Next Article in Journal
Cost, Energy Efficiency and Carbon Footprint Analysis of Hybrid Light-Weight Bulk Carrier
Next Article in Special Issue
New Record of the Grey Cutthroat, Synaphobranchus affinis (Anguilliformes: Synaphobranchidae) from the East Mariana Basin, Western Pacific Ocean
Previous Article in Journal
Geographic Range Expansion and Taxonomic Notes of the Shortfin Neoscopelid Neoscopelus cf. microchir (Myctophiformes: Neoscopelidae) in the North-Eastern Atlantic
Previous Article in Special Issue
Lipids and Fatty Acids in Some Mesopelagic Fish Species: General Characteristics and Peculiarities of Adaptive Response to Deep-Water Habitat
 
 
Font Type:
Arial Georgia Verdana
Font Size:
Aa Aa Aa
Line Spacing:
Column Width:
Background:
Article

So Close Yet So Far: Age and Growth of Blue Antimora Antimora rostrata (Moridae, Gadiformes, Teleostei) off New Zealand and Macquarie Island (Southwestern Pacific Ocean)

by
Nikolai B. Korostelev
1,
Dirk C. Welsford
2,
Vladimir V. Belyakov
3,
Andrei G. Bush
1 and
Alexei M. Orlov
1,4,*
1
A.N. Severtsov Institute of Ecology and Evolution, Russian Academy of Sciences, 33 Leninsky Prospekt, 119071 Moscow, Russia
2
Australian Antarctic Division, 203 Channel Highway, Kingston, TAS 7050, Australia
3
Faculty of Biology, Lomonosov Moscow State University, 1 Leninskiye Gory, 119991 Moscow, Russia
4
Shirshov Institute of Oceanology, Russian Academy of Sciences, 36 Nakhimovsky Prospekt, 117218 Moscow, Russia
*
Author to whom correspondence should be addressed.
J. Mar. Sci. Eng. 2022, 10(7), 956; https://doi.org/10.3390/jmse10070956
Submission received: 5 June 2022 / Revised: 2 July 2022 / Accepted: 8 July 2022 / Published: 12 July 2022
(This article belongs to the Special Issue Deep-Sea Fish and Fisheries)

Abstract

Age and growth of blue antimora Antimora rostrata were examined in the waters off New Zealand and Macquarie Island (southwestern Pacific). Samples off Macquarie Island were collected from bycatch in the Patagonian toothfish longline fishery. Individuals between 20 and 44 years in age measured between 37.6–71.1 cm in total length. Bottom trawl catches from New Zealand waters consisted of smaller and younger fish (11 to 38 years), measuring 22.5–52.5 cm long. The age classes with the greatest numbers in the former area were represented by fish aged 33–34 years (25.7%). In the latter area, the most numerous age classes were 21–23 years (12.1%), 28–29 years (17.6%), and 32 years (6.6%). The blue antimora from off the Macquarie Island show similar growth rates to those of individual fish from the Ross, Lazarev and Weddell Seas, waters off the Kerguelen and Crozet Islands, and southeastern Greenland. Individuals from New Zealand waters demonstrate the slowest growth rates compared to other parts of the species’ range but are quite similar to individuals from the Flemish Cap area. Further research to identify the stock structure of this broadly distributed species is warranted to provide context to differences in growth rates observed between populations.

1. Introduction

The genus Antimora (Moridae, Gadiformes) consists of two species which are Pacific flatnose, Antimora microlepis Bean, 1890 and blue antimora, Antimora rostrata (Günther, 1878) [1,2,3]. The range of Pacific flatnose is limited by the North Pacific. The blue antimora has a circumglobal distribution, except the North Pacific Ocean (north to 10ºN), more common in temperate and cold waters, but absent from the Artic Ocean, some semi-enclosed seas as well as in most tropical and subtropical regions [1,2,4,5]. This bentho-pelagic species usually inhabits depths of 800–1800 m and can form dense concentrations in some areas. It often comes as bycatch in bottom trawl and longline fisheries [6,7,8,9] and is considered a rewarding commercial target [10].
Currently available publications on blue antimora don’t provide any comprehensive information about its life cycle [6,7,11,12,13,14]. A. rostrata aging and growth patterns have been studied in Icelandic waters [15], the Ross Sea and New Zealand waters [9], the Lazarev and Weddell seas [16], in waters surrounding Kerguelen and Crozet Islands [17], along with several areas of the North Atlantic Ocean, including waters off Flemish Cap, Greenland and the Mid-Atlantic Ridge [8,18,19]. However, the above publications did not include any validations for provided age estimations. No data on age and growth of blue antimora were reported from waters off the Macquarie Island, while the published data from New Zealand waters [9] were based on very limited observations (48 otoliths).
The major purpose of this work is to present the first data on the age and growth of A. rostrata from the waters off the Macquarie Island (southwestern Pacific Ocean), as well as to report the results from New Zealand waters based on a larger dataset (91 otoliths), and to compare them with previous publications concerning other areas of the species’ range.

