Speed and Fuel Ratio Optimization for a Dual-Fuel Ship to Minimize Its Carbon Emissions and Cost
Abstract
1. Introduction
2. Problem Description and Model Establishment
2.1. Problem Description
- 0.1% sulfur fuel oil only was always used in maneuvering and at berth periods;
- The ship speed was constant in a leg n;
- The fuel consumption and time in maneuvering and at berth periods were deterministic;
- In ECAs, 0.1% sulfur fuel oil and LNG could be used in any ratio;
- Outside ECAs, the combination of 0.1% S fuel oil and LNG or 0.5% S fuel oil and LNG could be chosen and used in any ratio;
- Fuel type index: i = 1 represented 0.1% sulfur fuel oil, i = 2 represented 0.5% sulfur fuel oil, and i = 3 represented LNG.
2.2. Optimization Algorithm
2.3. Mathematical Model
3. Results and Discussion
- General single fuel: using 0.1%-sulfur-containing fuel oil only in all legs and considering no EU ETS rules;
- General dual fuel: using 0.1%-sulfur-containing fuel oil and LNG in all legs and considering no EU ETS rules;
- Considering ECAs: using 0.1%-sulfur-containing fuel oil and LNG in ECAs, 0.5%-sulfur-containing fuel oil and LNG outside ECAs, and considering no EU ETS rules;
- Considering EU ETS: using 0.1%-sulfur-containing fuel oil and LNG in all legs and considering EU carbon permit of 100 or 200 USD/t-CO2;
3.1. Results for a General Single-Fuel Scenario and General Dual-Fuel Scenario
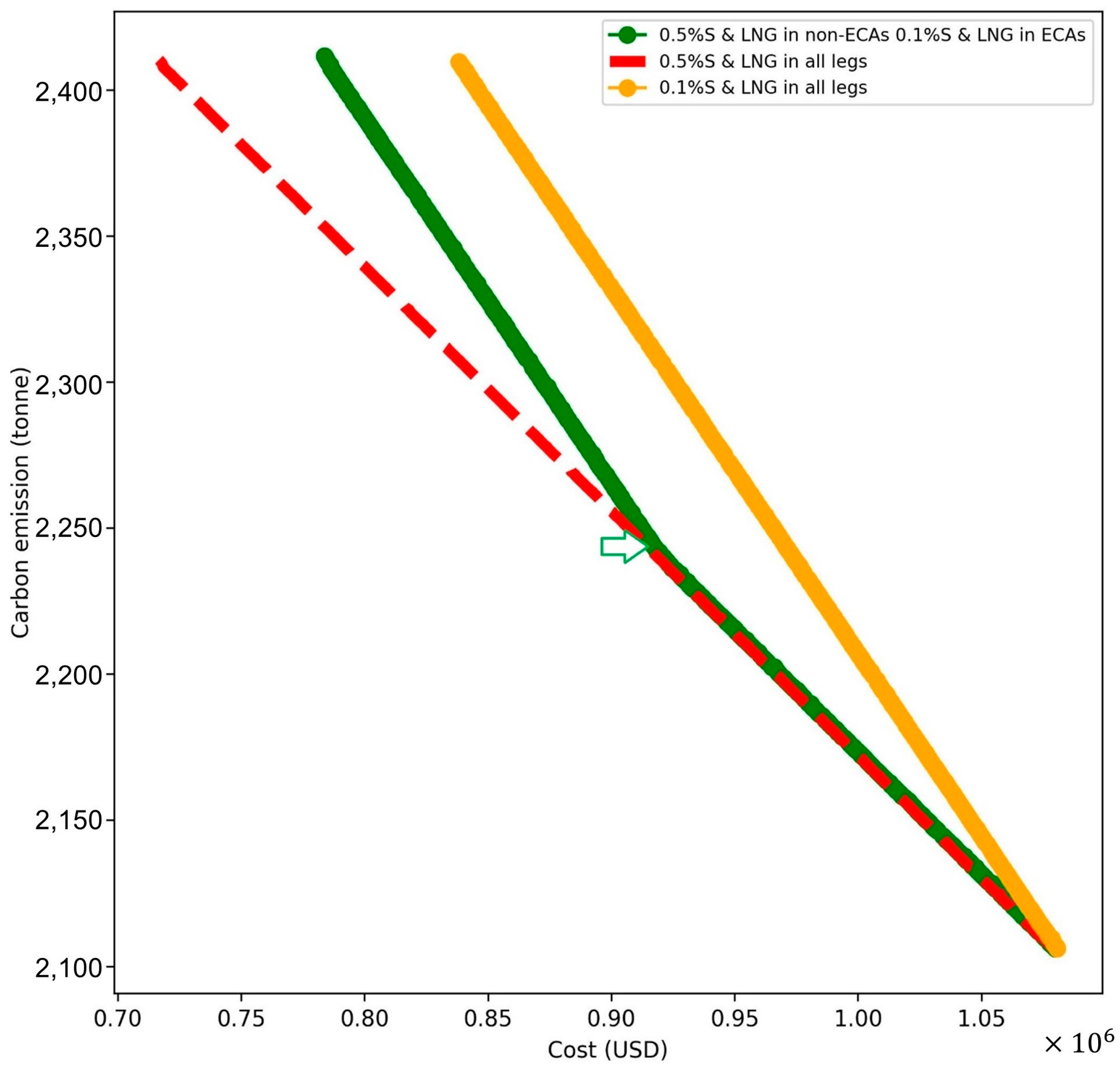
3.2. Effects of Emission Control Areas
3.3. Effects of the European Union Emissions Trading System
3.4. Convergence Analysis
3.5. Sensitivity Analysis
3.6. Managerial Implications
4. Conclusions and Prospects
- When the regulations of ECAs and the EU ETS were not considered, the cost minimization solution involved traveling at an average-speed profile and using 100% fuel oil as fuel;
- When the regulations of ECAs were considered, for all voyage legs, the cost minimization solution involved traveling at faster-than-average speeds outside ECAs, traveling slower in ECAs, and using 100% fuel oil as fuel. At the bending point of the bilinear PF, the solution involved the 100% use of LNG in ECAs and 0.5%-sulfur-containing fuel oil in non-ECAs;
