Next Article in Journal
Ballast Water Management in Ports: Monitoring, Early Warning and Response Measures to Prevent Biodiversity Loss and Risks to Human Health
Previous Article in Journal
Full Operating Range Optimization Design Method of LLC Resonant Converter in Marine DC Power Supply System
 
 
Font Type:
Arial Georgia Verdana
Font Size:
Aa Aa Aa
Line Spacing:
Column Width:
Background:
Article

Numerical Investigation on Hydrodynamic Characteristics and Drag Influence of an Open-Frame Remotely Operated Underwater Vehicle

1
School of Mechanical Engineering and Automation, Harbin Institute of Technology, Shenzhen 518055, China
2
China Offshore Fugro Geosolutions (Shenzhen) Co., Ltd., Shenzhen 518054, China
*
Author to whom correspondence should be addressed.
J. Mar. Sci. Eng. 2023, 11(11), 2143; https://doi.org/10.3390/jmse11112143
Submission received: 11 October 2023 / Revised: 4 November 2023 / Accepted: 5 November 2023 / Published: 9 November 2023
(This article belongs to the Section Ocean Engineering)

Abstract

:
Remotely operated underwater vehicles (ROVs) have been widely used in deep-sea resource exploitation and industrial engineering operations. To perform these tasks accurately in the deep-sea environment, stable motion control has become a key area of research on ROV systems, which has led to the importance of analyzing the hydrodynamic characteristic of ROVs. But a systematic methodology for analyzing the hydrodynamic characteristics of ROVs is still lacking nowadays. In this paper, systematic numerical simulation methods for analyzing hydrodynamic characteristics and shape optimization of a work-class ROV are conducted, and details of simulation procedures based on computational fluid dynamics are studied, which can be a foundation for robust controller design.

1. Introduction

In recent years, with the exploration of offshore oil and gas resources continuously expanding into deep-sea areas [1,2], remotely operated underwater vehicles (ROVs) have become increasingly favored by companies and organizations engaged in offshore oil and gas industries due to their advantages of low economic cost, high work efficiency, and the ability to perform long-duration operations in deep, complex, and hazardous underwater environments [3,4,5,6]. ROVs are now intensively applied in various fields such as the sea oil industry for the purpose of infrastructure installation, device maintenance and repair, and pipeline inspection, etc. [7,8,9]. In science research activities, many researchers [10,11,12,13,14,15] have also used ROVs to accomplish inspection and sampling tasks like scanning seabed geomorphy and submarine biosampling in the deep-sea environment.
To perform these task precisely and in a less time-consuming way at the same time, ROV systems need to be able to stably perform their motions such as surge, sway, and yaw. The hydrodynamic performance and stability of ROVs are closely related, and they are key technical factors in the design and optimization process of a ROV system.
For underwater vehicles, there are different methods for analyzing hydrodynamic characteristics and conducting the related coefficients in their hydrodynamic models. Unlike autonomous underwater vehicles and submarines, which have watertight hull structures and relatively simple streamlined body shapes, ROVs usually have more complex open-frame geometric structures and lower operational speeds. The complex open-frame structures and the various auxiliary devices, such as robot arms, sensors, and tools, mounted on them, can greatly influence the hydrodynamic characteristics of ROVs. Moreover, the mechanical structure of different types of open-frame ROVs can also be significantly different. These features make the analysis of the hydrodynamic performance of open-frame ROVs using empirical formulas challenging. In addition, due to the relatively low operational speeds and more flexible and varied control methods of open-frame ROVs, the proportion of viscous, nonlinear, and coupling terms in the hydrodynamic forces acting on the ROV are also non-ignorable [16], which can further increase the difficulty in analyzing the hydrodynamic characteristics of ROVs.
The method of physical model experimentation requires a significant amount of labor and time and has certain limitations as it is difficult to fully simulate the underwater conditions and environment during actual operation. Currently, most of the operating conditions in test tanks can be simulated using computational fluid dynamics (CFD) software. Although ROVs have complex shapes and numerous appendages, with the continuous maturation of CFD theory and advancements in computer performance, CFD softwares have recently gained stronger simulation capabilities for the hydrodynamic performance of ROVs.
In the study by Jagadeesh et al. [17], three turbulent models, k ϵ RNG, k ϵ Realizable (high-Re), and k ϵ AKN (low-Re), were examined to study their performance concurrently. They utilized the VOF method to evaluate how the presence of a free surface affects the hydrodynamic coefficients of an underwater vehicle.
Katsui et al. [18] employed numerical simulations to investigate the flow around a crawler-driven ROV operating on the seafloor. They utilized an open-source CFD code based on OpenFOAM to evaluate the characteristics of hydrodynamic forces acting on the ROV. In a separate study, Liu et al. [19] based their design of the structure and system frame type of an ROV on the successful experience of a large-scale work-class ROV. They also conducted dynamic analysis simulations to study the propeller layout of the ROV. In 2015, Yang et al. [20] proposed a cost-efficient CFD software solution to predict the added mass matrix and damping matrix of their ROV. They built a 4-DOF model for the CISCREA ROV using simulation results and validated the outcomes through physical experiments. Ramirez et al. [21] tackled the steady and unsteady Navier–Stokes equations for single-phase turbulent incompressible flow using the ReFRESCO viscous flow solver from the Maritime Research Institute Netherlands. They employed a detailed geometry of their ROV in their analysis.
Regarding the hydrodynamic analysis of combining a robot frame and thrusters, Zhang et al. [22] utilized a volume force model to simulate the interaction between the propeller and the ROV. They solved for the forces acting on the ROV when equipped with two or four screw propellers, considering horizontal and vertical motion, as well as propeller thrust and shaft torque. Li et al. [23] introduced a numerical model within the OpenFOAM open-source platform to simulate the hydrodynamics of the BlueRov2 ROV in four degrees of freedom. They validated their numerical prediction methodologies through systematic simulations that subjected the ROV to disturbances caused by various flow conditions. In their investigation of simplifying the open-frame robot model, Zarei et al. [24] created rectangular cubic models with fillet and sharp edges for comparative study. They evaluated the hydrodynamic performance of a specific ROV model using numerical and experimental simulations at different Reynolds numbers ranging from 39,291 to 157,163, as well as various angles of attack from 0 to 45 degrees. Dai et al. [25] conducted numerical analysis on a deep-sea mining vehicle to study the hydrodynamic distributions and changes in hydrodynamic coefficients. Their study provides an important reference for structure optimization and the development of control systems for mining vehicles. In another study, Wu et al. [26] numerically investigated the dynamics of an underwater towed system consisting of an unmanned surface vehicle (USV), a towing cable, and a towed vehicle under different operation modes using a new hydrodynamic model. Also in the same year, Yang et al. [27], who were part of the same team, studied the dynamic response of an underwater towed system in ship propeller wakes using a new fully coupled three-dimensional hydrodynamic model.
Recently, ROVs with TMS have increasingly been applied to autonomous tasks in the range of their TMS cable, such as pipeline inspection and seabed sampling. These tasks require steady hovering and motions. But the traditional ROV shape design did not consider hydrodynamic influences, which leads to the high possibility of introducing unsteadiness in its motion. Thus, the shape optimization is also a field worth studying for work-class ROVs.
For ROVs, in order to carry out related operations in the deep sea, it is necessary to improve the structural stability of the vehicle itself to resist the interference and impact of ocean currents, eddies, and other factors, which is the basis for ensuring that the vehicle can complete its work normally in the deep sea [28]. To achieve this goal, a reasonable design of the ROV’s shape is needed to be made, and the hydrodynamic components of the main body and appendages should be designed to provide good dynamic stability. For the design of the vehicle’s shape, not only good structural stability, but also stable hydrodynamic performance are needed to be maintained. Only when both are achieved can it be considered a good design scheme. At the same time, the vehicle needs to consider the requirements for endurance, as well as the working conditions and objectives in practical operations [29]. Therefore, the optimization of the ROV’s shape is the basis of and a critical step in the entire vehicle design.
The main approach to improve the hydrodynamic performance of ROVs is to improve the flow field around the vehicle. Eddies and unstable flow fields can weaken the hydrodynamic performance of the ROV. Modifying the appearance of the vehicle while maintaining its basic stability is the optimal way. With the rapid development of computer simulation, optimization analysis of underwater vehicles has been widely practiced. The iterative design concept of combining ROV analysis with CFD simulation has also been widely used in ROV design [30]. For the optimization of ROVs’ hydrodynamic performance, a typical method in production design can be used, which is to design a benchmark model, modify the benchmark parameters, simulate, and modify the benchmark parameters again [31]. In the optimization process, continuous iteration, modifying the design, and re-simulating can be used to obtain the optimal optimization results.
This study focuses on utilizing CFD methods to analyze the hydrodynamic performance and solve hydrodynamic parameters of complex-shaped ROV models. Applicable methods for hydrodynamic analysis of complex-shaped underwater vehicles are organized, and potential sources of computational errors are investigated. Finally, using the analytical methods from the experiments, preliminary investigations are conducted on the optimization of ROV shapes to reduce drag.
The remainder of this paper is organized as follows. The mechanical design and mathematical modeling, including coordinate systems and dynamics description of the ROV, are presented in Section 2. In this section, the basics of the theory and the specific preparation including model simplification, mesh generation, and parameter settings of the numerical simulation of the ROV model are also elaborated. Section 3 shows the detailed results of the steady motion simulations of the ROV model. Including contours from the simulations and the hydrodynamic coefficients, which are conducted from the simulations. To further demonstrate the importance of the hydrodynamic simulations of open-frame underwater vehicles, in Section 4, experimental shape optimization analysis of the ROV model is conducted. In the end, the conclusion of this paper is shown in Section 6.

