An Analytical Dynamic Model for Vibration Suppression of a Multi-Span Continuous Bridge by Tuned Mass Dampers
Abstract
1. Introduction
2. Dynamic Modeling of the Bridge System
2.1. Bridge System
2.2. Determination of Mode Shapes of the Continuous Bridge
2.3. Orthogonality of the Mode Shapes of the Continuous Bridge
3. Dynamic Model
4. Results and Discussion
4.1. Model Validation
4.2. Vibration Responses
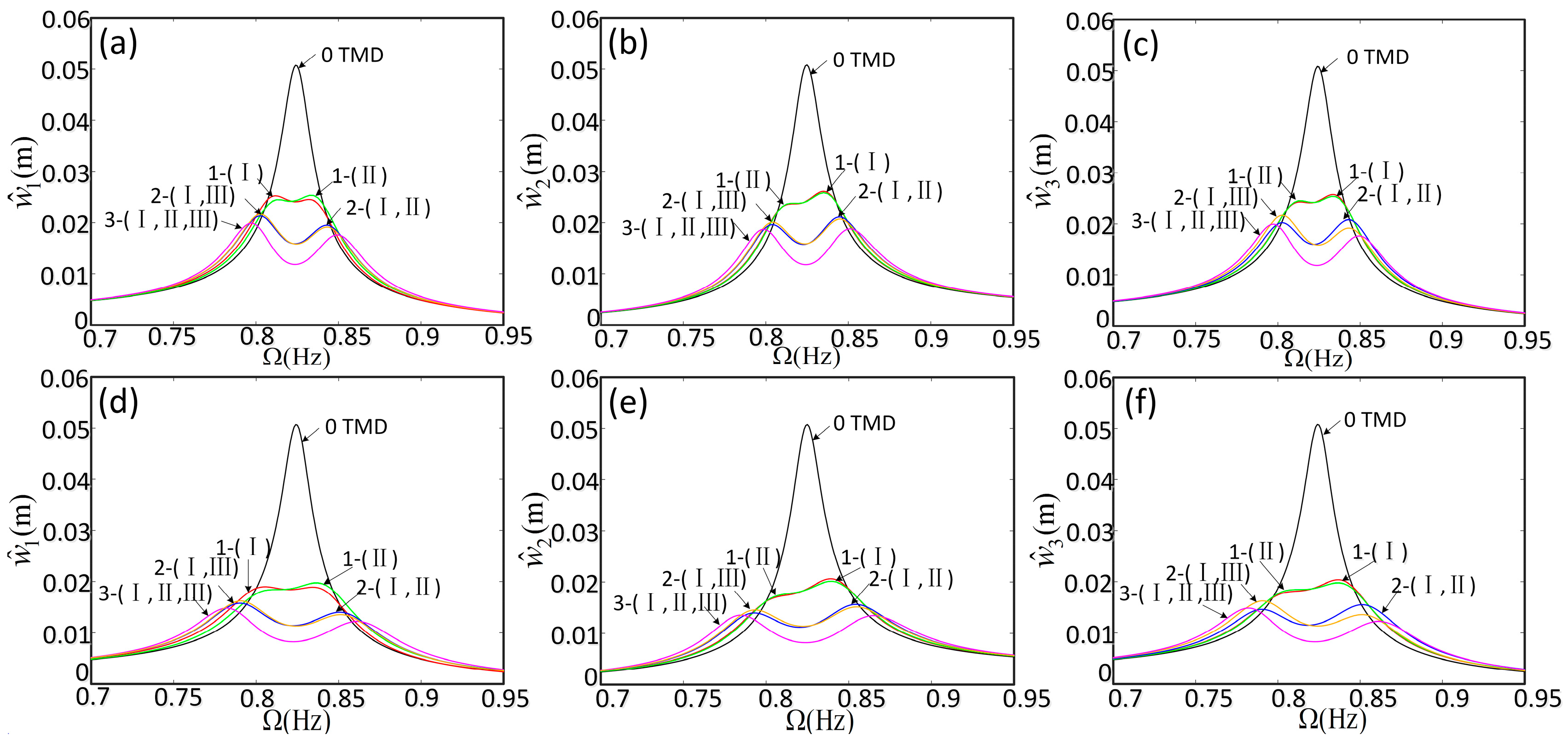
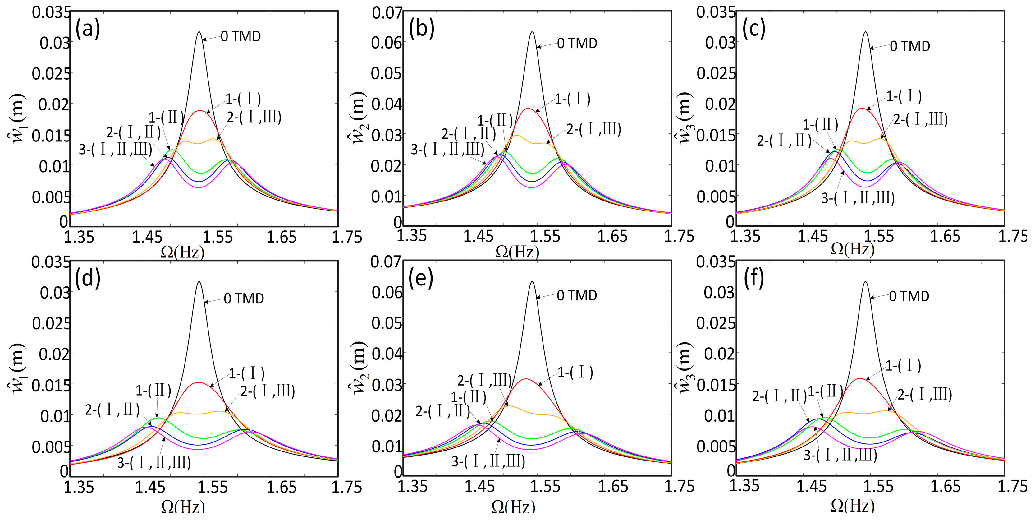
