Local Scour Depth Prediction of Offshore Wind Power Monopile Foundation Based on GMDH Method
Abstract
1. Introduction
2. Existing Local Scour Depth Prediction Methods
2.1. U.S. HEC-18 Formula
2.2. 65-2 Calculation Method
2.3. 65-1 Revised Formal Calculation Method
2.4. DNA Specification Formulas
2.5. Rudolph and Bos Formulas
3. Prediction Formula of Scour Depth Based on GMDH
3.1. Group Method of Data Handling
3.2. GMDH Model Building
3.3. Parameter Inversion
4. Case Studies
4.1. Case One: Monopile Scouring Flume Test
4.1.1. Test Overview
4.1.2. Model Sand Selection
4.1.3. Model Layout
4.1.4. Measuring Systems
4.1.5. Test Results
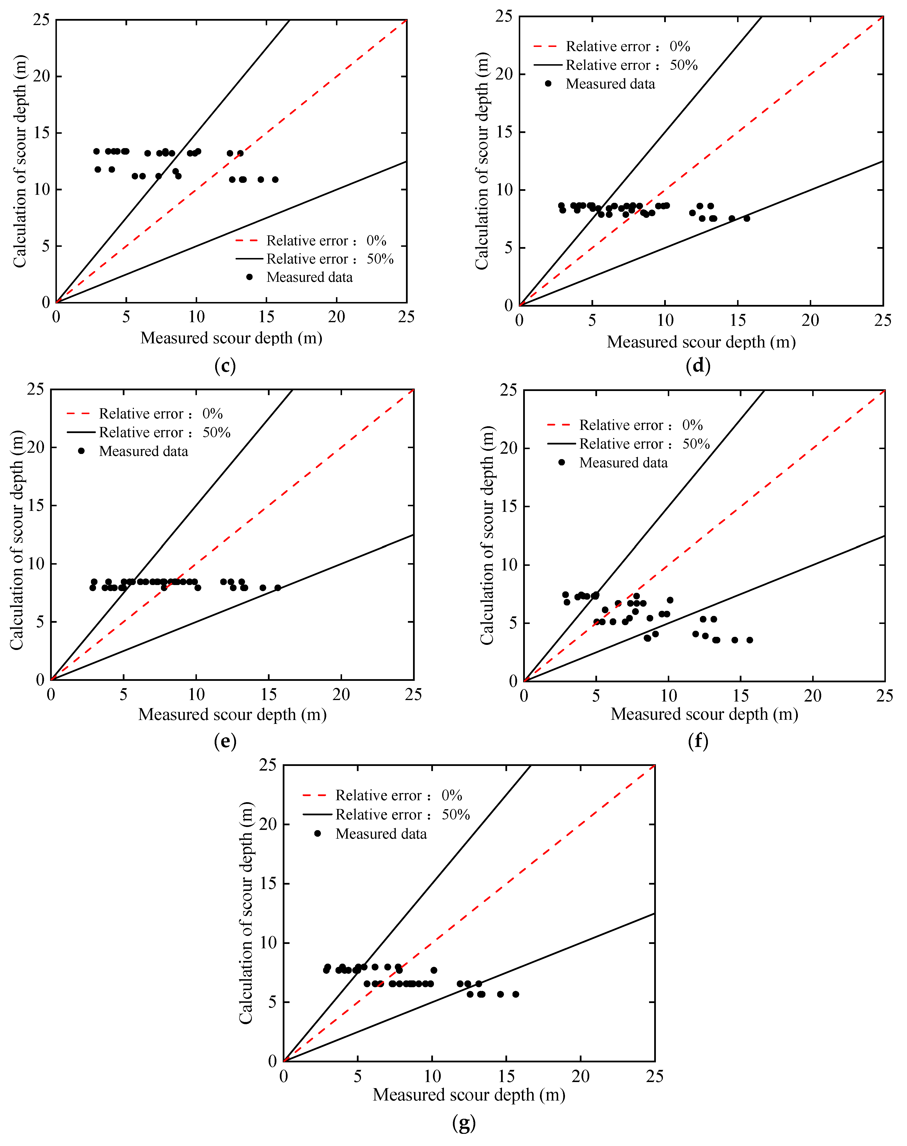
4.1.6. Analysis of Results
4.2. Case Two: Rudong Offshore Wind Farm
4.2.1. Overview of the Project
4.2.2. Analysis of Results
4.3. Reason for Higher Accuracy
5. Conclusions
- (1)
- Based on the gauge analysis method and the group method of data handling (GMDH), considering the main influencing factors of the local scour depth of pile foundations and combining them with the existing experimental data, the prediction formula of the local scour depth of a single pile applicable to the action of wave flow is proposed.
