Energy, Exergy, and Economic (3E) Analysis of Boil-Off Gas Re-Liquefaction Systems Using LNG Cold Energy for LNG-Fueled Ships
Abstract
1. Introduction
2. System Description
2.1. Fuel Gas Supply System
2.2. BOG Re-Liquefaction System
3. System Modeling
3.1. System Simulation Conditions
3.2. Energy and Exergy Model
3.3. Economic Model
4. System Optimization
4.1. Optimization Method
4.2. Optimization Results
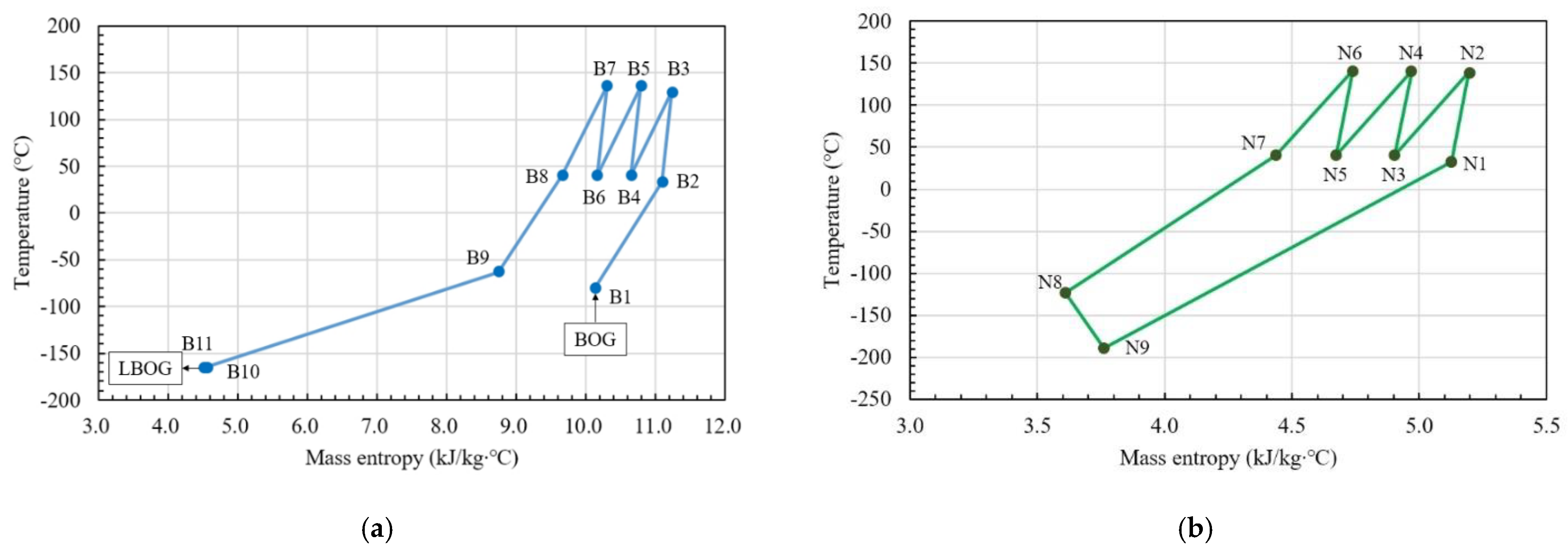
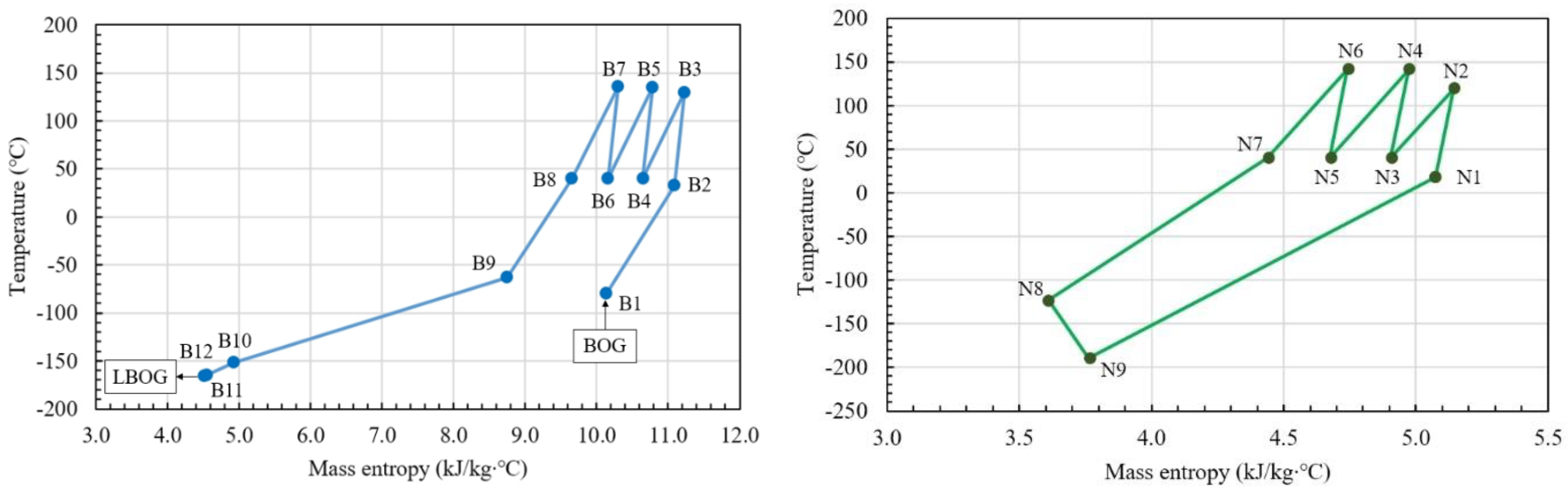
5. Analysis of Optimization Results
5.1. Energy Analysis
5.2. Exergy Analysis
5.3. Economic Analysis
6. Conclusions
Author Contributions
Funding
Institutional Review Board Statement
Informed Consent Statement
Data Availability Statement
Conflicts of Interest
Nomenclature
| Area | Heat transfer rate | ||
| Heat transfer area | Entropy | ||
| Exergy | Temperature | ||
| Specific exergy | Overall heat transfer coefficient | ||
| Enthalpy | Power | ||
| Horse Power | Logarithmic mean temperature difference | ||
| Mass flow rate | Pinch point temperature difference | ||
| Pressure | Superheat degree | ||
| Greeks | |||
| Efficiency | |||
| Subscripts | |||
| Reference state | Intercooler | ||
| Compressor | Inlet | ||
| Cold | Mixer | ||
| Destruction | Outlet | ||
| Expander | Preheater | ||
| Exergy | Separator | ||
| Hot | Splitter | ||
| Heat Exchanger | Valve | ||
| Abbreviations | |||
| 3E | Energy, Exergy, and Economic | ||
| ACI | Annual Capital Investment | ||
| BOG | Boil-Off Gas | ||
| BOR | Boil-Off Rate | ||
| DC | Direct Costs | ||
| DFDE | Dual-Fuel Diesel Electric | ||
| EOS | Equation of State | ||
| GA | Genetic Algorithm | ||
| HFO | Heavy Fuel Oil | ||
| HX | Heat Exchanger | ||
| IC | Indirect Costs | ||
| IMO | International Maritime Organization | ||
| LBOG | Liquefied Boil-Off Gas | ||
| LNG | Liquefied Natural Gas | ||