2. Numerical Methods

2.1. Geometry and Parameters of the ROV Model

The ROV model in this study is a simplified model of a work-class ROV with TMS, which operates at depths up to 1000 m from our cooperative corporation. The ROV model and its simplified model for hydrodynamic performance analysis in this study will be described in this chapter. The 3D structure of ROV-1000 is shown in Figure 1, and its size parameters and other information are shown in Table 1.
To study the dynamics of the ROV, the key is to obtain precise mathematical models. The parameters that compose the model will directly reflect the dynamic characteristic of the ROV. A widely applied equation of motion for underwater vehicles is based on the the research result from Fossen [32]. The first step in determining the dynamic equation of motion is to define the notations of different motions of ROV. The most widely used method is the SNAME 1950 notation [33], which is shown in Table 2.
When analysing the 6 DOF motions of a ROV, it is convenient to define two coordinate systems: an earth-fixed (NED) system and a body-fixed (BODY) coordinate system [34].
The NED coordinate system remains fixed relative to the Earth. Typically, it is established as a tangent plane on the Earth’s surface that moves along with the ROV. However, its axes differ from the body-fixed axes of the vehicle, as described by Egeskov et al. [35] in their design reference. For slow-moving ocean vehicles, the motion of the earth has little effect on the vehicles themselves. Hence, the earth-fixed coordinate system can be considered to be inertial. This again means that Newton’s laws still apply.
The BODY system is a moving reference frame that is fixed to the body of the vehicle [35]. Usually the x-axis is longitudinal, y-axis transverse, and z-axis vertical. The origin of the coordinate system can be set to a point of the body that simplifies the calculations. For surface ships, this is usually midships at the waterline. In Figure 2, the body-fixed coordinate system is defined at the center-top side of the underwater vehicle.
Based on the SNAME notation mentioned at the beginning of this section, the general motion of the ROV in 6 DOFs can be described by the vectors from Table 3.
Work-class ROVs mostly have open-frame structures with solid buoyancy blocks on the upper side. Figure 3 shows the cross-section views in three directions. From these cross-section views, detailed structures and cavities inside the ROV structure can be analyzed for simplifying the geometry for CFD meshing and also shape optimization. As Figure 3b shows, for work-class ROVs, there are many devices and loads under the buoyancy block, which can introduce complex flows and vortexes that greatly influence the hydrodynamics of the ROVs.
Figure 4 shows the geometry and optimization parameters of the ROV and its buoyancy block. In the X-axis direction, the buoyancy block is divided into three sections, head, mid-body, and tail, which can correspond to the body design of a torpedo-shape AUV, respectively, due to the similar hydrodynamic characteristics of each part. In the head of the buoyancy block, two parameters are designed to describe the optimized geometry. The parameters will be specified in Section 5.

2.2. Dynamics of the ROV

To analyze the main characteristics of the dynamics of the ROV, certain assumptions need to be made. Considering that the ROV-1000 is a ROV model with TMS, then the effects from an umbilical cable can be not taken into account. Also, based on the assumption of the low-speed working state and deep-sea environment of the ROV, the effects from the surface waves and seabed, as well as strong tidal currents and internal waves, affecting mainly sea straits [36,37], are not considered.
Based on these assumptions, and the principles of rigid body motion and the theorem of inertia, the basic ROV dynamic model can be formulated as
M R B V ˙ + C R B ( V ) V = F
The mass matrix M R B represents the mass distribution characteristics of a ROV. Meanwhile, the matrix C R B captures the Coriolis and centrifugal forces exerted on the ROV, which are velocity-dependent, and satisfies the relationship C R B ( V ) = C R B T ( V ) . The force F denotes the resultant force and moment acting on the ROV. Considering that the center of mass of the ROV coincides with the origin of the COE, and the principal axes of the ROV align with the COB axes, then the dynamic equation with expansion of the mass matrix and Coriolis force and centripetal moment matrix can be simplified as
m I 3 × 3 0 3 × 3 0 3 × 3 I g V ˙ + m S ( V 2 ) 0 3 × 3 0 3 × 3 S ( I g V 2 ) V = F
The general equation of motion of the ROV can be obtained by substituting and further expanding the above equation.
X = m ( u ˙ v r + w q ) Y = m ( v ˙ + u r w p ) Z = m ( w ˙ u q + v p ) K = I x p ˙ + ( I z I y ) q r M = I y q ˙ + ( I x I z ) p r N = I z r ˙ + ( I y I x ) p q

2.3. Model Simplification

Prior to the hydrodynamic simulation calculations of the ROV model, simplification work was carried out on the positions of profiles, thrusters, fixtures, cable system interfaces, etc., based on the literature and previous experience in model handling during simulation calculations. This simplification aimed to minimize the impact of the overall model on the simulation calculations. As a result, some parts of the original ROV model, shown in Figure 5a, were subtracted from the domain model to facilitate the meshing process before calculations. The model underwent a total of 11 iterations of modifications and validations, and the simplified status of each part is shown in Figure 5b.

2.4. Governing Equations

Three conservation equations, which are the momentum, mass, and energy conservation equations, are used to study fluid flow and heat transfer in the research. Since the study of deep-sea submersibles does not involve energy considerations, the energy conservation equation is not considered. The momentum conservation equation, also known as the Navier–Stokes (N-S) equation, describes the conservation of momentum in viscous, incompressible fluids and is mainly derived from Newton’s second law. It can be generally interpreted as the time rate of change of momentum of a fluid element is equal to the sum of the forces acting on it. The expression of the momentum conservation equation in Cartesian coordinates is given by the following equation:
By adopting the CFD method in the simulation of the hydrodynamic characteristics of the ROV, the Navier–Stokes equation is commonly used as the momentum conversation equation to calculate the force and moment transmission in the flow field around the vehicle [38]. And the detailed expression of the equation is not described in this article.
The turbulence model that is used in the simulation process is the SST k ω model. Compared to the widely used k ϵ model and the general k ω model, the SST k ω model offers greater accuracy, due to the combination of the merits of these models, by separately employing them in the near-wall inflation zone and the developing zone of the calculating field, respectively [39].

2.5. Numerical Solution

The basic numerical simulation process adopted in this research is shown in Figure 6. And the important steps will be further described in the following sections.

2.6. Boundary Conditions

After establishing the geometric model of the ROV, it is necessary to create its corresponding fluid computational domain, as shown in Figure 7a. Generally, it is required that the distance from the boundaries of the vehicle should be more than twice the corresponding dimension in that direction to ensure that the deep-sea submersible is minimally affected by boundary conditions. After careful consideration and referencing the computational domain design in the work from Takahashi et al. [40], the selected fluid computational domain is set to a total length of 12 L (where L is the length of the deep-sea submersible), with a height and width both equal to 8 L.
For numerical simulations of both steady and unsteady motions of the ROV model, in order to provide sufficiently accurate and meaningful simulation results for this complex-shaped underwater vehicle, reference was made to the parameter selection of previous researchers and multiple benchmark tests. The parameters and settings for CFD simulations of the ROV are presented in Table 4.