- (2)
- Combining the flume test data and the scour monitoring data of Rudong Wind Farm in Jiangsu, the calculated values of the predicted depth of the existing calculation formulas and the calculated values of the prediction formula in this paper were compared. The results show that the formula in this paper has a higher calculation accuracy compared with other formulas.
Author Contributions
Funding
Institutional Review Board Statement
Informed Consent Statement
Data Availability Statement
Conflicts of Interest
References
- Richardson, E.V.; Harrison, L.J.; Richardson, J.R.; Davis, S.R. Evaluating Scour at Bridges, Second Edition (Reannouncement). Highw. Bridg. 1993, 23, 262. [Google Scholar]
- JTG C30—2002; Hebei Provincial Transportation Planning and Design Institute: Specification for Hydrological Survey and Design of Highway Projects. People’s Traffic Publishing House: Beijing, China, 2002.
- Veritas, D.N. Offshore Standard DNV-OS-J101; Design of Offshore Wind Turbine Structures; Submarine Pipeline Systems: Oslo, Norway, 2007. [Google Scholar]
- Zhu, Z.W.; Yu, P. Comparative Study between Chinese Code and US Code on Calculation of Local Scour Depth around Bridge Piers. China J. Highw. Transp. 2016, 29, 36–43. [Google Scholar]
- Liang, F.; Wang, C.; Yu, X.B. Performance of Existing Methods for Estimation and Mitigation of Local Scour around Bridges: Case Studies. J. Perform. Constr. Facil. 2019, 33, 04019060. [Google Scholar] [CrossRef]
- Sumer, B.M.; Fredsøe, J. Wave Scour around a Large Vertical Circular Cylinder. J. Waterway Port Coast. Ocean Eng. 2001, 127, 125–134. [Google Scholar] [CrossRef]
- Zanke, U.C.E.; Hsu, T.W.; Roland, A.; Link, O. Equilibrium scour depths around piles in noncohesive sediments under currents and waves. Coast. Eng. 2011, 58, 986–991. [Google Scholar] [CrossRef]
- Qi, W.G.; Gao, F.P. Equilibrium scour depth at offshore monopile foundation in combined waves and current. Sci. China Technol. Sci. 2014, 57, 1030–1039. [Google Scholar] [CrossRef]
- Rudolph, D.; Bos, K. Scour around a monopile under combined wave-current conditions and low KC-numbers. In Proceedings of the 3rd International Conference on Scour and Erosion (ICSE-3), Amsterdam, The Netherlands, 1–3 November 2006. [Google Scholar]
- Harris, J.M.; Whitehouse, R.; Benson, T. The time evolution of scour around offshore structures. Marit. Eng. 2010, 163, 3–17. [Google Scholar] [CrossRef]
- Gao, D.G.; Wang, Y.L. Bridge and Culvert Hydrology, 5th ed.; People’s Traffic Publishing House: Beijing, China, 2016; pp. 138–165. [Google Scholar]
- Shaghaghi, S.; Bonakdari, H.; Gholami, A.; Ebtehaj, I. Comparative analysis of GMDH neural network based on genetic algorithm and particle swarm optimization in stable channel design. Appl. Math. Comput. 2017, 313, 271–286. [Google Scholar] [CrossRef]
