A Wet/Dry Point Treatment Method of FVCOM, Part II: Application to the Okatee/Colleton River in South Carolina
Abstract
:1. Introduction
2. The Model and Design of Numerical Experiments
2.1. The Model
2.2. Design of Numerical Experiments
3. Tidal Simulation and Residual Flow
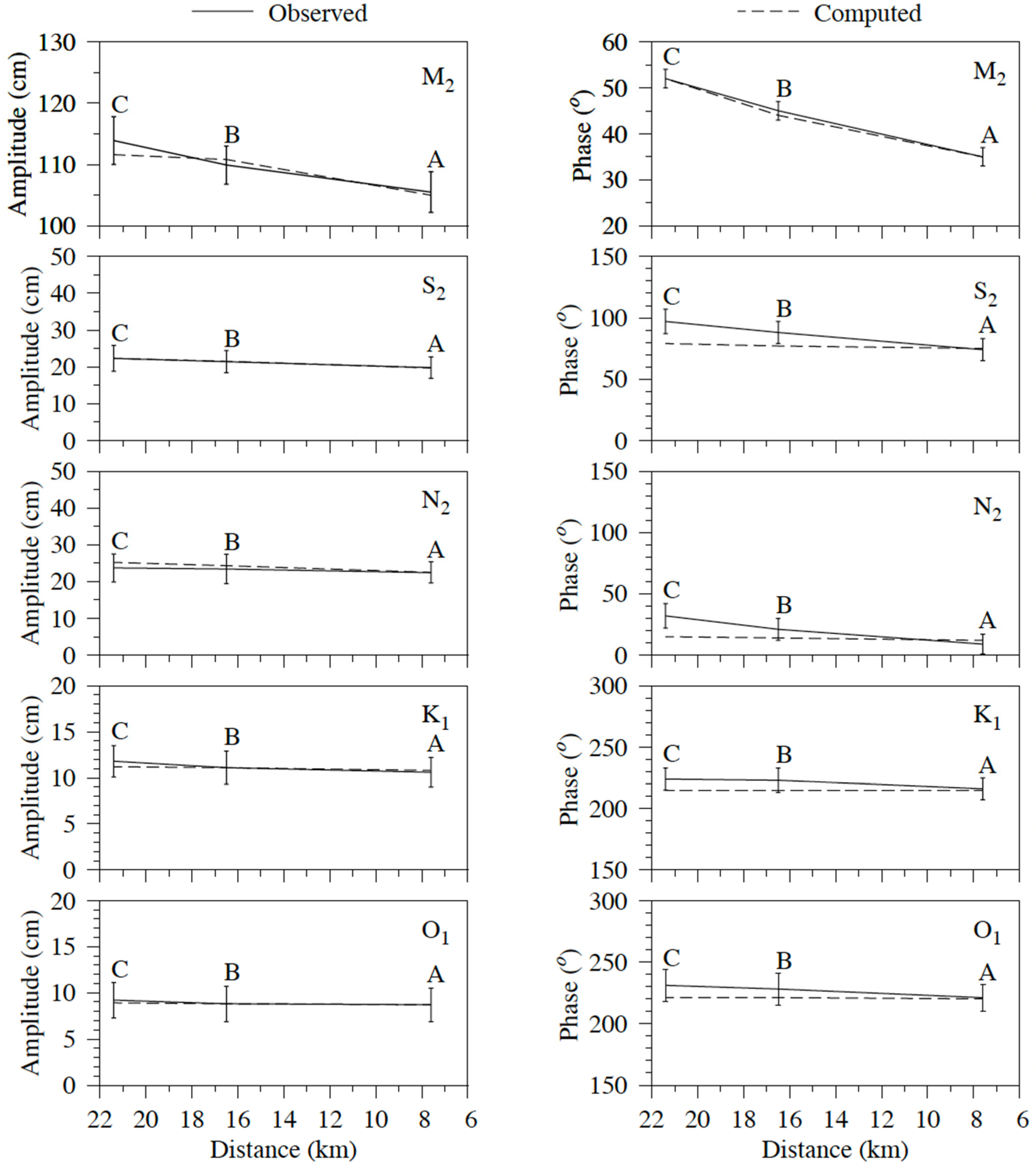
3.1. The Water Elevation
3.2. Tidal Currents
3.3. Residual Currents
4. The Flooding/Drying Process
5. Chaotic Nature of Water Transport
6. Summary and Discussion
Author Contributions
Funding
Institutional Review Board Statement
Informed Consent Statement
Data Availability Statement
Acknowledgments
Conflicts of Interest
References
- Kleppel, G.S.; DeVoe, N.R. The South Atlantic Bight Land Use-Coastal Ecosystem Study (LU-CES): The State of Knowledge on Issues Pertinent to the Program Mission—A Synthesis. 1999. 21p. Available online: http://www.lu-ces.org/documents/SOKreports/sokrptsynthesis.pdf (accessed on 5 July 2022).