| MARPOL | International Convention for the Prevention of Pollution from Ships | ||
| MCHE | Main Cryogenic Heat Exchanger | ||
| OC | Operating Costs | ||
| PEC | Purchased Equipment Cost | ||
| PPTD | Pinch Point Temperature Difference | ||
| PR | Peng and Robinson Equation | ||
| SEC | Specific Energy Consumption | ||
| TAC | Total Annual Costs | ||
| TCI | Total Capital Investment | ||
References
- Vedachalam, S.; Baquerizo, N.; Dalai, A.K. Review on Impacts of Low Sulfur Regulations on Marine Fuels and Compliance Options. Fuel 2022, 310, 122243. [Google Scholar] [CrossRef]
- Deng, J.; Wang, X.; Wei, Z.; Wang, L.; Wang, C.; Chen, Z. A Review of NOx and SOx Emission Reduction Technologies for Marine Diesel Engines and the Potential Evaluation of Liquefied Natural Gas Fuelled Vessels. Sci. Total Environ. 2021, 766, 144319. [Google Scholar] [CrossRef] [PubMed]
- Lee, Y.-H. Study on Refrigeration and Power Generation System for LNG Fuelled Refrigerated Cargo Carrier Using LNG Cold Energy. Master’s Thesis, Korea Maritime & Ocean University, Busan, Korea, February 2019. [Google Scholar]
- Kwak, D.-H.; Heo, J.-H.; Park, S.-H.; Seo, S.-J.; Kim, J.-K. Energy-Efficient Design and Optimization of Boil-Off Gas (BOG) Re-Liquefaction Process for Liquefied Natural Gas (LNG)-Fuelled Ship. Energy 2018, 148, 915–929. [Google Scholar] [CrossRef]
- Seo, S.; Han, S.; Lee, S.; Chang, D. A Pump-Free Boosting System and Its Application to Liquefied Natural Gas Supply for Large Ships. Energy 2016, 105, 70–79. [Google Scholar] [CrossRef]
- Park, H.; Lee, S.; Jeong, J.; Chang, D. Design of the Compressor-Assisted LNG Fuel Gas Supply System. Energy 2018, 158, 1017–1027. [Google Scholar] [CrossRef]
- Tan, H.; Shan, S.; Nie, Y.; Zhao, Q. A New Boil-Off Gas Re-Liquefaction System for LNG Carriers Based on Dual Mixed Refrigerant Cycle. Cryogenics 2018, 92, 84–92. [Google Scholar] [CrossRef]