- Ivakhnenko, A.G.; Ivakhnenko, G.A. The Review of Problems Solvable by Algorithms of the Group Method of Data Handling (GMDH). Pattern Recognit. Image Anal. 1995, 5, 527–535. [Google Scholar]
- Najafzadeh, M.; Barani, G.A.; Kermani, M. Estimation of Pipeline Scour due to Waves by GMDH. J. Pipeline Syst. Eng. Pract. 2014, 5, 06014002. [Google Scholar] [CrossRef]
- Whitehouse, R. Scour at Marine Structures: A Manual for Practical Applications; Thomas Telford Publishing: London, UK, 1998. [Google Scholar]
- Zhang, W.J.; Liu, H.N. Hydraulics; China Construction Industry Press: Beijing, China, 2015; pp. 81–88. [Google Scholar]
- Ettema, R.; Kirkil, G.; Muste, M. Similitude of Large-Scale Turbulence in Experiments on Local Scour at Cylinders. J. Hydraul. Eng. 2006, 132, 33–40. [Google Scholar] [CrossRef]
- Debnath, K.; Chaudhuri, S. Laboratory experiments on local scour around cylinder for clay and clay–sand mixed beds. Eng. Geol. 2010, 111, 51–61. [Google Scholar] [CrossRef]
- Nielsen, A.W.; Hansen, E.A. Time-Varying Wave and Current-Induced Scour around Offshore Wind Turbines. In Proceedings of the ASME 2007 26th International Conference on Offshore Mechanics and Arctic Engineering, San Diego, CA, USA, 10–15 June 2007. [Google Scholar]
- Melville, B.W.; Chiew, Y.M. Time Scale for Local Scour at Bridge Piers. J. Hydraul. Eng. 1999, 125, 59–65. [Google Scholar] [CrossRef]
- Li, L.P.; Zhang, R.X. Forecast of the maximum scour depth around vertical cylinders of large diameter combined wave and current action. J. Dalian Univ. Technol. 2003, 43, 5. [Google Scholar]
- Zhou, M.D. Study on similarity of local scouring of cohesive material in hydraulic model test. ShuiliXuebao 1998, 4, 33–40. [Google Scholar]
- Zhang, X.N.; Dou, G.R. Review of common model sands and their specific properties. Hydrosci. Eng. 1994, 15, 45–51. [Google Scholar]
- Zhang, R.J.; Xie, J.H.; Chen, W.B. River Dynamics; China Industrial Publishing House: Beijing, China, 1961. [Google Scholar]
- Whitehouse, R.; Harris, J.M.; Sutherland, J.; Rees, J. The nature of scour development and scour protection at offshore windfarm foundations. Mar. Pollut. Bull. 2011, 62, 73–88. [Google Scholar] [CrossRef]
- Ettema, R. Scour at bridge piers. Depth 1980, 26, 527. [Google Scholar]
- Gudavalli, S.R. Prediction Model for Scour Rate around Bridge Piers in Cohesive Soil on the Basis of Flume Tests; Texas A&M University: College Station, TX, USA, 1997. [Google Scholar]
- Cheng, Y.Z.; Tang, W.; Li, D.L.; Huang, X.Y. Experimental study on local scour around the pile on the sandy seabed under wave action. Adv. Water Sci. 2018, 29, 9. [Google Scholar]
- Yang, H.; Zhang, W. Simulation of Sediment erosion and silting on Rudong Offshore Wind Farm Project in Jiangsu province by MIKE21. Trans. Oceanol. Limnol. 2021, 43, 48–57. [Google Scholar]
