Super-Twisting Sliding Mode Control for the Trajectory Tracking of Underactuated USVs with Disturbances
Abstract
1. Introduction
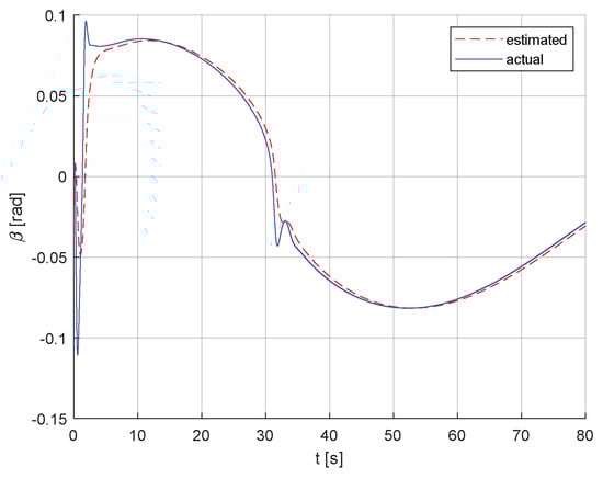
- A guidance law for the desired surge speed and yaw angle is proposed to obtain a simpler control structure and ensure the correct heading angle and surge speed. In the guidance law, the estimation of the time-varying sideslip angle is considered to guarantee tracking accuracy.
- The design of surge speed and heading angle controllers uses the super-twisting second-order sliding mode method. The convergence of the tracking error is analyzed by the Lyapunov stability theory, and it is proved that the proposed controller can ensure the tracking error converges in a finite time.
- The comparison of the proposed super-twisting sliding mode control method and adaptive sliding mode control methods is conducted in the simulation. Under the condition that the upper bound of the disturbances is known, results show that the STSMC method has a smaller tracking error and better tracking accuracy.
2. Problem Formulation
3. Trajectory Tracking Guidance Law
4. Trajectory Tracking Control Law
4.1. Surge Speed and Heading Control
4.2. Closed-Loop Stability
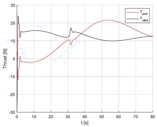
5. Simulation Results
- (1)
- Straight trajectory:
- (2)
- Sinusoidal trajectory:
6. Conclusions
Author Contributions
Funding
Institutional Review Board Statement
Informed Consent Statement
Data Availability Statement
Conflicts of Interest
References
- Huang, B.; Zhou, B.; Zhang, S.; Zhu, C. Adaptive prescribed performance tracking control for underactuated autonomous underwater vehicles with input quantization. Ocean. Eng. 2021, 221, 108549. [Google Scholar] [CrossRef]
- Elmokadem, T.; Zribi, M.; Youcef-Toumi, K. Terminal sliding mode control for the trajectory tracking of underactuated Autonomous Underwater Vehicles. Ocean. Eng. 2017, 129, 613–625. [Google Scholar] [CrossRef]
- Huang, H.; Gong, M.; Zhuang, Y.; Sharma, S.; Xu, D. A new guidance law for trajectory tracking of an underactuated unmanned surface vehicle with parameter perturbations. Ocean. Eng. 2019, 175, 217–222. [Google Scholar] [CrossRef]
- Garcia, A.G.; Castaeda, H. Guidance and Control Based on Adaptive Sliding Mode Strategy for a USV Subject to Uncertainties. IEEE J. Ocean. Eng. 2021, 46, 1144–1154. [Google Scholar] [CrossRef]
- Guerreiro, B.J.; Silvestre, C.; Cunha, R.; Pascoal, A. Trajectory Tracking Nonlinear Model Predictive Control for Autonomous Surface Craft. IEEE Trans. Control Syst. Technol. 2014, 22, 2160–2175. [Google Scholar] [CrossRef]
- Liang, H.; Li, H.; Xu, D. Nonlinear Model Predictive Trajectory Tracking Control of Underactuated Marine Vehicles: Theory and Experiment. IEEE Trans. Ind. Electron. 2021, 68, 4238–4248. [Google Scholar] [CrossRef]
- Yang, Y.; Du, J.; Liu, H.; Guo, C.; Abraham, A. A Trajectory Tracking Robust Controller of Surface Vessels With Disturbance Uncertainties. IEEE Trans. Control Syst. Technol. 2014, 22, 1511–1518. [Google Scholar] [CrossRef]
- Wang, N.; Liu, Z.; Zheng, Z.; Er, M.J. Global Exponential Trajectory Tracking Control of Underactuated Surface Vehicles Using Dynamic Surface Control Approach. In Proceedings of the International Conference on Intelligent Autonomous Systems (ICoIAS), Singapore, 1–3 March 2018; pp. 221–226. [Google Scholar]
- Rodriguez, J.; Castaneda, H.; Gonzalez-Garcia, A.; Gordillo, G.L. Finite-time control for an Unmanned Surface Vehicle based on adaptive sliding mode strategy. Ocean Eng. 2022, 254, 111255. [Google Scholar] [CrossRef]
