Evolution and Statistical Analysis of Internal Random Wave Fields within the Benjamin–Ono Equation
Abstract
1. Introduction
2. The Benjamin–Ono Equation
3. Numerical Methods
4. Results
4.1. Wave Field
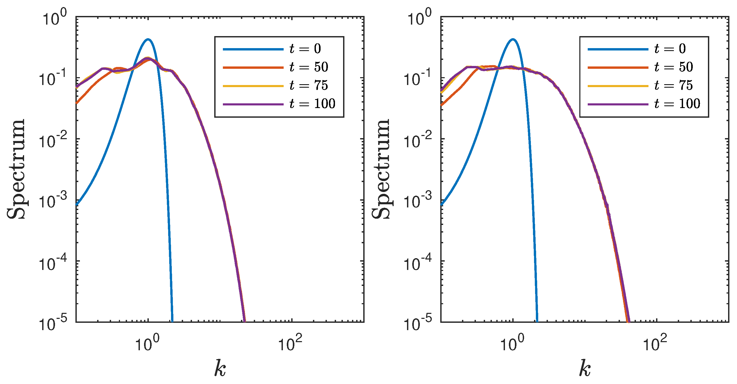
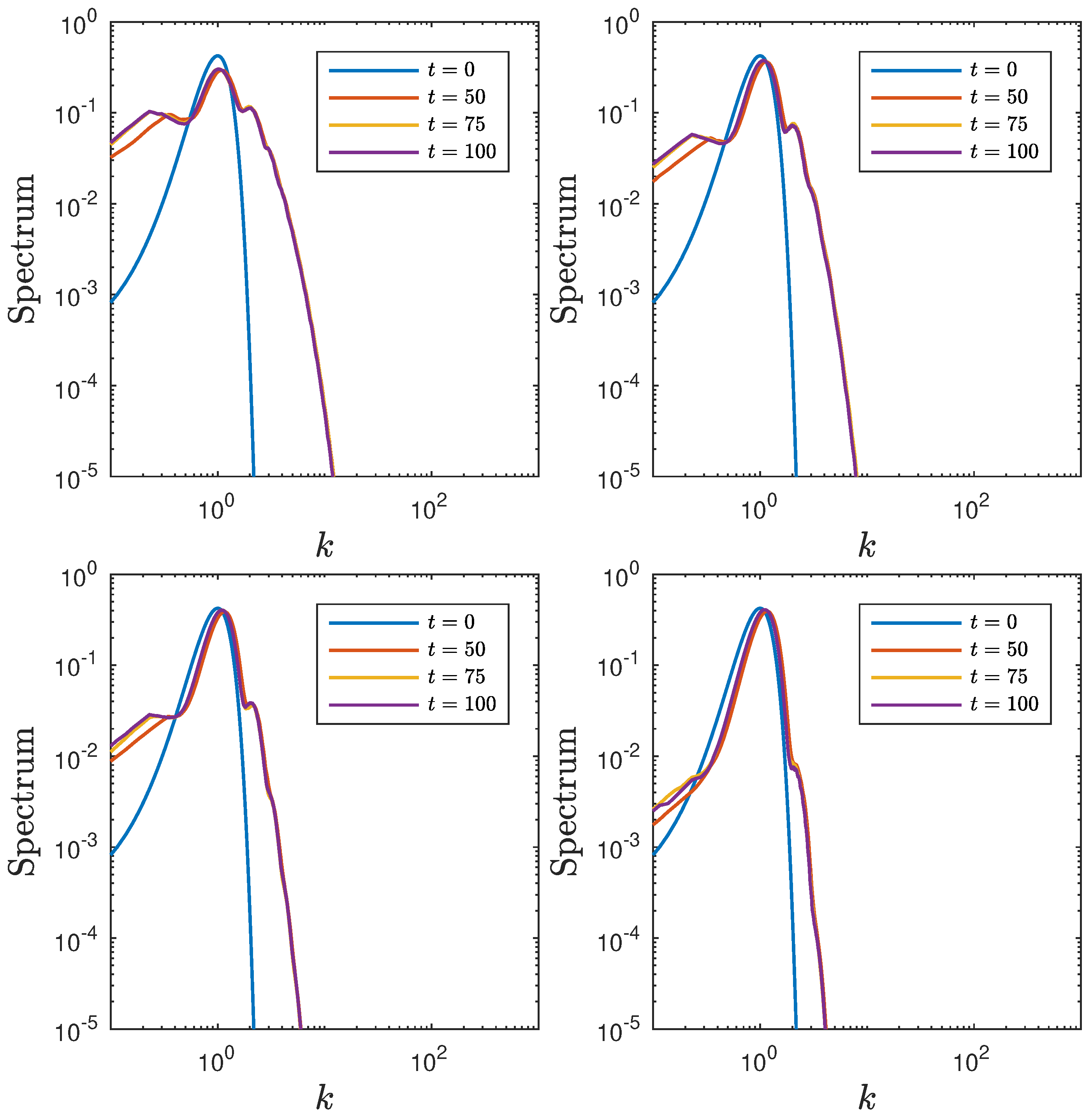
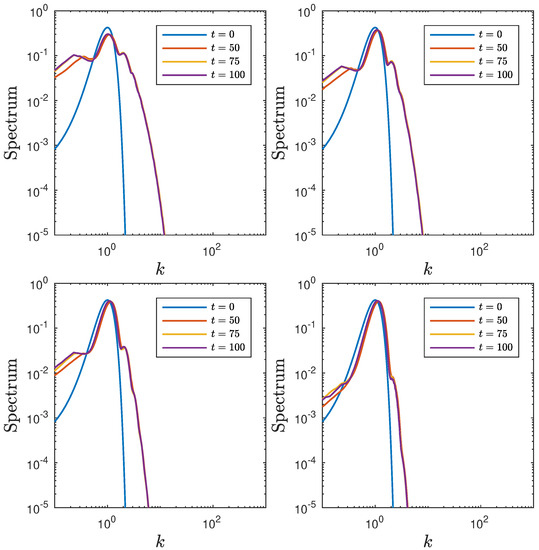
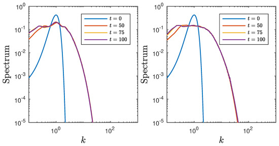
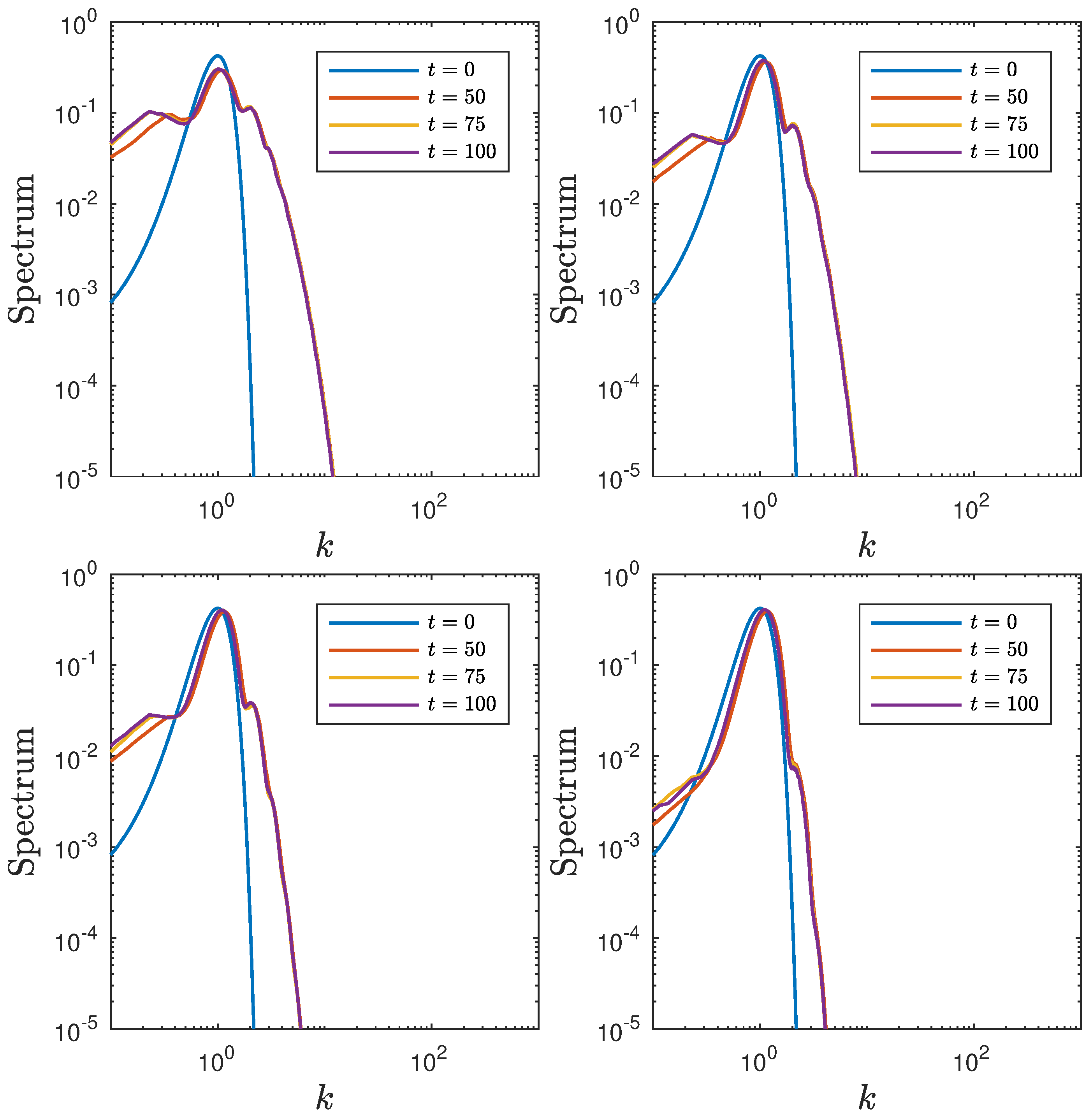
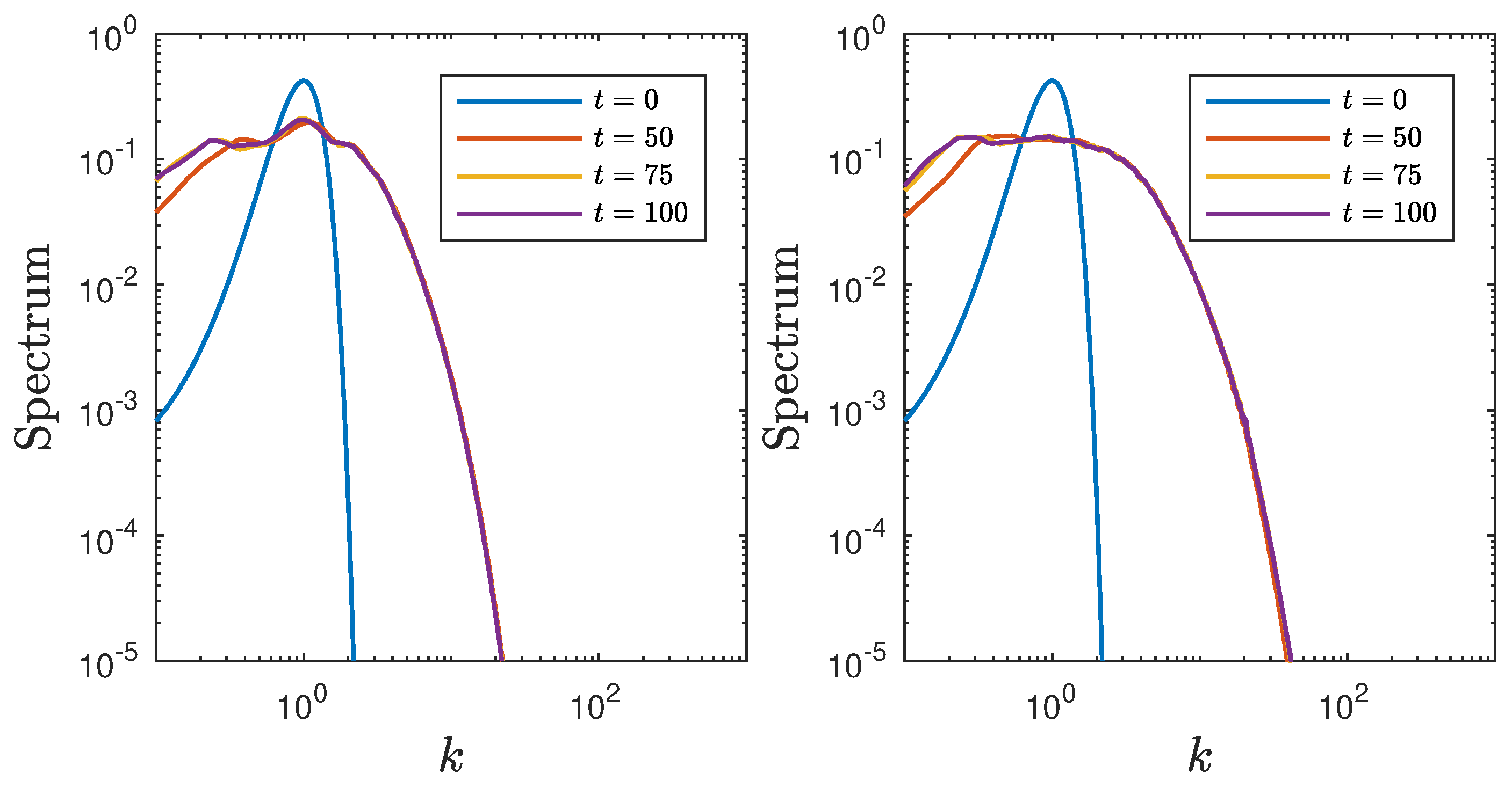
4.2. Spectra
4.3. Statistical Moments
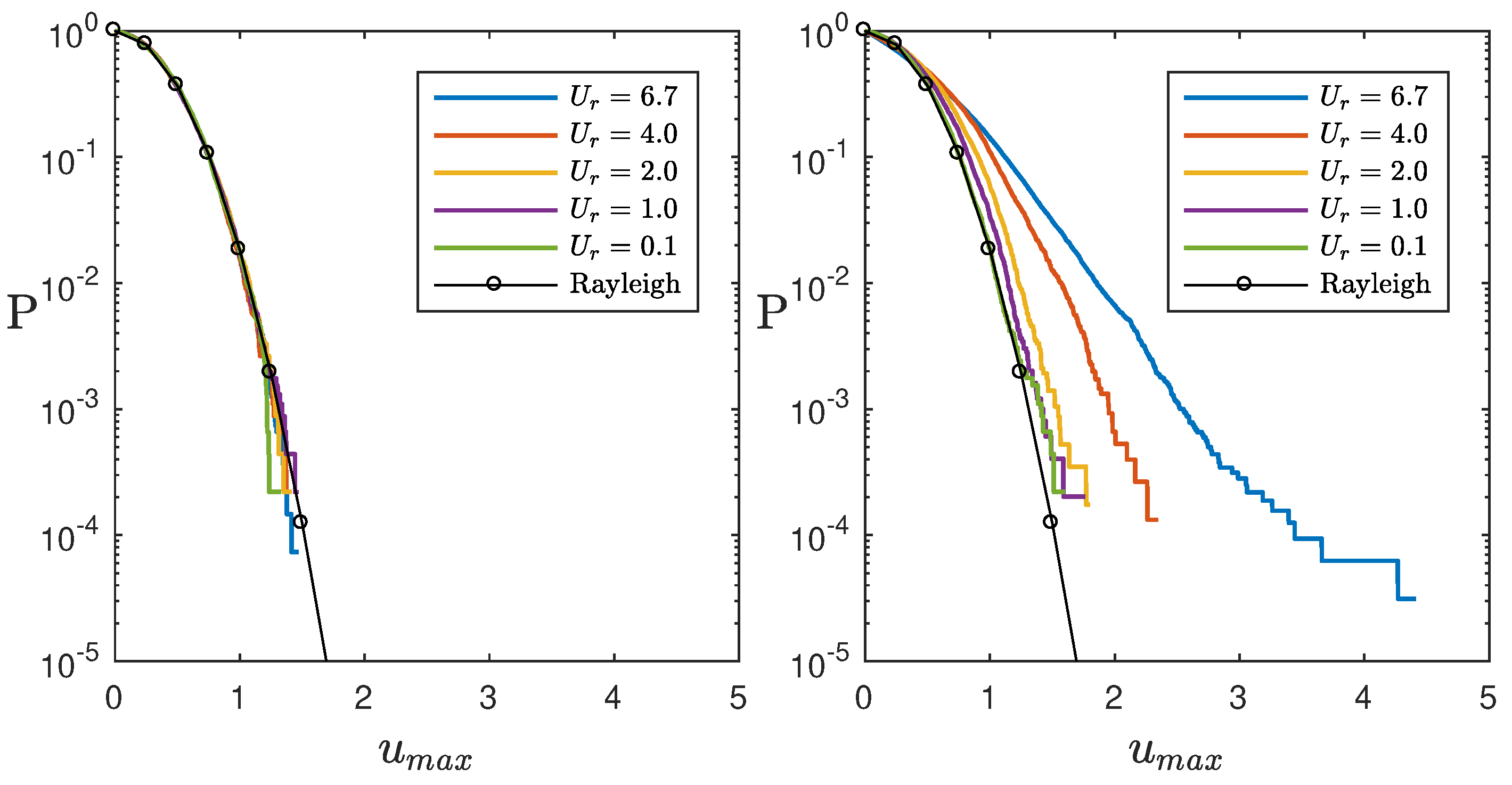
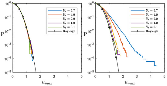
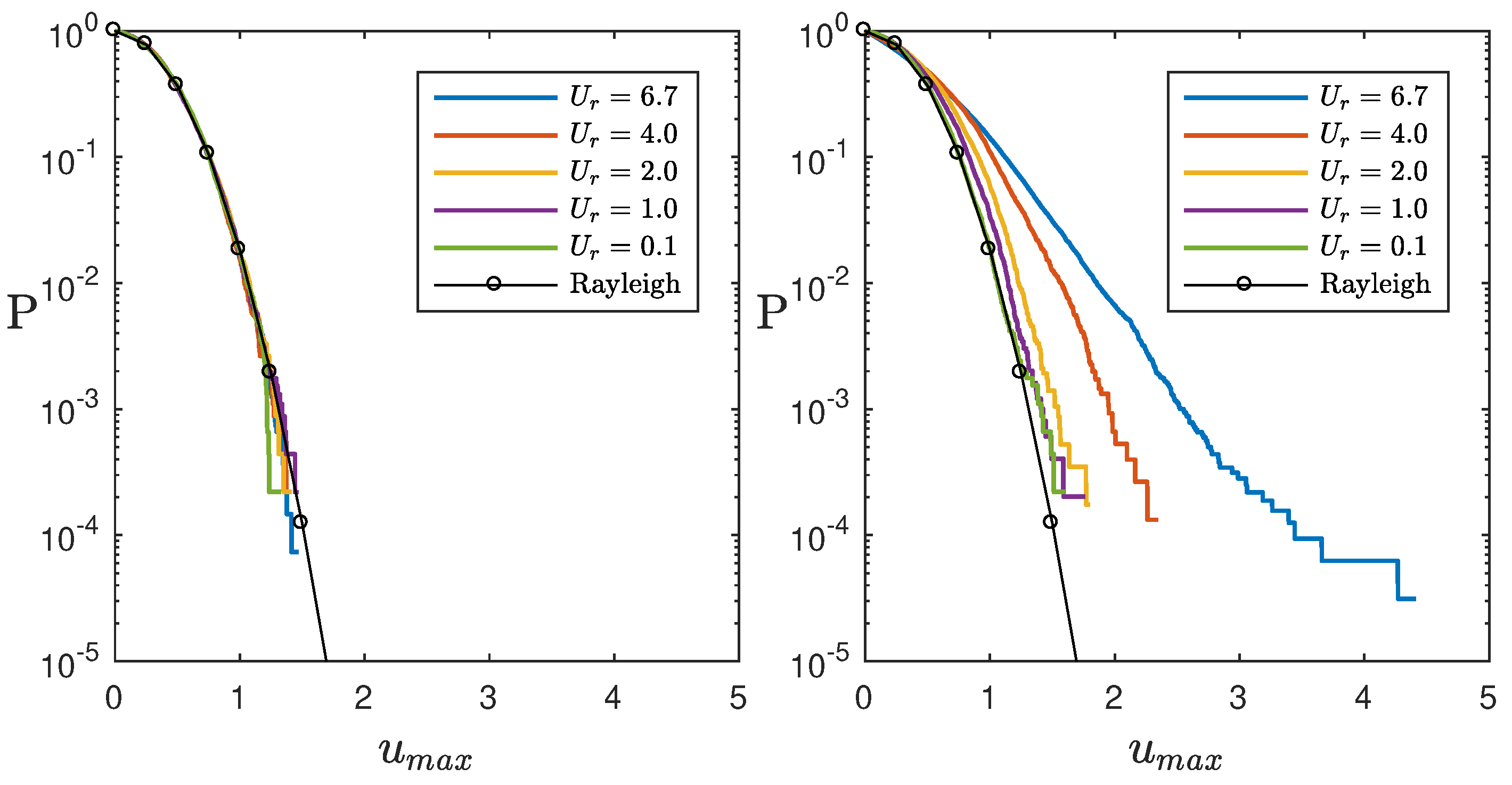
4.4. Crest Distribution
5. Conclusions
Author Contributions
Funding
Institutional Review Board Statement
Informed Consent Statement
Data Availability Statement
Acknowledgments
Conflicts of Interest
References
- Apel, J.R.; Ostrovsky, L.A.; Stepanyants, Y.A.; Lynch, J.F. Internal solitons in the ocean and their effect on underwater sound. J. Acoust. Soc. Am. 2007, 121, 695. [Google Scholar] [CrossRef] [PubMed]
- Duda, T.F.; Lynch, J.F.; Irish, J.D.; Beardsley, R.C.; Ramp, S.R.; Chiu, C.-S.; Tang, T.Y.; Yang, Y.-J. Internal tide and nonlinear internal wave behavior at the continental slope in the northern South China Sea. IEEE J. Ocean Eng. 2004, 29, 110531. [Google Scholar] [CrossRef]
