An Absolute Displacement Measurement Method and Its Application in Ship Motion Measurement
Abstract
1. Introduction
- A time–frequency domain quadratic integration algorithm is proposed that can avoid the problem of error accumulation in time domain integration and low-frequency integration offset in frequency domain integration. Firstly, the acceleration time domain signal is integrated into the velocity time domain signal through time domain integration, and the least-squares method is used to remove the trend item so that the influence of the trend item of the second integration in the time domain is reduced. Secondly, the velocity time domain signal is Fourier transformed to obtain the velocity frequency domain value, integrated into the frequency domain, and inverse Fourier transformed to finally obtain the displacement signal, which avoided the problem of low precision of quadratic integration of low-frequency data in the frequency domain.
- A ship motion measurement system is proposed based on an acceleration sensor. The system uses an acceleration sensor and an angle sensor and performs Kalman filter denoising on the sensor data, which made it possible to make absolute measurements of ship motion at sea far from shore.
2. Preliminary Work
2.1. Time Domain Integration
2.2. Frequency Domain Integration
3. The Proposed Method
3.1. Time–Frequency Domain Integration Algorithm Based on Least-Squares Detrending Term
3.2. Absolute Measurement System of Ship Motion Based on Acceleration Time–Frequency Domain Integration
3.2.1. Acceleration Measurement Module
3.2.2. Angle Measurement Module
3.2.3. Acceleration Conditioning Module
3.2.4. Acceleration Quadratic Integral Module
3.2.5. Data Acquisition Module
4. Experimental Results and Analysis
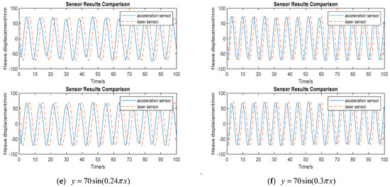
4.1. Case 1: Absolute Measurement of Laboratory Platform Heave Displacement
4.1.1. Experimental Platform Introduction
4.1.2. Experiment Settings
4.1.3. Experimental Results and Analysis
4.2. Case 2: Absolute Measurement of Ship Three-Degree-of-Freedom Motion
4.2.1. Ship Introduction
4.2.2. Experiment Settings
- Displacement data integrated by acceleration sensor 1;
- Displacement data integrated by acceleration sensor 2;
- Displacement data integrated by acceleration sensor 3;
- Angle sensor pitch data;
- Angle sensor roll data.
4.2.3. Experimental Results and Analysis
4.3. Experimental Discussion
5. Conclusions
Author Contributions
Funding
Institutional Review Board Statement
Informed Consent Statement
Data Availability Statement
Conflicts of Interest
References
- Winter, N. Renewables 2022 Global Status Report United States of America Factsheet, REN21. France. 2022. Available online: https://policycommons.net/artifacts/2471826/renewables-2022-global-status-report-united-states-of-america-factsheet/3493831/ (accessed on 21 March 2023).
- Thomsen, K. Offshore Wind: A Comprehensive Guide to Successful Offshore Wind Farm Installation; Academic Press: Cambridge, MA, USA, 2014; ISBN 0124095941. [Google Scholar]
- Dongyang, W.; Yuchen, P.; Zupeng, Z.; Bo, W. Design and Kinematic Performance Analysis of a Ship Shell Plate Spraying Manipulator. Proc. Inst. Mech. Eng. C J. Mech. Eng. Sci. 2023, 09544062221141331. [Google Scholar] [CrossRef]
- Taz Ul Mulk, M.; Falzarano, J. Complete Six-Degrees-of-Freedom Nonlinear Ship Rolling Motion. J. Offshore Mech. Arct. Eng. 1994, 25, 191–201. [Google Scholar] [CrossRef]
- Ke, Z.; Zhang, Y. Heat Transfer Enhancement in a Rectangular Channel with Flow-Induced Pitching, Heaving or Surging of an Airfoil. Int. Commun. Heat Mass Transf. 2023, 142, 106657. [Google Scholar] [CrossRef]
- Paulling, J.R.; Rosenberg, R.M. On Unstable Ship Motions Resulting from Nonlinear Coupling. J. Ship Res. 1959, 3, 36–46. [Google Scholar] [CrossRef]
- Xiang, W.; Bing, H.; Lu, L.; Shun-ying, J. Discrete element analysis of ice resistances and six-degrees-of-freedom motion response of ships in ice-covered regions. Eng. Mech. 2023, 40, 243–256. [Google Scholar]
- Yang, G.; Liang, H.; Wu, C. Deflection and Inclination Measuring System for Floating Dock Based on Wireless Networks. Ocean Eng. 2013, 69, 1–8. [Google Scholar] [CrossRef]