2. Materials and Methods

In waters off the Macquarie Island, otoliths were gathered from specimens of blue antimoraobtained as bycatch of commercial fishery targeting Patagonian toothfish Dissostichus eleginoides, Smitt, 1898. The catches took place off the Australian Macquarie Island Exclusive Economic Zone (Figure 1) and were carried out with the use of longlines. The material was collected by Australian fishery observers during April-June 2016. In New Zealand waters, the otoliths were sampled in January-February 2018 during bottom trawl survey on board NIWA (New Zealand Institute of Water and Atmospheric Research) RV “Tangaroa”. The otoliths (sagitta) were dry-stored in paper envelopes with labels on the catch (date, set number) to be linked to the fishing master logbook. The mentioned fishing methods are described in [20,21,22,23,24].
A total of 110 individuals were caught off the Macquarie Island from depths of 602–2162 m (1450.5 ± 36.8 m) (mean ± standard error) and 125 individuals were caught in New Zealand waters from depths of 1161–1276 m (1208.0 ± 4.3 m). Total body length (TL) and body weight was registered in every specimen along with the specimen’s sex, when possible, using methods described in [25,26]. Sex was determined visually at the macroscopic level. Of the 110 fish caught off the Macquarie Island, sex was determined for 103 specimens (44 females and 59 males) and the other seven specimens were unsexed. Only a single otolith (0.9%) was unsuitable for age reading. Of the 125 fish caught in New Zealand waters, sex was determined in 94 specimens (59 females and 35 males) and the other 31 specimens were unsexed. Otoliths were extracted from 95 fish, of which 4 (4.2%) were unsuitable for age readings.
The extraction of sagittal otoliths was carried out along with biological analyses of specimens onboard the ship. Then the otoliths were transported to a land-based laboratory, where they were measured and weighed and where the fish’s age was determined. In order to register an otolith’s length an electronic caliper (Kraftool GmbH, Löningen, Germany) with an accuracy of 0.01 mm was used. Then the otoliths were weighed on an electronic scale (Sartorius GmbH, Goettingen, Germany) with an accuracy of 0.001 g.
A popular method of age estimation using otoliths, which was successfully applied to demersal (including deep-water) fish inhabiting waters along the west coast of the USA and Canada [27], is ‘break and burn’. As species of genus Antimora, along with many other deep-sea fishes, can be probably considered as long-lived [8,9,15,16,17,18,19,28,29,30,31], we used methods that were created exactly for long-lived deep-sea species [32].
Otoliths were broken transversely in half with a lancet and baked in the flame of an alcohol burner. Then, if necessary, some of the otoliths were polished with the use of abrasive discs with aluminium-oxide- or silicon-carbide-coated grit of 0.1−0.9 µm (Buehler, Chicago, IL, USA). In case of every single otolith the ability to proceed to further analysis depended on the results of visual observations. The surfaces of otoliths were examined at 1 × 20–40 magnification with the use of a trinocular microscope (Olympus SXZ12) with a DFPLAPO 1 × PF lens. Otolith surfaces were coated with glycerine and illuminated with reflected light (Figure 2).
In total, 200 otoliths (109 from the Macquarie Island and 91 from New Zealand waters) were analyzed based on the estimations made by three independent readers. The average percent error (APE) index was calculated using the methods suggested by Beamish and Fournier [33] for comparison of age determinations by several readers. Age of each individual fish was determined as a mean age based on three independent readings. Between-reader age determinations were based on pairwise comparisons and were considered consistent if APE values were less than 10% [34].
Before comparing samples from the Macquarie Island and New Zealand waters, the ratios between age and total length were tested for normality using Shapiro–Wilk test, with significance set at p ≤ 0.05. Data from the Macquarie Island demonstrated normal distribution (W = 0.9128, p = 0.00001), while data from the New Zealand waters (W = 0.9821, p = 0.1546) appeared to be distributed not normally. In order to further compare the data sets we applied non-parametric Mann–Whitney U tests. We found support for a statistically significant difference in ratios between the age and total length between samples from the Macquarie Island and New Zealand waters (Mann–Whitney U test, W = 987.0, p = 2.0 × 10−21) (Figure 3). We therefore subsequently split the data from both regions for further analyses.
Fisher’s exact tests were used to assess relationships between the TL and body weight, length and weight of the otolith, TL and otolith weight, as well as age and otolith weight. Test outputs were calculated in MS Excel®. The value of the determination coefficient (R2) was estimated by the least squares method, bringing the dependence to a linear form [30].
Age curves were plotted and the coefficients of Von Bertalanffy growth function (VBGF) were calculated using PAST version 3.14 software [35].
The average specific rate of growth was estimated by the following equation [36,37]:
C = ln L n + 1 ln L n t n + 1 t n ,
where
Ln+ 1 and Ln is fish mean body length at the age of tn + 1 and tn, respectively.