2.7. Mesh Generation

Before performing meshing, the ROV model needs to be combined with the fluid domain designed in last section to obtain a fluid domain where the surrounding boundaries are set as no-slip walls, the inlet face is set as a velocity control face for fluid inflow, the outlet face is set as a pressure control face for fluid outflow, and the surface of the ROV is set as a no-slip wall, in order to specify the flow velocity and state of the fluid outside the ROV model. The definitions of each boundary are shown in Figure 7b.
The merged model is then imported into mesh generation software (such as ANSYS ICEM) for mesh parameter configuration and generation. In steady motion, the relative position between the ROV model and the flow domain model remains fixed. The main factors to consider in mesh generation include whether the boundary layer division meets the requirements of the solution algorithm, whether the mesh density meets the accuracy requirements of the solution, and whether the boundary layer smoothly transitions with the external mesh, etc.
After comparison, the SST k ω turbulence model is chosen for the numerical simulation calculation. A target y + value of 1 is set, which results in a thinner first layer of the boundary layer. A higher number of layers is required to ensure a smooth transition of the boundary layer. Additionally, in order to minimize the flatness of the boundary layer mesh and improve its quality, control over the surface mesh size of the ROV is necessary. Based on the experience provided by researches (such as from the work from Lin et al. [41]) and considering the scale of small structural components like the ROV framework, a comprehensive consideration is made. The first layer mesh size for this ROV model is defined as 0.025 m. This size ensures that the short-axis direction surface of the ROV framework is covered by at least 5 grids, guaranteeing calculation accuracy. It also allows for the control of the number of boundary layers to approximately 20 layers, thus keeping the computational cost at a moderate level.
After the simplification of the 3D model of the ROV, for the steady motion simulation and the unsteady motion simulation, it is necessary to generate two kinds of meshes separately, adapting to the feature of both motions. The main parameters and settings for these two kinds of meshes are shown in Table 5.
For the mesh applied to both motions, the unstructured mesh is adopted due to its high adaptation in the mesh distribution of complex models. The curvature and proximity size function are also adopted. The average size of the mesh elements of the fluid domain is set to 0.99 m, and the max element size is 1 m. To capture the small fluid dynamic characteristic near the surface of the ROV model, the inflation layers are applied to the surface wall of the ROV model. The inflation layer parameters are set as Table 6 shows.
The thickness of the first layer of the boundary layer, y H , can be calculated using the following procedure: Fisrt, the Renolds number of the ROV model can be calculated by
R e = ρ U L μ
where U is the velocity of the free flow, L is the characteristic length of the ROV, μ is the dynamic viscosity of the flow. According to the empirical correction formula for fully developed turbulent flow over a flat plate, the surface friction coefficient of the model can be estimated as
C f = [ 2 l o g 10 ( R e ) 0.65 ] 2.3
Consequently, the wall shear stress τ w can be determined as
τ w = 1 2 ρ U 2 C f
Therefore, the friction velocity u τ can be calculated as
u τ = τ w ρ
Since the y + value can be obtained from the following equation, the height of the center point in the first layer of the mesh, y p , can be derived as
y + = ρ y p u τ m u y p = y + μ ρ u τ
Therefore, the height of the first layer of the boundary layer can be calculated as follows
y H = 2 y p
After determining the surface mesh size and the height of the first layer of the boundary layer, the number of boundary layers, growth factor, and target size of the unstructured mesh within the flow domain are adjusted to achieve a smooth transition between the inner and outer regions of the boundary layer and ensure good mesh quality. This completes the model mesh generation for the given motion and velocity conditions.
Taking the example of straight motion in the X-direction, the mesh partitioning parameters for various velocities are shown in Table 7. The corresponding mesh transition effects and the distribution of surface meshes with the inflation layer defined by first-layer thickness around the geometry are illustrated in Figure 8, and the velocity profile of the mesh under 1 m/s is shown in Figure 9a. The y + value over the ROV surface can be observed, showing that most of the y + values in most regions, as Figure 9b shows, are smaller than 1, which satisfies the requirement of the fine inflation meshes to implement the SST k ω model.
The mesh partitioning parameters for the ROV were adjusted through debugging, and the final number of grids was distributed between 3.6 and 4.1 million, depending on the Reynolds number. During the initial attempts at mesh partitioning of the original model, errors occurred due to the surfaces of solid components being too close, resulting in the failure of boundary layer generation. These issues were resolved by further optimizing the respective parts of the model.

2.8. Mesh Independence Study

During the grid division process, due to the different settings of the opposite grid scale, volume grid scale, and the non-uniqueness of the grid transition smoothness, the grid refinement (the number of grids for the same model) will also change accordingly. Therefore, it is necessary to evaluate the accuracy of the simulation under different grid numbers and verify that the change in the grid within a suitable number range will not affect the accuracy of the simulation results.
Based on the Y-direction straight-line navigation experiment at 1.0 m/s, the experimental design conducted 5 experiments to verify the independence of the grid within a certain number range and the corresponding hydrodynamic simulation results for different surface grid scales of the ROV model. The specific experimental conditions are shown in Table 8.
Based on the above experimental data, it can be found that when the surface mesh size is increased to 0.1 m, the boundary layer of the framework cannot be generated normally because the size of a single mesh has exceeded the diameter range of the ROV framework, and thus the calculation results cannot be obtained. After calculating the Y-directional damping of other mesh sizes, it can be found that the relative error of damping is within 2.8% in the range of 2.91 to 4.49 million meshes; that is, the influence of mesh quantity on the results begins to converge. The trend of Y-directional damping with the change of mesh number is shown in Figure 10.

2.9. Validation of the CFD Method

To validate the CFD method that was applied in our steady motion simulations, the SUBOFF model from DRAPA is used as a standard model due to the fact that the data from the physical experiment of its towing tests can be obtained from a thorough set of experiments conducted in the research [42]. These data can be used to validate the results from our CFD simulations to determine the accuracy of the CFD method. These validating processes can be seen in our previous work [38], which were conducted with mostly the same parameters and settings. The 3D model of the SUBOFF model and the flow zone are shown in Figure 11. And the validation results can are shown in Table 9.

3. Steady Motion Simulation

3.1. Straight-Line Motion

3.1.1. Drag Comparison of Different Payloads

To qualitatively compare the difference in water damping effect on ROV when the payload compartment is loaded or unloaded, a design was carried out to conduct straight-line navigation in the X direction under the conditions of loaded and unloaded ROV, with each moving at speeds of 1, 2, and 3 knots. A total of six simulation calculations were performed. The size of the water damping obtained from the simulation calculations and the corresponding characteristic data are shown in Table 10.
The comparison of the streamline diagrams and pressure diagrams for each group of simulations for ROV without payload are shown in Figure 12.
Also, the comparison of the velocity streamlines and pressure distribution contours for each group of simulations for ROV with payload are shown in Figure 13.
Through analysis of the above streamline diagrams and pressure contours, it can be seen that when the lower equipment compartment of the ROV is fully loaded with equipment, the eddy current formed by the fluid at the tail of the ROV is significantly increased, which brings a stronger drag effect to the ROV. However, because it avoids the compression of the water flow in the lower hull, the pressure generated by the water flow in the lower part of the ROV is reduced, leading to a decrease in the overall water damping effect on the ROV, as shown in Table 10. The experimental results of this section show that for complex underwater vehicles, the water damping effect cannot be simply estimated by the area of the head-on surface. It is necessary to use the CFD method for evaluation.

3.1.2. Result Analysis of X-Direction Motion

In this experiment, a total of 10 positive and negative velocity conditions were simulated for the X-direction straight-line navigation, and the experimental plan is shown in Table 11.
In the X-direction straight-line navigation experiment, the longitudinal force X, vertical force Z, and pitch moment M obtained by the ROV experimental model were more significant, while the lateral force Y, yaw moment N, and roll moment K were relatively small and negligible.
The hydrodynamic forces (moments) obtained in the experiment can be used to calculate hydrodynamic coefficients using the least-squares method. In the experimental process, when the experimental model is uniformly sailing at a certain speed, the hydrodynamic parameters are averaged before applying the least-squares method to obtain the required hydrodynamic coefficients. The obtained hydrodynamic coefficients are shown in Table 12, with the comparable value from the experimental data of the towing tests on a similar ROV [43].
Due to the fact that the experiments from [43] only cover surge motion and heave motion, the comparable data only applied to X-direction motion and Z-direction motion.

3.1.3. Result Analysis of Y-Direction Motion

As the ROV model used in this experiment is strictly symmetrical in the port and starboard directions, a total of 10 velocity conditions were simulated in the port direction during the Y-direction straight sailing experiment. The same results were obtained for the starboard direction as for the port direction. The experimental plan is shown in Table 13.
The calculated hydrodynamic coefficients are shown in Table 14.

3.1.4. Result Analysis of Z-Direction Motion

In this experiment, a total of 10 velocity conditions were simulated in the positive and negative directions for the Z-directional straight-line navigation. The experimental plan is shown in Table 15.
The calculated hydrodynamic coefficients are shown in Table 16.

3.1.5. Direct Navigation Experimental Results Discussion

A ROV moving at a constant speed along the three coordinate axes is the most basic motion in the ROV control operation. In this section, the hydrodynamic performance of the ROV in straight-line motion was studied, especially considering that the ROV can perform retrograde motion, which is different from the motion characteristics of general streamlined submarines. The hydrodynamic coefficients obtained from the experiment can be used to predict the hydrodynamic forces that the ROV experiences during its motion. Based on the results of straight-line motion experiments, the differences in hydrodynamic forces (moments) caused by the geometric asymmetry of the ROV can be quantitatively discussed. The discussion on the results of the straight-line motion simulations is as follows:
(1)
In the X-direction straight-line experiment, the different motion directions resulted in a significant difference in the magnitude of the vertical force. The upward force generated by forward motion was approximately 20 times that generated by backward motion. Moreover, the difference increases with the increasing speed of motion. The main factors causing these differences are the asymmetry of the ROV’s geometric shape in the front and rear, and in the upper and lower parts.
(2)
In the Z-direction straight-line motion experiment, the different directions of motion also caused a significant difference in the magnitude of the vertical force. The upward motion produced a vertical force of about six times that of the downward motion, and the difference increased with the increase in the motion speed. The difference in the vertical force is mainly caused by the up-down asymmetry of the ROV in the vertical direction.

