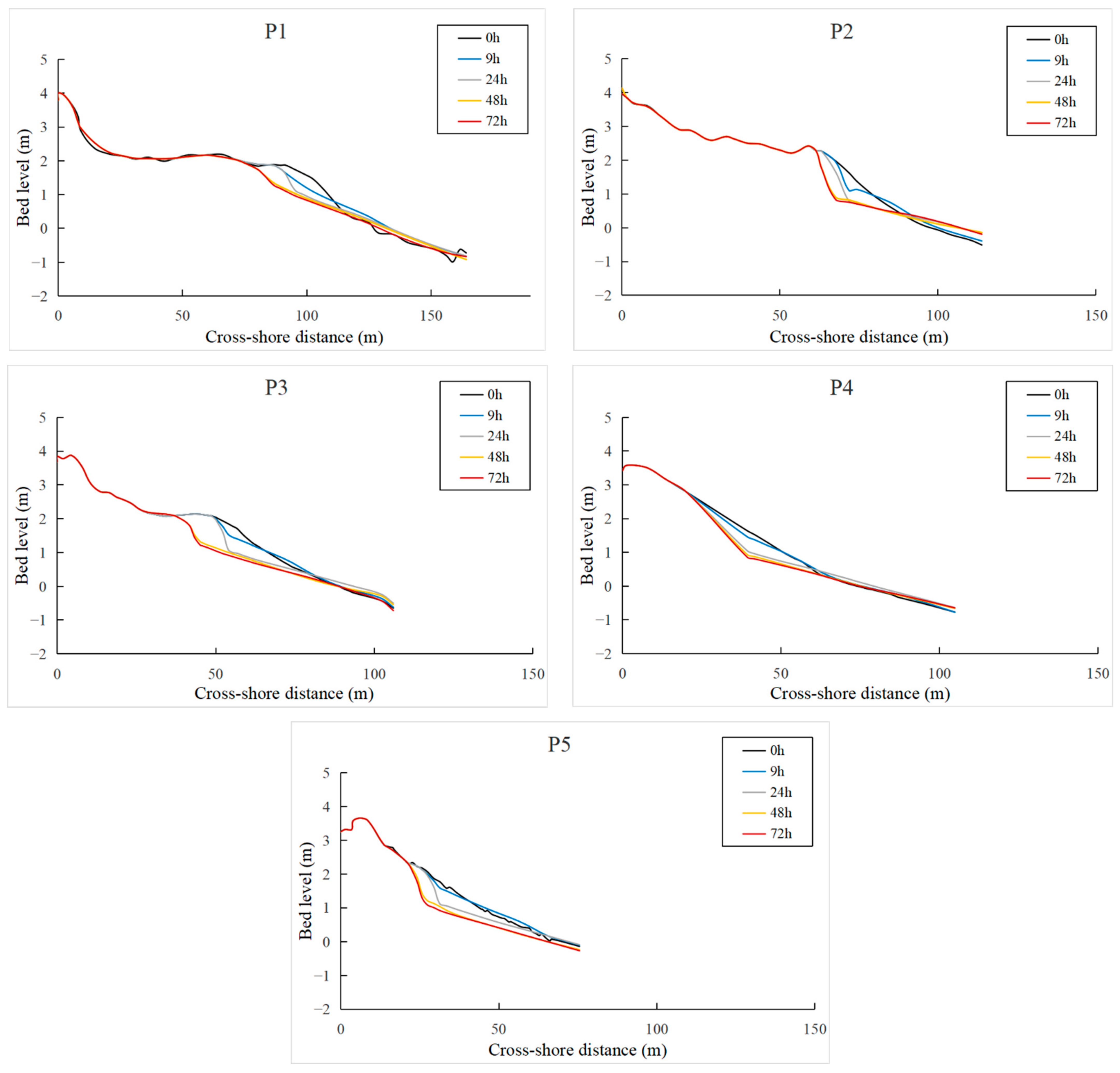
3.2. Dynamic Changes of Beach Profile
4. Discussion
5. Conclusions
Author Contributions
Funding
Institutional Review Board Statement
Informed Consent Statement
Data Availability Statement
Conflicts of Interest
References
- Dominic, A.; O’Donoghue, T.; Ribberink, J.S. Measurements of sheet flow transport in acceleration-skewed oscillatory flow and comparison with practical formulations. Coast. Eng. 2010, 57, 331–342. [Google Scholar]
- Silva, P.A.; Abreu, T.; Dominic, A.V.D.A.; Sancho, F.; Ruessink, B.G.; Werf, J.V.D.; Ribberink, J.S. Sediment transport in nonlinear skewed oscillatory flows: Transkew experiments. J. Hydraul. Res. 2011, 49 (Suppl. S1), 72–80. [Google Scholar] [CrossRef]
- Daly, C.J. Low Frequency Waves in the Shoaling and Nearshore Zone. Civ. Eng. Geosci. 2009. Available online: http://resolver.tudelft.nl/uuid:035517dd-c0f0-4f58-afa5-8b1bc672fc5c (accessed on 1 May 2023).