- Li, C.; Blanton, J.; Chen, C. Mapping of tide and tidal flow fields along a tidal channel with vessel-based observations. J. Geophys. Res. 2004, 109, C04002. [Google Scholar] [CrossRef]
- Chen, C.; Liu, L.; Beardsley, R.C. An unstructured grid, finite-volume, three-dimensional, primitive equation ocean model: Application to coastal ocean and estuaries. J. Atmos. Ocean. Technol. 2003, 20, 159–186. [Google Scholar] [CrossRef]
- Chen, C.; Beardsley, R.C.; Cowles, G. An unstructured grid, finite-volume coastal ocean model (FVCOM) system. Special issue entitled “advance in computational oceanography”. Oceanography 2006, 19, 78–89. [Google Scholar] [CrossRef] [Green Version]
- Chen, C.; Beardsley, R.C.; Cowles, G. An Unstructured Grid, Finite-Volume Coastal Ocean Model-FVCOM User Manual; Technical Report SMAST/UMASSD-06-0602; School for Marine Science and Technology, University of Massachusetts Dartmouth: New Bedford, MA, USA, 2006; p. 315. [Google Scholar]
- Chen, C.; Huang, H.; Beardsley, R.C.; Liu, H.; Xu, Q.; Cowles, G. A finite-volume numerical approach for coastal ocean circulation studies: Comparisons with finite difference models. J. Geophys. Res. 2007, 112, C03018. [Google Scholar] [CrossRef]
- Chen, C.; Beardsley, R.C.; Cowles, G.; Qi, J.; Lai, Z.; Gao, G.; Stuebe, D.; Liu, H.; Xu, Q.; Xue, P.; et al. An Unstructured-Grid, Finite-Volume Community Ocean Model FVCOM User Manual, 4th ed.; SMAST/UMASSD Technical Report-13-0701; University of Massachusetts-Dartmouth: New Bedford, MA, USA, 2013; p. 404. [Google Scholar]
- Blumberg, A.F. A Primer for ECOM-si; Technical Report; HydroQual, Inc.: Mahwah, NJ, USA, 1992; 66p. [Google Scholar]
- Chen, C.; Qi, J.; Li, C.; Beardsley, R.C.; Lin, H.; Walker, R.; Gates, K. Complexity of the flooding/drying process in an estuarine tidal-creek salt-marsh system: An application of FVCOM. J. Geophys. Res. 2008, 113, C07052. [Google Scholar] [CrossRef] [Green Version]
- Zimmerman, J.T.F. The tidal whirlpool: A review of horizontal dispersion by tidal and residual currents. Neth. J. Sea Res. 1986, 20, 133–154. [Google Scholar] [CrossRef]
- Ridderinkhof, H.; Zimmerman, J.T.F. Chaotic stirring in a tidal system. Science 1992, 258, 1107–1111. [Google Scholar] [CrossRef]