- Kim, Y.-K.; Kim, Y.; Jung, Y.S.; Jang, I.G.; Kim, K.-S.; Kim, S.; Kwak, B.M. Developing Accurate Long-Distance 6-DOF Motion Detection with One-Dimensional Laser Sensors: Three-Beam Detection System. IEEE Trans. Ind. Electron. 2012, 60, 3386–3395. [Google Scholar]
- Sanden, S.; Pawlus, W.; Hovland, G. Real-Time 6-DOF Vessel-to-Vessel Motion Compensation Using Laser Tracker. In Proceedings of the OCEANS 2017-Aberdeen, Aberdeen, UK, 19–22 June 2017; IEEE: Piscataway, NJ, USA, 2017; pp. 1–9. [Google Scholar]
- Abankwa, N.O.; Johnston, S.J.; Scott, M.; Cox, S.J. Ship Motion Measurement Using an Inertial Measurement Unit. In Proceedings of the 2015 IEEE 2nd World Forum on Internet of Things (WF-IoT), Milan, Italy, 14–16 December 2015; IEEE: Piscataway, NJ, USA, 2015; pp. 375–380. [Google Scholar]
- Godhavn, J.-M. High Quality Heave Measurements Based on GPS RTK and Accelerometer Technology. In Proceedings of the OCEANS 2000 MTS/IEEE Conference and Exhibition. Conference Proceedings (Cat. No. 00CH37158), Providence, RI, USA, 11–14 September 2000; IEEE: Piscataway, NJ, USA, 2000; Volume 1, pp. 309–314. [Google Scholar]
- Mak, B.; Düz, B. Ship as a Wave Buoy: Estimating Relative Wave Direction from in-Service Ship Motion Measurements Using Machine Learning. In Proceedings of the International Conference on Offshore Mechanics and Arctic Engineering, Glasgow, UK, 9–14 June 2019; American Society of Mechanical Engineers: New York, NY, USA, 2019; Volume 58882, p. V009T13A043. [Google Scholar]
- Tannuri, E.A.; Sparano, J.V.; Simos, A.N.; Da Cruz, J.J. Estimating Directional Wave Spectrum Based on Stationary Ship Motion Measurements. Appl. Ocean. Res. 2003, 25, 243–261. [Google Scholar] [CrossRef]
- Pennino, S.; Angrisano, A.; Corte, V.D.; Ferraioli, G.; Gaglione, S.; Innac, A.; Martellato, E.; Palumbo, P.; Piscopo, V.; Rotundi, A. Sea State Monitoring by Ship Motion Measurements Onboard a Research Ship in the Antarctic Waters. J. Mar. Sci. Eng. 2021, 9, 64. [Google Scholar] [CrossRef]
- Xu, J.; Haddara, M.R. Estimation of Wave-Induced Ship Hull Bending Moment from Ship Motion Measurements. Mar. Struct. 2001, 14, 593–610. [Google Scholar] [CrossRef]
- Gong, B.; Wang, S.; Li, S.; Li, X. Review of space relative navigation based on angles-only measurements. Astrodynamics 2023, 7, 131–152. [Google Scholar] [CrossRef]
- Pascoal, R.; Perera, L.P.; Soares, C.G. Estimation of Directional Sea Spectra from Ship Motions in Sea Trials. Ocean Eng. 2017, 132, 126–137. [Google Scholar] [CrossRef]
- Lu, L.-F.; Sasa, K.; Sasaki, W.; Terada, D.; Kano, T.; Mizojiri, T. Rough Wave Simulation and Validation Using Onboard Ship Motion Data in the Southern Hemisphere to Enhance Ship Weather Routing. Ocean Eng. 2017, 144, 61–77. [Google Scholar] [CrossRef]
- Duz, B.; Mak, B.; Hageman, R.; Grasso, N. Real Time Estimation of Local Wave Characteristics from Ship Motions Using Artificial Neural Networks. In Proceedings of the Practical Design of Ships and Other Floating Structures: Proceedings of the 14th International Symposium, PRADS 2019, Yokohama, Japan, 22–26 September 2019; Springer: Berlin/Heidelberg, Germany, 2021; Volume III 14, pp. 657–678. [Google Scholar]
- Wang, Y.; Soltani, M. Ship Attitude Prediction Based on Input Delay Neural Network and Measurements of Gyroscopes. In Proceedings of the 2017 American Control Conference (ACC), Seattle, WA, USA, 24–26 May 2017; IEEE: New York, NY, USA, 2017; pp. 4901–4907. [Google Scholar]
- Ware, C.; Trites, A.W.; Rosen, D.A.S.; Potvin, J. Averaged Propulsive Body Acceleration (APBA) Can Be Calculated from Biologging Tags That Incorporate Gyroscopes and Accelerometers to Estimate Swimming Speed, Hydrodynamic Drag and Energy Expenditure for Steller Sea Lions. PLoS ONE 2016, 11, e0157326. [Google Scholar] [CrossRef]
- Ten Pas, S. Vessel Motion Sensing: With Absolute Reference Measurement. 2017. Available online: https://repository.tudelft.nl/islandora/object/uuid:bfb117d5-abe6-49c0-8645-9ad250930c25?collection=education (accessed on 21 March 2023).
