The Anti-Overturning Response of Tripod Bucket Foundation for Offshore Wind Turbines
Abstract
1. Introduction
2. Experimental Study
2.1. Experimental Test Introduction
2.2. Test Procedure
2.3. Experimental Test Results
2.3.1. Overturning Moment-Rotation Response
2.3.2. Overturning Movement Response
2.3.3. Foundation Failure Mode
3. Numerical Modeling
3.1. Numerical Model
3.2. Validation of Numerical Model
3.2.1. Validation by Model Test
3.2.2. Validation by Field Test
4. Comparison Study in Engineering Scale
4.1. Anti-Overturning Bearing Capacity
4.2. Variation of Bucket Displacement
4.3. Variation of Rotation Center
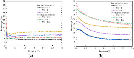
4.4. Contribution of Rotational Soil Resistance to Anti-Overturning Bearing Capacity
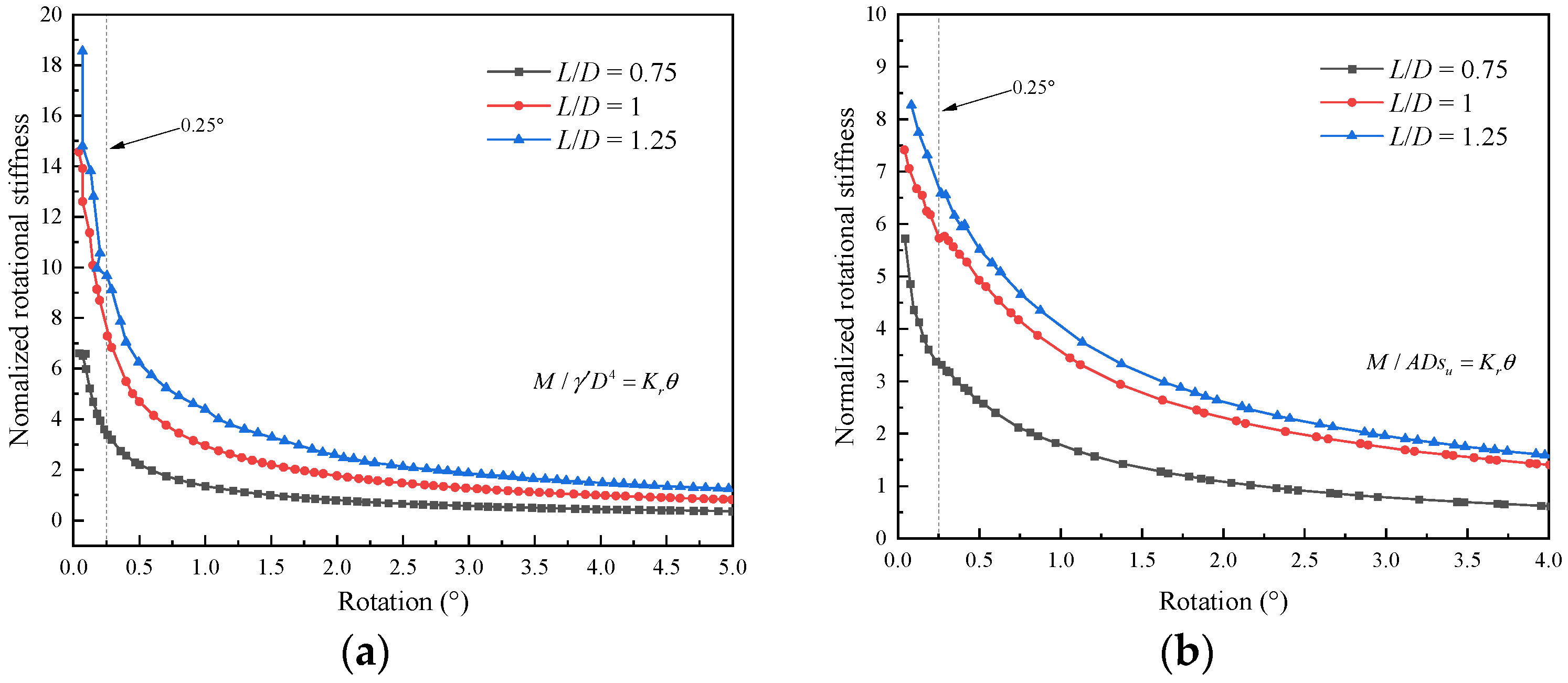
4.5. Evolution of Foundation Rotational Stiffness
5. Conclusions
- (1)
- The failure mode of the tripod bucket foundation under an overturning moment is the foundation rotation caused by the vertical movement of the buckets. The rotation center of the foundation moves toward the leeward bucket along the loading direction. In sandy soil, the failure mode is mainly manifested as the pull-out of the windward bucket. While a large settlement of the leeward bucket is observed when foundation failure occurs due to the relatively small compression modulus of the soft clay.