- Shang, J.; Zhao, Y.Y. Calculation Research on Local Scouring Depth of Pile Foundation of Intertidal Wind Power Unit. Wind. Energy 2016, 32, 90–92. [Google Scholar]
- Hu, D.N. Dynamic Response Research for Offshore Wind Turbine Pile-Foundation and Superstructure Subjected to Wave Loads. Master’s Thesis, Chongqing Jiaotong University, Chongqing, China, 2014. [Google Scholar]










| Weighting Factor | a11 | a12 | a13 | a14 | a15 | a16 |
| Fitting results | −0.559 | 3.634 | 2.672 | 2.264 | −2.203 | −9.738 |
| Goodness of fit R2 | 0.9012 | |||||
| Weighting factor | a21 | a22 | a23 | a24 | a15 | a26 |
| Fitting results | −0.315 | −0.055 | 0.093 | 4.309 | −0.012 | 0.123 |
| Goodness of fit R2 | 0.9016 | |||||
| Weighting factor | a31 | a32 | a33 | a34 | a35 | a36 |
| Fitting results | −0.005 | 1.156 | −0.004 | 0.69 | 0 | 0.039 |
| Goodness of fit R2 | 0.9112 | |||||
| Weighting factor | a41 | a42 | a43 | a44 | a45 | a46 |
| Fitting results | −0.014 | 0.918 | −0.097 | −1.69 | −0.593 | 2.257 |
| Goodness of fit R2 | 0.9235 | |||||
| Weighting factor | a51 | a52 | a53 | a54 | a55 | a56 |
| Fitting results | 0.009 | 0.501 | 0.394 | −0.179 | 0.089 | 0.171 |
| Goodness of fit R2 | 0.9097 | |||||
| Weighting factor | a61 | a62 | a63 | a64 | a65 | a66 |
| Fitting results | −0.022 | 1.42 | 0.128 | −31.041 | −15.837 | 44.211 |
| Goodness of fit R2 | 0.9165 | |||||
| Pile Diameter Scale λD | Prototype | Models | Starting Speed Similarity Ratio λu | Model Similarity φ (%) | ||
|---|---|---|---|---|---|---|
| Water Depth hp (m) | Starting Speed up (m/s) | Water Depth hm (m) | Starting Speed um (m/s) | |||
| 100 | 10 | 1.81 | 0.5 | 0.18 | 10.06 | 101 |
| Group | Pile Diameter D (m) | Wave Height H (m) | Cycle Time T (s) | uc (m/s) | uwm (m/s) | um (m/s) | ucw (m/s) | S/D |
|---|---|---|---|---|---|---|---|---|
| 1 | 0.1 | 0.045 | 1.2 | 0.211 | 0.064 | 0.275 | 0.77 | 0.83 |
| 2 | 0.1 | 0.065 | 1.2 | 0.211 | 0.081 | 0.292 | 0.72 | 0.81 |
| 3 | 0.1 | 0.12 | 1.2 | 0.211 | 0.119 | 0.33 | 0.64 | 0.8 |
| 4 | 0.1 | 0.06 | 2 | 0.142 | 0.081 | 0.223 | 0.64 | 0.76 |
| 5 | 0.1 | 0.089 | 2 | 0.096 | 0.103 | 0.199 | 0.48 | 0.43 |
| 6 | 0.1 | 0.089 | 2 | 0.104 | 0.103 | 0.207 | 0.50 | 0.56 |
| 7 | 0.1 | 0.089 | 2 | 0.142 | 0.103 | 0.245 | 0.58 | 0.66 |
| 8 | 0.1 | 0.15 | 2 | 0.104 | 0.181 | 0.285 | 0.36 | 0.46 |
| 9 | 0.1 | 0.15 | 2 | 0.131 | 0.181 | 0.312 | 0.42 | 0.56 |
| 10 | 0.2 | 0.045 | 1.2 | 0.226 | 0.063 | 0.289 | 0.78 | 0.6 |
| 11 | 0.2 | 0.065 | 1.2 | 0.226 | 0.091 | 0.317 | 0.71 | 0.57 |
| 12 | 0.2 | 0.12 | 1.2 | 0.226 | 0.153 | 0.379 | 0.60 | 0.62 |
| 13 | 0.2 | 0.06 | 2 | 0.157 | 0.082 | 0.239 | 0.66 | 0.27 |
| 14 | 0.2 | 0.089 | 2 | 0.118 | 0.115 | 0.233 | 0.51 | 0.11 |
| 15 | 0.2 | 0.089 | 2 | 0.119 | 0.115 | 0.234 | 0.51 | 0.14 |
| 16 | 0.2 | 0.089 | 2 | 0.157 | 0.115 | 0.272 | 0.58 | 0.27 |
| 17 | 0.2 | 0.15 | 2 | 0.119 | 0.178 | 0.297 | 0.40 | 0.12 |
| 18 | 0.2 | 0.15 | 2 | 0.155 | 0.178 | 0.333 | 0.47 | 0.17 |