- Orr, M.H.; Mignerey, P.C. Nonlinear internal waves in the South China Sea: Observation of the conversion of depression internal waves to elevation internal waves. J. Geophys. Res. 2003, 108, 3064. [Google Scholar] [CrossRef]
- Grimshaw, R.; Pelinovsky, E.; Talipova, T.; Sergeeva, A. Rogue internal waves in the ocean: Long wave model. Eur. Phys. J. Spec. Top. 2010, 185, 195–208. [Google Scholar] [CrossRef]
- Bokaeeyan, M.; Ankiewicz, A.; Akhmediev, N. Bright and dark rogue internal waves: The Gardner equation approach. Phys. Rev. E 2019, 99, 062224. [Google Scholar] [CrossRef]
- Grimshaw, R.; Pelinovsky, E.; Talipova, T.; Kurkina, O. Internal solitary waves: Propagation, deformation and disintegration. Nonlinear Process. Geophys. 2010, 17, 633–649. [Google Scholar] [CrossRef]
- Choi, W.; Camassa, R. Weakly nonlinear internal waves in a two-fluid system. J. Fluid. Mech. 1996, 313, 83–103. [Google Scholar] [CrossRef]
- Matsuno, Y. A unified theory of nonlinear wave propagation in two-layer fluid systems. Phys. Soc. Japan 1993, 62, 1902–1916. [Google Scholar] [CrossRef]
- Matsuno, Y. Nonlinear evolution of surface gravity waves over an uneven bottom. J. Fluid Mech. 1993, 249, 121–133. [Google Scholar] [CrossRef]