- (2)
- Given the varied failure mechanisms of the tripod foundation in sandy soil and soft clay, the most unfavorable loading direction is different accordingly. The anti-overturning bearing capacity of the foundation in sand under two buckets in tension is greater than that under one bucket in tension. Whereas the unfavorable loading direction is the direction that puts one bucket in tension for a foundation in soft clay.
- (3)
- The aspect ratio has a prominent impact on the overturning bearing capacity of the foundation. Extending the skirt length will lead to greater vertical soil friction borne by the upward movement, thus significantly improving the anti-overturning bearing capacity of the foundation in sand. In contrast, enlarging the bucket diameter is more beneficial to improve the bearing capacity in soft clay.
- (4)
- The anti-overturning bearing capacity of the foundation is dominated by the vertical soil resistance generated by the vertical movement of the buckets. The sharing factor of the rotational reaction in soft clay is significantly higher than that in sandy soil.
- (5)
- The rotational stiffness of the tripod foundation decreases with the growth of the rotation. This suggests that adopting the initial stiffness of the foundation in the dynamic analysis will overestimate the natural frequency of the OWT, which may have adverse effects on the evaluation of both structural dynamic response and fatigue life.
Author Contributions
Funding
Institutional Review Board Statement
Informed Consent Statement
Data Availability Statement
Conflicts of Interest
Nomenclature
| S | Footing space of the tripod foundation |
| L | Skirt length of the bucket |
| D | Diameter of the bucket |
| t | Wall thickness of the bucket |
| Shear wave velocity | |
| l | Distance between two accelerometers |
| Time interval | |
| v | Poisson’s ratio |
| Specific gravity | |
| Mass median diameter | |
| Dry density of sand | |
| Soil density | |
| Maximum dry density | |
| minimum dry density | |
| Relative density | |
| Critical internal friction angle | |
| G | Shear modulus |
| , | Horizontal and vertical coordinates of the rotation center |
| , | Horizontal distances between the measurement point and the central axis of the model |
| , | Measured vertical displacements of two buckets, respectively |
| H | Distance from the horizontal displacement measurement point to the ground surface |
| h | Horizontal displacement measurement of the loading point |
| E | Young’s modulus |
| Atmospheric pressure | |
| Mean principal stress | |
| , | Stiffness constants to calculate Young’s modulus of sand |
| Internal friction angle | |
| Buoyant unit weight | |
| Undrained shear strength of clay | |
| z | Soil depth |
| x | Horizontal distance |
| Undrained shear strength at the mudline | |
| k | Gadient of undrained strength in terms of depth |
| M | Moment |
| A | Projected area of tripod foundation |
| Rotational stiffness | |
| Rotation angle |
References
- Global Wind Energy Council. GWECs Global Offshore Wind Report 2022. Available online: https://gwec.net/gwecs-global-offshore-wind-report/ (accessed on 23 March 2023).