- Ryu, J.; Lee, C.; Seo, Y.; Kim, J.; Seo, S.; Chang, D. A Novel Boil-Off Gas Re-Liquefaction Using a Spray Recondenser for Liquefied Natural-Gas Bunkering Operations. Energies 2016, 9, 1004. [Google Scholar] [CrossRef]
- Moon, J.W.; Lee, Y.P.; Jin, Y.W.; Hong, E.S.; Chang, H.M. Cryogenic Refrigeration Cycle for Re-Liquefaction of LNG Boil-Off Gas. Cryocoolers 2007, 14, 629–635. Available online: https://cryocooler.org/resources/Documents/C14/079.pdf (accessed on 30 December 2022).
- Shin, Y.; Lee, Y.P. Design of a Boil-Off Natural Gas Reliquefaction Control System for LNG Carriers. Appl. Energy 2009, 86, 37–44. [Google Scholar] [CrossRef]
- Sayyaadi, H.; Babaelahi, M. Exergetic Optimization of a Refrigeration Cycle for Re-Liquefaction of LNG Boil-Off Gas. Int. J. Thermodyn. 2010, 13, 127–133. Available online: https://dergipark.org.tr/en/pub/ijot/issue/5778/76833 (accessed on 30 December 2022).
- Nekså, P.; Brendeng, E.; Drescher, M.; Norberg, B. Development and Analysis of a Natural Gas Reliquefaction Plant for Small Gas Carriers. J. Nat. Gas Sci. Eng. 2010, 2, 143–149. [Google Scholar] [CrossRef]
- Romero, J.; Orosa, J.A.; Oliveira, A.C. Research on the Brayton Cycle Design Conditions for Reliquefaction Cooling of LNG Boil Off. J. Mar. Sci. Technol. 2012, 17, 532–541. [Google Scholar] [CrossRef]
- Gómez, J.R.; Gómez, M.R.; Garcia, R.F.; Catoira, A.D.M. On Board LNG Reliquefaction Technology: A Comparative Study. Polish Marit. Res. 2014, 21, 77–88. [Google Scholar] [CrossRef]
- Kochunni, S.K.; Chowdhury, K. Comparison between Reverse Brayton and Kapitza Based LNG Boil-off Gas Reliquefaction System Using Exergy Analysis. In InIOP Conference Series: Materials Science and Engineering; IOP Publishing: Bristol, UK, 2017; Volume 171, p. 012009. Available online: https://iopscience.iop.org/article/10.1088/1757-899X/171/1/012009 (accessed on 30 December 2022).