4. Shape Optimization

4.1. Baseline Characteristics

To find a shape for the ROV with lower pressure resistance, the velocity and pressure distribution around the surface of the original ROV model are analyzed. Figure 14a shows the flow pattern around the ROV at a maximum velocity of 1 knot from a left view perspective, where components with large positive or negative pressure were identified. Figure 14b shows the pressure distribution on the surface of the ROV at a maximum velocity of 1 knot from a left view perspective. Figure 14c is a combination of both velocity streamlines and pressure contours.
From the flow field diagram in Figure 14b, it can be seen that there is basically no mutual interference between the upper and lower streamlines of the buoyancy block of the vehicle. Since the front of the vehicle is a large flat surface, the flow patterns around the top and bottom of the model are very similar to those around a simple cubic body. Therefore, there are no large eddies generated around the front of the ROV. But at the same time, a large number of unstable low-speed streamlines and eddies can be observed around the upper and rear parts of the model. Since the pressure is lower in areas with high flow velocity, the areas where vortexes are generated have a large negative pressure, causing the vehicle to always experience a traction force during movement, which affects its force and hydrodynamic characteristics.
The analysis of the pressure distribution on the surface of the original model was carried out to identify the components with relatively high positive or negative pressure. As Figure 14b shows, the upstream surface generally has a relatively high positive pressure, and the area with the largest positive pressure that has an important impact on the ROV is distributed in the front part of the buoyancy block.

4.2. Feature Selection

In CFD analysis, the structure of the ROV buoyancy block, including the propulsion part, is quite complex. The thin frame connecting the top and bottom mechanical structures of the model usually cause minor resistance. The grid generation time around them is long, which has an adverse effect on the overall grid quality and may cause uncertainty in CFD analysis results. In the frame structure, the overall pressure resistance of the ROV mainly comes from the frame resistance and buoyancy block resistance. In the actual simulation verification process, because the frame resistance accounts for a small proportion and the buoyancy block resistance has the greatest impact on the ROV shape, and the frame structure is too simple to be effectively optimized, a simple form of the buoyancy block structure that has a major impact on the resistance in the basic model of our ROV is derived. In order to improve simulation efficiency on the basis of ensuring simulation accuracy, the head part of the buoyancy block is used for simulation. The basic model of the ROV buoyancy block is shown in Figure 15.
For ROVs, there are certain requirements for the size of the buoyancy block, and the arrangement of each component of the ROV body is fixed. Therefore, while optimizing the buoyancy block, minor modifications are made to the basic model and a new model is designed with lower drag. Significant modifications should not be made to the buoyancy block, as this could lead to insufficient buoyancy or incorrect center of gravity, resulting in issues with the ROV itself.
After observing the existing ROV basic model, the hypothesis of shape optimization is proposed. While keeping the main body of the buoyancy block unchanged, the shape of the front of the buoyancy block is optimized. Based on the pressure and flow field diagrams, the main shape issue with the buoyancy block appeared on the non-streamlined upstream surface, which causes excessive water flow impact and vortex-induced effects on the vehicle. To reduce drag, the shape of the front of the ROV was changed to a streamlined form. Several buoyancy block optimization models with streamlined shapes were selected, and two different optimization schemes are shown in Figure 16b,c, highlighting convex optimization and concave streamlined optimization, respectively.
By analyzing the basic model and optimization model, the main baseline parameters are set for optimization, as shown in Figure 16. For concave optimization, three indicators are used to constrain and divide the optimization range of three optimization parameters. While ensuring simulation speed, the optimal result range is also included. Therefore, our parameter selection is as follows: the range of optimization parameter 1 is 0–30°, the range of optimization parameter 2 is 0.1 m–0.2 m, and the range of optimization parameter 3 is 0.15 m–0.25 m. The endpoints of the ranges are verified to ensure that the range is reasonable.
Through simulation of the flow field streamlines around the basic model and optimized model of the buoyancy block, as shown in Figure 17, there is basically no mutual interference phenomenon between the upper and lower streamlines of the buoyancy block. Based on this, the head of the buoyancy block can be optimized in two separate parts. For concave optimization, the upper streamlines of the buoyancy block are optimized using parameter 1 alone, and the effects of vortex flow generated by the bottom streamlines of the concave optimized buoyancy block are optimized using parameters 2 and 3. For convex optimized buoyancy blocks, parameter 1 is used alone to optimize the upper streamlines, while the effects of bottom streamlines are optimized using parameter 2.

5. Result and Discussion

5.1. Simulation Results

Simulation experiments are conducted to test the optimized characteristics of our baseline model, and according to the above analysis, the common point of convex and concave optimization is optimization parameter 1 for the upper part. Therefore, CFD simulations on the ROV buoyancy block model for optimization parameter 1 are firstly performed to observe the optimal result of optimization parameter 1. For optimization parameter 1, the results obtained through simulation at a speed of about 1 knot and 0.5 m/s are shown in Table 17.
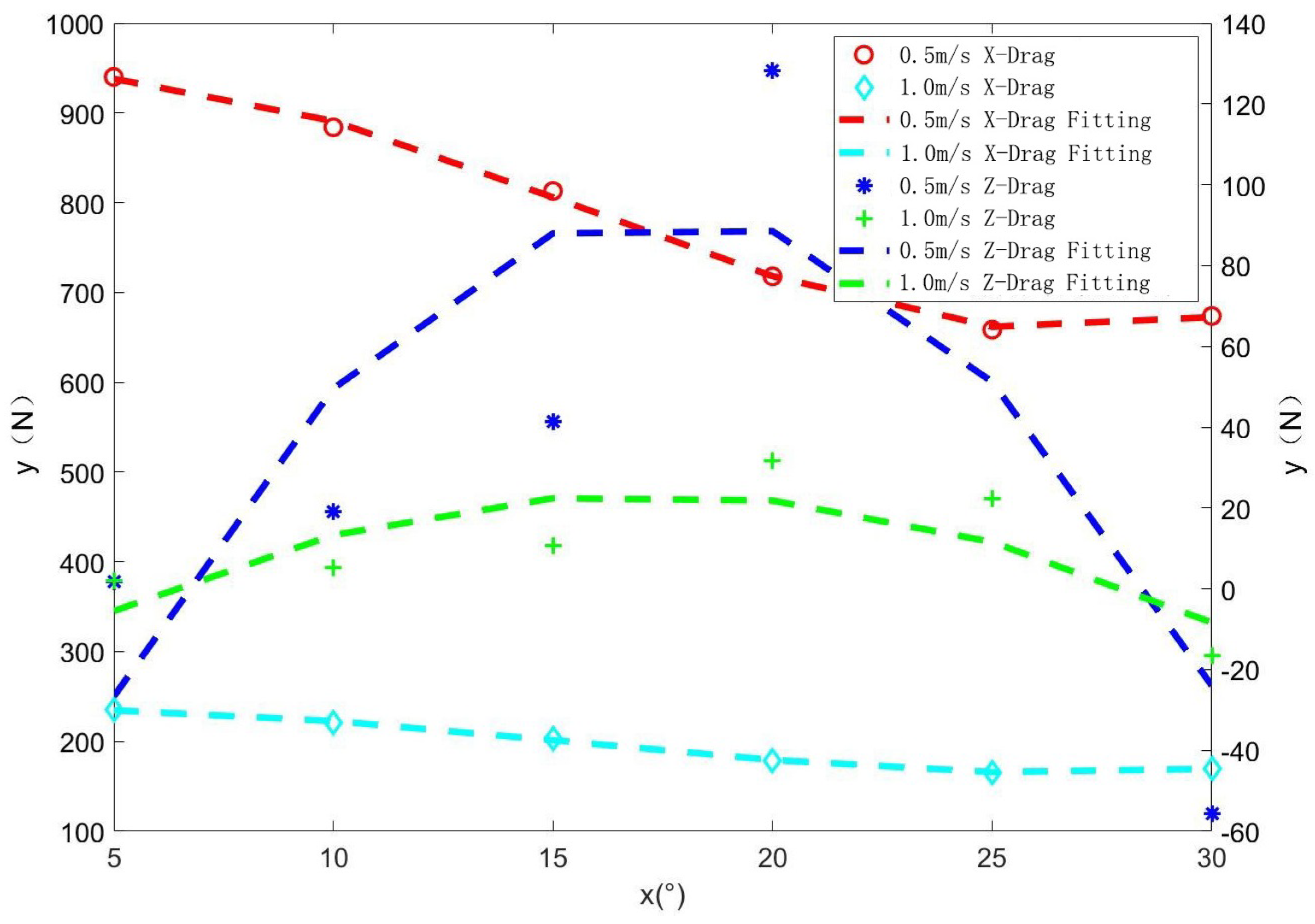
After using Matlab tool to fit and analyze the results, the fitting graph of X-direction resistance for variable optimization X is shown in Figure 18. To facilitate the observation of optimization results, a second-order polynomial is used for fitting in the figure. When the optimization parameter 1 is 27.5°, the resistance of the buoyancy block in the X direction reaches the best optimized result. This is because when the buoyancy block has a certain inclination angle to the water surface, the water flow will not produce a large direct impact but will generate a streamline along the water surface, which reduces the direct impact and thus stabilizes the streamline and reduces resistance. However, when the angle of optimization parameter 1 exceeds 27.5°, reverse optimization will occur. At this time, the x-direction impact resistance caused by the angle being too large far exceeds the drag reduction effect of the streamline. The reason for the optimization analysis of Z-direction resistance is that with the increase in the inclination angle of the water surface, the water flow that originally directly impacts the water surface produces a Z-direction force due to the decomposition of forces. As the inclination angle increases, the Z-direction resistance becomes larger, and the amplitude appears at around 25°. After that, the Z-direction force gradually decreases with the increase in the inclination angle of the water surface. Although there is an optimal solution in the Z-direction, due to the presence of the buoyancy block, the Z-direction resistance is basically not considered in the process of ROV traveling and can be almost ignored compared with the X-direction resistance. Therefore, the main focus is on the optimal solution in the X-direction as the optimization result.
During the optimization of parameter 1, which is the angle of attack, it was found that the best optimization results were obtained when the angle was in the range of 20–25 degrees. When the angle was too large, it resulted in vertical and horizontal forces in the Z and X directions, leading to suboptimal performance of the ROV in both directions. Between 20 and 25 degrees, the flow velocity in the flow field remained uniform. However, as the angle was further increased, the flow velocity became gradually imbalanced, resulting in suboptimal optimization results.
In conclusion, based on the given optimization scheme, when the optimization parameter 1 is chosen as 27.5 degrees, the resistance above the buoyancy block exhibits the optimal results.
Based on the explanations provided in the previous sections, considering the optimal result obtained with optimization variable 1 set to 27.5 degrees, the simulation optimization was conducted by combining optimization parameter 1 with optimization parameter 2. The simulation optimization results are presented in Table 18.
The convex optimization pressure distribution values are shown in Figure 19. Compared to the original model, under convex optimization, the pressure force points on the model are reduced, the streamline velocities are balanced and stable, and the generation of vortexes is reduced, resulting in a significant decrease in resistance in the X and Z directions of the vehicle. However, the optimization results do not continuously improve with an infinite increase in optimization variable 2. When optimization variable 2 reaches a threshold value, the vortexes at the rear of the model gradually increase, leading to a reverse optimization result. Therefore, it is necessary to perform fitting analysis on the data in the table to observe the status of the data.
Figure 20 represents the fitting results of convex optimization simulation. At parameter 1 of 27.5°, the X-directional resistance shows a quadratic distribution with the distance of parameter 2. On the other hand, the Z-directional resistance exhibits a linear trend, but with a slow increase. Within the optimization range, the Z-directional resistance gradually approaches zero. This indicates that as the convex optimization parameter increases, the irregular Z-directional resistance caused by water flow impact is counteracted by the shape, which has a positive effect on shape optimization. Moreover, the Z-directional resistance has little impact compared to the X-direction, so the primary focus should be on optimizing the X-direction. From the graph, it can be observed that around 290 degrees, the convex optimization reaches its minimum value. Therefore, for parameter 2, 290 is chosen as the final optimization result.
The obtained data were compared with the velocity of 0.5 m/s, as shown in Figure 21. It was found that the distribution of resistance at this velocity did not differ significantly. Although there were changes in the overall average value, the overall trend remained consistent. Therefore, it can be concluded that for the optimization of the vessel, different velocities do not have a significant impact. The optimization results are not affected by changes in velocity.