- Bhattacharya, S. Challenges in Design of Foundations for Offshore Wind Turbines. Eng. Technol. Ref. 2014, 1, 922. [Google Scholar] [CrossRef]
- Arshad, M.; O’Kelly, B.C. Analysis and Design of Monopile Foundations for Offshore Wind-Turbine Structures. Mar. Georesour. Geotechnol. 2016, 34, 503–525. [Google Scholar] [CrossRef]
- Burd, H.J.; Byrne, B.W.; McAdam, R.A.; Houlsby, G.T.; Martin, C.M.; Beuckelaers, W.; Zdravkovic, L.; Taborda, D.M.G.; Potts, D.M.; Jardine, R.J. Design Aspects for Monopile Foundations. In Proceedings of the TC209 Workshop on Foundation Design for Offshore Wind Structures, 19th ICSMGE, Seoul, Republic of Korea, 20 September 2017; Norwegian Geotechnical Institute: Oslo, Norway, 2017; pp. 35–44. [Google Scholar]
- Jalbi, S.; Bhattacharya, S. Concept Design of Jacket Foundations for Offshore Wind Turbines in 10 Steps. Soil Dyn. Earthq. Eng. 2020, 139, 106357. [Google Scholar] [CrossRef]
- Penner, N.; Grießmann, T.; Rolfes, R. Monitoring of Suction Bucket Jackets for Offshore Wind Turbines: Dynamic Load Bearing Behaviour and Modelling. Mar. Struct. 2020, 72, 102745. [Google Scholar] [CrossRef]
- Byrne, B.; Houlsby, G.; Martin, C.; Fish, P. Suction Caisson Foundations for Offshore Wind Turbines. Wind Eng. 2002, 26, 145–155. [Google Scholar] [CrossRef]
- Sturm, H. Design Aspects of Suction Caissons for Offshore Wind Turbine Foundations. In Proceedings of the 19th International Conference on Soil Mechanics and Geotechnical Engineering, Seoul, Republic of Korea, 17–22 September 2017; ISBN 978-89-952197-5-1. [Google Scholar]
- DNV (Det Norske Veritas). DNVGL-ST-0126: Support Structures For Wind Turbines; DNVGL: Oslo, Norway, 2018. [Google Scholar]
- American Petroleum Institute. Recommended Practice for Planning, Designing, and Constructing Fixed Offshore Platforms-Working Stress Design: Upstream Segment. API Recommended Practice 2A-WSD (RP 2A-WSD): Errata and Supplement 1, December 2002; American Petroleum Institute: Washington, DC, USA, 2000. [Google Scholar]
- Wang, L.Z.; Wang, H.; Zhu, B.; Hong, Y. Comparison of Monotonic and Cyclic Lateral Response between Monopod and Tripod Bucket Foundations in Medium Dense Sand. Ocean Eng. 2018, 155, 88–105. [Google Scholar] [CrossRef]
- Jeong, Y.-H.; Ko, K.-W.; Kim, D.-S.; Kim, J.-H. Studies on Cyclic Behavior of Tripod Suction Bucket Foundation System Supporting Offshore Wind Turbine Using Centrifuge Model Test. Wind Energy 2021, 24, 515–529. [Google Scholar] [CrossRef]
- Kim, D.-J.; Choo, Y.W.; Kim, J.-H.; Kim, S.; Kim, D.-S. Investigation of Monotonic and Cyclic Behavior of Tripod Suction Bucket Foundations for Offshore Wind Towers Using Centrifuge Modeling. J. Geotech. Geoenviron. Eng. 2014, 140, 04014008. [Google Scholar] [CrossRef]
- Faizi, K.; Faramarzi, A.; Dirar, S.; Chapman, D. Investigating the Monotonic Behaviour of Hybrid Tripod Suction Bucket Foundations for Offshore Wind Towers in Sand. Appl. Ocean Res. 2019, 89, 176–187. [Google Scholar] [CrossRef]