4.2.1. Three-Span Continuous Bridge
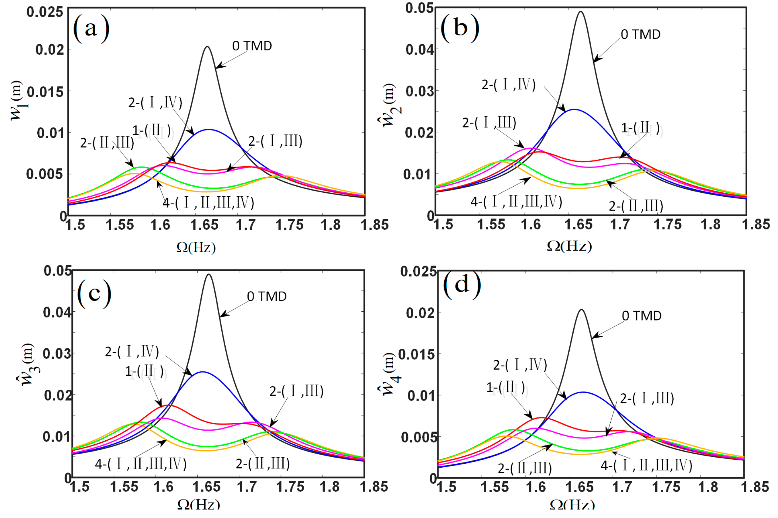
4.2.2. Four-Span Continuous Bridge
5. Conclusions
- (1)
- For the installation position of TMDs, the vibration suppression effect is closely related to the mode shape of the multi-span continuous bridge. When the TMD was installed at the point of maximum displacement in the mode shape of the bridge, its vibration suppression effect was the best, and the corresponding variation in the resonance frequency of the bridge was the largest.