- Naaijen, P.; Van Oosten, K.; Roozen, K.; van’t Veer, R. Validation of a Deterministic Wave and Ship Motion Prediction System. In Proceedings of the International Conference on Offshore Mechanics and Arctic Engineering, Madrid, Spain, 17–22 June 2018; American Society of Mechanical Engineers: New York, NY, USA, 2018; Volume 51272, p. V07BT06A032. [Google Scholar]
- Wang, Y.; Qin, Y.; Chen, X.; Tang, Q.; Zhang, T.; Wu, L. Absolute Inductive Angular Displacement Sensor for Position Detection of YRT Turntable Bearing. IEEE Trans. Ind. Electron. 2022, 69, 10644–10655. [Google Scholar] [CrossRef]
- Paredes, F.; Herrojo, C.; Moya, A.; Berenguel Alonso, M.; Gonzalez, D.; Bruguera, P.; Delgado Simao, C.; Martín, F. Electromagnetic Encoders Screen-Printed on Rubber Belts for Absolute Measurement of Position and Velocity. Sensors 2022, 22, 2044. [Google Scholar] [CrossRef]
- Wu, L.; Tong, P.; Wang, X.; Su, R. An Absolute Linear Displacement Sensor Based on Orthogonal Dual Traveling Wave Magnetic Field. IEEE Sens. J. 2022, 22, 6019–6026. [Google Scholar] [CrossRef]
- Hashmi, S.Z.; Butler, B.; Johnson, D.; Wun, K.; Sherman, A.; Summers, H.; Stover, M. Accuracy of Radiographic Displacement Measurement in a Pelvic Ring Injury Model. J. Am. Acad. Orthop. Surg. 2022, 30, e173–e181. [Google Scholar] [CrossRef]
- Cho, J.; Lee, J.; Lee, B. Application of UAV Photogrammetry to Slope-Displacement Measurement. KSCE J. Civ. Eng. 2022, 26, 1904–1913. [Google Scholar] [CrossRef]
- Yu, H.; Wan, Q.; Zhao, C.; Han, Q.; Mu, Z. Error Compensation for Low-Density Circular Gratings Based on Linear Image-Type Angular Displacement Measurements. IEEE Trans. Ind. Electron. 2022, 69, 13736–13743. [Google Scholar] [CrossRef]
- Thong, Y.K.; Woolfson, M.S.; Crowe, J.A.; Hayes-Gill, B.R.; Jones, D.A. Numerical Double Integration of Acceleration Measurements in Noise. Measurement 2004, 36, 73–92. [Google Scholar] [CrossRef]
- Zheng, W.; Dan, D.; Cheng, W.; Xia, Y. Real-Time Dynamic Displacement Monitoring with Double Integration of Acceleration Based on Recursive Least Squares Method. Measurement 2019, 141, 460–471. [Google Scholar] [CrossRef]
- Guan, J.; Yan, S.; Jin, J.-M. An Accurate and Efficient Finite Element-Boundary Integral Method with GPU Acceleration for 3-D Electromagnetic Analysis. IEEE Trans. Antennas Propag. 2014, 62, 6325–6336. [Google Scholar] [CrossRef]















| Number of Experiments | Sine Function | Amplitude (mm) | Frequency (Hz) |
|---|---|---|---|
| 1 | 50 mm | 0.12 Hz | |
| 2 | 60 mm | 0.12 Hz | |
| 3 | 70 mm | 0.12 Hz | |
| 4 | 50 mm | 0.15 Hz | |
| 5 | 60 mm | 0.15 Hz | |
| 6 | 70 mm | 0.15 Hz |
| Number of Channels of the Data Collector | Sensor Type |
|---|---|
| 1 | Acceleration sensor 1 |
