Smooth Sliding Mode Control for Path Following of Underactuated Surface Vehicles Based on LOS Guidance
Abstract
:1. Introduction
- (1)
- In the kinematic task, FPLOS is introduced to calculate the desired heading angle with sideslip angle compensation. Compared to the traditional LOS guidance law, the FPLOS can improve the performance of path-following control of USVs under the unknown ocean currents. The finite-time sideslip angle observer can make estimation error of sideslip angle convergent to zeros in finite time and speed up the convergence process.
- (2)
- In the kinetic task, a novel smooth second-order control law is proposed to satisfy the existence condition of the sliding mode. For the disturbance in sliding mode, FTESO is applied to estimate and compensate for it instead of using a strong discontinuous control signal, which will cause a strong chattering phenomenon.
2. Problem Formulation and Preliminaries
2.1. USV Model
2.1.1. USV Model
2.1.2. Propeller Model
2.2. Path-Following Problem
- (1)
- Geometric Task: Force the vehicle position to converge to a desired path by appropriate LOS guidance and path parameter update law. The LOS guidance law produces a desired heading angle.
- (2)
- Dynamic Task: Force the vehicle to track the desired heading angle and desired forward speed by appropriate dynamic controller.
2.3. Preliminaries
3. Guidance System Design
3.1. Sideslip Angle Observer
3.2. LOS Guidance Law
4. Control System Design
4.1. Heading Controller Design
4.2. Surge Controller Design
5. Stability Analysis
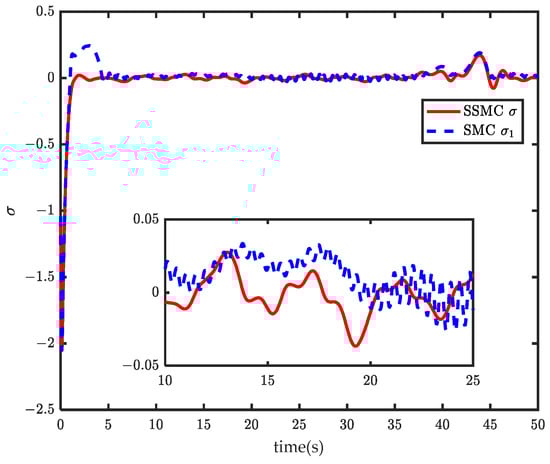
6. Numerical Simulations
7. Conclusions
Author Contributions
Funding
Institutional Review Board Statement
Informed Consent Statement
Data Availability Statement
Conflicts of Interest
References
- Sonnenburg, C.R.; Woolsey, C.A. Modeling, Identification, and Control of an Unmanned Surface Vehicle. J. Field Robot 2013, 30, 371–398. [Google Scholar] [CrossRef]
- Wang, N.; Sun, Z.; Yin, J.C. Fuzzy unknown observer-based robust adaptive path following control of underactuated surface vehicles subject to multiple unknowns. Ocean Eng. 2019, 176, 57–64. [Google Scholar] [CrossRef]
- Bibuli, M.; Bruzzone, G.; Caccia, M. Path-Following Algorithms and Experiments for an Unmanned Surface Vehicle. J. Field Robot 2009, 26, 669–688. [Google Scholar] [CrossRef]
- Fossen, T.I.; Breivik, M.; Skjetne, R. Line-of-sight path following of underactuated marine craft. IFAC Proc. Vol. 2003, 36, 211–216. [Google Scholar] [CrossRef]
- Li, C.; Jiang, J.; Duan, F.; Liu, W. Modeling and Experimental Testing of an Unmanned Surface Vehicle with Rudderless Double Thrusters. Sensors 2019, 19, 2051. [Google Scholar] [CrossRef] [PubMed]
- Hac, A.; Simpson, M.D. Estimation of vehicle side slip angle and yaw rate. In Proceedings of the SAE 2000 World Congress, Detroit, MI, USA, 6–9 March 2000. [Google Scholar]
- Borhaug, E.; Pavlov, A.; Pettersen, K.Y. Integral LOS control for path following of underactuated marine surface vessels in the presence of constant ocean currents. In Proceedings of the 47th IEEE Conference on Decision and Control, Cancun, Mexico, 9–11 December 2008. [Google Scholar]
- Fossen, T.I.; Pettersen, K.Y.; Galeazzi, R. Line-of-Sight Path Following for Dubins Paths with Adaptive Sideslip Compensation of Drift Forces. IEEE Trans. Control Syst. Technol. 2015, 23, 820–827. [Google Scholar] [CrossRef]
- Caharija, W. Integral Line-of-Sight Guidance and Control of Underactuated Marine Vehicles: Theory, Simulations, and Experiments. IEEE Trans. Control Syst. Technol. 2016, 24, 1623–1642. [Google Scholar] [CrossRef]
- Liu, T.; Dong, Z.P.; Du, H.W.; Song, L.F.; Mao, Y.S. Path Following Control of the Underactuated USV Based on the Improved Line-of-Sight Guidance Algorithm. Pol. Marit. Res. 2017, 24, 3–11. [Google Scholar] [CrossRef]
- Mu, D.; Wang, G.; Fan, Y.; Sun, X.; Qiu, B. Adaptive LOS Path Following for a Podded Propulsion Unmanned Surface Vehicle with Uncertainty of Model and Actuator Saturation. Appl. Sci. 2017, 7, 1232. [Google Scholar] [CrossRef]