- Van Thiel de Vries, J.S.M.; Gent, M.; Walstra, D.; Reniers, A. Analysis of dune erosion processes in large-scale flume experiments. Coast. Eng. 2008, 55, 1028–1040. [Google Scholar] [CrossRef]
- Karunarathna, H.; Pender, D.; Ranasinghe, R.; Short, A.D.; Reeve, D.E. The effects of storm clustering on beach profile variability. Mar. Geol. 2014, 348, 103–112. [Google Scholar] [CrossRef]
- D’Alessandro, F.; Tomasicchio, G.R. Wave–dune interaction and beach resilience in large-scale physical model tests. Coast. Eng. 2016, 116, 15–25. [Google Scholar] [CrossRef]
- Castelle, B.; Marieu, V.; Bujan, S.; Splinter, K.D.; Robinet, A.; Senechal, N.; Ferreira, S. Impact of the winter 2013–2014 series of severe Western Europe storms on a double-barred sandy coast: Beach and dune erosion and megacusp embayments. Geomorphology 2015, 238, 135–148. [Google Scholar] [CrossRef]
- Cai, F.; Su, X.Z.; Xia, D.X. Study on the diference between storm efects of beaches on two sides of the tropical cyclone track-taking the responses of beaches to No.0307 Typhoon Imbudo as an example. Adv. Mar. Sci. 2004, 22, 436–445. (In Chinese) [Google Scholar]
- Gent, M.; van Thiel de Vries, J.S.M.; Coeveld, E.M.; Vroeg, J.; Graaff, J. Large-scale dune erosion tests to study the influence of wave periods. Coast. Eng. 2008, 55, 1041–1051. [Google Scholar] [CrossRef]
- Burvingt, O.; Masselink, G.; Russell, P.; Scott, T. Classification of beach response to extreme storms. Geomorphology 2017, 295, 722–737. [Google Scholar] [CrossRef]
- Haerens, P.; Bolle, A.; Trouw, K.; Houthuys, R. Definition of storm thresholds for significant morphological change of the sandy beaches along the Belgian coastline. Geomorphology 2012, 143–144, 104–117. [Google Scholar] [CrossRef]
- Prodger, S.; Russell, P.; Davidson, M.; Miles, J.; Scott, T. Understanding and predicting the temporal variability of sediment grain size characteristics on high-energy beaches. Mar. Geol. 2016, 376, 109–117. [Google Scholar] [CrossRef]
- Loureiro, C.; Ferreira, Ó.; Cooper, J.A.G. Geologically constrained morphological variability and boundary effects on embayed beaches. Mar. Geol. 2012, 329–331, 1–15. [Google Scholar] [CrossRef]
- Zeybek, M. Accuracy assessment of direct georeferencing UAV images with onboard global navigation satellite system and comparison of CORS/RTK surveying methods. Meas. Sci. Technol. 2021, 32, 065402. [Google Scholar] [CrossRef]
- Angnuureng, D.B.; Almar, R.; Senechal, N.; Castelle, B.; Addo, K.A.; Marieu, V.; Ranasinghe, R. Shoreline resilience to individual storms and storm clusters on a meso-macrotidal barred beach. Geomorphology 2017, 290, 265–276. [Google Scholar] [CrossRef]
- Guo, J.; Shi, L.; Pan, S.; Ye, Q.; Chen, S. Monitoring and evaluation of sand nourishments on an embayed beach exposed to frequent storms in eastern China. Ocean. Coast. Manag. 2020, 195, 105284. [Google Scholar] [CrossRef]