- Alquran, M.; Ali, M.; Jadallah, H. New topological and non-topological unidirectional-wave solutions for the modified- mixed KdV equation and bidirectional-waves solutions for the Benjamin Ono equation using recent techniques. J. Ocean Eng. Sci. 2022, 7, 163–169. [Google Scholar] [CrossRef]
- Benjamin, T.B. Internal waves of permanent form of great depth. J. Fluid Mech. 1967, 295, 381–394. [Google Scholar] [CrossRef]
- Compelli, A.C.; Ivanov, R.I. Benjamin-Ono model of an internal wave under a flat surface. arXiv 2018, arXiv:1811.01446. [Google Scholar] [CrossRef]
- Davis, R.E.; Acrivos, A. Solitary internal waves in deep water. J. Fluid. Mech. 1967, 295, 593–607. [Google Scholar] [CrossRef]
- Kubota, T.; Ko, D.R.S.; Dobbs, L.D. Propagation of weakly nonlinear internal waves in a stratified fluid of finite depth. AZAA J. Hydrodyn. 1978, 12, 157–165. [Google Scholar]
- Meng, X. The solitary waves solutions of the internal wave Benjamin-Ono equation. J. Appl. Math. Phys. 2014, 2, 807. [Google Scholar] [CrossRef]
- Ono, H. Algebraic solitary waves in stratified fluids. J. Phys. Soc. Japan 1975, 39, 1082–1091. [Google Scholar] [CrossRef]
- Passaggia, P.Y.; Chalamalla, V.K.; Hurley, M.W.; Scotti, A.; Santilli, E. Estimating pressure and internal-wave flux from laboratory experiments in focusing internal waves. Exp. Fluids 2020, 61, 1–29. [Google Scholar] [CrossRef]