- Wang, G.; Gan, Y.; Le, C.; Yan, R.; Hu, X. Bearing Characteristics of Tripod Bucket Jacket Foundation for Offshore Wind Turbines in Sand under Monotonic Loads. J. Mar. Sci. Eng. 2022, 10, 199. [Google Scholar] [CrossRef]
- Tran, N.X.; Hung, L.C.; Kim, S.-R. Evaluation of Horizontal and Moment Bearing Capacities of Tripod Bucket Foundations in Sand. Ocean Eng. 2017, 140, 209–221. [Google Scholar] [CrossRef]
- Kim, S.-R.; Hung, L.C.; Oh, M. Group Effect on Bearing Capacities of Tripod Bucket Foundations in Undrained Clay. Ocean Eng. 2014, 79, 1–9. [Google Scholar] [CrossRef]
- Qiu, C.; Wang, W.; Yan, Y.; Fu, D.; Yan, S. The Optimisation of Anti-Overturning Capacities for Tripod Suction Bucket Foundations in Clay. Ocean Eng. 2022, 264, 112496. [Google Scholar] [CrossRef]
- Hung, L.C.; Kim, S.-R. Evaluation of Combined Horizontal-Moment Bearing Capacities of Tripod Bucket Foundations in Undrained Clay. Ocean Eng. 2014, 85, 100–109. [Google Scholar] [CrossRef]
- He, B.; Jiang, J.; Cheng, J.; Zheng, J.; Wang, D. The Capacities of Tripod Bucket Foundation under Uniaxial and Combined Loading. Ocean Eng. 2021, 220, 108400. [Google Scholar] [CrossRef]
- Barari, A.; Glitrup, K.; Christiansen, L.R.; Ibsen, L.B.; Choo, Y.W. Tripod Suction Caisson Foundations for Offshore Wind Energy and Their Monotonic and Cyclic Responses in Silty Sand: Numerical Predictions for Centrifuge Model Tests. Soil Dyn. Earthq. Eng. 2021, 149, 106813. [Google Scholar] [CrossRef]
- Wang, Y.; Zhang, S.; Xu, H.; Zhang, Y.; Gaunt, P.; Ren, B.; Zhang, Y.; Ren, Y. Site Investigation and Soil Parameters for Offshore Suction Bucket Design: A Case Study of Houhu Wind Turbine. Ocean Eng. 2022, 255, 111458. [Google Scholar] [CrossRef]
- Wang, L.; Lai, Y.; Hong, Y.; Mašín, D. A Unified Lateral Soil Reaction Model for Monopiles in Soft Clay Considering Various Length-to-Diameter (L/D) Ratios. Ocean Eng. 2020, 212, 107492. [Google Scholar] [CrossRef]
- Li, L.; Liu, X.; Liu, H.; Wu, W.; Lehane, B.M.; Jiang, G.; Xu, M. Experimental and Numerical Study on the Static Lateral Performance of Monopile and Hybrid Pile Foundation. Ocean Eng. 2022, 255, 111461. [Google Scholar] [CrossRef]
- Dalir, M.P.; Hedayati, E.; Hedayati, A. Detection and Identification of Subcutaneous Defects Using Ultrasonic Waves in Reflective Test. J. Mech. Eng. Sci. 2021, 15, 8003–8015. [Google Scholar] [CrossRef]
- Hedayati, E.; Vahedi, M. Numerical Investigation of Penetration in Ceramic/Aluminum Targets Using Smoothed Particle Hydrodynamics Method and Presenting a Modified Analytical Model. Comput. Model. Eng. Sci. 2017, 113, 295–323. [Google Scholar]
- Liu, J.; Chen, J.; Huang, X.; Zhou, W.; Guo, Z. Model Tests on Jacking Installation and Lateral Loading Performance of Jacket Foundation in Sand. Ocean Eng. 2022, 259, 111738. [Google Scholar] [CrossRef]
- Villalobos Jara, F.; Jara, F.A.V. Model Testing of Foundations for Offshore Wind Turbines; Oxford University Press: Oxford, UK, 2006; Available online: http://purl.org/dc/dcmitype/Text (accessed on 15 February 2023).