- Bahari, N.A.A.B.S.; Ahmed, A.N.; Chong, K.L.; Lai, V.; Huang, Y.F.; Koo, C.H.; Ng, J.L.; El-Shafe, A. Predicting Sea Level Rise Using Artificial Intelligence: A Review. Arch. Comput. Methods Eng. 2023, 1–18. [Google Scholar] [CrossRef]
- Almubaidin, M.A.A.; Ahmed, A.N.; Sidek, L.B.M.; Elshafie, A. Using Metaheuristics Algorithms (MHAs) to Optimize Water Supply Operation in Reservoirs: A Review. Arch. Comput. Methods Eng. 2022, 29, 3677–3711. [Google Scholar] [CrossRef]
- Hanoon, M.S.; Abdulhadi, A.B.A.; Ahmed, A.N.; Razzaq, A.; Birima, A.H.; El-Shafie, A. A comparison of various machine learning approaches performance for prediction suspended sediment load of river systems: A case study in Malaysia. Earth Sci. Inform. 2022, 15, 91–104. [Google Scholar] [CrossRef]
- Van Duin, M.J.P.; Wiersma, N.R.; Walstra, D.J.R.; van Rijn, L.C.; Stive, M.J.F. Nourishing The Shoreface:Observations And Hindcasting Of The Egmond Case, The Netherlands. Coast. Eng. 2004, 51, 813–837. [Google Scholar] [CrossRef]
- Brakenhoff, L.; Schrijvershof, R.; Werf, J.; Grasmeijer, B.; Ruessink, G.; Vegt, M. From Ripples to Large-Scale Sand Transport: The Effects of Bedform-Related Roughness on Hydrodynamics and Sediment Transport Patterns in Delft3D. J. Mar. Sci. Eng. 2020, 8, 892. [Google Scholar] [CrossRef]
- Grunnet, N.M.; Walstra, D.; Ruessink, B.G. Process-Based Modelling of A Shoreface Nourishment. Coast. Eng. 2004, 51, 581–607. [Google Scholar] [CrossRef]
- Van Wesenbeeck, B.; van Ormondt, M.; Tonnon, P.K. Model Development for the Design of A Sand Engine. Deltares 2008. [Google Scholar]
- Vellinga, P. Beach and dune erosion during storm surges—Reply. Coast. Eng. 1984, 8, 191–192. [Google Scholar] [CrossRef]
- Mickey, R.C.; Dalyander, P.S.; Mccall, R.; Passeri, D.L. Sensitivity of Storm Response to Antecedent Topography in the XBeach Model. J. Mar. Sci. Eng. 2020, 8, 829. [Google Scholar] [CrossRef]
- Kombiadou, K.; Costas, S.; Roelvink, D. Simulating Destructive and Constructive Morphodynamic Processes in Steep Beaches. J. Mar. Sci. Eng. 2021, 9, 86. [Google Scholar] [CrossRef]
- McCall, R.T.; Van Thiel de Vries, J.S.M.; Plant, N.G.; Van Dongeren, A.R.; Roelvink, J.A.; Thompson, D.M.; Reniers, A.J.H.M. Two-dimensional time dependent hurricane overwash and erosion modeling at Santa Rosa Island. Coast. Eng. 2010, 57, 668–683. [Google Scholar] [CrossRef]
- Rijn, L.C.V.; Walstra, D.J.R.; Grasmeijer, B.; Sutherland, J.; Pan, S.; Sierra, J.P. The predictability of cross-shore bed evolution of sandy beaches at the time scale of storms and seasons using process-based Profile models. Coast. Eng. 2003, 47, 295–327. [Google Scholar] [CrossRef]
- Dongeren, A.V.; Lowe, R.; Pomeroy, A.; Trang, D.M.; Roelvink, D.; Symonds, G.; Ranasinghe, R. Numerical modeling of low-frequency wave dynamics over a fringing coral reef. Coast. Eng. 2013, 73, 178–190. [Google Scholar] [CrossRef]