- Gómez, J.R.; Gómez, M.R.; Bernal, J.L.; Insua, A.B. Analysis and Efficiency Enhancement of a Boil-off Gas Reliquefaction System with Cascade Cycle on Board LNG Carriers. Energy Convers. Manag. 2015, 94, 261–274. [Google Scholar] [CrossRef]
- Tan, H.; Zhao, Q.; Sun, N.; Li, Y. Enhancement of Energy Performance in a Boil-off Gas Re-Liquefaction System of LNG Carriers Using Ejectors. Energy Convers. Manag. 2016, 126, 875–888. [Google Scholar] [CrossRef]
- Kim, D.; Hwang, C.; Gundersen, T.; Lim, Y. Process Design and Economic Optimization of Boil-off-Gas Re-Liquefaction Systems for LNG Carriers. Energy 2019, 173, 1119–1129. [Google Scholar] [CrossRef]
- Yin, L.; Ju, Y.L. Comparison and Analysis of Two Nitrogen Expansion Cycles for BOG Re-Liquefaction Systems for Small LNG Ships. Energy 2019, 172, 769–776. [Google Scholar] [CrossRef]
- Yin, L.; Ju, Y. Conceptual Design and Analysis of a Novel Process for BOG Re-Liquefaction Combined with Absorption Refrigeration Cycle. Energy 2020, 205, 118008. [Google Scholar] [CrossRef]
- Cao, X.; Yang, J.; Zhang, Y.; Gao, S.; Bian, J. Process Optimization, Exergy and Economic Analysis of Boil-off Gas Re-Liquefaction Processes for LNG Carriers. Energy 2022, 242, 122947. [Google Scholar] [CrossRef]
- Son, H.; Kim, J.-K. Operability Study on Small-Scale BOG (Boil-off Gas) Re-Liquefaction Processes. Energy 2019, 185, 1263–1281. [Google Scholar] [CrossRef]
- Son, H.; Kim, J.-K. Energy-Efficient Process Design and Optimization of Dual-Expansion Systems for BOG (Boil-off Gas) Re-Liquefaction Process in LNG-Fueled Ship. Energy 2020, 203, 117823. [Google Scholar] [CrossRef]
- Son, H.; Kim, J.-K. Automated Process Design and Integration of Precooling for Energy-Efficient BOG (Boil-off Gas) Liquefaction Processes. Appl. Therm. Eng. 2020, 181, 116014. [Google Scholar] [CrossRef]
- Shen, J.; Yan, S.; Li, Z.; Xiao, Y.; Tan, N. Design and Analysis of Boil-Off Gas Reliquefaction Processes for the LNG-Fueled Ships. Appl. Therm. Eng. 2021, 199, 117505. [Google Scholar] [CrossRef]
- He, T.; Chong, Z.R.; Zheng, J.; Ju, Y.; Linga, P. LNG Cold Energy Utilization: Prospects and Challenges. Energy 2019, 170, 557–568. [Google Scholar] [CrossRef]
- Bian, J.; Yang, J.; Liu, Y.; Li, Y.; Cao, X. Analysis and Efficiency Enhancement for Energy-Saving Re-Liquefaction Processes of Boil-off Gas without External Refrigeration Cycle on LNG Carriers. Energy 2022, 239, 122082. [Google Scholar] [CrossRef]
- Yin, L.; Qi, M.; Ju, Y.; Moon, I. Advanced Design and Analysis of BOG Treatment Process in LNG Fueled Ship Combined with Cold Energy Utilization from LNG Gasification. Int. J. Refrig. 2022, 135, 231–242. [Google Scholar] [CrossRef]
- Lim, T.-W.; Choi, Y.-S. Thermal Design and Performance Evaluation of a Shell-and-Tube Heat Exchanger Using LNG Cold Energy in LNG Fuelled Ship. Appl. Therm. Eng. 2020, 171, 115120. [Google Scholar] [CrossRef]