- Chen, C.; Beardsley, R.C. Cross-frontal water exchange on Georges Bank: Some results from an U.S. GLOBEC/Georges Bank Program model study. J. Oceanogr. 2002, 58, 403–420. [Google Scholar] [CrossRef]
- Mellor, G.L.; Yamada, T. Development of a turbulence closure model for geophysical fluid problem. Rev. Geophys. Space. Phys. 1982, 20, 851–875. [Google Scholar] [CrossRef] [Green Version]
- Smagorinsky, J. General circulation experiments with the primitive equations. I. The basic experiment. Mon. Wea. Rev. 1963, 91, 99–164. [Google Scholar] [CrossRef]
- Blumberg, A.F.; Mellor, G.L. A description of a three-dimensional coastal ocean circulation model. In Three-Dimensional Coastal Ocean Models; Heaps, N.S., Ed.; American Geophysical Union: Washington, DC, USA, 1987; Volume 4, pp. 1–16. [Google Scholar]
- Song, Y.; Haidvogel, D. A semi-implict ocean circulation model using a generalized topography-following coordinate system. J. Comput. Phys. 1994, 115, 228–244. [Google Scholar] [CrossRef]
- Kobayashi, M.H.; Pereira, J.M.C.; Pereira, H.C. A conservative finite-volume second-order-accurate projection method on hybrid unstructured grids. J. Comput. Phys. 1999, 150, 40–45. [Google Scholar] [CrossRef]
- Hubbard, M.E. Multidimensional slope limiters for MUSCL-type finite volume schemes on unstructured grids. J. Comput. Phys. 1999, 155, 54–74. [Google Scholar] [CrossRef]
- Chen, C.; Qi, J.; Liu, H.; Beardsley, R.C.; Lin, H.; Cowles, G. A wet/dry point treatment method of FVCOM, part I: Stability experiments. J. Mar. Sci. Eng. 2022, 10, 896. [Google Scholar] [CrossRef]
- Huang, H.; Chen, C.; Blanton, J.O.; Andrade, F.A. A numerical study of tidal asymmetry in the Okatee Creek, South Carolina. Estuar. Coast. Shelf Sci. 2008, 78, 190–202. [Google Scholar] [CrossRef]
- Foreman, M.G.G. Manual for Tidal Currents Analysis and Prediction; Pacific Marine Science Report 78-6; Institute of Ocean Sciences: Sydney, BC, Canada, 1978; 57p. [Google Scholar]
- Chen, C. Variability of Currents in Great South Channel and over Georges Bank. Ph.D. Dissertation, Technical Report WHOI-92-20. The Massachusetts Institute of Technology (MIT)/Woods Hole Oceanographic Institution (WHOI) Joint Program, Woods Hole, MA, USA, 1992; 283p. [Google Scholar]