- Abaqus. Abaqus User Manual; Dassault Systems: Vélizy-Villacoublay, France, 2020. [Google Scholar]
- Wang, H.; Wang, L.; Hong, Y.; Askarinejad, A.; He, B.; Pan, H. Influence of Pile Diameter and Aspect Ratio on the Lateral Response of Monopiles in Sand with Different Relative Densities. J. Mar. Sci. Eng. 2021, 9, 618. [Google Scholar] [CrossRef]
- Achmus, M.; Kuo, Y.-S.; Abdel-Rahman, K. Behavior of Monopile Foundations under Cyclic Lateral Load. Comput. Geotech. 2009, 36, 725–735. [Google Scholar] [CrossRef]
- Janbu, N. Soil Compressibility as Determined by Oedometer and Triaxial Tests. In Proceedings of the European Conference on Soil Mechanics and Foundation Engineering, Budapest, Hungary, 24–27 September 1963; Volume 1, pp. 19–25. [Google Scholar]
- EAU (Empfehlungen des Arbeitsausschusses für Ufereinfassungen). Recommendations of the Committee for Waterfront Structures, Harbours and Waterways; EAU: Hamburg, Germany, 2004. [Google Scholar]
- American Petroleum Institute. Recommended Practice for Planning, Designing and Constructing Fixed Offshore Platforms: API Recommended Practice 2A (RP 2A); API: Washington, DC, USA, 1987. [Google Scholar]
- Houlsby, G.T.; Martin, C.M. Undrained Bearing Capacity Factors for Conical Footings on Clay. Géotechnique 2003, 53, 513–520. [Google Scholar] [CrossRef]
- Wang, J.; Sun, G.; Chen, G.; Yang, X. Finite Element Analyses of Improved Lateral Performance of Monopile When Combined with Bucket Foundation for Offshore Wind Turbines. Appl. Ocean Res. 2021, 111, 102647. [Google Scholar] [CrossRef]
- Houlsby, G.T.; Ibsen, L.B.; Byrne, B.W. Suction Caissons for Wind Turbines. In Frontiers in Offshore Geotechnics; ISFOG: Perth, WA, Australia, 2005; pp. 75–93. [Google Scholar]
- Achmus, M.; Akdag, C.T.; Thieken, K. Load-Bearing Behavior of Suction Bucket Foundations in Sand. Appl. Ocean Res. 2013, 43, 157–165. [Google Scholar] [CrossRef]
- Liu, B.; Zhang, Y.; Ma, Z.; Andersen, K.H.; Jostad, H.P.; Liu, D.; Pei, A. Design Considerations of Suction Caisson Foundations for Offshore Wind Turbines in Southern China. Appl. Ocean Res. 2020, 104, 102358. [Google Scholar] [CrossRef]
- Jeong, Y.-H.; Kim, J.-H.; Ko, K.-W.; Park, H.-J. Simplified Estimation of Rotational Stiffness of Tripod Foundation for Offshore Wind Turbine under Cyclic Loadings. Appl. Ocean Res. 2021, 112, 102697. [Google Scholar] [CrossRef]
- Jalbi, S.; Nikitas, G.; Bhattacharya, S.; Alexander, N. Dynamic Design Considerations for Offshore Wind Turbine Jackets Supported on Multiple Foundations. Mar. Struct. 2019, 67, 102631. [Google Scholar] [CrossRef]
- Jalbi, S.; Bhattacharya, S. Closed Form Solution for the First Natural Frequency of Offshore Wind Turbine Jackets Supported on Multiple Foundations Incorporating Soil-Structure Interaction. Soil Dyn. Earthq. Eng. 2018, 113, 593–613. [Google Scholar] [CrossRef]





















| Location | Height of Structure (m) | Total Weight (Tons) | Water Depth (m) | Wind Turbine Capacity (MW) |