- Su, Y.X.; Wan, L.L.; Zhang, D.H.; Huang, F.R. An improved adaptive integral line-of-sight guidance law for unmanned surface vehicles with uncertainties. Appl. Ocean Res. 2021, 108, 102488. [Google Scholar] [CrossRef]
- Liu, L.; Wang, D.; Peng, Z.H.; Wang, H. Predictor-based LOS guidance law for path following of underactuated marine surface vehicles with sideslip compensation. Ocean Eng. 2016, 124, 340–348. [Google Scholar] [CrossRef]
- Xia, G.Q.; Wang, X.W.; Zhao, B. LOS Guidance Law for Path Following of USV based on Sideslip Observer. In Proceedings of the 2019 Chinese Automation Congress, Hangzhou, China, 22–24 November 2019. [Google Scholar]
- Wang, N.; Sun, Z.; Yin, J.; Su, S.F.; Sharma, S. Finite-Time Observer Based Guidance and Control of Underactuated Surface Vehicles with Unknown Sideslip Angles and Disturbances. IEEE Access 2018, 6, 14059–14070. [Google Scholar] [CrossRef]
- Yu, Y.; Guo, C.; Yu, H. Finite-Time PLOS-Based Integral Sliding-Mode Adaptive Neural Path Following for Unmanned Surface Vessels with Unknown Dynamics and Disturbances. IEEE Trans. Autom. Sci. Eng. 2019, 4, 1500–1511. [Google Scholar] [CrossRef]
- Qu, X.R.; Liang, X.; Hou, Y.H.; Li, Y.; Zhang, R.B. Finite-time sideslip observer-based synchronized path-following control of multiple unmanned underwater vehicles. Ocean Eng. 2020, 217, 107941. [Google Scholar] [CrossRef]
- Yu, Y.; Guo, C.; Li, T. Finite-Time LOS Path Following of Unmanned Surface Vessels with Time-Varying Sideslip Angles and Input Saturation. IEEE-ASME Trans. Mech. 2022, 27, 463–474. [Google Scholar]
- Wang, S.D.; Sun, M.W.; Liu, J. Fixed-Time Predictor-Based Path Following Control of Unmanned. Surf. Veh. Control. Theory Appl. 2022, 39, 1845–1853. [Google Scholar]
- Fossen, S.; Fossen, T.I. Five-State Extended Kalman Filter for Estimation of Speed over Ground (SOG), Course over Ground (COG) and Course Rate of Unmanned Surface Vehicles (USVs): Experimental Results. Sensors 2021, 21, 7910. [Google Scholar] [CrossRef]
- Fossen, T.I. Line-of-sight path-following control utilizing an extended Kalman filter for estimation of speed and course over ground from GNSS positions. J. Mar. Sci. Technol. 2022, 27, 806–813. [Google Scholar] [CrossRef]
- Xia, G.; Chu, H.; Shao, Y.; Xia, B. DSC and LADRC Path Following Control for Dynamic Positioning Ships at High Speed. In Proceedings of the 2019 IEEE International Conference on Mechatronics and Automation (ICMA), Tianjin, China, 4–7 August 2019. [Google Scholar]
- Chao, B.; Chang, X.; Liang, C.; Han, X. An Improved Model Predictive Control for Path-Following of USV Based on Global Course Constraint and Event-Triggered Mechanism. IEEE Access 2021, 9, 79725–79734. [Google Scholar]
- Liu, Z.; Geng, C.; Zhang, J. Model predictive controller design with disturbance observer for path following of unmanned surface vessel. In Proceedings of the IEEE International Conference on Mechatronics and Automation, Takamatsu, Japan, 6–9 August 2017. [Google Scholar]
- Woo, J.; Yu, C.; Kim, N. Deep reinforcement learning-based controller for path following of an unmanned surface vehicle. Ocean Eng. 2019, 183, 155–166. [Google Scholar] [CrossRef]
- Gonzalez-Garcia, A.; Castañeda, H.; Garrido, L. USV Path-Following Control Based on Deep Reinforcement Learning and Adaptive Control. In Proceedings of the Global Oceans 2020: Singapore—U.S. Gulf Coast, Biloxi, MS, USA, 5–30 October 2020. [Google Scholar]
- Gonzalez-Garcia, A.; Castañeda, H. Guidance and Control Based on Adaptive Sliding Mode Strategy for a USV Subject to Uncertainties. IEEE J. Ocean. Eng. 2021, 46, 1144–1154. [Google Scholar] [CrossRef]
- Yu, Y.; Guo, C.; Shen, H.; Zhang, C. Sliding-mode Dynamic Surface Adaptive Path-following of Unmanned Vessels with Dynamic Uncertainties and Disturbances. In Proceedings of the 2018 13th World Congress on Intelligent Control and Automation (WCICA), Changsha, China, 4–8 July 2018. [Google Scholar]