- Baines, S. Topographic Effects in Stratified Flows; Cambridge University Press: Cambridge, UK, 1995. [Google Scholar]
- Johnson, R.S. Models for the formation of a critical layer in water wave propagation. Philos. Trans. R. Soc. 2012, 370, 1638–1660. [Google Scholar] [CrossRef]
- Didenkulova, E.G.; Slunyaev, A.V.; Pelinovsky, E.N. Numerical simulation of random bimodal wave systems in the KdV framework. Eur. J. Mech. B. Fluids 2019, 78, 21–31. [Google Scholar] [CrossRef]
- Dutykh, D. Evolution of random wave fields in the water of finite depth. Procedia Iutam 2014, 11, 34–43. [Google Scholar] [CrossRef]
- Pelinovsky, E.; Sergeeva, A. Numerical modeling of the KdV random wave field. Eur. J. Mech. B Fluids 2002, 15, 66–77. [Google Scholar] [CrossRef]
- Pelinovsky, E.; Shurgalina, E. Nonlinear dynamics of a soliton gas: Modified Korteweg-de Vries equation framework. Phys. Lett. A 2006, 380, 2049–2053. [Google Scholar]
- Viotti, C.; Dutykh, D.; Dudley, J.M.; Dias, F. Emergence of coherent wave groups in deep-water random sea. Phys. Rev. E 2013, 87, 063001. [Google Scholar] [CrossRef]
- Alfaro-Vigo, D.; Fouque, J.; Garnier, J.; Nachbin, A. Robustness of time reversal for waves in time-dependent random media. Stoch. Process. Their Appl. 2004, 113, 289–313. [Google Scholar] [CrossRef][Green Version]