| 2 | Acceleration sensor 2 |
| 3 | Laser sensor 1 |
| 4 | Laser sensor 2 |
| No | Sine Motion Function | Sensor | Frequency | Amplitude | Phase Difference |
|---|---|---|---|---|---|
| 1 | Acceleration1 | 0.12 Hz | 51.17 mm | 76.85° | |
| Laser1 | 0.12 Hz | 50.77 mm | |||
| Acceleration2 | 0.12 Hz | 50.18 mm | 75.98° | ||
| Laser2 | 0.12 Hz | 50.32 mm | |||
| 2 | Acceleration1 | 0.15 Hz | 49.65 mm | 61.62° | |
| Laser1 | 0.15 Hz | 51.44 mm | |||
| Acceleration2 | 0.15 Hz | 49.66 mm | 61.27° | ||
| Laser2 | 0.15 Hz | 50.85 mm | |||
| 3 | Acceleration1 | 0.12 Hz | 60.30 mm | 73.29° | |
| Laser1 | 0.12 Hz | 60.74 mm | |||
| Acceleration2 | 0.12 Hz | 60.23 mm | 73.21° | ||
| Laser2 | 0.12 Hz | 59.96 mm | |||
| 4 | Acceleration1 | 0.15 Hz | 62.56 mm | 57.88° | |
| Laser1 | 0.15 Hz | 60.78 mm | |||
| Acceleration2 | 0.15 Hz | 62.35 mm | 58.11° | ||
| Laser2 | 0.15 Hz | 60.03 mm | |||
| 5 | Acceleration1 | 0.12 Hz | 75.03 mm | 71.53° | |
| Laser1 | 0.12 Hz | 71.25 mm | |||
| Acceleration2 | 0.12 Hz | 75.79 mm | 71.13° | ||
| Laser2 | 0.12 Hz | 70.23 mm | |||
| 6 | Acceleration1 | 0.15 Hz | 72.49 mm | 59.08° | |
| Laser1 | 0.15 Hz | 70.13 mm | |||
| Acceleration2 | 0.15 Hz | 71.21 mm | 58.38° | ||
| Laser2 | 0.15 Hz | 69.05 mm |
Disclaimer/Publisher’s Note: The statements, opinions and data contained in all publications are solely those of the individual author(s) and contributor(s) and not of MDPI and/or the editor(s). MDPI and/or the editor(s) disclaim responsibility for any injury to people or property resulting from any ideas, methods, instructions or products referred to in the content. |
© 2023 by the authors. Licensee MDPI, Basel, Switzerland. This article is an open access article distributed under the terms and conditions of the Creative Commons Attribution (CC BY) license (https://creativecommons.org/licenses/by/4.0/).
Share and Cite
Han, C.; Hu, X. An Absolute Displacement Measurement Method and Its Application in Ship Motion Measurement. J. Mar. Sci. Eng. 2023, 11, 931. https://doi.org/10.3390/jmse11050931
Han C, Hu X. An Absolute Displacement Measurement Method and Its Application in Ship Motion Measurement. Journal of Marine Science and Engineering. 2023; 11(5):931. https://doi.org/10.3390/jmse11050931
Chicago/Turabian StyleHan, Chongyang, and Xiong Hu. 2023. "An Absolute Displacement Measurement Method and Its Application in Ship Motion Measurement" Journal of Marine Science and Engineering 11, no. 5: 931. https://doi.org/10.3390/jmse11050931
APA StyleHan, C., & Hu, X. (2023). An Absolute Displacement Measurement Method and Its Application in Ship Motion Measurement. Journal of Marine Science and Engineering, 11(5), 931. https://doi.org/10.3390/jmse11050931