- Chen, L.; Cui, R.; Yang, C.; Yan, W. Adaptive Neural Network Control of Underactuated Surface Vessels With Guaranteed Transient Performance: Theory and Experimental Results. IEEE Trans. Ind. Electron. 2019, 67, 4024–4035. [Google Scholar] [CrossRef]
- Park, K.; Tsuji, T. Terminal sliding mode control of second-order nonlinear uncertain systems. Int. J. Robust Nonlinear Control 1999, 9, 769–780. [Google Scholar] [CrossRef]
- Yu, X.; Man, Z. Fast terminal sliding-mode control design for nonlinear dynamical systems. IEEE Trans. Circuits Syst. Part I Fundam. Theory Appl. 2002, 49, 261–264. [Google Scholar]
- Wang, N.; Ki Ahn, C. Hyperbolic-Tangent LOS Guidance-Based Finite-Time Path Following of Underactuated Marine Vehicles. IEEE Trans. Ind. Electron. 2020, 67, 8566–8575. [Google Scholar] [CrossRef]
- Wang, N.; Karimi, H.R.; Li, H.; Su, S. Accurate Trajectory Tracking of Disturbed Surface Vehicles: A Finite-Time Control Approach. IEEE/ASME Trans. Mechatron. 2019, 24, 1064–1074. [Google Scholar] [CrossRef]
- Mei, K.; Ding, S.; Yu, X. A Generalized Supertwisting Algorithm. IEEE Trans. Cybern. 2022. [Google Scholar] [CrossRef] [PubMed]
- Levant, A. Sliding order and sliding accuracy in sliding mode control. Int. J. Control 1993, 58, 1247–1263. [Google Scholar] [CrossRef]
- Liu, Z.; Cheng, S.; Ji, X.; Li, L.; Wei, L. A Hierarchical Anti-Disturbance Path Tracking Control Scheme for Autonomous Vehicles Under Complex Driving Conditions. IEEE Trans. Veh. Technol. 2021, 70, 11244–11254. [Google Scholar] [CrossRef]
- Chen, Y.; Li, Y.; Li, K. Sliding mode Control for Quad-rotor Based on Super-twisting Algorithm Disturbance Observation and Compensation. In Proceedings of the 2019 Chinese Control And Decision Conference (CCDC), Nanchang, China, 3–5 June 2019; pp. 3123–3128. [Google Scholar]
- Lee, S.-D.; Phuc, B.D.H.; Xu, X.; You, S.-S. Roll suppression of marine vessels using adaptive super-twisting sliding mode control synthesis. Ocean. Eng. 2020, 195, 106724. [Google Scholar] [CrossRef]
- Esfahani, H.N.; Szlapczynski, R. Model Predictive Super-Twisting Sliding Mode Control for an Autonomous Surface Vehicle. Pol. Marit. Res. 2019, 26, 163–171. [Google Scholar] [CrossRef]
- Liu, Y.; Xu, C.; Zhao, Y.; Liu, S.; Liang, X. Trajectory Tracking Control for Underactuated Surface Vessel Based on Super-wisting Sliding Mode. Inf. Control 2020, 5, 578–584+597. (In Chinese) [Google Scholar]
- Chu, R.; Liu, Z.; Chu, Z. Improved super-twisting sliding mode control for ship heading with sideslip angle compensation. Ocean. Eng. 2022, 260, 111996. [Google Scholar] [CrossRef]
- Wang, N.; Zhu, Z.; Qin, H.; Deng, Z.; Sun, Y. Finite-time extended state observer-based exact tracking control of an unmanned surface vehicle. Int. J. Robust Nonlinear Control 2021, 31, 1704–1719. [Google Scholar] [CrossRef]
- Garcia, A.G.; Castaeda, H. Adaptive integral terminal sliding mode control for an unmanned surface vehicle against external disturbances. IFAC-Pap. 2021, 16, 202–207. [Google Scholar]
- Lekkas, A.M.; Fossen, T.I. Integral LOS Path Following for Curved Paths Based on a Monotone Cubic Hermite Spline Parametrization. IEEE Trans. Control Syst. Technol. 2014, 22, 2287–2301. [Google Scholar] [CrossRef]
- Borhaug, E.; Pavlov, A.; Pettersen, K.Y. Integral LOS control for path following of underactuated marine surface vessels in the presence of constant ocean currents. In Proceedings of the 2008 47th IEEE Conference on Decision and Control, Cancun, Mexico, 9–11 December 2008; pp. 4984–4991. [Google Scholar]