- Chen, C.; Beardsley, R.C.; Limeburner, R. The structure of the Kuroshio southwest of Kyushu: Velocity, transport and potential vorticity fields. Deep Sea Res. Part A. Oceanogr. Res. Pap. 1992, 39, 245–268. [Google Scholar] [CrossRef]
- Chen, C.; Beardsley, R.C.; Limeburber, R. Variability of currents in late spring in the northern Great South Channel. Cont. Shelf Res. 1995, 15, 451–473. [Google Scholar] [CrossRef]
- Pawlowicz, R.; Beardsley, R.C.; Lentz, S. Classical tidal harmonic analysis including error estimates in MATLAB using T_TIDE. Comput. Geosci. 2002, 28, 929–937. [Google Scholar] [CrossRef]
- Chen, C.; Beardsley, R.C.; Franks, P.J.S. A 3-D prognostic numerical model study of the Georges Bank ecosystem. Part I: Physical model. Deep Sea Res. Part II Top. Stud. Oceanogr. 2001, 48, 419–456. [Google Scholar] [CrossRef]
- Zhao, L.; Chen, C.; Vallino, J.; Hopkinson, C.; Beardsley, R.C.; Lin, H.; Lerczak, J. Wetland-estuarine-shelf interaction in the Plum island sound and Merrimack river in the Massachusetts coast. J. Geophys. Res. Oceans 2010, 115, 1–13. [Google Scholar] [CrossRef] [Green Version]
- Beardsley, R.C.; Chen, C.; Xu, Q. Coastal flooding in Scituate (MA): A FVCOM study of the 27 December 2010 nor’easter. J. Geophys. Res. Ocean 2013, 118, 6030–6045. [Google Scholar] [CrossRef] [Green Version]
- Chen, C.; Beardsley, R.C.; Luettich, R.A., Jr.; Westerink, J.J.; Wang, H.; Perrie, W.; Xu, Q.; Dohahue, A.S.; Qi, J.; Lin, H.; et al. Extratropical storm inundation testbed: Intermodal comparisons in Scituate, Massachusetts. J. Geophys. Res. Ocean 2013, 118, 5054–5073. [Google Scholar] [CrossRef] [Green Version]
- Chen, C.; Lin, Z.; Beardsley, R.C.; Shyka, T.; Zhang, Y.; Xu, Q.; Qi, J.; Lin, H.; Xu, D. Impacts of sea-level rise on future storm-induced coastal inundations over Massachusetts coast. Nat. Hazard 2021, 106, 375–399. [Google Scholar] [CrossRef]
- Chen, C.; Lai, Z.; Beardsley, R.C.; Sasaki, J.; Lin, J.; Lin, H.; Ji, R.; Sun, Y. The March 11, 2011 Tóhoku M9.0 earthquake-induced Tsunami and coastal inundation along the Japanese coast: A model assessment. Prog. Oceanogr. 2014, 123, 84–104. [Google Scholar] [CrossRef] [Green Version]
