Effect of Tip Rake Distribution on the Hydrodynamic Performance of Non-Planar Kappel Propeller
Abstract
1. Introduction
2. Theory and Model
2.1. Formulas of Blade Geometry for Kappel Propeller
2.2. Basic Formulas of B-Spline Curve
2.3. Dimensionless Hydrodynamic Parameters of the Propeller
2.4. Turbulence Model and Governing Equation
2.5. Cavitation Model
3. Methods for Simulation
3.1. Modeling of Kappel Propeller with Different Tip Rakes
3.2. Simulation Setting
3.3. Verification of the Methods for Open-Water Simulation
3.4. Streamline Distribution of Kappel Propellers in Simulation
3.5. Convergence Analysis of Cavitation Simulation
4. Discussions of Simulation Results
4.1. Effect of Kappel Propeller Tip-Rake Change on Propeller Performance
4.2. Effect of Tip-Rake Change on Pressure Distribution of Kappel Propellers
4.3. Effect of Tip-Rake Change on Wake Vortex Distribution of Kappel Propellers
4.4. Effect of Tip-Rake Change on Sheet Cavitation Distribution of Kappel Propellers
5. Conclusions
- (1)
- The transition of the fluid state does exist on the blade surface of a rotating Kappel propeller on a model scale. The application of the γ transition could actually reduce the calculation error of the open-water efficiency by 51%~86%, notably reducing the error to a considerably small range.
- (2)
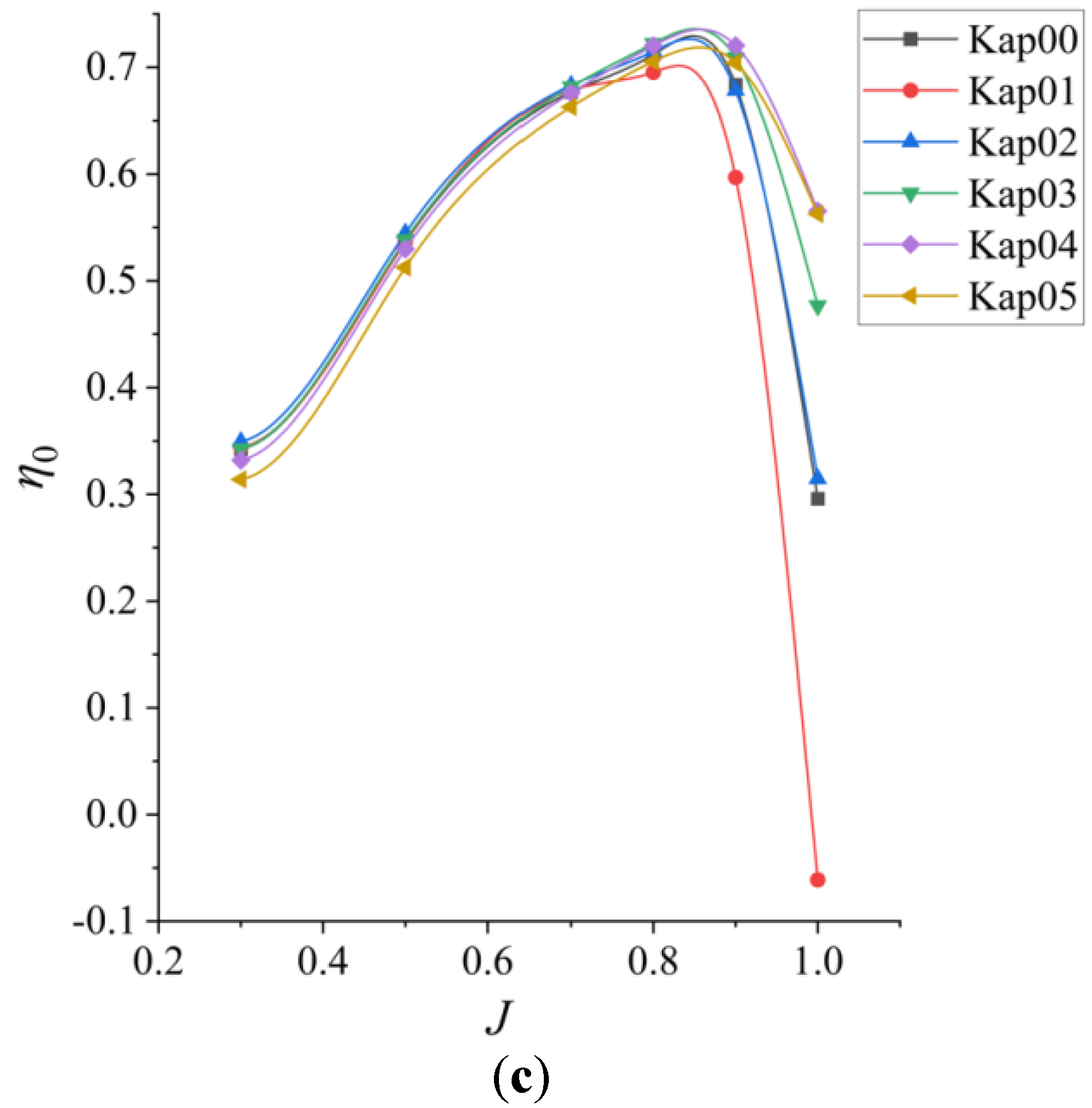
- The addition of end-plates would raise the thrust and torque outputs of Kappel propellers to an extent. This can result in the propulsion efficiency of the propeller Kap04 exceeding that of the reference propeller by 2.5% at the designed advance speed or when KT/J2 = 0.2 and KQ/J3 = 0.05. The rake value XS/D of the perfect mode of the Kappel propeller shall be between 0.075 and 0.1, and the ratio S/R shall be between 1.1 and 1.143, correspondingly. The advancement of propeller propulsion efficiency can help the application vehicle save fuel and lower the EEDI index, which is more environmentally friendly and compliant with green production.
- (3)
- The rise of the tip rake will contribute to the boost of the low-pressure value and area on the suction surface of the Kappel propeller, which makes the greatest contribution to the propulsion exaltation, which is weakened by the frictional resistance of the blade surface and low-pressure occurrence on the pressure side near the leading edge.
- (4)
- Benefiting from the effective end-plate effect, with the increase in the Kappel propeller’s tip rake, the length of the tip vortex tends to stretch and the vortex contraction is restrained, indicating a reduction in the energy loss of the wake, which is conducive to the elevation of the propulsion performance.
- (5)
- The addition of a tip rake will aggravate the sheet cavitation behavior in terms of either the distribution area or the volume of cavitation.
Author Contributions
Funding
Institutional Review Board Statement
Informed Consent Statement
Data Availability Statement
Conflicts of Interest
