Spatial Transferability of Residential Building Damage Models between Coastal and Fluvial Flood Hazard Contexts
Abstract
:1. Introduction
2. Materials and Methods
2.1. Residential Building Damage Assessments
2.2. Damage Model Development
2.3. Damage Model Evaluation
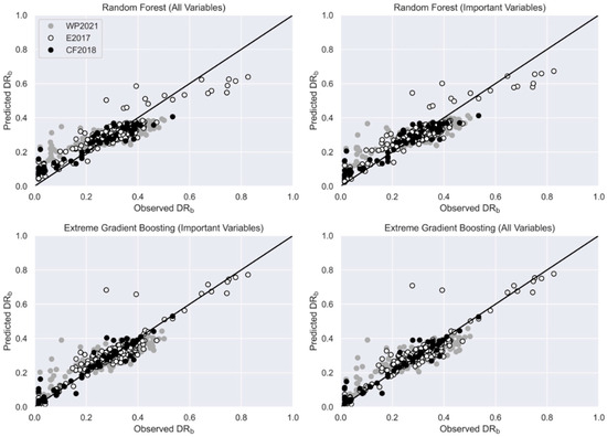
3. Results and Discussion
3.1. Variable Importance and Damage Relationships
3.2. Event Damage Model Performance
3.3. Model Transfer across Coastal and Fluvial Flood Events
4. Conclusions
Author Contributions
Funding
Data Availability Statement
Acknowledgments
Conflicts of Interest
References
- Munich Re Risks Posed by Natural Disasters. Losses from Natural Disasters. Available online: https://www.munichre.com/en/risks/natural-disasters.html (accessed on 24 April 2023).
- Hallegatte, S.; Green, C.; Nicholls, R.J.; Corfee-Morlot, J. Future flood losses in major coastal cities. Nat. Clim. Chang. 2013, 3, 802–806. [Google Scholar] [CrossRef]
- Vousdoukas, M.I.; Mentaschi, L.; Voukouvalas, E.; Bianchi, A.; Dottori, F.; Feyen, L. Climatic and socioeconomic controls of future coastal flood risk in Europe. Nat. Clim. Chang. 2018, 8, 776–780. [Google Scholar] [CrossRef]
- Merz, B.; Kreibich, H.; Schwarze, R.; Thieken, A. Review article “Assessment of economic flood damage”. Nat. Hazards Earth Syst. Sci. 2010, 10, 1697–1724. [Google Scholar] [CrossRef]
- Gerl, T.; Kreibich, H.; Franco, G.; Marechal, D.; Schröter, K. A review of flood loss models as basis for harmonization and benchmarking. PLoS ONE 2016, 11, e0159791. [Google Scholar] [CrossRef] [PubMed]
- Vousdoukas, M.I.; Bouziotas, D.; Giardino, A.; Bouwer, L.M.; Mentaschi, L.; Voukouvalas, E.; Feyen, L. Understanding epistemic uncertainty in large-scale coastal flood risk assessment for present and future climates. Nat. Hazards Earth Syst. Sci. 2018, 18, 2127–2142. [Google Scholar] [CrossRef]
- Merz, B.; Kreibich, H.; Lall, U. Multi-variate flood damage assessment: A tree-based data-mining approach. Nat. Hazards Earth Syst. Sci. 2013, 13, 53–64. [Google Scholar] [CrossRef]
- Carisi, F.; Schröter, K.; Domeneghetti, A.; Kreibich, H.; Castellarin, A. Development and assessment of uni-and multivariable flood loss models for Emilia-Romagna (Italy). Nat. Hazards Earth Syst. Sci. 2018, 18, 2057–2079. [Google Scholar] [CrossRef]
- Wagenaar, D.; De Jong, J.; Bouwer, L.M. Multi-variable flood damage modelling with limited data using supervised learning approaches. Nat. Hazards Earth Syst. Sci. 2017, 17, 1683–1696. [Google Scholar] [CrossRef]
- Wagenaar, D.; Lüdtke, S.; Schröter, K.; Bouwer, L.M.; Kreibich, H. Regional and temporal transferability of multivariable flood damage models. Water Resour. Res. 2018, 54, 3688–3703. [Google Scholar] [CrossRef]
- Schröter, K.; Kreibich, H.; Vogel, K.; Riggelsen, C.; Scherbaum, F.; Merz, B. How useful are complex flood damage models? Water Resour. Res. 2014, 50, 3378–3395. [Google Scholar] [CrossRef]
- Amadio, M.; Scorzini, A.R.; Carisi, F.; Essenfelder, A.H.; Domeneghetti, A.; Mysiak, J.; Castellarin, A. Testing empirical and synthetic flood damage models: The case of Italy. Nat. Hazards Earth Syst. Sci. 2019, 19, 661–678. [Google Scholar] [CrossRef]