- Lim, T.-W.; Choi, Y.-S.; Hwang, D.-H. Optimal Working Fluids and Economic Estimation for Both Double Stage Organic Rankine Cycle and Added Double Stage Organic Rankine Cycle Used for Waste Heat Recovery from Liquefied Natural Gas Fueled Ships. Energy Convers. Manag. 2021, 242, 114323. [Google Scholar] [CrossRef]
- AspenTech. HYSYS User’s Guide, Release V12.1; AspenTech: Bedford, MA, USA, 2021. [Google Scholar]
- Piña-Martinez, A.; Privat, R.; Jaubert, J.N. Use of 300,000 Pseudo-Experimental Data over 1800 Pure Fluids to Assess the Performance of Four Cubic Equations of State: SRK, PR, tc-RK, and tc-PR. AIChE J. 2022, 68, e17518. [Google Scholar] [CrossRef]
- Tian, Z.; Zeng, W.; Gu, B.; Zhang, Y.; Yuan, X. Energy, Exergy, and Economic (3E) Analysis of an Organic Rankine Cycle Using Zeotropic Mixtures Based on Marine Engine Waste Heat and LNG Cold Energy. Energy Convers. Manag. 2021, 228, 113657. [Google Scholar] [CrossRef]
- Lee, H.; Shao, Y.; Lee, S.; Roh, G.; Chun, K.; Kang, H. Analysis and Assessment of Partial Re-Liquefaction System for Liquefied Hydrogen Tankers Using Liquefied Natural Gas (LNG) and H2 Hybrid Propulsion. Int. J. Hydrog. Energy 2019, 44, 15056–15071. [Google Scholar] [CrossRef]
- Couper, J.R.; Penney, W.R.; Fair, J.R.; Walas, S.M. Chemical Process Equipment Selection and Design, 3rd ed.; Elsevier: Amsterdam, The Netherlands, 2012. [Google Scholar]
- Turton, R.; Shaeiwitz, J.A.; Bhattacharyya, D.; Whiting, W.B. Analysis, Synthesis and Design of Chemical Processes, 5th ed.; Prentice Hall: Hoboken, NJ, USA, 2018. [Google Scholar]
- Tesch, S.; Morosuk, T.; Tsatsaronis, G. Exergetic and Economic Evaluation of Safety-Related Concepts for the Regasification of LNG Integrated into Air Separation Processes. Energy 2017, 141, 2458–2469. [Google Scholar] [CrossRef]
- MathWorks. MATLAB User’s Guide, Release R2022a; MathWorks: Natick, MA, USA, 2022. [Google Scholar]














| LNG Tank Condition [4,25] | |||
| Unit | Values | ||
| LNG tank | m3 | 3000 | |
| Boil-off rate | %/day | 0.15 | |
| BOG condition [4,25] | |||
| Unit | Values | ||
| Inlet mass flow | kg/h | 83.3 (2 ton/day) | |
| Inlet pressure | kPa | 160.0 | |
| Inlet composition | Methane (C1) | mol% | 95.5 |
| Ethane (C2) | mol% | 1.0 | |
| Nitrogen (N2) | mol% | 3.5 | |
| Outlet temperature | °C | Saturated liquid condition | |
| Outlet pressure | kPa | 150.0 | |
| LNG Fuel condition [3] | |||
| Unit | Values | ||
| Inlet temperature | °C | −160 | |
| Inlet pressure | kPa | 701.3 (6 barg) | |
| Outlet temperature | °C | −80 | |
| Outlet pressure | kPa | 701.3 (6 barg) | |
| Components | Description | Unit | Values |
|---|---|---|---|
| Heat Exchanger | °C | 7 | |
| Preheater | Fluid temperature after preheater | °C | 0 |
| Intercooler | Fluid temperature after intercooler | °C | 40 |
| Compressor | Adiabatic efficiency | % | 75 |
| Expander | Isentropic efficiency | % | 80 |