- Chen, Z.; Zhang, Y.; Nie, Y.; Tang, J.; Zhu, S. Disturbance-Observer-Based Sliding Mode Control Design for Nonlinear Unmanned Surface Vessel with Uncertainties. IEEE Access 2019, 7, 148522–148530. [Google Scholar] [CrossRef]
- Šabanovic, A. Variable Structure Systems with Sliding Modes in Motion Control—A Survey. IEEE Trans. Ind. Inform. 2011, 7, 212–223. [Google Scholar] [CrossRef]
- Nie, J.; Wang, H.X.; Lu, X.; Lin, X.G.; Shen, C.Y.; Zhang, Z.G.; Song, S.B. Finite-time output feedback path following control of underactuated MSV based on FTESO. Ocean Eng. 2021, 224, 108660. [Google Scholar] [CrossRef]
- Chu, R.T.; Liu, Z.Q. Ship course sliding mode control system based on FTESO and sideslip angle compensation. Chin. J. Ship Res. 2022, 17, 71–79. [Google Scholar]
- Fossen, T.I. Handbook of Marine Craft Hydrodynamics and Motion Control, 2nd ed.; John Wiley & Sons: Hoboken, NJ, USA, 2011; pp. 133–183. [Google Scholar]
- Belleter, D.; Maghenem, M.A.; Paliotta, C.; Pettersen, K.Y. Observer based path following for underactuated marine vessels in the presence of ocean currents: A global approach. Automatica 2019, 100, 12. [Google Scholar] [CrossRef]
- Skjetne, R.; Fossen, T.I.; Kokotović, P. Output Maneuvering for a Class of Nonlinear Systems. IFAC Proc. Vol. 2002, 35, 501–506. [Google Scholar] [CrossRef]
- Hardy, G.H.; Littlewood, J.E.; Pólya, G. Inequalities; Cambridge University Press: Cambridge, UK, 1988. [Google Scholar]
- Bhaty, S.P.; Bernstein, D.S. Finite-time stability of continuous autonomous systems. SIAM J. Control Optim. 2000, 38, 751–766. [Google Scholar] [CrossRef]
- Bhat, S.P.; Bernstein, D.S. Finite-Time Stability of Homogeneous Systems. In Proceedings of the American Control Conference, Albuquerque, NM, USA, 6 June 1997. [Google Scholar]
- Shen, Y.J.; Xia, X.H. Semi-global finite-time observers for nonlinear systems. Automatica 2008, 44, 3152–3156. [Google Scholar] [CrossRef]
- Maritime Robotics AS. 2021. Available online: https://www.maritimerobotics.com (accessed on 25 October 2021).
- Fossen, T.I.; Perez, T. Marine Systems Simulator (MSS). 2014. Available online: http://github.com/cybergalactic/MSS (accessed on 25 October 2021).









| Control Strategies | Parameters |
|---|---|
| SSMC | , , , , , , |
| , , , , | |
| PID | , , , |
| , | |
| SMC | , , |
| Parameters |
|---|
| , , , , , , , , , , , , , , , , , , |
| Parameters |
|---|
| , , , . , |
Disclaimer/Publisher’s Note: The statements, opinions and data contained in all publications are solely those of the individual author(s) and contributor(s) and not of MDPI and/or the editor(s). MDPI and/or the editor(s) disclaim responsibility for any injury to people or property resulting from any ideas, methods, instructions or products referred to in the content. |
© 2023 by the authors. Licensee MDPI, Basel, Switzerland. This article is an open access article distributed under the terms and conditions of the Creative Commons Attribution (CC BY) license (https://creativecommons.org/licenses/by/4.0/).
Share and Cite
Wang, Y.; Qu, Y.; Zhao, S.; Cajo, R.; Fu, H. Smooth Sliding Mode Control for Path Following of Underactuated Surface Vehicles Based on LOS Guidance. J. Mar. Sci. Eng. 2023, 11, 2214. https://doi.org/10.3390/jmse11122214
Wang Y, Qu Y, Zhao S, Cajo R, Fu H. Smooth Sliding Mode Control for Path Following of Underactuated Surface Vehicles Based on LOS Guidance. Journal of Marine Science and Engineering. 2023; 11(12):2214. https://doi.org/10.3390/jmse11122214
Chicago/Turabian StyleWang, Yuchao, Yinsong Qu, Shiquan Zhao, Ricardo Cajo, and Huixuan Fu. 2023. "Smooth Sliding Mode Control for Path Following of Underactuated Surface Vehicles Based on LOS Guidance" Journal of Marine Science and Engineering 11, no. 12: 2214. https://doi.org/10.3390/jmse11122214
APA StyleWang, Y., Qu, Y., Zhao, S., Cajo, R., & Fu, H. (2023). Smooth Sliding Mode Control for Path Following of Underactuated Surface Vehicles Based on LOS Guidance. Journal of Marine Science and Engineering, 11(12), 2214. https://doi.org/10.3390/jmse11122214