5.2. Results Analysis

After optimizing the front buoyancy block of the vehicle, optimized parameters that do not affect the normal operation of the ROV in its current state are obtained. In order to observe the effect of local optimization on overall optimization, the locally optimized buoyancy block model is integrated into the overall model. The comparison of the ROV model before and after optimization is shown in Figure 22.
Similarly, CFD simulations are conducted on the optimized model of the ROV with an initial velocity of 0.5 m/s. The simulated pressure distribution and flow velocity field are shown in Figure 23. A comparison between the pre-optimization and post-optimization results reveals that the optimized model performs significantly better in terms of pressure. The concentration of pressure points decreases, and the distribution becomes more uniform. From the flow velocity field of the optimized model, it can be observed that the presence of optimized streamline shape eliminates the vortex at the rear of the vehicle. As a result, there is a reduction in resistance in the X and Z directions without the generation of vortexes behind the vehicle.
When the ROV moves underwater, it generates water flow and vortexes, forming a wake. These water flow and vortexes can impact the hydrodynamic environment around the ROV, thereby affecting its stability during operation. Therefore, when optimizing the hydrodynamic shape of the ROV, considerations can also be made from the perspective of wake analysis. In this study, a simple simulation analysis was conducted on the wake of the ROV model. The flow velocity distribution of the wake from different distance from the end of the ROV model in Figure 24 shows that the vortex behind the ROV is reduced after the shape optimization of the buoyancy block.
The specific numerical results of the simulation are shown in Table 19. From the simulation results, it can be observed that after optimization, there is approximately a 20% reduction in resistance in the X direction and a 35% reduction in resistance in the Z direction. The local optimization results have a significant impact on the overall performance, resulting in a notable drag reduction effect on the ROV.

6. Conclusions

This study aims to improve the fluid resistance performance of work-class remotely operated underwater vehicles (ROVs) for offshore operations and demonstrate a systematic simulation process based on CFD and the techniques applied on open-frame structures. The results indicate that the flow resistance performance of the ROV’s shape is dominated by the total drag, while the frictional contribution is minimal. The main contributions of this work are as follows.
(1)
In accordance with the asymmetric structural characteristics of ROVs, the analysis and construction of the hydrodynamic model and parameters for ROVs are conducted. Building upon conventional models, this study takes into account the impact of asymmetry on the selection of hydrodynamic parameters.
(2)
In consideration of the open-frame structural characteristics of ROVs, a tailored approach is developed for conducting steady-state motion simulations of ROVs using the CFD method. This approach was aimed at determining the relevant hydrodynamic parameters, and it involved specific procedural steps and parameter adjustments. Consequently, a comprehensive systematic CFD simulation methodology based on the SST k ω turbulence model of ROV motion is established.
(3)
Based on the simulations of different hull shapes of the ROV buoyancy blocks, concise and practical new ROV shape-optimization schema and corresponding parameters are designed. The parameters are optimized by comparing the drag of ROVs in surge and heave direction in certain work scenarios. Also, the flow field characteristics are identified from the simulations.
For the CFD simulation process of open-frame ROVs, mesh generation technique, turbulence model selection and simulation parameter settings, such as CFD solver setup, are important as they can greatly affect the accuracy of the CFD calculation. To capture the boundary effect better, inflation layer based on first-layer thickness which calculated from proper y + values (e.g., y + = 1 for S S T k ω model).
For the shape optimization of the ROVs, numerical investigations show that the flow resistance of the engineering-grade ROV increases parabolically with increasing velocity. The variation in the total drag coefficient (CD) at the baseline velocity is within 1%. By analyzing the flow around the baseline model and the local pressure distribution on the ROV’s surface, as well as the velocity distribution of the surrounding fluid, 31 candidate hull shapes with reduced drag were selected. Through evaluating the drag performance of various shapes, the optimal shape under the selected parameters was determined. The optimal shape consists of a chamfered shape on the upstream side of the buoyancy material structure at an angle of 27.5 degrees and an arc segment and straight segment with a length of 290 mm on the downstream side of the buoyancy material structure. For all simulated experiments at different velocities, the drag of the optimal shape is lower than that of the baseline model. In this study, the CFD numerical simulation method is utilized to analyze the fluid performance of various optimized shapes of the ROV. In future research on optimal shapes, sequential optimization and other methods can be introduced to approximate the optimal parameters for the parameterized shape optimization, aiming to obtain the optimal structural shape of the ROV. This provides further research directions for optimizing the hydrodynamic performance and motion control stability of ROVs, meeting the demands of researchers in these areas.

Author Contributions

Conceptualization, D.Z.; methodology, D.Z. and M.Z.; software, D.Z., L.H. and M.Z.; validation, D.Z. and M.Z.; formal analysis, D.Z., M.Z. and L.H.; investigation, D.Z.; resources, M.Z. and X.L.; data curation, D.Z.; writing—original draft preparation, D.Z.; writing—review and editing, X.W.; visualization, D.Z. and M.Z.; supervision, X.W.; project administration, X.W.; funding acquisition, X.W. and X.L. All authors have read and agreed to the published version of the manuscript.

Funding

The work is supported in part by the Union Funds of the National Natural Science Foundation of China (NSFC) (No. U1913206) and founded by the Shenzhen Science and Technology Program (No. JSGG20211029095205007).

Institutional Review Board Statement

Not applicable.

Informed Consent Statement

Not applicable.

Data Availability Statement

Not applicable.

Acknowledgments

We would like to give special thanks to China Offshore Fugro Geosolutions (Shenzhen) Co., Ltd. for supporting experimental resources and sites.

Conflicts of Interest

The authors declare no conflict of interest.