- (2)
- For the number of TMDs installed on a symmetrical multi-span continuous bridge, only one TMD needs to be installed at any point of maximum displacement in the mode shape of the bridge to have a good vibration suppression effect on the whole bridge. In this situation, when installing more TMDs at the other points of maximum displacement in the mode shape of the bridge, the improvement of the vibration reduction effect was not obvious.
Author Contributions
Funding
Institutional Review Board Statement
Informed Consent Statement
Data Availability Statement
Conflicts of Interest
Appendix A
References
- Wang, J.F.; Lin, C.C.; Chen, B.L. Vibration suppression for high-speed railway bridges using tuned mass dampers. Int. J. Solids Struct. 2003, 40, 465–491. [Google Scholar] [CrossRef]
- Li, J.; Su, M.; Fan, L. Vibration control of railway bridges under high-speed trains using multiple tuned mass dampers. J. Bridge Eng. 2005, 10, 312–320. [Google Scholar] [CrossRef]
- Ziyaeifar, M. Vibration control in train–bridge–track systems. Veh. Syst. Dyn. 2008, 46, 355–384. [Google Scholar] [CrossRef]
- Lin, C.C.; Wang, J.F.; Chen, B.L. Train-induced vibration control of high-speed railway bridges equipped with multiple tuned mass dampers. J. Bridge Eng. 2005, 10, 398–414. [Google Scholar] [CrossRef]
- Chen, Y.H.; Chen, D.S. Timoshenko beam with tuned mass dampers to moving loads. J. Bridge Eng. 2004, 9, 167–177. [Google Scholar] [CrossRef]
- Zhou, D.F.; Hansen, C.H.; Li, J. Suppression of maglev vehicle–girder self-excited vibration using a virtual tuned mass damper. J. Sound Vib. 2011, 330, 883–901. [Google Scholar] [CrossRef]
- Dyniewicz, B.; Konowrocki, R.; Bajer, C.I. Intelligent adaptive control of the vehicle-span/track system. Mech. Syst. Sig. Process. 2015, 58–59, 1–14. [Google Scholar] [CrossRef]
- Chen, J.; Chen, M.Z.Q.; Hu, Y. Vortex-induced vibration suppression of bridges by inerter-based dynamic vibration absorbers. Shock Vib. 2021, 2021, 4431516. [Google Scholar] [CrossRef]
- Xu, K.; Bi, K.; Han, Q.; Li, X.; Du, X. Using tuned mass damper inerter to mitigate vortex-induced vibration of long-span bridges: Analytical study. Eng. Struct. 2019, 182, 101–111. [Google Scholar] [CrossRef]
- Andersen, L.; Birch, N.W.; Hansen, A.H.; Skibelund, J.O. Response analysis of tuned mass dampers to structures exposed to vortex loading of simiu-scanlan type. J. Sound Vib. 2001, 239, 217–231. [Google Scholar] [CrossRef]
- Dai, J.; Xu, Z.D.; Gai, P.P. Parameter determination of the tuned mass damper mitigating the vortex-induced vibration in bridges. Eng. Struct. 2020, 221, 111084. [Google Scholar] [CrossRef]
- Ehsan, F.; Scanlan, R.H.; Bosch, H.R. Modeling spanwise correlation effects in the vortex-induced response of flexible bridges. J. Wind Eng. Ind. Aerodyn. 1990, 36, 1105–1114. [Google Scholar] [CrossRef]
- Dai, J.; Xu, Z.D.; Gai, P.P.; Xu, Y.W. Mitigation of vortex-induced vibration in bridges using semiactive tuned mass dampers. J. Bridge Eng. 2021, 26, 05021003. [Google Scholar] [CrossRef]
- Domaneschi, M.; Martinelli, L.; Po, E. Control of wind buffeting vibrations in a suspension bridge by TMD: Hybridization and robustness issues. Comput Struct. 2015, 155, 3–17. [Google Scholar] [CrossRef]