- When considering the regulations of the EU ETS, for all voyage legs, the cost minimization solution involved traveling at faster-than-average speeds in non-EU regions and using 100% fuel oil as fuel. When the EU carbon permit cost was sufficiently high to cover the price difference between LNG and fuel oil, the cost minimization solution involved the use of 100% LNG in EU regions and 100% fuel oil in non-EU regions;
Author Contributions
Funding
Institutional Review Board Statement
Informed Consent Statement
Data Availability Statement
Acknowledgments
Conflicts of Interest
References
- IMO. Resolution MEPC.302(72), Initial IMO Strategy on Reduction of GHG Emissions from Ships; International Maritime Organization: London, UK, 2018. [Google Scholar]
- Bach, H.; Hansen, T. IMO off course for decarbonisation of shipping? Three challenges for stricter policy. Mar. Policy 2023, 147, 105379. [Google Scholar] [CrossRef]
- IMO. Resolution MEPC.328(76), Amendments to the Annex of the Protocol of 1997 to Amend the International Convention for the Prevention of Pollution from Ships, 1973, as Modified by the Protocol of 1978 Relating Thereto; International Maritime Organization: London, UK, 2021. [Google Scholar]
- European Commission. Proposal for a Directive of the European Parliament and of the Council Amending Directive 2003/87/EC Establishing a System for Greenhouse Gas Emission Allowance Trading within the Union, Decision (EU) 2015/1814 Concerning the Establishment and Operation of a Market Stability Reserve for the Union Greenhouse Gas Emission Trading Scheme and Regulation (EU) 2015/757. 2021. Available online: https://eur-lex.europa.eu/resource.html?uri=cellar:618e6837-eec6-11eb-a71c-01aa75ed71a1.0001.02/DOC_1&format=PDF (accessed on 6 January 2023).
- European Parliament. Review of the EU ETS, ‘Fit for 55’ Package. 2022. Available online: https://www.europarl.europa.eu/RegData/etudes/BRIE/2022/698890/EPRS_BRI(2022)698890_EN.pdf (accessed on 6 January 2023).