- Chen, C.; Xu, Q.; Houghton, R.; Beardsley, R.C. A model-dye comparison experiment in the tidal mixing front zone on the southern flank of Georges Bank. J. Geophys. Res. 2008, 113, C02005. [Google Scholar] [CrossRef] [Green Version]














| Amplitude (cm) | Phase (degree) | ||||
|---|---|---|---|---|---|
| Observed | Modeled | Observed | Modeled | ||
| M2 | Site A | 105.5 ± 3.3 | 105.0 | 35.0 ± 2.0 | 35.0 |
| Site B | 109.9 ± 3.1 | 110.8 | 45.0 ± 2.0 | 44.0 | |
| Site C | 113.9 ± 3.9 | 111.6 | 52.0 ± 2.0 | 52.0 | |
| S2 | Site A | 19.8 ± 2.9 | 19.7 | 74.0 ± 9.0 | 75.0 |
| Site B | 21.4 ± 3.0 | 21.5 | 88.0 ± 9.0 | 77.0 | |
| Site C | 22.3 ± 3.5 | 22.3 | 97.0 ± 10.0 | 79.0 | |
| N2 | Site A | 22.4 ± 2.9 | 22.5 | 9.0 ± 8.0 | 12.0 |
| Site B | 23.4 ± 4.0 | 24.3 | 21.0 ± 9.0 | 14.0 | |
| Site C | 23.7 ± 3.8 | 25.2 | 32.0 ± 10.0 | 15.0 | |
| K1 | Site A | 10.6 ± 1.6 | 10.8 | 216.0 ± 9.0 | 215.0 |
| Site B | 11.1 ± 1.8 | 11.1 | 223.0 ± 10.0 | 215.0 | |
| Site C | 11.8 ± 1.7 | 11.2 | 224.0 ± 9.0 | 215.0 | |
| O1 | Site A | 8.7 ± 1.8 | 8.7 | 221.0 ± 11.0 | 220.0 |
| Site B | 8.8 ± 1.9 | 8.8 | 228.0 ± 13.0 | 221.0 | |
| Site C | 9.2 ± 1.9 | 8.9 | 231.0 ± 13.0 | 221.0 | |
| Umajor (cm s−1) | Uminor (cm s−1) | θorien (°) | G (°) | |||||||
|---|---|---|---|---|---|---|---|---|---|---|
| Depth | O | C | O | C | O | C | O | C | ||
| M2 Site B | 1.93 | 71.5 ± 2.5 | 71.9 | 0.4 ± 1.1 | −0.5 | 8.9 ± 0.9 | 10.9 | 137.2 ± 2.4 | 143.0 | |
| 2.43 | 71.5 ± 3.0 | 70.6 | 0.3 ± 1.3 | −0.5 | 8.8 ± 1.1 | 10.9 | 138.1 ± 2.4 | 143.0 | ||
| 2.93 | 70.3 ± 2.5 | 68.7 | 0.5 ± 1.2 | −0.5 | 8.7 ± 1.1 | 10.9 | 138.3 ± 2.1 | 142.9 | ||
| 3.43 | 68.6 ± 2.2 | 66.4 | 0.8 ± 1.2 | −0.5 | 8.5 ± 1.1 | 10.9 | 138.4 ± 2.2 | 142.8 | ||
| 3.93 | 66.4 ± 2.6 | 63.4 | 1.0 ± 1.0 | −0.5 | 8.5 ± 0.9 | 11.0 | 138.4 ± 2.0 | 142.7 | ||
| 4.43 | 63.5 ±2.3 | 59.7 | 1.3 ± 1.1 | −0.4 | 8.6 ± 1.0 | 11.0 | 138.5 ± 2.2 | 142.7 | ||
| 4.93 | 59.8 ± 2.2 | 54.7 | 1.5 ± 1.2 | −0.4 | 8.9 ± 1.1 | 11.1 | 138.6 ± 2.0 | 142.6 | ||
| Site C | 2.03 | 26.4 ± 1.0 | 26.8 | −0.8 ± 0.7 | −0.5 | 31.0 ± 1.7 | 13.5 | 144.8 ± 2.3 | 151.6 | |
| 2.53 | 26.2 ± 0.9 | 26.3 | −1.3 ± 0.6 | −0.6 | 27.8 ± 1.7 | 13.6 | 145.7 ± 1.9 | 151.9 | ||