- Fouque, J.; Garnier, J.; Nachbin, A. Time reversal for dispersive waves in random media. SIAM J. Appl. Math. 2004, 64, 1819–1836. [Google Scholar]
- Fouque, J.; Garnier, J.; Nachbin, A.; Solna, K. Time reversal refocusing for point source in randomly layered media. Wave Motion. 2005, 42, 238–260. [Google Scholar] [CrossRef]
- Nachin, A.; Solna, K. Apparent diffusion due to topographic microstructure in shallow waters. Phys. Fluids 2017, 2, 034801. [Google Scholar]
- Dudley, J.M.; Genty, G.; Mussot, A.; Chabchoub, A.; Dias, F. Rogue waves and analogies in optics and oceanography. Nat. Rev. Phys. 2019, 1, 675–689. [Google Scholar] [CrossRef]
- Kharif, C.; Pelinovsky, E.; Slunyaev, A. Rogue Waves in the Ocean (Book Series: Advances in Geophysical and Environmental Mechanics and Mathematics); Springer: Berlin/Heidelberg, Germany, 2009. [Google Scholar]
- Onorato, M.; Residori, S.; Bortolozzo, U.; Montina, S.; Arecchi, F. Rogue waves and their generating mechanisms in different physical contexts. Phys. Rep. 2013, 528, 47–89. [Google Scholar] [CrossRef]
- Didenkulova, E.G.; Pelinovsky, E. Estimation of a freak wave lifetime in the shallow sea. J. Mar. Sci. Eng. 2023, 11, 482. [Google Scholar] [CrossRef]