- Yin, K.; Xu, S.; Huang, W.; Liu, S.; Li, M. Numerical investigation of wave attenuation by coupled flexible vegetation dynamic model and XBeach wave model. Ocean. Eng. 2021, 235, 109357. [Google Scholar] [CrossRef]
- Almstrm, B.; Roelvink, D.; Larson, M. Predicting ship waves in sheltered waterways—An application of XBeach to the Stockholm Archipelago, Sweden. Coast. Eng. 2021, 170, 104026. [Google Scholar] [CrossRef]
- Matheen, N.; Harley, M.D.; Turner, I.L.; Splinter, K.D.; Simmons, J.A.; Thran, M.C. Bathymetric Data Requirements for Operational Coastal Erosion Forecasting Using XBeach. J. Mar. Sci. Eng. 2021, 9, 1053. [Google Scholar] [CrossRef]
- Zheng, H.; Zhang, Y.; Wang, Y.; Zhang, L.; Li, A. Characteristics of Atmospheric Kinetic Energy Spectra during the Intensification of Typhoon Lekima (2019). Appl. Sci. 2020, 10, 6029. [Google Scholar] [CrossRef]
- Roelvink, D.; Reniers, A.; Dongeren, A.V.; Vries, J.; Mccall, R.; Lescinski, J. Modelling storm impacts on beaches, dunes and barrier islands. Coast. Eng. 2009, 56, 1133–1152. [Google Scholar] [CrossRef]
- Mccarroll, R.J.; Masselink, G.; Valiente, N.G.; King, E.V.; Wiggins, M. An XBeach derived parametric expression for headland bypassing. Coast. Eng. 2021, 165, 103860. [Google Scholar] [CrossRef]
- Batchelor, G.K. An Introduction to Fluid Dynamics; Cambridge University Press: Cambridge, UK, 2000. [Google Scholar]
- Andrews, D.; Mcintyre, M. An exact theory of nonlinear waves on a Lagrangian-mean flow. J. Fluid. Mech. 1978, 89, 609–646. [Google Scholar] [CrossRef]
- Galappatti, G.; Vreugdenhil, C. A depth-integrated model for suspended sediment transport. J. Hydraul. Res. 1985, 23, 359–377. [Google Scholar] [CrossRef]
- Reniers, A.; Macmahan, J.H.; Thornton, E.B.; Stanton, T.P. Modelling Infragravity Motions on A Rip-Channel Beach. Coast. Eng. 2006, 53, 209–222. [Google Scholar] [CrossRef]
- Spear, R.C.; Hornberger, G.M. Eutrophication in peel inlet—II. Identification of critical uncertainties via generalized sensitivity analysis. Water Res. 1980, 14, 43–49. [Google Scholar] [CrossRef]
- Lahiri, K.; Liu, Y. Asymptotic Variance of Brier (Skill) Score in the Presence of Serial Correlation. In CESifo Working Paper Series; Elsevier: Amsterdam, The Netherlands, 2015. [Google Scholar]
- Liu, X.; Kuang, C.; Huang, S.; Dong, W. Modelling morphodynamic responses of a natural embayed beach to Typhoon Lekima encountering different tide types. Anthr. Coasts 2022, 5, 4–15. [Google Scholar] [CrossRef]
- Beven, K.; Binley, A. The future of distributed models: Model calibration and uncertainty prediction. Hydrol. Proc. 1992, 6, 279–298. [Google Scholar] [CrossRef]
- Simmons, J.A.; Harley, M.D.; Marshall, L.A.; Turner, A.L.; Splinter, K.D.; Cox, R.J. Calibrating and assessing uncertainty in coastal numerical models. Coast. Eng. 2017, 125, 28–41. [Google Scholar] [CrossRef]
- Sallenger, A.H. Storm Impact Scale for Barrier Islands. J. Coast. Res. 2000, 16, 890–895. [Google Scholar]