| 3.03 | 25.8 ± 0.8 | 25.5 | −1.2 ± 0.6 | −0.7 | 25.8 ± 1.4 | 13.5 | 145.4 ± 2.2 | 152.4 | ||
| 3.53 | 25.4 ± 0.9 | 24.5 | −1.0 ± 0.6 | −0.8 | 24.3 ± 1.3 | 13.3 | 145.2 ± 2.1 | 152.7 | ||
| 4.03 | 24.9 ± 0.9 | 22.8 | −0.7 ± 0.6 | −1.0 | 23.2 ± 1.3 | 12.7 | 145.3 ± 2.0 | 153.4 | ||
| 4.53 | 24.1 ± 0.8 | 20.4 | −0.4 ± 0.6 | −1.1 | 22.8 ± 1.3 | 11.2 | 145.8 ± 2.3 | 154.1 | ||
| S2 Site B | 1.93 | 14.7 ± 2.5 | 15.7 | 0.2 ± 1.2 | 0.1 | 9.6 ± 4.4 | 11.0 | 176.4 ± 10.2 | 172.1 | |
| 2.43 | 14.4 ± 2.9 | 15.4 | 0.1 ± 1.3 | 0.1 | 9.0 ± 4.6 | 11.0 | 179.6 ± 10.9 | 171.9 | ||
| 2.93 | 14.3 ± 2.7 | 14.9 | 0.1 ± 1.3 | 0.1 | 8.8 ± 4.7 | 11.1 | 180.7 ± 10.2 | 171.6 | ||
| 3.43 | 13.9 ± 2.2 | 14.5 | 0.2 ± 1.2 | 0.1 | 8.7 ± 5.3 | 11.2 | 180.8 ± 10.3 | 171.4 | ||
| 3.93 | 13.4 ± 2.4 | 13.7 | 0.2 ± 1.2 | 0.1 | 8.6 ± 4.5 | 11.4 | 181.1 ± 12.3 | 170.9 | ||
| 4.43 | 12.9 ± 2.5 | 13.2 | 0.2 ± 1.2 | 0.1 | 8.9 ± 4.8 | 11.6 | 181.2 ± 9.0 | 170.6 | ||
| 4.93 | 12.1 ± 2.2 | 12.0 | 0.2 ± 1.3 | 0.1 | 9.3 ± 6.4 | 11.9 | 181.3 ± 9.0 | 170.0 | ||
| Site C | 2.03 | 5.4 ± 1.0 | 6.6 | 0.2 ± 0.8 | −0.1 | 32.7 ± 7.3 | 16.2 | 183.8 ± 10.1 | 179.0 | |
| 2.53 | 5.2 ± 0.9 | 6.4 | −0.1 ± 0.7 | −0.1 | 30.0 ± 7.6 | 16.4 | 187.1 ± 9.6 | 178.8 | ||
| 3.03 | 5.2 ± 0.8 | 6.2 | −0.0 ± 0.6 | −0.1 | 27.1 ± 7.4 | 16.3 | 187.1 ± 9.8 | 178.4 | ||
| 3.53 | 5.1 ± 0.9 | 6.0 | 0.0 ± 0.7 | −0.0 | 25.6 ± 6.4 | 16.0 | 186.4 ± 10.5 | 177.9 | ||
| 4.03 | 4.9 ± 0.9 | 5.6 | 0.0 ± 0.6 | 0.0 | 24.1 ± 6.7 | 15.1 | 186.2 ± 8.5 | 177.2 | ||
| 4.53 | 4.6 ± 0.9 | 5.0 | 0.1 ± 0.6 | −0.0 | 23.1 ± 7.1 | 13.5 | 187.6 ± 11.2 | 176.3 | ||
| N2 Site B | 1.93 | 15.6 ± 2.7 | 16.3 | −0.3 ± 1.0 | 0.1 | 3.8 ± 3.8 | 11.0 | 112.2 ± 11.3 | 107.4 | |
| 2.43 | 14.8 ± 2.6 | 16.0 | 0.0 ± 1.1 | 0.1 | 4.5 ± 4.7 | 11.0 | 113.7 ± 9.2 | 107.3 | ||
| 2.93 | 14.6 ± 2.9 | 15.4 | 0.1 ± 1.1 | 0.0 | 4.7 ± 4.2 | 11.1 | 114.6 ± 9.8 | 107.0 | ||
| 3.43 | 14.3 ± 2.5 | 15.0 | 0.2 ± 1.1 | 0.0 | 4.5 ± 4.4 | 11.2 | 114.8 ± 9.5 | 106.8 | ||
| 3.93 | 13.9 ± 2.5 | 14.2 | 0.2 ± 1.0 | 0.0 | 4.5 ± 4.6 | 11.4 | 114.9 ± 9.6 | 106.4 | ||
| 4.43 | 13.2 ± 2.1 | 13.7 | 0.2 ± 1.1 | 0.0 | 4.4 ± 4.8 | 11.5 | 115.0 ± 10.8 | 106.1 | ||
| 4.93 | 12.2 ± 2.0 | 12.4 | 0.3 ± 1.1 | 0.0 | 4.5 ± 5.5 | 11.9 | 114.8 ± 11.4 | 105.5 | ||