- Schröter, K.; Lüdtke, S.; Redweik, R.; Meier, J.; Bochow, M.; Ross, L.; Nagel, C.; Kreibich, H. Flood loss estimation using 3D city models and remote sensing data. Environ. Model. Softw. 2018, 105, 118–131. [Google Scholar] [CrossRef]
- Cerri, M.; Steinhausen, M.; Kreibich, H.; Schröter, K. Are OpenStreetMap building data useful for flood vulnerability modelling? Nat. Hazards Earth Syst. Sci. 2021, 21, 643–662. [Google Scholar] [CrossRef]
- Cammerer, H.; Thieken, A.H.; Lammel, J. Adaptability and transferability of flood loss functions in residential areas. Nat. Hazards Earth Syst. Sci. 2013, 13, 3063–3081. [Google Scholar] [CrossRef]
- Di Bacco, M.; Rotello, P.; Suppasri, A.; Scorzini, A.R. Leveraging data driven approaches for enhanced tsunami damage modelling: Insights from the 2011 Great East Japan event. Environ. Model. Softw. 2023, 160, 105604. [Google Scholar] [CrossRef]
- Vescovo, R.; Adriano, B.; Mas, E.; Koshimura, S. Beyond tsunami fragility functions: Experimental assessment for building damage estimation. Sci. Rep. 2023, 13, 14337. [Google Scholar] [CrossRef]
- Smart, G.M.; McKerchar, A.I. More flood disasters in New Zealand. J. Hydrol. 2010, 49, 69–78. [Google Scholar]
- Paulik, R.; Wild, A.; Zorn, C.; Wotherspoon, L. Residential building flood damage: Insights on processes and implications for risk assessments. J. Flood Risk Manag. 2022, 15, e12832. [Google Scholar] [CrossRef]
- Paulik, R.; Zorn, C.; Wotherspoon, L. Evaluating the spatial application of multivariable flood damage models. J. Flood Risk Manag. 2023, e12934. [Google Scholar] [CrossRef]
- Pedregosa, F.; Varoquaux, G.; Gramfort, A.; Michel, V.; Thirion, B.; Grisel, O.; Blondel, M.; Prettenhofer, P.; Weiss, R.; Dubourg, V.; et al. Scikit-learn: Machine learning in Python. J. Mach. Learn. Res. 2011, 12, 2825–2830. [Google Scholar]
- Chen, T.; Guestrin, C. Xgboost: A scalable tree boosting system. In Proceedings of the 22nd ACM SIGKDD International Conference on Knowledge Discovery and Data Mining, San Francisco, CA, USA, 13–17 August 2016; pp. 785–794. [Google Scholar]
- Breiman, L. Random forests. Mach. Learn. 2001, 45, 5–32. [Google Scholar] [CrossRef]
- Liaw, A.; Wiener, M. Classification and regression by Random Forest. R News 2002, 2, 18–22. [Google Scholar]
- Kohavi, R. A study of cross-validation and bootstrap for accuracy estimation and model selection. Ijcai 1995, 14, 1137–1145. [Google Scholar]
- Thordarson, F.Ö.; Breinholt, A.; Møller, J.K.; Mikkelsen, P.S.; Grum, M.; Madsen, H. Evaluation of probabilistic flow predictions in sewer systems using grey box models and a skill score criterion. Stoch. Environ. Res. Risk Assess. 2012, 26, 1151–1162. [Google Scholar] [CrossRef]
- BRANZ. Renovate—The Technical Resource for Industry on the Renovation of Houses from Different Eras. Available online: https://www.renovate.org.nz/ (accessed on 23 May 2023).
- Quotable Value. CostBuilder. Available online: https://costbuilder.qv.co.nz/ (accessed on 23 May 2023).