References
- Rouse, H.; Ince, S. History of Hydraulics. Iowa Institute of Hydraulic Research: Iowa City, IA, USA, 1957. [Google Scholar]
- Andersen, S.V.; Andersen, P. Hydrodynamic Design of Propeller with Unconventional Geometry. R. Inst. Nav. Archit. Trans. 1986, 129, 201–221. [Google Scholar]
- Anderson, P. On Optimum Lifting Line Propeller Calculation. Report No. 325; The Danish Center for Applied Mathematics and Mechanics, The Technical University Of Denmark: Lyngby, Denmark, 1986. [Google Scholar]
- Anderson, P.; Schwanecke, H. Design and Model Tests of Tip Fin Propellers. R. Inst. Nav. Archit. Trans. 1992, 134, 315–328. [Google Scholar]
- Anderson, P. A Comparative Study of Conventional and Tip-fin Propeller Performance. In Proceedings of the 21st Symposium on Naval Hydrodynamics, Trondheim, Norway, 24–28 June 1996; National Academies Press: Washington, DC, USA, 1997. [Google Scholar]
- Andersen, P.; Friesch, J.; Kappel, J.J. Development and Full-scale Evaluation of a New Marine Propeller Type. In Proceedings of the 97th Hauptversammlugder Chiffbautechnischen Gesellschaft, Hamburg, German, 20–22 November 2002. [Google Scholar]
- Andersen, P.; Friesch, J.; Kappel, J.J.; Lundegaard, L.; Patience, G. Development of a Marine Propeller with Non-planar Lifting Surfaces. Mar. Technol. SNAME News 2005, 42, 144–158. [Google Scholar] [CrossRef]
- Wu, J. On the Design and Geometry Expression of Propeller with Large Tip Rake. Master’s Thesis, National Taiwan Ocean University, Jilong, Taiwan, 2008. [Google Scholar]
- Cai, Y. On the Optimal Circulation Distribution of Non-planar Propellers. Master’s Thesis, National Taiwan Ocean University, Jilong, Taiwan, 2006. [Google Scholar]
- Huang, Y. On the Study of Efficiency and Cavitation Characteristics of Non-planar Propeller. Master’s Thesis, National Taiwan Ocean University, Jilong, Taiwan, 2008. [Google Scholar]
- Bertetta, D.; Brizzolara, S.; Canepa, E.; Gaggero, S.; Viviani, M. EFD and CFD Characterization of a CLT Propeller. Int. J. Rotating Mach. 2012, 2012, 348939. [Google Scholar] [CrossRef]
- Gaggero, S.; Viviani, M.; Villa, D.; Bertetta, D.; Vaccaro, C.; Brizzolara, S. Numerical and Experimental Analysis of a CLT Propeller Cavitation Behavior. In Proceedings of the 8th International Symposium on Cavitation, Singapore, 14–16 August 2012. [Google Scholar]
- Gaggero, S.; Ferrando, M. Wake Instabilities of Tip-Loaded Propellers: Comparison between CLT and “New Generation” CLT Configurations. J. Mar. Sci. Eng. 2023, 11, 112. [Google Scholar] [CrossRef]
- Lungu, A. Scale Effects on a Tip Rake Propeller Working in Open Water. J. Mar. Sci. Eng. 2019, 7, 404. [Google Scholar] [CrossRef]
- Wang, C.; Li, P.; Guo, C.; Wang, L.; Sun, S. Numerical Research on the Instabilities of CLT Propeller Wake. Ocean Eng. 2022, 243, 110305. [Google Scholar] [CrossRef]
- Wang, C.; Li, P.; Han, Y.; Hao, L. The Study on the Wake of a CLT Propeller under Different Advance Coefficients. Appl. Ocean Res. 2022, 118, 102996. [Google Scholar] [CrossRef]