- Di Matteo, A.; Masnata, C.; Pirrotta, A. Simplified analytical solution for the optimal design of tuned mass damper inerter for base isolated structures. Mech. Syst. Sig. Process 2019, 134, 106337. [Google Scholar] [CrossRef]
- Asai, T.; Araki, Y.; Ikago, K. Energy harvesting potential of tuned inertial mass electromagnetic transducers. Mech. Syst. Sig. Process. 2017, 84, 659–672. [Google Scholar] [CrossRef]
- Pellizzari, F.; Marano, G.C.; Palmeri, A.; Greco, R.; Domaneschi, M. Robust optimization of MTMD systems for the control of vibrations. Probabilist Eng. Mech. 2022, 70, 103347. [Google Scholar] [CrossRef]
- Miguel, L.F.F.; Lopez, R.H.; Torii, A.J.; Miguel, L.F.F.; Beck, A.T. Robust design optimization of TMDs in vehicle–bridge coupled vibration problems. Eng. Struct. 2016, 126, 703–711. [Google Scholar] [CrossRef]
- Jin, X.; Chen, M.Z.Q.; Huang, Z. Minimization of the beam response using inerter-based passive vibration control configurations. Int. J. Mech. Sci. 2016, 119, 80–87. [Google Scholar] [CrossRef]
- Zheng, D.Y.; Cheung, Y.K.; Au, F.T.K.; Cheng, Y.S. Vibration of multi-span non-uniform beams under moving loads by using modified beam vibration functions. J. Sound Vib. 1998, 212, 455–467. [Google Scholar] [CrossRef]
- Luu, M.; Zabel, V.; Könke, C. An optimization method of multi-resonant response of high-speed train bridges using TMDs. Finite Elem. Anal. Des. 2012, 53, 13–23. [Google Scholar] [CrossRef]
- Fujino, Y.; Yoshida, Y. Wind-induced vibration and control of trans-tokyo bay crossing bridge. J. Struct. Eng. 2002, 128, 1012–1025. [Google Scholar] [CrossRef]
- Battista, R.C.; Pfeil, M.S. Reduction of vortex-induced oscillations of Rio–Niterói bridge by dynamic control devices. J. Wind Eng. Ind. Aerodyn. 2000, 84, 273–288. [Google Scholar] [CrossRef]
- Sgobba, S.; Marano, G.C. Optimum design of linear tuned mass dampers for structures with nonlinear behaviour. Mech. Syst. Sig. Process. 2010, 24, 1739–1755. [Google Scholar] [CrossRef]
- Matin, A.; Elias, S.; Matsagar, V. Distributed multiple tuned mass dampers for seismic response control in bridges. Proc. Inst. Civ. Eng. Struct. Build. 2019, 173, 217–234. [Google Scholar] [CrossRef]
- Crespi, P.; Zucca, M.; Longarini, N.; Giordano, N. Seismic assessment of six typologies of existing RC bridges. Infrastructures 2020, 5, 52. [Google Scholar] [CrossRef]
- Crespi, P.; Zucca, M.; Valente, M. On the collapse evaluation of existing RC bridges exposed to corrosion under horizontal loads. Eng. Fail Anal. 2020, 116, 104727. [Google Scholar] [CrossRef]
- Ichikawa, M.; Miyakawa, Y.; Matsuda, A. Vibration analysis of the continuous beam subjected to a moving mass. J. Sound Vib. 2000, 230, 493–506. [Google Scholar] [CrossRef]
- Lin, H.Y.; Tsai, Y.C. Free vibration analysis of a uniform multi-span beam carrying multiple spring–mass systems. J. Sound Vib. 2007, 302, 442–456. [Google Scholar] [CrossRef]
- Wei, J.; Cao, D.Q.; Liu, L.; Huang, W.H. Global mode method for dynamic modeling of a flexible-link flexible-joint manipulator with tip mass. Appl. Math. Modell. 2017, 48, 787–805. [Google Scholar] [CrossRef]
- Wei, J.; Yu, T.; Jin, D.P.; Liu, M.; Cao, D.Q.; Wang, J.J. Nonlinear dynamic modeling and analysis of an L-shaped multi-beam jointed structure with tip mass. Materials. 2021, 14, 7279. [Google Scholar] [CrossRef] [PubMed]