3. Results

In New Zealand waters, blue antimora were sampled by bottom trawls and thus the fish were smaller. The species was represented in catches by individuals 22.5–52.5 cm long (mean 37.4 ± 0.6 cm) weighing between 70–1105 g (mean 409.6 ± 30.3 g). The majority of specimens were 30–40 cm long (66.4%) and <500 g in weight (76.3%).
Off the Macquarie Island, the otoliths were collected from representative samples of commercial catches of bottom longlines. Therefore, the fish caught here were comparatively large with a TL ranging from 37.6 cm to 71.1 cm (smaller specimens were not found in catches due to selectivity of long lines). Fish with a TL of 50–60 cm (46.6%) were most numerous in catches with a mean length of 57.6 ± 0.7 cm. The mean weight of fish in catches was 1524.5 ± 60.8 g with minimum and maximum values of 350 and 3600 g respectively. Specimens weighing 1500–2000 g made up 35.9% of the catch.
The relationship between total length (TL, cm) and weight (W, g) of blue antimora for New Zealand waters was better described by a power function (Figure 4a):
BW = 0.0011 × TL3.4738 (R2 = 0.969, statistically significant at p < 0.01).
For the Macquarie Island waters this equation was (Figure 4b):
BW = 0.0008 × TL3.5469 (R2 = 0.920, statistically significant at p < 0.01).
Females were more numerous in catches off New Zealand (females 47.2%, males 3.0%, unsexed 24.8%), while males were caught more often than females off the Macquarie Island (males 53.6%, females 40.0%, unsexed 6.4%). The proportion of males and females among various size classes in both study areas was different (Figure 5). In New Zealand waters, the proportion of males in bottom trawl catches decreased with size increasing. However, proportion of males and females was equal in 20–30 cm size class while males were absent among fish with TL > 45 cm. Off the Macquarie Island, the maximum proportion of males in longline catches (100%) occurred in 35–40 cm size class, decreasing down to 30% in individuals >70 cm long.
Females captured were slightly longer and heavier than males. In New Zealand waters, mean total length and weight of females were 39.6 ± 0.1 cm and 605.0 ± 57.7 g while corresponding values for males were 34.5 ± 0.6 cm and 283.3 ± 19.0 g. Off the Macquarie Island, mean total length of females and males was 58.8 ± 1.1 cm and 57.5 ± 0.8 cm, respectively, and mean weight was 1617.1 ± 101.5 g vs. 1512.1 ± 78.6 g, respectively.
In New Zealand waters, otoliths’ weight ranged from 0.092 to 0.411 g, mean value being 0.207 ± 0.01 g, while otoliths’ length ranged from 9.77 to 18.58 mm, with a mean of 13.19 ± 0.2 mm. The relationship between the length (Lo, mm) and weight (Wo, g) of otoliths (Figure 6a) can be described by a power function:
Wo = 0.0004 × Lo2.4495 (R2 = 0.8543, p < 0.001).
Off the Macquarie Island, otoliths’ weight ranged from 0.217 to 0.478 g, mean value being 0.347 ± 0.005 g, while otoliths’ length ranged from 12.35 to 19.21 mm, with a mean of 16.36 ± 0.14 mm. The relationship between the length and weight of otoliths (Figure 6b) can be described by the following formula:
Wo = 0.0075 × Lo1.3669 (R2 = 0.4232, p < 0.001).
Our analysis shows that the power function is more suitable for describing this relationship than a linear one. This fact suggests that an otolith gets increasingly bulky as it grows.