- Maghareh, M.; Ghassemi, H. Propeller Efficiency Enhancement by the Blade’s Tip Reformation. Am. J. Mech. Eng. 2017, 5, 70–75. [Google Scholar] [CrossRef]
- Ghassemi, H.; Gorji, M.; Mohammadi, J. Effect of Tip Rake Angle on the Hydrodynamic Characteristics and Sound Pressure Level around the Marine Propeller. Ships Offshore Struct. 2018, 13, 759–768. [Google Scholar] [CrossRef]
- Kang, J.G.; Kim, M.C.; Kim, H.U.; Shin, I.R. Study on Propulsion Performance by Varying Rake Distribution at the Propeller Tip. J. Mar. Sci. Eng. 2019, 7, 386. [Google Scholar] [CrossRef]
- Gao, H.; Zhu, W.; Liu, Y.; Yan, Y. Effect of Various Winglets on the Performance of Marine Propeller. Appl. Ocean Res. 2019, 86, 246–256. [Google Scholar] [CrossRef]
- Kehr, Y.Z.; Xu, H.J.; Kao, J.H. An Innovative Propeller with Experimental and Sea Trial Verifications. J. Mar. Sci. Technol. 2020, 25, 609–619. [Google Scholar] [CrossRef]
- Ebrahimi, A.; Tootian, A.; Seif, M.S. The Effect of Different Endplate Geometries on the Hydrodynamic and Acoustic Performance of the Tip-loaded Propeller. Ocean Eng. 2023, 272, 113885. [Google Scholar] [CrossRef]
- Posa, A. The Dynamics of the Tip Vortices Shed by a Tip-loaded Propeller with Winglets. J. Fluid Mech. 2022, 951, A25. [Google Scholar] [CrossRef]
- Posa, A. Dependence of Tip and Hub Vortices Shed by a Propeller with Winglets on its Load Conditions. Phys. Fluids 2022, 34, 105107. [Google Scholar] [CrossRef]
- Posa, A. Influence by the Hub Vortex on the Instability of the Tip Vortices Shed by Propellers with and without Winglets. Phys. Fluids 2022, 34, 115115. [Google Scholar] [CrossRef]
- Posa, A. Comparison between the Acoustic Signatures of a Conventional Propeller and a Tip-loaded Propeller with Winglets. Phys. Fluids 2023, 35, 025133. [Google Scholar] [CrossRef]
- Lee, J.H.; Kim, M.C.; Shin, Y.J.; Kang, J.G.; Jang, H.G. A Study on Performance of Tip Rake Propeller in Propeller Open Water Condition. J. Soc. Nav. Archit. Korea 2017, 54, 10–17. [Google Scholar] [CrossRef]
- Joe, D.; Misra, V.; Vijayakumar, D.R. Numerical Study of Acoustic Characteristics of a DTMB 4119 Propeller Due to Tip Rake. In Proceedings of the Propellers & Impellers—Research, Design, Construction & Applications, London, UK, 27–28 March 2019. [Google Scholar]
- Dellanoy, Y.; Kueny, J. Two Phase Flow Approach in Unsteady Cavitation Modelling. In Proceedings of the ASME Cavitation and Multiphase Flow Forum, Toronto, ON, Canada, 4–7 June 1990. [Google Scholar]
- Singhal, A.K.; Athavale, M.M.; Li, H.; Jiang, Y. Mathematical Basis and Validation of the Full Cavitation Model. J. Fluids Eng. 2002, 124, 617–624. [Google Scholar] [CrossRef]
- Zwart, P.; Gerber, A.G.; Belamri, T. A Two-phase Flow Model for Predicting Cavitation Dynamics. In Proceedings of the 5th International Conference on Multiphase Flow, Yokohama, Japan, 30 May–4 June 2004. [Google Scholar]