- Lvov, Y.V.; Tabak, E.G. Hamiltonian formalism and the Garrett-Munk spectrum of internal waves in the ocean. Phys. Rev. Lett. 2001, 87, 168501. [Google Scholar] [CrossRef]
- Lvov, Y.V.; Nazarenko, S. Noisy spectra, long correlations, and intermittency in wave turbulence. Phys. Rev. E 2004, 69, 066608. [Google Scholar] [CrossRef] [PubMed]
- Lvov, Y.V.; Tabak, E.G. A Hamiltonian Formulation for Long Internal Waves. Phys. D 2004, 195, 106. [Google Scholar] [CrossRef]
- Lvov, Y.V.; Yokoyama, N. Energy spectra of internal waves in stratified fluid: Direct numerical simulations. Phys. D 2009, 238, 803–815. [Google Scholar] [CrossRef]
- Trefethen, L.N. Spectral Methods in MATLAB; SIAM: Philadelphia, PA, USA, 2001. [Google Scholar]
- Flamarion, M.V.; Milewski, P.A.; Nachbin, A. Rotational waves generated by current-topography interaction. Stud. Appl. Math. 2019, 142, 433–464. [Google Scholar] [CrossRef]
- Flamarion, M.V.; Pelinovsky, E. Interaction of interfacial waves with an external force: The Benjamin-Ono equation framework. Symmetry 2023, 15, 1478. [Google Scholar] [CrossRef]
- Akhmediev, N.; Soto-Crespo, J.M.; Ankiewicz, A. How to excite a rogue wave. Phys. Rev. A 2007, 80, 043818. [Google Scholar] [CrossRef]
- Solli, D.R.; Ropers, C.; Koonath, P.; Jalali, B. Optical rogue waves. Nature 2009, 450, 1054–1057. [Google Scholar] [CrossRef] [PubMed]