- Qi, H.; Cai, F.; Lei, G.; Cao, H.; Shi, F. The response of three main beach types to tropical storms in South China. Mar. Geol. 2010, 275, 244–254. [Google Scholar] [CrossRef]
- You, Z.J.; Ji, Z.Z. Data collection and simulation of coastal erosion disaster in NSW, Australia//China Ocean Engineering Society. In Proceedings of the 17th China Ocean (Coastal) Engineering Symposium (Part I); China Ocean Press: Beijing, China, 2015; pp. 402–407. [Google Scholar]













| BSS Value Range | Prediction Effect |
|---|---|
| 1~0.8 | Good |
| 0.8~0.6 | Preferable |
| 0.6~0.3 | Reasonable |
| 0.3~0 | Not good |
| <0 | Difference |
| Height-Value Relation | Beach Response State |
|---|---|
| < | scouring |
| < | erosion |
| > , < | overwash |
| > , > | breaching |
| Time | P1 | P2 | P3 | P4 | P5 |
|---|---|---|---|---|---|
| UED (m3) | UED (m3) | UED (m3) | UED (m3) | UED (m3) | |
| 9 h | 1.03 | 0.61 | −0.42 | −1.65 | 0.82 |
| 24 h | −5.11 | −3.83 | −6.95 | −9.34 | −9.32 |
| 48 h | −12.57 | −8.80 | −19.25 | −14.93 | −19.21 |
| Simulation 72 h | −14.50 | −8.71 | −21.62 | −16.79 | −20.75 |
| Measured 72 h | −12.46 | −13.40 | −18.71 | −15.47 | −18.45 |
Disclaimer/Publisher’s Note: The statements, opinions and data contained in all publications are solely those of the individual author(s) and contributor(s) and not of MDPI and/or the editor(s). MDPI and/or the editor(s) disclaim responsibility for any injury to people or property resulting from any ideas, methods, instructions or products referred to in the content. |
© 2023 by the authors. Licensee MDPI, Basel, Switzerland. This article is an open access article distributed under the terms and conditions of the Creative Commons Attribution (CC BY) license (https://creativecommons.org/licenses/by/4.0/).
Share and Cite
Xing, H.; Li, P.; Zhang, L.; Xue, H.; Shi, H.; You, Z. Numerical Simulation of the Beach Response Mechanism under Typhoon Lekima: A Case Study of the Southern Beach of Chudao. J. Mar. Sci. Eng. 2023, 11, 1156. https://doi.org/10.3390/jmse11061156
Xing H, Li P, Zhang L, Xue H, Shi H, You Z. Numerical Simulation of the Beach Response Mechanism under Typhoon Lekima: A Case Study of the Southern Beach of Chudao. Journal of Marine Science and Engineering. 2023; 11(6):1156. https://doi.org/10.3390/jmse11061156
Chicago/Turabian StyleXing, Hao, Pingping Li, Lili Zhang, Huaiyuan Xue, Hongyuan Shi, and Zaijin You. 2023. "Numerical Simulation of the Beach Response Mechanism under Typhoon Lekima: A Case Study of the Southern Beach of Chudao" Journal of Marine Science and Engineering 11, no. 6: 1156. https://doi.org/10.3390/jmse11061156
APA StyleXing, H., Li, P., Zhang, L., Xue, H., Shi, H., & You, Z. (2023). Numerical Simulation of the Beach Response Mechanism under Typhoon Lekima: A Case Study of the Southern Beach of Chudao. Journal of Marine Science and Engineering, 11(6), 1156. https://doi.org/10.3390/jmse11061156