- IMO. Resolution MEPC.176(58), Amendments to the Annex of the Protocol of 1997 to Amend the International Convention for the Prevention of Pollution from Ships, 1973, as Modified by the Protocol of 1978 Relating Thereto; International Maritime Organization: London, UK, 2008. [Google Scholar]
- Smith, T.; Galbraith, C.; Perico, C.V.; Taylor, J.; Suarez de la Fuente, S.; Thorne, C.; O’Keeffe, E.; Kapur, A.; Howes, J.; Roberts, L.; et al. International Maritime Decarbonisation Transitions—The Costs and Impacts of Different Pathways for International Shipping to Achieve Alignment to the 1.5 °C Temperature Goal—Main Report; MEPC 79/INF.29; International Maritime Organization: London, UK, 2022. [Google Scholar]
- Burel, F.; Taccani, R.; Zuliani, N. Improving sustainability of maritime transport through utilization of Liquefied Natural Gas (LNG) for propulsion. Energy 2013, 57, 412–420. [Google Scholar]
- MAN Diesel & Turbo. ME-GI Dual Fuel MAN B&W Engines A Technical, Operational and Cost-Effective Solution for Ships Fuelled by Gas. 2018. Available online: https://maritimeexpert.files.wordpress.com/2018/02/me-gi-dual-fuel-man-b-amp-w-engines.pdf (accessed on 13 January 2023).
- Faber, J.; Hanayama, S.; Zhang, S.; Pereda, P.; Comer, B.; Hauerhof, E.; Schim van der Loeff, W.; Smith, T.; Zhang, Y.; Kosaka, H.; et al. Fourth IMO GHG Study 2020; MEPC 75/7/15; International Maritime Organization: London, UK, 2020. [Google Scholar]
- Zis, T.P.V.; Psaraftis, H.N.; Ding, L. Ship weather routing: A taxonomy and survey. Ocean Eng. 2020, 213, 107697. [Google Scholar] [CrossRef]
- Ma, W.H.; Lu, T.F.; Ma, D.F.; Wang, D.H.; Qu, F.Z. Ship route and speed multi-objective optimization considering weather conditions and emission control area regulations. Marit. Policy Manag. 2021, 48, 1053–1068. [Google Scholar] [CrossRef]
- Sung, I.; Nielsen, P. Speed optimization algorithm with routing to minimize fuel consumption under time-dependent travel conditions. Prod. Manuf. Res. 2020, 8, 1–19. [Google Scholar] [CrossRef]
- Wen, M.; Pacino, D.; Kontovas, C.A.; Psaraftis, H.N. A multiple ship routing and speed optimization problem under time, cost and environmental objectives. Transp. Res. Part D Transp. Environ. 2017, 52, 303–321. [Google Scholar] [CrossRef]
- De, A.; Choudhary, A.; Tiwari, M.K. Multi objective Approach for Sustainable Ship Routing and Scheduling with Draft Restrictions. IEEE Trans. Eng. Manag. 2019, 66, 35–51. [Google Scholar] [CrossRef]
- Fagerholt, K.; Laporte, G.; Norstad, I. Reducing fuel emissions by optimizing speed on shipping routes. J. Oper. Res. Soc. 2010, 61, 523–529. [Google Scholar] [CrossRef]
- Wu, Y.; Huang, Y.; Wang, H.; Zhen, L. Joint Planning of Fleet Deployment, Ship Refueling, and Speed Optimization for Dual-Fuel Ships Considering Methane Slip. J. Mar. Sci. Eng. 2022, 10, 1690. [Google Scholar] [CrossRef]
- Lu, J.; Wu, X.; Wu, Y. The Construction and Application of Dual-Objective Optimal Speed Model of Liners in a Changing Climate: Taking Yang Ming Route as an Example. J. Mar. Sci. Eng. 2023, 11, 157. [Google Scholar] [CrossRef]
- Han, Y.; Ma, W.; Ma, D. Green maritime: An improved quantum genetic algorithm-based ship speed optimization method considering various emission reduction regulations and strategies. J. Clean. Prod. 2023, 385, 135814. [Google Scholar] [CrossRef]