- Yeom, D.-L.; Eggleton, B.J. Rogue waves surface in light. Nature 2007, 450, 953–954. [Google Scholar] [CrossRef]
- Bai, X.; Zhang, D. Search for rogue waves in Bose-Einstein condensates via a theory-guided neural network. Phys. Rev. E 2022, 106, 025305. [Google Scholar] [CrossRef]
- Manikandan, K.; Senthilvelan, M.; Kraenkel, R.A. Amplification of matter rogue waves and breathers in quasi-two-dimensional Bose-Einstein condensates. Eur. Phys. J. B 2016, 89, 30. [Google Scholar] [CrossRef]
- Tan, Y.; Bai, X.; Tiantian, L. Super rogue waves: Collision of rogue waves in Bose-Einstein condensate. Phys. Rev. E 2022, 106, 014208. [Google Scholar] [CrossRef]
- Yan, Z.Y. Financial Rogue Waves. Commun. Theor. Phys. 2010, 54, 947. [Google Scholar] [CrossRef]
- Onorato, M.; Osborne, A.R.; Serio, M.; Bertone, S. Freak wave in random oceanic sea states. Phys. Rev. Lett. 2001, 86, 5831–5834. [Google Scholar] [CrossRef] [PubMed]
- Tanaka, M. A method of studying of nonlinear random fields. Fluid Dynam. Res. 2001, 86, 41–60. [Google Scholar] [CrossRef]












Disclaimer/Publisher’s Note: The statements, opinions and data contained in all publications are solely those of the individual author(s) and contributor(s) and not of MDPI and/or the editor(s). MDPI and/or the editor(s) disclaim responsibility for any injury to people or property resulting from any ideas, methods, instructions or products referred to in the content. |