- Schnerr, G.H.; Sauer, J. Physical and Numerical Modeling of Unsteady Cavitation Dynamics. Proceedings of 4th international Conference on Multiphase Flow, New Orleans, LA, USA, 27 May–1 June 2001. [Google Scholar]
- Ge, M.; Svennberg, U.; Bensow, R.E. Investigation on RANS Prediction of Propeller Induced Pressure Pulses and Sheet-tip Cavitation Interactions in Behind Hull Condition. Ocean Eng. 2020, 209, 107503. [Google Scholar] [CrossRef]
- Kim, S.H.; Choo, S.H.; Park, J.Y.; Choi, G.H. Numerical Simulation of Cavitation Phenomena for Hybrid Contra-Rotating Shaft Propellers. In Proceedings of the 9th International Symposium on Cavitation (CAV2015), Lausanne, Switzerland, 6–10 December 2015. [Google Scholar]
- Lloyd, T.P.; Vaz, G.; Rijpkema, D.; Reverberi, A. Computational Fluid Dynamics Prediction of Marine Propeller Cavitation Including Solution Verification. In Proceedings of the 5th International Symposium on Marine Propulsors, Espoo, Finland, 12–15 June 2017. [Google Scholar]
- Yilmaz, N.; Atlar, M.; Khorasanchi, M. An Improved Mesh Adaption and Refinement Approach to Cavitation Simulation (MARCS) of Propellers. Ocean Eng. 2018, 171, 139–150. [Google Scholar] [CrossRef]
- Lee, Y.H.; Yang, C.Y.; Chow, Y.C. Evaluations of the Outcome Variability of RANS Simulations for Marine Propellers Due to Tunable Parameters of Cavitation Models. Ocean Eng. 2021, 226, 108805. [Google Scholar] [CrossRef]
- Viitanen, V.; Sipilä, T.; Sánchez-Caja, A.; Siikonen, T. CFD Predictions of Unsteady Cavitation for a Marine Propeller in Oblique Inflow. Ocean Eng. 2021, 266, 112596. [Google Scholar] [CrossRef]
- Samreen, S.; Sarfraz, M.; Mohamed, A. A Quadratic Trigonometric B-spline as an Alternate to Cubic B-spline. Alex. Eng. J. 2022, 61, 11433–11443. [Google Scholar] [CrossRef]
- Kerwin, J.E.; Hadler, J.B. The Principles of Naval Architecture Series; The Society of Naval Architects and Marine Engineers: Jersey City, NJ, USA, 2010; pp. 67–118. [Google Scholar]
- Menter, F.R. Two-equation Eddy-viscosity Turbulence Models for Engineering Applications. AIAA J. 1994, 32, 1589–1605. [Google Scholar] [CrossRef]
- Hasuike, N.; Okazaki, M.; Okazaki, A.; Fujiyama, K. Sacle Effects of Marine Propellers in POT and Self Propulsion Test Conditions. In Proceedings of the 5th International Symposium on Marine Propulsors, Espoo, Finland, 12–15 June 2017. [Google Scholar]
- Menter, F.R.; Smirnov, P.E.; Liu, T.; Avancha, R. A One-Equation Local Correlation-Based Transition Model. Flow Turbul. Combust. 2015, 95, 583–619. [Google Scholar] [CrossRef]
- Vaz, G.; Hally, D.; Huuva, T.; Bulten, N.; Muller, P.; Becchi, P.; Herrer, J.L.R.; Whitworth, S.; Macé, R.; Korsström, A. Cavitating Flow Calculations for the E779A Propeller in Open Water and Behind Conditions: Code Comparison and Solution Validation. In Proceedings of the 4th International Symposium on Marine Propulsors, Austin, TX, USA, 31 May–4 June 2015. [Google Scholar]