References

  1. Teague, J.; Allen, M.J.; Scott, T.B. The potential of low-cost ROV for use in deep-sea mineral, ore prospecting and monitoring. Ocean Eng. 2018, 147, 333–339. [Google Scholar] [CrossRef]
  2. McLean, D.; Macreadie, P.; White, D.; Thomson, P.; Fowler, A.; Gates, A.; Benfield, M.; Horton, T.; Skropeta, D.; Bond, T.; et al. Understanding the global scientific value of industry ROV data, to quantify marine ecology and guide offshore decommissioning strategies. In Proceedings of the Offshore Technology Conference Asia 2018, OTCA 2018, Kuala Lumpur, Malaysia, 20–23 March 2018. [Google Scholar]
  3. Teague, J.; Scott, T.; Allen, M. The use of Low-Cost ROV for Deep-Sea Mineral and Ore Prospecting. Appl. Earth Sci. 2017, 126, 100–101. [Google Scholar] [CrossRef]
  4. Choi, H.T.; Choi, J.; Lee, Y.; Moon, Y.S.; Kim, D.H. New concepts for smart ROV to increase efficiency and productivity. In Proceedings of the 2015 IEEE Underwater Technology (UT), Chennai, India, 23–25 February 2015; pp. 1–4. [Google Scholar]
  5. Silva, S.; Terrell, B.; Philip, M.; Rouge, N.; Angelidis, D.; Sosa, J.; Collins, R.; Rauf, Z. First Use of ROV Remote Operations from Shore in the Gulf of Mexico. In Proceedings of the Offshore Technology Conference, Houston, TX, USA, 9 August 2021. [Google Scholar]
  6. Mallios, A.; Ridao, P.; Ribas, D.; Carreras, M.; Camilli, R. Toward autonomous exploration in confined underwater environments. J. Field Robot. 2016, 33, 994–1012. [Google Scholar] [CrossRef]
  7. Quattrini, A.M.; Demopoulos, A.W. Ectoparasitism on deep-sea fishes in the western North Atlantic: In situ observations from ROV surveys. Int. J. Parasitol. Parasites Wildl. 2016, 5, 217–228. [Google Scholar] [CrossRef]
  8. Zhao, C.; Thies, P.R.; Johanning, L. Offshore inspection mission modelling for an ASV/ROV system. Ocean Eng. 2022, 259, 111899. [Google Scholar] [CrossRef]
  9. Choi, J.K.; Yokobiki, T.; Kawaguchi, K. ROV-based automated cable-laying system: Application to DONET2 installation. IEEE J. Ocean. Eng. 2017, 43, 665–676. [Google Scholar] [CrossRef]
  10. Benfield, M.C.; Kupchik, M.J.; Palandro, D.A.; Dupont, J.M.; Blake, J.A.; Winchell, P. Documenting deepwater habitat utilization by fishes and invertebrates associated with Lophelia pertusa on a petroleum platform on the outer continental shelf of the Gulf of Mexico using a remotely operated vehicle. Deep Sea Res. Part I Oceanogr. Res. Pap. 2019, 149, 103045. [Google Scholar] [CrossRef]
  11. Bond, T.; Langlois, T.; Partridge, J.; Birt, M.; Malseed, B.; Smith, L.; McLean, D. Diel shifts and habitat associations of fish assemblages on a subsea pipeline. Fish. Res. 2018, 206, 220–234. [Google Scholar] [CrossRef]
  12. Corbera, G.; Iacono, C.L.; Gràcia, E.; Grinyó, J.; Pierdomenico, M.; Huvenne, V.A.; Aguilar, R.; Gili, J.M. Ecological characterisation of a Mediterranean cold-water coral reef: Cabliers coral mound province (Alboran Sea, western Mediterranean). Prog. Oceanogr. 2019, 175, 245–262. [Google Scholar] [CrossRef]
  13. Macreadie, P.I.; McLean, D.L.; Thomson, P.G.; Partridge, J.C.; Jones, D.O.; Gates, A.R.; Benfield, M.C.; Collin, S.P.; Booth, D.J.; Smith, L.L.; et al. Eyes in the sea: Unlocking the mysteries of the ocean using industrial, remotely operated vehicles (ROVs). Sci. Total Environ. 2018, 634, 1077–1091. [Google Scholar] [CrossRef]
  14. Raoult, V.; Tosetto, L.; Harvey, C.; Nelson, T.M.; Reed, J.; Parikh, A.; Chan, A.J.; Smith, T.M.; Williamson, J.E. Remotely operated vehicles as alternatives to snorkellers for video-based marine research. J. Exp. Mar. Biol. Ecol. 2020, 522, 151253. [Google Scholar] [CrossRef]
  15. Wetz, J.J.; Ajemian, M.J.; Shipley, B.; Stunz, G.W. An assessment of two visual survey methods for documenting fish community structure on artificial platform reefs in the Gulf of Mexico. Fish. Res. 2020, 225, 105492. [Google Scholar] [CrossRef]
  16. Zhao, C.; Thies, P.; Lars, J.; Cowles, J. ROV launch and recovery from an unmanned autonomous surface vessel–Hydrodynamic modelling and system integration. Ocean Eng. 2021, 232, 109019. [Google Scholar] [CrossRef]
  17. Jagadeesh, P.; Murali, K. RANS predictions of free surface effects on axisymmetric underwater body. Eng. Appl. Comput. Fluid Mech. 2010, 4, 301–313. [Google Scholar] [CrossRef]
  18. Katsui, T.; Kajikawa, S.; Inoue, T. Numerical Investigation of Flow around a ROV with Crawler Based Driving System. In Proceedings of the International Conference on Offshore Mechanics and Arctic Engineering, American Society of Mechanical Engineers, Rio de Janeiro, Brazil, 1–6 July 2012; Volume 44946, pp. 23–30. [Google Scholar]
  19. Liu, X.; Zhang, L.; Wang, X.; Huang, S.; Sun, J. Study on Large-Scale Work Class ROV Based on Dynamic Analysis. In First International Conference on Information Sciences, Machinery, Materials and Energy; Atlantis Press: Paris, France, 2015; pp. 647–650. [Google Scholar]
  20. Yang, R.; Clement, B.; Mansour, A.; Li, M.; Wu, N. Modeling of a complex-shaped underwater vehicle for robust control scheme. J. Intell. Robot. Syst. 2015, 80, 491–506. [Google Scholar] [CrossRef]
  21. Ramírez-Macías, J.A.; Brongers, P.; Rúa, S.; Vásquez, R.E. Hydrodynamic modelling for the remotely operated vehicle Visor3 using CFD. IFAC-PapersOnLine 2016, 49, 187–192. [Google Scholar] [CrossRef]
  22. Bao-Ji, Z.; Xin-Di, L.; Wen-Xuan, S. Resistance performance simulation of remotely operated vehicle in deep sea considering propeller rotation. Proc. Inst. Mech. Eng. Part M J. Eng. Marit. Environ. 2020, 234, 585–598. [Google Scholar] [CrossRef]
  23. Li, Q.; Cao, Y.; Li, B.; Ingram, D.M.; Kiprakis, A. Numerical modelling and experimental testing of the hydrodynamic characteristics for an open-frame remotely operated vehicle. J. Mar. Sci. Eng. 2020, 8, 688. [Google Scholar] [CrossRef]
  24. Zarei, A.; Ashouri, A.; Hashemi, S.; Bushehri, S.F.; Izadpanah, E.; Amini, Y. Experimental and numerical study of hydrodynamic performance of remotely operated vehicle. Ocean Eng. 2020, 212, 107612. [Google Scholar] [CrossRef]
  25. Dai, Y.; Xue, C.; Su, Q.; Huang, X. Numerical analysis on hydrodynamic characteristics of a deep-sea mining vehicle under three typical motions. Ocean Eng. 2021, 235, 109446. [Google Scholar] [CrossRef]
  26. Wu, J.; Yang, X.; Xu, S.; Han, X. Numerical investigation on underwater towed system dynamics using a novel hydrodynamic model. Ocean Eng. 2022, 247, 110632. [Google Scholar] [CrossRef]
  27. Yang, X.; Wu, J.; Xu, S. Study on dynamic response of underwater towed system in ship propeller wakes using a new hydrodynamic model. Ocean Eng. 2022, 265, 112599. [Google Scholar] [CrossRef]
  28. Purzycki, M.; Komorowska, A.; Ilnicka, A.; Papież, J.; Szymańska, E. From ROVs to AUVs–Optimization and Analysis of Underwater Vehicles Design. In Proceedings of the 2022 45th Jubilee International Convention on Information, Communication and Electronic Technology (MIPRO), Opatija, Croatia, 23–27 May 2022; pp. 1517–1521. [Google Scholar]
  29. Singh, A.P.; Paul, A.; Singh, Y.; Mukherjee, K. Mechanical Design of a Modular Underwater Rov for Surveillance and Cleaning Purpose. In Recent Advances in Mechanical Engineering: Select Proceedings of ICRAME 2020; Springer: Berlin/Heidelberg, Germany, 2021; pp. 779–793. [Google Scholar]
  30. Baital, M.S.; Mangkusasmito, F.; Rahmawaty, M.A. Specification Design and Performances Using Computational Fluid Dynamics for Mini-Remotely Operated Underwater Vehicle. Ultim. Comput. J. Sist. Komput. 2022, 14, 20–27. [Google Scholar] [CrossRef]
  31. Luo, W.; Guo, X.; Dai, J.; Rao, T. Hull optimization of an underwater vehicle based on dynamic surrogate model. Ocean Eng. 2021, 230, 109050. [Google Scholar] [CrossRef]
  32. Fossen, T.I. Handbook of Marine Craft Hydrodynamics and Motion Control; John Wiley & Sons: Hoboken, NJ, USA, 2011. [Google Scholar]
  33. Do, K.D.; Pan, J. Control of Ships and Underwater Vehicles: Design for Underactuated and Nonlinear Marine Systems; Springer: Berlin/Heidelberg, Germany, 2009; Volume 1. [Google Scholar]
  34. Eidsvik, O.A.; Schjølberg, I. Determination of hydrodynamic parameters for remotely operated vehicles. In Proceedings of the International Conference on Offshore Mechanics and Arctic Engineering, American Society of Mechanical Engineers, Busan, Republic of Korea, 18–24 June 2016; Volume 49989, p. V007T06A025. [Google Scholar]
  35. Egeskov, P.; Bjerrum, A.; Pascoal, A.; Silvestre, C.; Aage, C.; Smitt, L.W. Design, construction and hydrodynamic testing of the AUV MARIUS. In Proceedings of the IEEE Symposium on Autonomous Underwater Vehicle Technology (AUV’94), Cambridge, MA, USA, 19–20 July 1994; pp. 199–207. [Google Scholar]
  36. Fourniotis, N.T.; Horsch, G.M. Baroclinic circulation in the Gulf of Patras (Greece). Ocean Eng. 2015, 104, 238–248. [Google Scholar] [CrossRef]
  37. Horsch, G.M.; Fourniotis, N.T. Wintertime Tidal Hydrodynamics in the Gulf of Patras, Greece. J. Coast. Res. 2017, 33, 1305–1314. [Google Scholar] [CrossRef]
  38. Hong, L.; Wang, X.; Zhang, D.; Xu, H. Numerical Study on Hydrodynamic Coefficient Estimation of an Underactuated Underwater Vehicle. J. Mar. Sci. Eng. 2022, 10, 1049. [Google Scholar] [CrossRef]
  39. Menter, F.R. Two-equation eddy-viscosity turbulence models for engineering applications. AIAA J. 1994, 32, 1598–1605. [Google Scholar] [CrossRef]
  40. Takahashi, K.; Sahoo, P.K. Fundamental CFD Study on the Hydrodynamic Performance of the DARPA SUBOFF Submarine. In Proceedings of the International Conference on Offshore Mechanics and Arctic Engineering, American Society of Mechanical Engineers, Glasgow, UK, 9–14 June 2019; Volume 58776, p. V002T08A052. [Google Scholar]
  41. Lin, Y.H.; Li, X.C. The investigation of a sliding mesh model for hydrodynamic analysis of a SUBOFF model in turbulent flow fields. J. Mar. Sci. Eng. 2020, 8, 744. [Google Scholar] [CrossRef]
  42. Liu, H.L.; Huang, T.T. Summary of DARPA SUBOFF Experimental Program Data. Technical Report; Naval Surface Warfare Center, Carderock Division (NEWCCD). 1998. Available online: https://www.readcube.com/articles/10.21236/ada359226 (accessed on 1 November 2023).
  43. Xu, S.; Han, D.; Ma, Q. Hydrodynamic forces and moments acting on a remotely operate vehicle with an asymmetric shape moving in a vertical plane. Eur. J. Mech.-B/Fluids 2015, 54, 1–9. [Google Scholar] [CrossRef]
Figure 1. Three-dimensional structure of ROV-1000.
Figure 1. Three-dimensional structure of ROV-1000.
Jmse 11 02143 g001
Figure 2. The NED and BODY coordinate systems.
Figure 2. The NED and BODY coordinate systems.
Jmse 11 02143 g002
Figure 3. Cross-section views of the ROV. (a) Front side view; (b) left side view; (c) top side view.
Figure 3. Cross-section views of the ROV. (a) Front side view; (b) left side view; (c) top side view.
Jmse 11 02143 g003
Figure 4. The geometry and optimization parameters of the ROV.
Figure 4. The geometry and optimization parameters of the ROV.
Jmse 11 02143 g004
Figure 5. Mechanical model simplification of the ROV. (a) The original model of the ROV; (b) the simplified ROV model for numerical analysis.
Figure 5. Mechanical model simplification of the ROV. (a) The original model of the ROV; (b) the simplified ROV model for numerical analysis.
Jmse 11 02143 g005
Figure 6. Numerical process.
Figure 6. Numerical process.
Jmse 11 02143 g006
Figure 7. (a) Flow Zone parameters; (b) Flow Zone boundary definitions.