- Dulebenets, M.A. Green Vessel Scheduling in Liner Shipping: Modeling Carbon Dioxide Emission Costs in Sea and at Ports of Call. Int. J. Transp. Sci. Technol. 2018, 7, 26–44. [Google Scholar] [CrossRef]
- Zhen, L.; Hu, Z.; Yan, R.; Zhuge, D.; Wang, S. Route and Speed Optimization for Liner Ships under Emission Control Policies. Transp. Res. Part C Emerg. Technol. 2020, 110, 330–345. [Google Scholar] [CrossRef]
- Li, X.; Sun, B.; Guo, C.; Du, W.; Li, Y. Speed Optimization of a Container Ship on a given Route Considering Voluntary Speed Loss and Emissions. Appl. Ocean Res. 2020, 94, 101995. [Google Scholar] [CrossRef]
- Gao, C.-F.; Hu, Z.-H. Speed Optimization for Container Ship Fleet Deployment Considering Fuel Consumption. Sustainability 2021, 13, 5242. [Google Scholar] [CrossRef]
- Zhuge, D.; Wang, S.; Wang, D.Z. A joint liner ship path, speed and deployment problem under emission reduction measures. Transp. Res. Part B Methodol. 2021, 144, 155–173. [Google Scholar] [CrossRef]
- De, A.; Wang, J.; Tiwari, M.K. Fuel Bunker Management Strategies within Sustainable Container Shipping Operation Considering Disruption and Recovery Policies. IEEE Trans. Eng. Manag. 2021, 68, 1089–1111. [Google Scholar] [CrossRef]
- Zis, T.; North, R.J.; Angeloudis, P.; Ochieng, W.Y.; Bell, M.G.H. Evaluation of cold ironing and speed reduction policies to reduce ship emissions near and at ports. Marit. Econ. Logist. 2014, 16, 371–398. [Google Scholar] [CrossRef]
- Wang, S.; Meng, Q. Sailing speed optimization for container ships in a liner shipping network. Transp. Res. Part E Logist. Transp. Rev. 2012, 48, 701–714. [Google Scholar] [CrossRef]
- Deb, K.; Pratap, A.; Agarwal, S.; Meyarivan, T. A fast and elitist multiobjective genetic algorithm: NSGA-II. IEEE Trans. Evol. Comput. 2002, 6, 182–197. [Google Scholar] [CrossRef]
- Li, S.; Wang, N.; Jia, T.; He, Z.; Liang, H. Multiobjective optimization for multiperiod reverse logistics network design. IEEE Trans. Eng. Manag. 2016, 63, 223–236. [Google Scholar] [CrossRef]
- Kannan, S.; Baskar, S.; McCalley, J.D.; Murugan, P. Application of NSGA-II Algorithm to Generation Expansion Planning. IEEE Trans. Power Syst. 2008, 24, 454–461. [Google Scholar] [CrossRef]
- Li, X.; Li, M. Multiobjective Local Search Algorithm-Based Decomposition for Multiobjective Permutation Flow Shop Scheduling Problem. IEEE Trans. Eng. Manag. 2015, 62, 544–557. [Google Scholar] [CrossRef]
- Li, X.; Ma, S. Multiobjective Discrete Artificial Bee Colony Algorithm for Multiobjective Permutation Flow Shop Scheduling Problem With Sequence Dependent Setup Times. IEEE Trans. Eng. Manag. 2017, 64, 149–165. [Google Scholar] [CrossRef]
- Blank, J.; Deb, K. Pymoo: Multi-Objective Optimization in Python. IEEE Access 2020, 8, 89497–89509. [Google Scholar] [CrossRef]
- IMO. Resolution MEPC.308(73), 2018 Guidelines on the Method of Calculation of the Attained Energy Efficiency Design Index (EEDI) for New Ships; International Maritime Organization: London, UK, 2018. [Google Scholar]
- Zitzler, E.; Thiele, L. Multiobjective optimization using evolutionary algorithms—A comparative case study. In Parallel Problem Solving from Nature—PPSN V. Lecture Notes in Computer Science; Eiben, A.E., Bäck, T., Schoenauer, M., Schwefel, H.P., Eds.; Springer: Berlin/Heidelberg, Germany, 1998. [Google Scholar] [CrossRef]