| Category | Equations | Reference |
|---|---|---|
| Purchased equipment cost (PEC) | ||
| Compressor | Couper et al. [35] | |
| Expander | Couper et al. [35] | |
| Heat exchanger (Preheater, Intercooler) | Yin and Ju [20] | |
| Separator | Son and Kim [24] Turton et al. [36] | |
| Direct costs (DC) | ||
| Equipment installation | Tesch et al. [37] | |
| Piping | ||
| Electrical equipment and materials | ||
| Instrumentation and control | ||
| Indirect costs (IC) | ||
| Engineering and supervision | Tesch et al. [37] | |
| Construction costs and contractor’s profit | ||
| Total capital investment (TCI) | Cao et al. [21] | |
| Parameter | Values |
|---|---|
| Number of populations | 200 |
| Maximum number of iterations | 100 × Number of variables |
| Crossover Fraction | 0.8 |
| Function tolerance | 10−6 |
| Base Case | Case 1 | Case 2 | |||||||
|---|---|---|---|---|---|---|---|---|---|
| Streams | (°C) | (kPa) | (kg/h) | (°C) | (kPa) | (kg/h) | (°C) | (kPa) | (kg/h) |
| B1 | −80.0 | 113.0 | 83.3 | −80.0 | 113.0 | 83.3 | −80.0 | 113.0 | 83.3 |
| B2 | 33.0 | 113.0 | 83.3 | 33.0 | 113.0 | 83.3 | 33.0 | 113.0 | 83.3 |
| B3 | 140.3 | 332.1 | 83.3 | 135.7 | 317.7 | 83.3 | 135.7 | 317.7 | 83.3 |
| B4 | 40.0 | 332.1 | 83.3 | 40.0 | 317.7 | 83.3 | 40.0 | 317.7 | 83.3 |
| B5 | 130.0 | 815.1 | 83.3 | 132.3 | 797.2 | 83.3 | 132.3 | 797.9 | 83.3 |
| B6 | 40.0 | 815.1 | 83.3 | 40.0 | 797.2 | 83.3 | 40.0 | 797.9 | 83.3 |
| B7 | 130.4 | 2001.0 | 83.3 | 132.7 | 2000.5 | 83.3 | 132.7 | 2003.8 | 83.3 |
| B8 | 40.0 | 2001.0 | 83.3 | 40.0 | 2000.5 | 83.3 | 40.0 | 2003.8 | 83.3 |
| B9 | −63.1 | 2001.0 | 83.3 | −63.1 | 2000.5 | 83.3 | −63.1 | 2003.8 | 83.3 |
| B10 | −165.6 | 1991.0 | 83.3 | −151.5 | 2000.5 | 83.3 | −165.6 | 1993.8 | 83.3 |
| B11 | −164.9 | 150.0 | 83.3 | −165.6 | 1990.5 | 83.3 | −164.9 | 150.0 | 83.3 |
| B12 | - | - | - | −164.9 | 150.0 | 83.3 | - | - | - |
| L1 | - | - | - | −160.0 | 701.3 | 80.5 | −160.0 | 701.3 | 90.2 |
| L2 | - | - | - | −80.0 | 701.3 | 80.5 | −80.0 | 701.3 | 90.2 |
| Base Case | Case 1 | Case 2 | |||||||
|---|---|---|---|---|---|---|---|---|---|
| Streams | (°C) | (kPa) | (kg/h) | (°C) | (kPa) | (kg/h) | (°C) | (pKa) | (kg/h) |
| N1 | 33.0 | 473.5 | 1139.5 | 22.9 | 463.5 | 162.4 | 0.0 | 488.5 | 595.1 |
| N2 | 119.2 | 932.6 | 1139.5 | 97.9 | 855.8 | 162.4 | 70.4 | 907.9 | 595.1 |
| N3 | 40.0 | 932.6 | 1139.5 | 40.0 | 855.8 | 162.4 | 40.0 | 907.9 | 595.1 |
| N4 | 125.2 | 1798.6 | 1139.5 | 116.1 | 1546.8 | 162.4 | 117.2 | 1653.5 | 595.1 |
| N5 | 40.0 | 1798.6 | 1139.5 | 40.0 | 1546.8 | 162.4 | 40.0 | 1653.5 | 595.1 |
| N6 | 125.2 | 3468.8 | 1139.5 | 116.1 | 2795.6 | 162.4 | 117.2 | 3011.3 | 595.1 |
| N7 | 40.0 | 3468.8 | 1139.5 | 40.0 | 2795.6 | 162.4 | 40.0 | 3011.3 | 595.1 |
| N8 | −104.7 | 3458.8 | 1139.5 | −128.7 | 2785.6 | 162.4 | 40.0 | 3011.3 | 347.2 |
| N9 | −172.6 | 483.5 | 1139.5 | −179.8 | 473.5 | 162.4 | −101.8 | 3001.3 | 347.2 |