| Type of Error | This Paper’s Formula | HEC-18 Formula | DNV Code Formula | Rudolph Formula | Raaijmakers Formula |
|---|---|---|---|---|---|
| Mean relative error εa | 27.09 | 229.32 | 316.82 | 160.52 | 95.60 |
| Variance δe | 25.71 | 214.61 | 474.56 | 122.14 | 68.35 |
| Normalized variance δen | 32.90 | 231.61 | 122.27 | 121.32 | 122.76 |
| Pile Number | Pile Diameter D (m) | Median Particle Size d50 (mm) | Water Depth h (m) | Scouring Depth S (m) |
|---|---|---|---|---|
| 1–9 | 6.5 | 0.125 | 5~6 | 7.5~12.5 |
| 10–14 | 6.1 | 0.125 | 4~5 | 12.5~15.5 |
| 15–18 | 6.1 | 0.125 | 6~7 | 4.0~8.5 |
| 19–25 | 6.5 | 0.125 | 5~7 | 5.4~12.4 |
| 26–29 | 6.5 | 0.125 | 5~6 | 5.6~8.7 |
| 30–38 | 6.1 | 0.125 | 6~7 | 3.1~10.1 |
| Type of Error | This Paper’s Formula | 65-1 Amendment formula | 65-2 Formula | HEC-18 Formula | DNV Specification Formula | Rudolph Formula | Raaijmakers Formula |
|---|---|---|---|---|---|---|---|
| Mean relative error εa | 18.31 | 243.77 | 128.97 | 42.77 | 49.42 | 39.28 | 42.32 |
| Variance δe | 12.31 | 323.90 | 164.28 | 27.47 | 23.51 | 23.23 | 32.71 |
| Normalized variance δen | 10.41 | 263.61 | 164.01 | 11.21 | 25.52 | 27.49 | 13.32 |
Disclaimer/Publisher’s Note: The statements, opinions and data contained in all publications are solely those of the individual author(s) and contributor(s) and not of MDPI and/or the editor(s). MDPI and/or the editor(s) disclaim responsibility for any injury to people or property resulting from any ideas, methods, instructions or products referred to in the content. |
© 2023 by the authors. Licensee MDPI, Basel, Switzerland. This article is an open access article distributed under the terms and conditions of the Creative Commons Attribution (CC BY) license (https://creativecommons.org/licenses/by/4.0/).
Share and Cite
Li, Z.; Dai, G.; Du, S.; Ouyang, H.; Hu, T.; Liu, H.; Li, Z. Local Scour Depth Prediction of Offshore Wind Power Monopile Foundation Based on GMDH Method. J. Mar. Sci. Eng. 2023, 11, 753. https://doi.org/10.3390/jmse11040753
Li Z, Dai G, Du S, Ouyang H, Hu T, Liu H, Li Z. Local Scour Depth Prediction of Offshore Wind Power Monopile Foundation Based on GMDH Method. Journal of Marine Science and Engineering. 2023; 11(4):753. https://doi.org/10.3390/jmse11040753
Chicago/Turabian StyleLi, Zhiyue, Guoliang Dai, Shuo Du, Haoran Ouyang, Tao Hu, Hongbo Liu, and Zhongwei Li. 2023. "Local Scour Depth Prediction of Offshore Wind Power Monopile Foundation Based on GMDH Method" Journal of Marine Science and Engineering 11, no. 4: 753. https://doi.org/10.3390/jmse11040753
APA StyleLi, Z., Dai, G., Du, S., Ouyang, H., Hu, T., Liu, H., & Li, Z. (2023). Local Scour Depth Prediction of Offshore Wind Power Monopile Foundation Based on GMDH Method. Journal of Marine Science and Engineering, 11(4), 753. https://doi.org/10.3390/jmse11040753