| Papers | Year | Optimization Objectives | Optimization Variables | Algorithms | SHIP TYPE | Considering ECAs/Carbon Permits |
|---|---|---|---|---|---|---|
| Fagerholt et al. [16] | 2010 | Minimizing fuel consumption | Speed | IPOPT from COIN-OR | Single-fuel | No/No |
| Dulebenets [20] | 2018 | Minimizing sailing cost | Ship scheduling | Linearized model solved by CPLEX | Single-fuel | No/Yes |
| Zhen et al. [21] | 2020 | Minimizing fuel cost and SO2 emission | Route and speed | Two-stage iterative algorithm and fuzzy logic method | Single-fuel | Yes/No |
| Li et al. [22] | 2020 | Minimizing the main engine fuel consumption and operating costs | Speed | Constrained optimization by linear approximation (COBYLA) | Single-fuel | No/No |
| Ma et al. [12] | 2021 | Minimizing sailing cost and sailing time | Route and speed | NSGA-II | Single-fuel | Yes/No |
| Zhuge et al. [24] | 2021 | Minimizing sailing cost | Joint ship path, speed, and deployment | Dynamic programming based method | Single-fuel | Yes/Yes |
| De et al. [25] | 2021 | Maximizing the profit and lowering the cost | Ship routing and scheduling, bunkering strategy | Variable neighborhood search (VNS) algorithm | Single-fuel | No/Yes |
| Gao and Hu [23] | 2021 | Minimizing cost | Speed and Fleet deployment | linear outer-approximation algorithm and an improved piecewise linear approximation algorithm | Single-fuel | No/No |
| Wu et al. [17] | 2022 | Minimizing sailing cost | Fleet deployment, ship refueling strategies, and sailing speed | Linearized model solved by Gurobi | LNG dual-fuel | No/Yes |
| Han et al. [19] | 2023 | Minimizing sailing cost | Speed | Quantum genetic algorithm | Single-fuel | Yes/Yes |
| Lu et al. [18] | 2023 | Minimizing Sailing cost and carbon emission | Speed | MOPSO | Single-fuel | Yes/No |
| Present study | Minimizing fuel cost and carbon emission | Fuel ratio and speed | NSGA-II | LNG dual-fuel | Yes/Yes |
| Symbol | Unit | Explanation |
|---|---|---|
| Abbreviations | ||
| EU | European Union | |
| ETS | Emissions Trading System | |
| LNG | Liquefied natural gas | |
| NSGA-II | Nondominated sorting genetic algorithm II | |
| GHG | Greenhouse gas | |
| IMO | International Maritime Organization | |
| ECA | Emission control area | |
| PF | Pareto front | |
| Indices and sets | ||
| N | set of all ports of call (legs) on the ship route, | |
| I | set of all fuel types on the ship route, (In this study, I = 3, i = 1 represents 0.1%-sulfur-containing fuel oil, i = 2 represents 0.5%-sulfur-containing fuel oil, and i = 3 represents LNG) | |
| Parameters | ||
| t-CO2/t-fuel | Carbon factor of fuel i defined in MEPC.308(76) [20] | |
| ton | Calculated consumption of fuel i for leg n | |
| USD/ton | Price of fuel i | |
| ton | Carbon emission calculated using the rules of the EU | |
| USD/ton-CO2 | EU carbon permit price | |
| hr | Accumulated acceptable earliest arrival time at port n | |
| hr | Accumulated acceptable latest arrival time at port n | |
| ton | Fuel consumption of fuel i for leg n in the sailing period | |
| ton | Fuel consumption of fuel i for leg n in the maneuvering period | |
| ton | Fuel consumption of fuel i for leg n in the at-berth period | |