The otolith weight (Wo, g) positively correlates with the total length (TL, cm) of the specimen. The relationship between the mentioned parameters (Figure 7) can be described by a power function. For New Zealand waters this equation looks like:
Wo = 0.0003 × TL1.7969 (R2 = 0.795, p < 0.001).
For the Macquarie Island waters it can be described by the following formula:
Wo = 0.004 × TL1.1001 (R2 = 0.600, p < 0.001).
The power function describes this relationship better than a linear one.
In New Zealand waters, bottom trawl catches were represented by individuals (if the rings in blue antimora otoliths really represent annuli) 11–38 years old (Figure 8), mean age being 26.0 ± 0.6 years. The APE indexes for readers 1, 2 and 3 equaled 8.0%, 4.5% and 8.7% respectively, thus our age estimations might be considered as comparatively repeatable. The most abundant age classes consisted of specimens aged 21–23 years (12.1%), 28–29 years (17.6%), and 32 years (6.6%) (Figure 9a).
In longline catches off the Macquarie Island, blue antimora were aged 20 to 44 years (Figure 8) with a mean age of 31.7 ± 0.5 years. The APE indexes for readers 1, 2 and 3 equaled 8.0%, 4.0% and 8.1% respectively, thus our age estimations might be considered as comparatively repeatable. The most abundant age class consisted of specimens aged 33–34 years (25.7%) (Figure 9b).
The youngest male in bottom trawl catches in New Zealand waters was aged 17 years with a TL of 31.0 (see Figure 8), while the oldest one was 32 years old with a TL of 40.9. The mean age of males was 25.0 ± 0.7 years. The youngest female in catches was aged 11 years with a TL of 22.5 cm, while the oldest one was 38 years old with a TL of 51.2 cm. The mean age of females was 26.0 ± 0.9 years.
The youngest male in longline catches off the Macquarie Island was aged 23 years with a TL of 37.6 cm (see Figure 8) while the oldest age of 44 years was recorded for a male 67.5 cm long. The mean age of males was 30.9 ± 0.7 years. The youngest of all females caught in the Macquarie Island waters was aged 20 years with a TL of 40.6 cm, while the oldest one was 40 years old with a TL of 65.9 cm. The mean age of females was 33.3 ± 0.7 years.
The relationship between the age of fish (A, years) and the weight of otoliths (Wo, g) can be better described by a power equation (Figure 10). For the New Zealand waters this equation is as follows:
Wo = 0.0054 × A1.228 (R2 = 0.634; p < 0.001),
while for the Macquarie Island waters it looks like:
Wo = 0.0311 × A0.695 (R2 = 0.409; p < 0.001)
The VBGF describing the growth for New Zealand waters has the following parameters for males: L = 325.6, k = 0.003, t0 = −19.2 (R2 = 0.66), while for females they were as follows: L = 1121.1, k = 0.001, t0 = −8.6 (R2 = 0.69). The corresponding values of VBGF parameters for the Macquarie Island waters were 69.0, 0.10, and 12.6 while for females they made up 71.5, 0.05, and 5.9.
Despite the different parameters of the VBGF describing the growth of blue antimora in both study areas, calculations of the specific growth rate (Figure 11) revealed a very similar pattern. For both areas, decreasing in annual growth increments was observed up to 27 years with some increasing of this parameter at the age of 28 years and its subsequent gradual decreasing up to the maximum ages.