- Fossen, T.I.; Pettersen, K.Y.; Galeazzi, R. Line-of-sight path following for dubins paths with adaptive sideslip compensation of drift forces. IEEE Trans. Control Syst. Technol. 2015, 23, 820–827. [Google Scholar] [CrossRef]
- Liu, L.; Wang, D.; Peng, Z.; Wang, H. Predictor-based LOS guidance law for path following of underactuated marine surface vehicles with sideslip compensation. Ocean. Eng. 2016, 124, 340–348. [Google Scholar] [CrossRef]
- Yang, X.; Yan, X.; Liu, W.; Ye, H.; Du, Z.; Zhong, W. An improved stanley guidance law for large curvature path following of unmanned surface vehicle. Ocean. Eng. 2022, 266, 112809. [Google Scholar] [CrossRef]
- Klinger, W.B.; Bertaska, I.R.; Ellenrieder, K.; Dhanak, M.R. Control of an Unmanned Surface Vehicle with Uncertain Displacement and Drag. IEEE J. Ocean. Eng. 2017, 42, 458–476. [Google Scholar] [CrossRef]
- Lu, L.; Dan, W.; Peng, Z. Eso-based line-of-sight guidance law for path following of underactuated marine surface vehicles with exact sideslip compensation. IEEE J. Ocean. Eng. 2017, 42, 477–487. [Google Scholar] [CrossRef]
- Bhat, S.P.; Bernstein, D.S. Finite-time stability of continuous autonomous systems. SIAM J. Control Optim. 2000, 38, 751–766. [Google Scholar] [CrossRef]
- Garcia, A.G.; Castaeda, H. Modeling, identification and control of an unmanned surface vehicle. In Proceedings of the AUVSI XPONENTIAL 2019: All Things Unmanned, Chicago, IL, USA, 30 April–2 May 2019. [Google Scholar]












| Name of the Motion State | Linear Velocity and Angular Rate | Position and Euler Angle |
|---|---|---|
| Surge | ||
| Sway | ||
| Heave | ||
| Roll | ||
| Pitch | ||
| Yaw |
| Controller | (MSE) | (MSE) | ||
|---|---|---|---|---|
| STSMC | 0.00015 | 0.000195 | 1998.62 | 184.69 |
| ASMC | 0.00210 | 0.000208 | 1998.26 | 194.30 |
| Controller | (MSE) | (MSE) | ||
|---|---|---|---|---|
| STSMC | 0.00043 | 0.000209 | 1546.99 | 227.83 |
| ASMC | 0.0032 | 0.000214 | 1539.03 | 236.73 |
Disclaimer/Publisher’s Note: The statements, opinions and data contained in all publications are solely those of the individual author(s) and contributor(s) and not of MDPI and/or the editor(s). MDPI and/or the editor(s) disclaim responsibility for any injury to people or property resulting from any ideas, methods, instructions or products referred to in the content. |
© 2023 by the authors. Licensee MDPI, Basel, Switzerland. This article is an open access article distributed under the terms and conditions of the Creative Commons Attribution (CC BY) license (https://creativecommons.org/licenses/by/4.0/).
Share and Cite
Liu, W.; Ye, H.; Yang, X. Super-Twisting Sliding Mode Control for the Trajectory Tracking of Underactuated USVs with Disturbances. J. Mar. Sci. Eng. 2023, 11, 636. https://doi.org/10.3390/jmse11030636
Liu W, Ye H, Yang X. Super-Twisting Sliding Mode Control for the Trajectory Tracking of Underactuated USVs with Disturbances. Journal of Marine Science and Engineering. 2023; 11(3):636. https://doi.org/10.3390/jmse11030636
Chicago/Turabian StyleLiu, Wei, Hui Ye, and Xiaofei Yang. 2023. "Super-Twisting Sliding Mode Control for the Trajectory Tracking of Underactuated USVs with Disturbances" Journal of Marine Science and Engineering 11, no. 3: 636. https://doi.org/10.3390/jmse11030636
APA StyleLiu, W., Ye, H., & Yang, X. (2023). Super-Twisting Sliding Mode Control for the Trajectory Tracking of Underactuated USVs with Disturbances. Journal of Marine Science and Engineering, 11(3), 636. https://doi.org/10.3390/jmse11030636