- Godoi, V.A.; Bryan, K.R.; Stephens, S.A.; Gorman, R.M. Extreme waves in New Zealand waters. Ocean Model. 2017, 117, 97–110. [Google Scholar] [CrossRef]
- Paulik, R.; Wild, A.; Stephens, S.; Welsh, R.; Wadhwa, S. National assessment of extreme sea-level driven inundation under rising sea levels. Front. Environ. Sci. 2023, 10, 1045743. [Google Scholar] [CrossRef]






| Flood Event | Date | Location (Territory) | Flood Type | Data Samples | Explanatory Variables |
|---|---|---|---|---|---|
| Edgecumbe 2017 (E2017) | 6 April 2017 | Edgecumbe (Whakatane District) | Riverine-Levee Breach | 220 | 28 |
| Ex-Tropical Cyclone Fehi 2018 (CF2018) | 1 February 2018 | Ruby Bay (Tasman District), Monaco (Nelson City) | Coastal | 57 | 26 |
| Westport 2021 (WP2021) | 17 July 2021 | Westport (Buller District) | Riverine | 247 | 35 |
| Variable | Types or Description | Data Type | Unit or Value | |
|---|---|---|---|---|
| Hazard | Water depth above ground level | Maximum water depth above ground level | Decimal | m |
| Water depth above floor level | Maximum water depth above first finished floor level | Decimal | m | |
| Flow Velocity | Presence of flow velocity damage on building | Boolean | 0 = false; 1 = true | |
| Debris | Presence of debris damage on building | Boolean | 0 = false; 1 = true | |
| Contamination | Presence of contamination damage on building | Boolean | 0 = false; 1 = true | |
| Exposure | Area | Building roof outline area | Integer | m2 |
| Dwelling Type | Detached; Joined; Attached; Apartment | Text | 4 classes | |
| Structural Frame | Brick masonry; Concrete masonry; Timber; Steel | Text | 4 classes | |
| Floor Height | First finished floor level height above ground level | Decimal | m | |
| Foundation | Concrete slab; Pile; Solid wall; Mixed | Text | 4 classes | |
| Construction Period | <1900; 1900–1920; 1920–1940; 1940–1960; 1960–1980; 1980–2000; 2000–2020 | Text | 7 classes | |
| Storeys | Number of complete building floor levels | Integer | 1 to ∞ | |
| Wall Cladding | Brick masonry; Concrete block; Fibre-cement; Fibrolite; Mixed material; Roughcast; Sheet metal; Weatherboard | Text | 8 classes | |
| Damage | Damage Ratio | Relative damage to the residential building or its components | Decimal | 0 to 1 |
| Performance Metric | Formula |
|---|---|
| Mean Squared Error (MSE) | |
| Mean Absolute Error (MAE) | |
| Mean Bias Error (MBE) | |
| Quantile Range (QR) | |
| Hit Rate (HR) |
Disclaimer/Publisher’s Note: The statements, opinions and data contained in all publications are solely those of the individual author(s) and contributor(s) and not of MDPI and/or the editor(s). MDPI and/or the editor(s) disclaim responsibility for any injury to people or property resulting from any ideas, methods, instructions or products referred to in the content. |
© 2023 by the authors. Licensee MDPI, Basel, Switzerland. This article is an open access article distributed under the terms and conditions of the Creative Commons Attribution (CC BY) license (https://creativecommons.org/licenses/by/4.0/).
Share and Cite
Paulik, R.; Williams, S.; Popovich, B. Spatial Transferability of Residential Building Damage Models between Coastal and Fluvial Flood Hazard Contexts. J. Mar. Sci. Eng. 2023, 11, 1960. https://doi.org/10.3390/jmse11101960
Paulik R, Williams S, Popovich B. Spatial Transferability of Residential Building Damage Models between Coastal and Fluvial Flood Hazard Contexts. Journal of Marine Science and Engineering. 2023; 11(10):1960. https://doi.org/10.3390/jmse11101960
Chicago/Turabian StylePaulik, Ryan, Shaun Williams, and Benjamin Popovich. 2023. "Spatial Transferability of Residential Building Damage Models between Coastal and Fluvial Flood Hazard Contexts" Journal of Marine Science and Engineering 11, no. 10: 1960. https://doi.org/10.3390/jmse11101960
APA StylePaulik, R., Williams, S., & Popovich, B. (2023). Spatial Transferability of Residential Building Damage Models between Coastal and Fluvial Flood Hazard Contexts. Journal of Marine Science and Engineering, 11(10), 1960. https://doi.org/10.3390/jmse11101960