| Main engine fuel consumption coefficient of fuel i for leg n in the sailing period | ||
| Main engine fuel consumption power coefficient of fuel i for leg n in the sailing period | ||
| knot | Ship speed for leg n in the sailing period | |
| ton/hr | Auxiliary engine fuel consumption coefficient of fuel i for leg n in the sailing period | |
| ton/hr | Boiler fuel consumption coefficient of fuel i for leg n in the sailing period | |
| hr | Sailing period for leg n | |
| Main engine fuel consumption coefficient of fuel i for leg n in the maneuvering period | ||
| Main engine fuel consumption power coefficient of fuel i for leg n in the maneuvering period | ||
| knot | Ship speed for leg n in the maneuvering period | |
| ton/hr | Auxiliary engine fuel consumption coefficient of fuel i for leg n in the maneuvering period | |
| ton/hr | Boiler fuel consumption coefficient of fuel i for leg n in the maneuvering period | |
| hr | Maneuvering time for leg n | |
| ton/hr | Auxiliary engine fuel consumption coefficient of fuel i for leg n in the at-berth period | |
| ton/hr | Boiler fuel consumption coefficient of fuel i for leg n in the at-berth period | |
| hr | At-berth period for leg n | |
| binary, equals 1 if and only if the i = 1 or i = 2 in leg n; 0 for i = 3. | ||
| binary, equals 1 if and only if the 0.1% sulfur-containing fuel oil is used in during leg n; 0 for 0.5% sulfur-containing fuel oil. | ||
| The EU carbon coefficient. 0 for legs out of EU. 1 for legs inside EU. 0.5 for legs between EU and non-EU. | ||
| binary, equals 1 if and only if the i = 1 in leg n; 0 for i = 2 or 3. | ||
| Decision Variables | ||
| Accumulated arrival time of port n | ||
| LNG/oil ratio for leg n |
| Leg No. | Arrival Port/Waypoint | Acceptable Earliest Arrival Time | Acceptable Latest Arrival Time | Sailing Distance (nm) |
|---|---|---|---|---|
| P1-EU | 1 January 15:52 | 1 January 15:52 | ||
| 1 | P2-EU | 2 January 07:35 | 2 January 13:35 | 241 |
| 2 | P3-UK | 4 January 09:15 | 4 January 15:15 | 60 |
| 3 | Out ECA | 6 January 23:56 | 7 January 05:56 | 395 |
| 4 | In ECA | 12 January 18:42 | 13 January 00:42 | 1786 |
| 5 | P4-US | 19 January 00:45 | 19 January 06:45 | 1931 |
| 6 | P5-US | 21 January 13:30 | 21 January 19:30 | 190 |
| 7 | P6-US | 23 January 14:28 | 23 January 20:28 | 154 |
| 8 | P7-CA | 26 January 17:32 | 26 January 23:32 | 580 |
| 9 | Out ECA | 30 January 05:22 | 30 January 11:22 | 667 |
| 10 | In ECA | 5 February 05:44 | 5 February 11:44 | 1858 |
| 11 | P8-EU | 6 February 10:00 | 6 February 16:00 | 364 |
| 12 | P1-EU | 7 February 16:52 | 7 February 19:52 | 204 |
| Fuel Type | Price (USD/ton) | Carbon Factor, CF (t-CO2/t-Fuel) 1 [34] | Lower Calorific Value, SE (kJ/kg) 1 [34] |
|---|---|---|---|
| 0.5% S Fuel Oil | 785 | 3.151 | 41,200 |
| 0.1% S Fuel Oil | 1095 | 3.151 | 41,200 |
| LNG | 2000 | 2.750 | 48,000 |
| Leg No. | Arrival Port/Waypoint | Scenario 1: General Single Fuel | Scenario 2: General Dual Fuel | Scenario 3: Considering ECAs | Scenario 4: Considering EU ETS |
|---|---|---|---|---|---|
| 1 | P2-EU | 0.1% S | 0.1% S & LNG | 0.1% S & LNG | 0.1% S & LNG |
| 2 | P3-UK | 0.1% S | 0.1% S & LNG | 0.1% S & LNG | 0.1% S & LNG |
| 3 | Out ECA | 0.1% S | 0.1% S & LNG | 0.1% S & LNG | 0.1% S & LNG |