|---|---|---|---|---|
| Shapa, Guangdong | 52.0 | 1560 | 27–32 | 5.5 |
| Houhu, Guangdong | 63.1 | 1800 | 23–26 | 5.5 |
| Changle, Fujian | 85.7 | 1936 | 32–45 | 10.0 |
| Zhuanghe, Liaoning | 45.5 | 1200 | 30 | 5.0 |
| Part | Diameter (mm) | Wall Thickness (mm) |
|---|---|---|
| Transition piece | 70 | 2 |
| Main leg | 18 | 2 |
| X brace | 8 | 1 |
| Physical Parameters | Values |
|---|---|
| Specific gravity, | 2.62 |
| Mass median diameter, (mm) | 0.16 |
| Maximum dry density, (g/cm3) | 1.64 |
| minimum dry density, (g/cm3) | 1.35 |
| Relative density, (%) | 60 |
| Dry density, (g/cm3) | 1.51 |
| Critical internal friction angle, (°) | 39.0 |
| Poisson’s ratio, | 0.21 |
| Shear modulus, G (MPa) | 15.8 |
| Loading Condition | Measured Displacement (mm) | Rotational Component (mm) | Translational Component (mm) | Contribution of Rotation |
|---|---|---|---|---|
| TBT | 22.5 | 20.14 | 2.36 | 89.51% |
| OBT | 23.9 | 20.79 | 3.11 | 86.99% |
| Bucket Parameters | Foundation 1 | Foundation 2 | Foundation 3 |
|---|---|---|---|
| Diameter, D (m) | 17.7 | 13.5 | 13.5 |
| Skirt length, L (m) | 13.5 | 13.5 | 16.9 |
| Wall thickness, t (mm) | 45 | 45 | 45 |
| Aspect ratio, L/D | 0.75 | 1.00 | 1.25 |
Disclaimer/Publisher’s Note: The statements, opinions and data contained in all publications are solely those of the individual author(s) and contributor(s) and not of MDPI and/or the editor(s). MDPI and/or the editor(s) disclaim responsibility for any injury to people or property resulting from any ideas, methods, instructions or products referred to in the content. |
© 2023 by the authors. Licensee MDPI, Basel, Switzerland. This article is an open access article distributed under the terms and conditions of the Creative Commons Attribution (CC BY) license (https://creativecommons.org/licenses/by/4.0/).
Share and Cite
Zhang, R.; Liu, H.; Zhang, C.; Chen, Y.; Tian, Z.; Fan, S.; Zhu, R. The Anti-Overturning Response of Tripod Bucket Foundation for Offshore Wind Turbines. J. Mar. Sci. Eng. 2023, 11, 796. https://doi.org/10.3390/jmse11040796
Zhang R, Liu H, Zhang C, Chen Y, Tian Z, Fan S, Zhu R. The Anti-Overturning Response of Tripod Bucket Foundation for Offshore Wind Turbines. Journal of Marine Science and Engineering. 2023; 11(4):796. https://doi.org/10.3390/jmse11040796
Chicago/Turabian StyleZhang, Rongsheng, Hanqiu Liu, Cailiang Zhang, Yong Chen, Zhenya Tian, Shaotao Fan, and Ronghua Zhu. 2023. "The Anti-Overturning Response of Tripod Bucket Foundation for Offshore Wind Turbines" Journal of Marine Science and Engineering 11, no. 4: 796. https://doi.org/10.3390/jmse11040796
APA StyleZhang, R., Liu, H., Zhang, C., Chen, Y., Tian, Z., Fan, S., & Zhu, R. (2023). The Anti-Overturning Response of Tripod Bucket Foundation for Offshore Wind Turbines. Journal of Marine Science and Engineering, 11(4), 796. https://doi.org/10.3390/jmse11040796