© 2023 by the authors. Licensee MDPI, Basel, Switzerland. This article is an open access article distributed under the terms and conditions of the Creative Commons Attribution (CC BY) license (https://creativecommons.org/licenses/by/4.0/).
Share and Cite
Flamarion, M.V.; Pelinovsky, E. Evolution and Statistical Analysis of Internal Random Wave Fields within the Benjamin–Ono Equation. J. Mar. Sci. Eng. 2023, 11, 1853. https://doi.org/10.3390/jmse11101853
Flamarion MV, Pelinovsky E. Evolution and Statistical Analysis of Internal Random Wave Fields within the Benjamin–Ono Equation. Journal of Marine Science and Engineering. 2023; 11(10):1853. https://doi.org/10.3390/jmse11101853
Chicago/Turabian StyleFlamarion, Marcelo V., and Efim Pelinovsky. 2023. "Evolution and Statistical Analysis of Internal Random Wave Fields within the Benjamin–Ono Equation" Journal of Marine Science and Engineering 11, no. 10: 1853. https://doi.org/10.3390/jmse11101853
APA StyleFlamarion, M. V., & Pelinovsky, E. (2023). Evolution and Statistical Analysis of Internal Random Wave Fields within the Benjamin–Ono Equation. Journal of Marine Science and Engineering, 11(10), 1853. https://doi.org/10.3390/jmse11101853