| 4 | In ECA | 0.1% S | 0.1% S & LNG | 0.5% S & LNG | 0.1% S & LNG |
| 5 | P4-US | 0.1% S | 0.1% S & LNG | 0.1% S & LNG | 0.1% S & LNG |
| 6 | P5-US | 0.1% S | 0.1% S & LNG | 0.1% S & LNG | 0.1% S & LNG |
| 7 | P6-US | 0.1% S | 0.1% S & LNG | 0.1% S & LNG | 0.1% S & LNG |
| 8 | P7-CA | 0.1% S | 0.1% S & LNG | 0.1% S & LNG | 0.1% S & LNG |
| 9 | Out ECA | 0.1% S | 0.1% S & LNG | 0.1% S & LNG | 0.1% S & LNG |
| 10 | In ECA | 0.1% S | 0.1% S & LNG | 0.5% S & LNG | 0.1% S & LNG |
| 11 | P8-EU | 0.1% S | 0.1% S & LNG | 0.1% S & LNG | 0.1% S & LNG |
| 12 | P1-EU | 0.1% S | 0.1% S & LNG | 0.1% S & LNG | 0.1% S & LNG |
| EU carbon permit (USD/t-CO2) | 0 | 0 | 0 | 100/200 | |
| Scenarios | 0.1%Sulfur Fuel Oil Price (USD/ton) | Cost Minimization Solution | Percentage Increase or Decrease in Cost | |
|---|---|---|---|---|
| Carbon Emission (ton) | Cost (USD) | |||
| Scenario 2: General dual fuel | 1642.5 (+50%) | 2408.13 | 1,254,885 | 49.93% |
| 1368.8 (+25%) | 2408.32 | 1,046,333 | 25.01% | |
| 1095 | 2408.48 | 836,967 | 0 | |
| 821.3 (−25%) | 2408.95 | 627,657 | −25.01% | |
| 547.5 (−50%) | 2408.31 | 418,836 | −49.96% | |
| Scenario 3: Considering ECAs | 1642.5 (+50%) | 2413.27 | 1,100,230 | 31.45% |
| 1368.8 (+25%) | 2412.43 | 941,600 | 12.50% | |
| 1095 | 2409.30 | 782,634 | 0 | |
| 821.3 (−25%) | 2409.00 | 621,496 | −25.74% | |
| 547.5 (−50%) | 2409.90 | 458,149 | −45.26% | |
| Scenario 4: Considering EU ETS | 1642.5 (+50%) | 2408.25 | 1,374,311 | 43.81% |
| 1368.8 (+25%) | 2408.93 | 1,165,014 | 21.91% | |
| 1095 | 2408.38 | 955,644 | 0 | |
| 821.3 (−25%) | 2408.20 | 746,324 | −21.90% | |
| 547.5 (−50%) | 2408.66 | 537,958 | −43.71% | |
Disclaimer/Publisher’s Note: The statements, opinions and data contained in all publications are solely those of the individual author(s) and contributor(s) and not of MDPI and/or the editor(s). MDPI and/or the editor(s) disclaim responsibility for any injury to people or property resulting from any ideas, methods, instructions or products referred to in the content. |
© 2023 by the authors. Licensee MDPI, Basel, Switzerland. This article is an open access article distributed under the terms and conditions of the Creative Commons Attribution (CC BY) license (https://creativecommons.org/licenses/by/4.0/).
Share and Cite
Shih, Y.-C.; Tzeng, Y.-A.; Cheng, C.-W.; Huang, C.-H. Speed and Fuel Ratio Optimization for a Dual-Fuel Ship to Minimize Its Carbon Emissions and Cost. J. Mar. Sci. Eng. 2023, 11, 758. https://doi.org/10.3390/jmse11040758
Shih Y-C, Tzeng Y-A, Cheng C-W, Huang C-H. Speed and Fuel Ratio Optimization for a Dual-Fuel Ship to Minimize Its Carbon Emissions and Cost. Journal of Marine Science and Engineering. 2023; 11(4):758. https://doi.org/10.3390/jmse11040758
Chicago/Turabian StyleShih, You-Chen, Yu-An Tzeng, Chih-Wen Cheng, and Chien-Hua Huang. 2023. "Speed and Fuel Ratio Optimization for a Dual-Fuel Ship to Minimize Its Carbon Emissions and Cost" Journal of Marine Science and Engineering 11, no. 4: 758. https://doi.org/10.3390/jmse11040758
APA StyleShih, Y.-C., Tzeng, Y.-A., Cheng, C.-W., & Huang, C.-H. (2023). Speed and Fuel Ratio Optimization for a Dual-Fuel Ship to Minimize Its Carbon Emissions and Cost. Journal of Marine Science and Engineering, 11(4), 758. https://doi.org/10.3390/jmse11040758