- Cheng, H.J.; Chien, Y.C.; Hsin, C.Y.; Chang, K.K.; Chen, P.F. A Numerical Comparison of End-plate Effect Propellers and Conventional Propellers. J. Hydrodyn. 2010, 22, 495–500. [Google Scholar] [CrossRef]
- Klose, R.; Schulze, R.; Hellwig-Rieck, K. Investigation of Prediction Methods for Tip Rake Propellers. In Proceedings of the 5th International Symposium on Marine Propulsors, Espoo, Finland, 12–15 June 2017. [Google Scholar]
- Schülein, E.; Rosemann, H.; Schaber, S. Transition Detection and Skin Friction Measurements on Rotating Propeller Blades. In Proceedings of the 28th Aerodynamic Measurement Technology, Ground Testing, and Flight Testing Conference, New Orleans, LA, USA, 25–28 June 2012. [Google Scholar]
- Jeong, J.; Hussain, F. On the identification of a vortex. J. Fluid Mech. 1995, 285, 69–94. [Google Scholar] [CrossRef]






















| Serial Number | Kap00 | Kap01 | Kap02 | Kap03 | Kap04 | Kap05 |
|---|---|---|---|---|---|---|
| 1 | 1.023 | 1.059 | 1.100 | 1.143 | 1.187 | |
| Immersion area ratio | 1 | 1.0071 | 1.0202 | 1.0373 | 1.0583 | 1.0796 |
| Kappel Propeller | Model Scale |
|---|---|
| Diameter (mm) | 250 |
| Pitch ratio at 0.7 r/R | 1.0338 |
| Skew (°) | 16 |
| Hub diameter ratio | 0.2 |
| Projected area ratio | 0.4788 |
Disclaimer/Publisher’s Note: The statements, opinions and data contained in all publications are solely those of the individual author(s) and contributor(s) and not of MDPI and/or the editor(s). MDPI and/or the editor(s) disclaim responsibility for any injury to people or property resulting from any ideas, methods, instructions or products referred to in the content. |
© 2023 by the authors. Licensee MDPI, Basel, Switzerland. This article is an open access article distributed under the terms and conditions of the Creative Commons Attribution (CC BY) license (https://creativecommons.org/licenses/by/4.0/).
Share and Cite
Chen, C.-W.; Chen, X.-P.; Zhou, Z.-Y.; Chen, L.-W.; Zhang, C.; Zheng, T.-J.; Li, H.-M. Effect of Tip Rake Distribution on the Hydrodynamic Performance of Non-Planar Kappel Propeller. J. Mar. Sci. Eng. 2023, 11, 748. https://doi.org/10.3390/jmse11040748
Chen C-W, Chen X-P, Zhou Z-Y, Chen L-W, Zhang C, Zheng T-J, Li H-M. Effect of Tip Rake Distribution on the Hydrodynamic Performance of Non-Planar Kappel Propeller. Journal of Marine Science and Engineering. 2023; 11(4):748. https://doi.org/10.3390/jmse11040748
Chicago/Turabian StyleChen, Chen-Wei, Xu-Peng Chen, Zhao-Ye Zhou, Li-Wan Chen, Chi Zhang, Tian-Jiang Zheng, and Hua-Min Li. 2023. "Effect of Tip Rake Distribution on the Hydrodynamic Performance of Non-Planar Kappel Propeller" Journal of Marine Science and Engineering 11, no. 4: 748. https://doi.org/10.3390/jmse11040748
APA StyleChen, C.-W., Chen, X.-P., Zhou, Z.-Y., Chen, L.-W., Zhang, C., Zheng, T.-J., & Li, H.-M. (2023). Effect of Tip Rake Distribution on the Hydrodynamic Performance of Non-Planar Kappel Propeller. Journal of Marine Science and Engineering, 11(4), 748. https://doi.org/10.3390/jmse11040748