| Site C | 2.03 | 5.3 ± 0.8 | 6.8 | 0.3 ± 0.7 | −0.1 | 33.8 ± 8.0 | 16.2 | 115.9 ± 9.0 | 113.8 | |
| 2.53 | 5.3 ± 1.0 | 6.7 | −0.1 ± 0.7 | −0.1 | 29.7 ± 7.5 | 16.3 | 120.4 ± 9.4 | 113.6 | ||
| 3.03 | 5.3 ± 0.9 | 6.5 | −0.1 ± 0.7 | −0.1 | 26.9 ± 5.7 | 16.1 | 120.8 ± 9.6 | 113.1 | ||
| 3.53 | 5.2 ± 0.9 | 6.2 | −0.2 ± 0.6 | −0.0 | 24.9 ± 6.5 | 15.7 | 120.1 ± 9.6 | 112.7 | ||
| 4.03 | 5.1 ± 0.8 | 5.8 | −0.1 ± 0.6 | −0.0 | 23.4 ± 6.6 | 14.8 | 119.7 ± 9.9 | 112.0 | ||
| 4.53 | 4.8 ± 1.0 | 5.2 | −0.1 ± 0.6 | −0.0 | 21.8 ± 7.0 | 13.3 | 119.2 ± 10.4 | 111.1 | ||
| K1 Site B | 1.93 | 4.2 ± 0.7 | 3.8 | 0.7 ± 0.4 | 0.0 | 6.8 ± 5.3 | 10.5 | 301.6 ± 9.0 | 312.5 | |
| 2.43 | 4.4 ± 0.7 | 3.7 | 0.0 ± 0.2 | 0.0 | 8.8 ± 2.3 | 10.8 | 303.4 ± 8.5 | 312.0 | ||
| 2.93 | 4.3 ± 0.7 | 3.6 | −0.0 ± 0.2 | 0.1 | 8.8 ± 2.2 | 11.1 | 303.1 ± 9.3 | 311.6 | ||
| 3.43 | 4.1 ± 0.7 | 3.4 | −0.0 ± 0.2 | 0.1 | 10.7 ± 2.5 | 11.8 | 301.6 ± 9.6 | 311.0 | ||
| 3.93 | 4.0 ±0.6 | 3.3 | 0.1 ± 0.2 | 0.1 | 10.3 ± 2.9 | 12.4 | 302.3 ± 8.2 | 310.1 | ||
| 4.43 | 3.9 ± 0.6 | 3.2 | 0.1 ± 0.2 | 0.1 | 11.5 ± 2.8 | 13.0 | 302.1 ± 8.7 | 309.8 | ||
| 4.93 | 3.7 ± 0.5 | 2.4 | 0.0 ± 0.2 | 0.2 | 12.3 ± 3.2 | 14.3 | 300.4 ± 9.9 | 308.9 | ||
| Site C | 2.03 | 1.5 ± 0.3 | 1.4 | −0.3 ± 0.2 | −0.1 | 35.2 ± 8.4 | 18.6 | 311.1 ± 10.4 | 317.5 | |
| 2.53 | 1.6 ± 0.2 | 1.4 | −0.3 ± 0.2 | −0.1 | 33.3 ± 8.0 | 18.8 | 303.8 ± 9.9 | 317.0 | ||
| 3.03 | 1.5 ± 0.2 | 1.4 | −0.3 ± 0.2 | −0.0 | 31.2 ± 7.4 | 19.1 | 299.9 ± 9.5 | 316.3 | ||
| 3.53 | 1.5 ± 0.3 | 1.3 | −0.2 ± 0.2 | −0.0 | 23.6 ± 9.0 | 19.2 | 300.4 ± 9.0 | 315.6 | ||
| 4.03 | 1.4 ± 0.3 | 1.2 | −0.1 ± 0.2 | −0.0 | 20.1 ± 8.1 | 19.0 | 299.0 ± 9.5 | 314.7 | ||
| 4.53 | 1.3 ± 0.3 | 1.1 | −0.1 ± 0.2 | 0.0 | 16.9 ± 8.1 | 18.4 | 299.8 ± 12.9 | 313.7 | ||
| O1 | Site B | 1.93 | 3.2 ± 0.6 | 2.8 | −0.4 ± 0.3 | 0.0 | 3.9 ± 6.2 | 10.2 | 317.9 ± 10.4 | 316.6 |
| 2.43 | 3.1 ± 0.6 | 2.8 | −0.0 ± 0.2 | 0.0 | 7.9 ± 3.8 | 10.6 | 315.0 ± 12.1 | 316.1 | ||
| 2.93 | 3.1 ± 0.6 | 2.7 | 0.1 ± 0.2 | 0.1 | 8.5 ± 2.6 | 11.2 | 315.5 ± 13.3 | 315.5 | ||
| 3.43 | 3.0 ± 0.7 | 2.6 | 0.2 ± 0.2 | 0.1 | 9.2 ± 3.8 | 11.8 | 315.9 ± 12.9 | 315.0 | ||
| 3.93 | 2.9 ± 0.7 | 2.5 | 0.2 ± 0.2 | 0.1 | 8.9 ± 3.8 | 12.6 | 316.8 ± 11.4 | 314.2 | ||