| N10 | - | - | - | - | - | - | 40.0 | 3011.3 | 247.9 |
| N11 | - | - | - | - | - | - | −145.0 | 3011.3 | 247.9 |
| N12 | - | - | - | - | - | - | −123.1 | 3001.3 | 595.1 |
| N13 | - | - | - | - | - | - | −179.2 | 498.5 | 595.1 |
| N14 | - | - | - | - | - | - | −6.2 | 488.5 | 595.1 |
| Kwak et al. [4] | Shen et al. [25] | ||||||
|---|---|---|---|---|---|---|---|
| Parameters | Unit | Reference | This Study | Error Rate | Reference | This Study | Error Rate |
| kW | 117.5 | 117.6 | 0.1% | 92.8 | 92.6 | 0.2% | |
| kWh/kgLBOG | 1.41 | 1.41 | 0.0% | 1.11 | 1.11 | 0.0% | |
| % | 19.66 | 19.64 | 0.1% | 24.88 | 24.94 | 0.2% | |
| Components | Unit | Base Case | Case 1 | Case 2 |
|---|---|---|---|---|
| kW | 5.8 | 5.5 | 5.5 | |
| kW | 4.8 | 4.9 | 4.9 | |
| kW | 4.7 | 4.9 | 4.9 | |
| kW | 5.4 | 5.2 | 5.2 | |
| kW | 4.9 | 5.0 | 5.0 | |
| kW | 5.0 | 5.1 | 5.2 | |
| kW | 28.6 | 3.5 | 12.1 | |
| kW | 28.3 | 3.6 | 13.4 | |
| kW | 28.3 | 3.6 | 13.4 | |
| kW | 15.5 | 1.7 | 6.4 | |
| kW | - | - | 1.1 | |
| kW | 26.7 | 2.8 | 5.3 | |
| kW | 29.0 | 3.7 | 13.7 | |
| kW | 29.5 | 3.7 | 13.9 | |
| kW | 68.7 | 10.0 | 31.0 | |
| kW | 5.5 | 5.5 | 5.5 | |
| kW | - | 14.3 | 16.0 | |
| kW | - | - | 0 | |
| kW | - | - | 0 |
Disclaimer/Publisher’s Note: The statements, opinions and data contained in all publications are solely those of the individual author(s) and contributor(s) and not of MDPI and/or the editor(s). MDPI and/or the editor(s) disclaim responsibility for any injury to people or property resulting from any ideas, methods, instructions or products referred to in the content. |
© 2023 by the authors. Licensee MDPI, Basel, Switzerland. This article is an open access article distributed under the terms and conditions of the Creative Commons Attribution (CC BY) license (https://creativecommons.org/licenses/by/4.0/).
Share and Cite
Kim, J.-S.; Kim, D.-Y. Energy, Exergy, and Economic (3E) Analysis of Boil-Off Gas Re-Liquefaction Systems Using LNG Cold Energy for LNG-Fueled Ships. J. Mar. Sci. Eng. 2023, 11, 587. https://doi.org/10.3390/jmse11030587
Kim J-S, Kim D-Y. Energy, Exergy, and Economic (3E) Analysis of Boil-Off Gas Re-Liquefaction Systems Using LNG Cold Energy for LNG-Fueled Ships. Journal of Marine Science and Engineering. 2023; 11(3):587. https://doi.org/10.3390/jmse11030587
Chicago/Turabian StyleKim, Jun-Seong, and Do-Yeop Kim. 2023. "Energy, Exergy, and Economic (3E) Analysis of Boil-Off Gas Re-Liquefaction Systems Using LNG Cold Energy for LNG-Fueled Ships" Journal of Marine Science and Engineering 11, no. 3: 587. https://doi.org/10.3390/jmse11030587
APA StyleKim, J.-S., & Kim, D.-Y. (2023). Energy, Exergy, and Economic (3E) Analysis of Boil-Off Gas Re-Liquefaction Systems Using LNG Cold Energy for LNG-Fueled Ships. Journal of Marine Science and Engineering, 11(3), 587. https://doi.org/10.3390/jmse11030587