Figure 7. (a) Flow Zone parameters; (b) Flow Zone boundary definitions.
Jmse 11 02143 g007
Figure 8. Mesh detail of the ROV model (a) Cross-section left view; (b) cross-section front view; (c) nose of buoyancy block; (d) detailed boundary layer in the front; (e) detailed boundary layer in the tail.
Figure 8. Mesh detail of the ROV model (a) Cross-section left view; (b) cross-section front view; (c) nose of buoyancy block; (d) detailed boundary layer in the front; (e) detailed boundary layer in the tail.
Jmse 11 02143 g008
Figure 9. (a) Velocity profile of meshing in 1 m/s flow; (b) y + value over the ROV surface.
Figure 9. (a) Velocity profile of meshing in 1 m/s flow; (b) y + value over the ROV surface.
Jmse 11 02143 g009
Figure 10. Trend of Y-direction drag with the change of grid number.
Figure 10. Trend of Y-direction drag with the change of grid number.
Jmse 11 02143 g010
Figure 11. SUBOFF simulations. (a) SUBOFF model; (b) flow zone design for SUBOFF simulations.
Figure 11. SUBOFF simulations. (a) SUBOFF model; (b) flow zone design for SUBOFF simulations.
Jmse 11 02143 g011
Figure 12. Velocity streamline and pressure contour of the x-axis motion. (a) 3D view; (b) velocity streamline under 1.0 kn (left view); (c) velocity streamline under 2.0 kn (left view); (d) velocity streamline under 1.0 kn (top view); (e) velocity streamline under 2.0 kn (top view); (f) pressure distribution under 1.0 kn; (g) pressure distribution under 2.0 kn.
Figure 12. Velocity streamline and pressure contour of the x-axis motion. (a) 3D view; (b) velocity streamline under 1.0 kn (left view); (c) velocity streamline under 2.0 kn (left view); (d) velocity streamline under 1.0 kn (top view); (e) velocity streamline under 2.0 kn (top view); (f) pressure distribution under 1.0 kn; (g) pressure distribution under 2.0 kn.
Jmse 11 02143 g012
Figure 13. Simulation results of the baseline model under 1 m/s. (a) streamline; (b) pressure distribution; (c) combine.
Figure 13. Simulation results of the baseline model under 1 m/s. (a) streamline; (b) pressure distribution; (c) combine.
Jmse 11 02143 g013
Figure 14. Simulation results of the baseline model under 1 m/s. (a) streamline; (b) pressure distribution; (c) combine.
Figure 14. Simulation results of the baseline model under 1 m/s. (a) streamline; (b) pressure distribution; (c) combine.
Jmse 11 02143 g014
Figure 15. Model of ROV buoyancy block.
Figure 15. Model of ROV buoyancy block.
Jmse 11 02143 g015
Figure 16. Comparison of the optimization model of ROV buoyancy block. (a) baseline; (b) concave; (c) convex.
Figure 16. Comparison of the optimization model of ROV buoyancy block. (a) baseline; (b) concave; (c) convex.
Jmse 11 02143 g016
Figure 17. Comparison of the streamline of optimization model of ROV buoyancy block. (a) baseline; (b) concave; (c) convex.
Figure 17. Comparison of the streamline of optimization model of ROV buoyancy block. (a) baseline; (b) concave; (c) convex.
Jmse 11 02143 g017
Figure 18. Drag fitting of parameter 1 simulations.
Figure 18. Drag fitting of parameter 1 simulations.
Jmse 11 02143 g018
Figure 19. Pressure distributions in ROV designs based on exponential parameter II: (a) 0 mm; (b) 100 mm; (c) 150 mm; (d) 200 mm; (e) 250 mm; (f) 332 mm.
Figure 19. Pressure distributions in ROV designs based on exponential parameter II: (a) 0 mm; (b) 100 mm; (c) 150 mm; (d) 200 mm; (e) 250 mm; (f) 332 mm.
Jmse 11 02143 g019
Figure 20. Drag fitting of convex simulations.
Figure 20. Drag fitting of convex simulations.
Jmse 11 02143 g020
Figure 21. Simulation results under different velocity.
Figure 21. Simulation results under different velocity.
Jmse 11 02143 g021
Figure 22. ROV model comparison between pre-optimization and post-optimization. (a) Pre-optimization; (b) post-optimization.
Figure 22. ROV model comparison between pre-optimization and post-optimization. (a) Pre-optimization; (b) post-optimization.
Jmse 11 02143 g022
Figure 23. Pressure and velocity distribution of post-optimization ROV frame. (a) Pressure distribution; (b) velocity streamline.
Figure 23. Pressure and velocity distribution of post-optimization ROV frame. (a) Pressure distribution; (b) velocity streamline.
Jmse 11 02143 g023
Figure 24. Contour for wake region velocity field.
Figure 24. Contour for wake region velocity field.
Jmse 11 02143 g024
Table 1. Basic Parameters of ROV-1000.
Table 1. Basic Parameters of ROV-1000.
ParametersValue
Body length3214 mm
Body width1500 mm
Body height1755 mm
Weight (with payload)4100 kg
Max payload400 kg
Total buoyancy41,000 N
Operating speed0–3 knot
Number of thrusters7
Arrangement of thrusters4*Horizontal 3*Vertical
Type of thrustersHydraulic
DOF6
Table 2. Definition of ROV Motion Parameters (SNAME 1950).
Table 2. Definition of ROV Motion Parameters (SNAME 1950).
DOFMotionForce/MomentVelocity/Angular VelocityCoordinate/Posture
1SurgeXux
2SwayYvy
3HeaveZwz
4RollKp ϕ
5PitchMq θ
6YawNr ψ
Table 3. Vectors of motion of underwater robot.
Table 3. Vectors of motion of underwater robot.
ParameterConbineLinearAngualar
NED position η = [ η 1 T , η 2 T ] T η 1 = [ x , y , z ] T η 2 = [ ϕ , θ , ψ ] T
BODY velocity v = [ v 1 T , v 2 T ] T v 1 = [ u , v , w ] T v 2 = [ p , q , r ] T
BODY force/moment τ = [ τ 1 T , τ 2 T ] T τ 1 = [ X , Y , Z ] T τ 2 = [ K , M , N ] T
Table 4. Comparison and selection of solution parameters.
Table 4. Comparison and selection of solution parameters.
SettingsSteady-State MotionUnsteady-State Motion
Numerical solution methodFinite volume method
Turbulance modelSST k ω
Solution methodSIMPLEC
Discretization schemeSecond-order upwind scheme
Boundary conditionsCustom velocity inlet, default pressure outlet,
no-slip wall
Grid techniqueUnstructured grid
Number of iterations2000100/T
Table 5. Basic Mesh Parameters and Settings.
Table 5. Basic Mesh Parameters and Settings.
ParametersSteady MotionUnsteady Motion
Mesh typeUnstructured
Size FunctionCurvature and Proximity
Element size0.99 m
Max size1 m
Inflation layerWith inflation
Face sizing0.025 m
Body sizingNone0.3 m
Table 6. Inflation Layer Parameters and Settings.
Table 6. Inflation Layer Parameters and Settings.
ParametersSteady MotionUnsteady Motion
GeometryFlow ZoneSub Zone
BoundaryROV Surface
Inflation optionFirst Layer Thickness
Y plus1
Table 7. Mesh Parameters for X-Forward Straight Motion at Various Velocities.
Table 7. Mesh Parameters for X-Forward Straight Motion at Various Velocities.
Velocity (m/s)Reynolds NumberFace SizingInflation LayerIncrease FactorTarget SizeGrid Scale
0.1317,645.0290.025181.230.993,563,406
0.2635,290.0590.025201.250.993,758,455
0.3952,935.0890.025201.250.993,982,581
0.41,270,580.1180.025201.270.993,993,382
0.51,588,225.1480.025201.30.993,910,450
0.61,905,870.1780.025201.30.994,001,972
0.72,223,515.2070.025201.310.994,013,141
0.82,541,160.2370.025201.310.994,074,944
0.92,858,805.2670.025201.310.994,126,533
1.03,176,450.2970.025201.330.994,058,628
Table 8. Changes in Y-directional damping with variation of grid numbers.
Table 8. Changes in Y-directional damping with variation of grid numbers.
Face SizingReynolds NumberGrid ScaleDrag
0.0251,482,475.24744935772105.168
0.0351,482,475.2472,919,0022046.842
0.051,482,475.2471,985,6621632.463
0.0751,482,475.2471,200,3851738.659
0.11,482,475.247abnormal grid/
Table 9. Validation of our CFD method by comparing the numerical results with the experimental data reported in [42].
Table 9. Validation of our CFD method by comparing the numerical results with the experimental data reported in [42].
Speed (Knot)Experimental Results (N)Our Results (N)Error (%)
5.9287.490.63.63
10.00242.2238.71.45
11.84332.9330.50.72
13.92451.5447.10.97
16.00576.9582.91.04
17.99697.0716.42.82
Table 10. Simulation data of X-direction straight-line motion.
Table 10. Simulation data of X-direction straight-line motion.
PayloadVelocity (kn)Reynolds NumberMesh ElementsDrag (N)
No payload1.01,632,695.4523,981,471314.025
2.03,265,390.9054,304,6151266.179
3.04,898,086.3584,439,3562834.825
With paylod1.01,632,695.4524,398,291299.645
2.03,265,390.9054,723,2021203.323
3.04,898,086.3584,872,1092752.384
Table 11. Experiment condition of X-direction straight-line motion.
Table 11. Experiment condition of X-direction straight-line motion.
Motion TypeMotion DirectionExperiment ConditionNumber of Simulation
X-direction
straight motion
X-postiverelative velocity
0.1–1.0 m/s
10
X-negativevariation interval
0.1 m/s
10
Table 12. Hydrodynamic coefficients of X-direction straight-line motion.
Table 12. Hydrodynamic coefficients of X-direction straight-line motion.
Hydrodynamic CoefficientValueDimensionless CoefficientDimensionless ValueComparable Value
X u | u | −1137.5 X u | u | −0.2206−0.3170
X u u −61.5 X u u −0.01190.0246
Z u | u | −99.922 Z u | u | −0.0193−0.0331
Z u u −104.178 Z u u −0.0202−0.0843
M u | u | 2.84 M u | u | 0.003970.00847
M u u 9.6 M u u 0.02600.0297
Table 13. Experiment condition of Y-direction straight-line motion.
Table 13. Experiment condition of Y-direction straight-line motion.
Motion TypeMotion DirectionExperiment ConditionNumber of Simulation
Y-direction
straight motion
Y-postiverelative velocity
0.1–1.0 m/s
10
variation interval
0.1 m/s
Table 14. Hydrodynamic coefficients of Y-direction straight-line motion.
Table 14. Hydrodynamic coefficients of Y-direction straight-line motion.
Hydrodynamic CoefficientValueDimensionless CoefficientDimensionless Value
Y v | v | −2130.9 Y v v −0.4131
Table 15. Experiment condition of Z-direction straight-line motion.
Table 15. Experiment condition of Z-direction straight-line motion.
Motion TypeMotion DirectionExperiment ConditionNumber of Simulation
Z-direction
straight motion
Z-postiverelative velocity
0.1–1.0 m/s
10
Z-negativevariation interval
0.1 m/s
10
Table 16. Hydrodynamic coefficients of Z-direction straight-line motion.
Table 16. Hydrodynamic coefficients of Z-direction straight-line motion.
Hydrodynamic CoefficientValueDimensionless CoefficientDimensionless ValueComparable Value
Z w | w | −1425.4 Z w | w | −0.2764−0.6180
Z w w −1017.6 Z w w −0.1974−0.0008
Table 17. Drag result of parameter 1 simulations.
Table 17. Drag result of parameter 1 simulations.
Param 1 (°)X-Drag (N)Z-Drag (N)
baseline249.42290.8633
5235.10881.8906
10220.86555.1278
15203.187610.7220
20179.067931.8028
25165.046422.261
26168.031615.3322
27163.53137.929
28163.53127.9326
29166.7049−8.6101
30169.7156−16.599
Table 18. Drag result of convex simulations.
Table 18. Drag result of convex simulations.
Param 1 (°)Param 2 (mm)X-Drag (N)Z-Drag (N)
250143.7221−129.0891
25100133.6255−108.5722
25150128.4418−95.4861
25200122.7489−81.0143
25250119.3638−71.6148
25260117.0644−67.5918
25270117.9888−67.8878
25280116.7907−64.4911
25290114.5748−58.5837
25300116.7188−61.3501
25332144.0288−53.8963
Table 19. Drag comparison between pre-optimization and post-optimization of the ROV.
Table 19. Drag comparison between pre-optimization and post-optimization of the ROV.
ItemX-Drag (N)Z-Drag (N)
Pre-optimization482.877080.7065
Post-optimization385.756851.9567
Optimized scale20.1128%35.6227%
Disclaimer/Publisher’s Note: The statements, opinions and data contained in all publications are solely those of the individual author(s) and contributor(s) and not of MDPI and/or the editor(s). MDPI and/or the editor(s) disclaim responsibility for any injury to people or property resulting from any ideas, methods, instructions or products referred to in the content.