- Wei, J.; Cao, D.Q.; Huang, H.; Wang, L.C.; Huang, W.H. Dynamics of a multi-beam structure connected with nonlinear joints: Modelling and simulation. Arch. Appl. Mech. 2018, 88, 1059–1074. [Google Scholar] [CrossRef]
- Wei, J.; Cao, D.Q.; Huang, H. Nonlinear vibration phenomenon of maneuvering spacecraft with flexible jointed appendages. Nonlinear Dyn. 2018, 94, 2863–2877. [Google Scholar] [CrossRef]
- Wei, J.; Cao, D.Q.; Wang, L.C.; Huang, H.; Huang, W.H. Dynamic modeling and simulation for flexible spacecraft with flexible jointed solar panels. Int. J. Mech. Sci. 2017, 130, 558–570. [Google Scholar] [CrossRef]
- Ehsan, F.; Scanlan Robert, H. Vortex-induced vibrations of flexible bridges. J. Eng. Mech. 1990, 116, 1392–1411. [Google Scholar] [CrossRef]
- Den Hartog, J.P. Mechanical Vibrations; McGraw-Hill Book Company: New York, NY, USA; London, UK, 1934. [Google Scholar]











| Parameter | Value |
|---|---|
| Beam mass density, | |
| Beam elastic modulus, | |
| Beam diameter, | |
| Mass of first spring-mass, | |
| Mass of second spring-mass, | |
| Mass of third spring-mass, | |
| Stiffness of first spring-mass, | |
| Stiffness of second spring-mass, | |
| Stiffness of third spring-mass, |
| Proposed model | 30.646 | 34.894 | 39.570 | 835.964 | 1367.950 |
| Model from ANSYS | 30.567 | 34.815 | 39.504 | 835.957 | 1367.962 |
| Cases | ||||||
|---|---|---|---|---|---|---|
| Cases | ||||||
|---|---|---|---|---|---|---|
| Cases | ||||
|---|---|---|---|---|
| Cases | ||||
|---|---|---|---|---|
Disclaimer/Publisher’s Note: The statements, opinions and data contained in all publications are solely those of the individual author(s) and contributor(s) and not of MDPI and/or the editor(s). MDPI and/or the editor(s) disclaim responsibility for any injury to people or property resulting from any ideas, methods, instructions or products referred to in the content. |
© 2023 by the authors. Licensee MDPI, Basel, Switzerland. This article is an open access article distributed under the terms and conditions of the Creative Commons Attribution (CC BY) license (https://creativecommons.org/licenses/by/4.0/).
Share and Cite
Wei, J.; Liu, W.; Gao, P.; Ding, Y. An Analytical Dynamic Model for Vibration Suppression of a Multi-Span Continuous Bridge by Tuned Mass Dampers. J. Mar. Sci. Eng. 2023, 11, 1017. https://doi.org/10.3390/jmse11051017
Wei J, Liu W, Gao P, Ding Y. An Analytical Dynamic Model for Vibration Suppression of a Multi-Span Continuous Bridge by Tuned Mass Dampers. Journal of Marine Science and Engineering. 2023; 11(5):1017. https://doi.org/10.3390/jmse11051017
Chicago/Turabian StyleWei, Jin, Wei Liu, Peixin Gao, and Yujie Ding. 2023. "An Analytical Dynamic Model for Vibration Suppression of a Multi-Span Continuous Bridge by Tuned Mass Dampers" Journal of Marine Science and Engineering 11, no. 5: 1017. https://doi.org/10.3390/jmse11051017
APA StyleWei, J., Liu, W., Gao, P., & Ding, Y. (2023). An Analytical Dynamic Model for Vibration Suppression of a Multi-Span Continuous Bridge by Tuned Mass Dampers. Journal of Marine Science and Engineering, 11(5), 1017. https://doi.org/10.3390/jmse11051017