| 4.43 | 2.8 ± 0.6 | 2.4 | 0.3 ± 0.2 | 0.1 | 8.9 ± 3.9 | 13.4 | 317.8 ± 12.4 | 313.7 | ||
| 4.93 | 2.7 ± 0.6 | 2.2 | 0.3 ± 0.2 | 0.2 | 9.1 ± 5.0 | 15.0 | 317.9 ± 11.7 | 312.8 | ||
| Site C | 2.03 | 1.2 ± 0.2 | 1.1 | −0.2 ± 0.2 | −0.1 | 31.2 ± 11.6 | 19.4 | 319.9 ± 12.9 | 320.8 | |
| 2.53 | 1.2 ± 0.2 | 1.0 | −0.1 ± 0.2 | −0.0 | 28.2 ± 9.2 | 19.6 | 324.2 ± 11.2 | 320.5 | ||
| 3.03 | 1.1 ± 0.3 | 1.0 | −0.0 ± 0.2 | −0.0 | 23.1 ± 11.8 | 19.7 | 327.8 ± 12.7 | 320.0 | ||
| 3.53 | 1.0 ± 0.3 | 1.0 | 0.0 ± 0.2 | −0.0 | 22.2 ± 12.5 | 19.6 | 331.8 ± 14.2 | 319.7 | ||
| 4.03 | 1.0 ± 0.3 | 0.9 | 0.1 ± 0.2 | 0.0 | 21.6 ± 11.1 | 19.3 | 331.2 ± 16.0 | 319.1 | ||
| 4.53 | 1.0 ± 0.3 | 0.9 | 0.2 ± 0.2 | 0.0 | 19.3 ± 13.6 | 18.8 | 332.3 ± 16.9 | 318.2 | ||
Publisher’s Note: MDPI stays neutral with regard to jurisdictional claims in published maps and institutional affiliations. |
© 2022 by the authors. Licensee MDPI, Basel, Switzerland. This article is an open access article distributed under the terms and conditions of the Creative Commons Attribution (CC BY) license (https://creativecommons.org/licenses/by/4.0/).
Share and Cite
Chen, C.; Huang, H.; Lin, H.; Blanton, J.; Li, C.; Andrade, F. A Wet/Dry Point Treatment Method of FVCOM, Part II: Application to the Okatee/Colleton River in South Carolina. J. Mar. Sci. Eng. 2022, 10, 982. https://doi.org/10.3390/jmse10070982
Chen C, Huang H, Lin H, Blanton J, Li C, Andrade F. A Wet/Dry Point Treatment Method of FVCOM, Part II: Application to the Okatee/Colleton River in South Carolina. Journal of Marine Science and Engineering. 2022; 10(7):982. https://doi.org/10.3390/jmse10070982
Chicago/Turabian StyleChen, Changsheng, Haosheng Huang, Huichan Lin, Jack Blanton, Chunyan Li, and Francisco Andrade. 2022. "A Wet/Dry Point Treatment Method of FVCOM, Part II: Application to the Okatee/Colleton River in South Carolina" Journal of Marine Science and Engineering 10, no. 7: 982. https://doi.org/10.3390/jmse10070982
APA StyleChen, C., Huang, H., Lin, H., Blanton, J., Li, C., & Andrade, F. (2022). A Wet/Dry Point Treatment Method of FVCOM, Part II: Application to the Okatee/Colleton River in South Carolina. Journal of Marine Science and Engineering, 10(7), 982. https://doi.org/10.3390/jmse10070982