Share and Cite

MDPI and ACS Style

Zhang, D.; Wang, X.; Zhao, M.; Hong, L.; Li, X. Numerical Investigation on Hydrodynamic Characteristics and Drag Influence of an Open-Frame Remotely Operated Underwater Vehicle. J. Mar. Sci. Eng. 2023, 11, 2143. https://doi.org/10.3390/jmse11112143

AMA Style

Zhang D, Wang X, Zhao M, Hong L, Li X. Numerical Investigation on Hydrodynamic Characteristics and Drag Influence of an Open-Frame Remotely Operated Underwater Vehicle. Journal of Marine Science and Engineering. 2023; 11(11):2143. https://doi.org/10.3390/jmse11112143

Chicago/Turabian Style

Zhang, Desheng, Xin Wang, Ming Zhao, Lin Hong, and Xuecheng Li. 2023. "Numerical Investigation on Hydrodynamic Characteristics and Drag Influence of an Open-Frame Remotely Operated Underwater Vehicle" Journal of Marine Science and Engineering 11, no. 11: 2143. https://doi.org/10.3390/jmse11112143

APA Style

Zhang, D., Wang, X., Zhao, M., Hong, L., & Li, X. (2023). Numerical Investigation on Hydrodynamic Characteristics and Drag Influence of an Open-Frame Remotely Operated Underwater Vehicle. Journal of Marine Science and Engineering, 11(11), 2143. https://doi.org/10.3390/jmse11112143

Note that from the first issue of 2016, this journal uses article numbers instead of page numbers. See further details here.

Article Metrics

Back to TopTop