4. Discussion

The results of this work point that blue antimora sex ratio varies in different regions depending on the type of fishing gear used as well as on the depth investigated. While longlines are more selective regarding fish size, they provide larger fish that happen to be mostly females among blue hake. This is true for many of the data provided, but it does not yet offer a reasonable explanation in our case. However, this inconsistence might be associated with shallower depths (minimum 602 m) of fishing. A number of publications on blue antimora analyzing various regions and depths demonstrate different values of sex proportion. In the northwestern Atlantic, domination of males was observed at the depth of 500 m, though percentage of females grew along with increasing of depth [7]. This matches the results of another study that took place in Greenland waters, where females were also more abundant at depths exceeding 900 m [18]. On the other hand, in the waters along the North Atlantic coast of the USA the proportion of males was greater even at depths up to 1500 m [11]. In the Indian Ocean, blue antimora populations demonstrate considerable difference of sex ratio compared to the North Atlantic. In a study on underwater Indo-Oceanic ridges observing depths from 900 to 1700 m, percentage of males and females was almost equal on the Southwest Indian Ridge, while sex ratio (1:1,2-1,4) in other regions demonstrated minor prevalence of females [13]. In the Southern Ocean, the proportion of males in populations of the Lazarev and Weddell seas exceeded that of females at depths of 1100–1800 m [15]. Moreover, at depths ranging 800 to 2000 m in the Ross Sea, females made up to 90% of the catch [9], this corresponds well with the results of a study on Kerguelen and Crozet Islands (78% of females) [17]. In contrast to the latter data, in our catches males were more abundant than females (53.4% vs. 40.8%).
As it has been noticed in most studies [8,9,16,17,18] determination of age for blue antimora is complicated by some uncertainty in interpreting the otolith zones, which we also have encountered in our study. In this publication we identify every visible ring as annulus similarly to our previous research in which age estimations remained invalidated. However, our recent study [38] has demonstrated similarity of the number of rings found on otoliths and vertebrae in most cases. Consequently, we suppose that otolith and vertebrae rings are both laid annually. Though deep-sea habitats lack distinct seasonality, at high latitudes, alterations in the flow of organic matter incoming to the deep-sea layers are caused by seasonal changes on the surface (daylight duration, temperature, etc.). Therefore, these changes can influence total productivity of deep waters and amount of food available for deep-sea species.
The previously mentioned selectivity of commercial longlining, providing mostly large fish, explains rather narrow size range of our samples. This leads to low R2 value calculated for correlation of a blue antimora’s length and the weight of the otoliths, same as of the weight of otoliths and a sample’s age. The research that took place in the waters near southwestern Greenland confirms our conclusion [18]: for juvenile specimens between 18 and 42 cm long R2 value equals to 0.58, when for females that had a larger size spread (21–70 cm) R2 was 0.95.
Results obtained from studies on growth rates of female and male blue antimora do not match completely, a problem probably connected with the mentioned difficulties in age estimations for long-lived deep-water fish. In the Icelandic waters, females were on average larger than males of the same age [15], though this phenomenon was confirmed neither in waters off Greenland and the Mid-Atlantic Ridge [8], nor in the Ross Sea and off New Zealand [9]. In the waters off southwestern Greenland, during the first 14 years of their life female blue antimoras grow slower than males, while at the age of 15–16 years both females and males have similar growth rates in weight and length. In the following years, females become significantly longer and heavier than males [18]. As for the area of our research, male blue antimora were on average smaller (57.5 vs. 58.8 cm and 586 vs. 659 g) and younger (30.5 vs. 31.6 years) than females. This is probably caused by females’ higher growth rate as well as their considerably longer life span [8,9].
Age distribution of the samples of blue antimora varies between different regions. In the waters of the Mid-Atlantic Ridge, catches included fish aged 6–25 years, most individuals being older than 10 years, while in Greenland waters the fish’s age ranged from 1 to 20 years with the majority of individuals being younger than 10 years [8]. Summarizing the above statement, specimens varying in age from 7 to 14 years were mainly presented in the catches from both regions. Specimens from the Ross Sea varied in age from 11 to 41 years, while their New Zealand counterparts were from 4 to 28 years old [9]. The age of fish caught off southwestern Greenland was estimated from 7 to 38 years with a dominant share of individuals from 11 to 21 years [18], at the same time the catches from the Lazarev and Weddell Seas were presented mainly by 25–27-year-old fish [16] and 28, 29, and 34 year-old fish were most numerous (26%) off Kerguelen and Crozet Islands [17]. In the samples caught by our team, age distribution can be organized in the following groups: 32 years (13%), 29 years (11%) and 28, 33 and 34 years (9% each), totaling altogether in 47% of the catch. Since older and bigger blue antimoras are known to dwell in deeper waters [2], the mentioned incongruities of the results from different surveys probably come from different catching conditions, especially depth. The fact that female blue antimoras are on average older than males can also be the reason of result variations from different areas connected with differences in sex ratio. Those incongruities could also be partly caused by specific fishing gear (trawls and longlines) used in different studies. Longlines were used in the Ross, Lazarev and Weddell Seas and the waters of Kerguelen and Crozet Islands and Macquarie Island [9,16,17], and our data, which inevitably provided larger and older specimens compared to those caught in the North Atlantic and off Greenland and New Zealand [8,9,18]. Usage of survey gear with smaller hooks and smaller mesh lead to larger percentage of small specimens in the catch [7].
The considerably overestimated values of L in blue antimora from New Zealand waters can be explained by the small number of the sample and the very low number of large males and females in bottom trawl catches. The almost lack of large males in the catches were also previously observed in some other parts of its range, e.g., Lazarev and Weddell seas [15], waters of Greenland and Mid-Atlantic Ridge [8], Flemish Cap area [19] where overestimated values of L occurred as well. Another reason for L∞ overestimation in New Zealand waters might be associated with the fact that in this area, blue antimora demonstrate an almost linear growth that was also observed in the Flemish Cap area [19]. It is known that in some fish species, growth can be linear not only during a certain stage of the life cycle but also throughout the whole life [39,40].
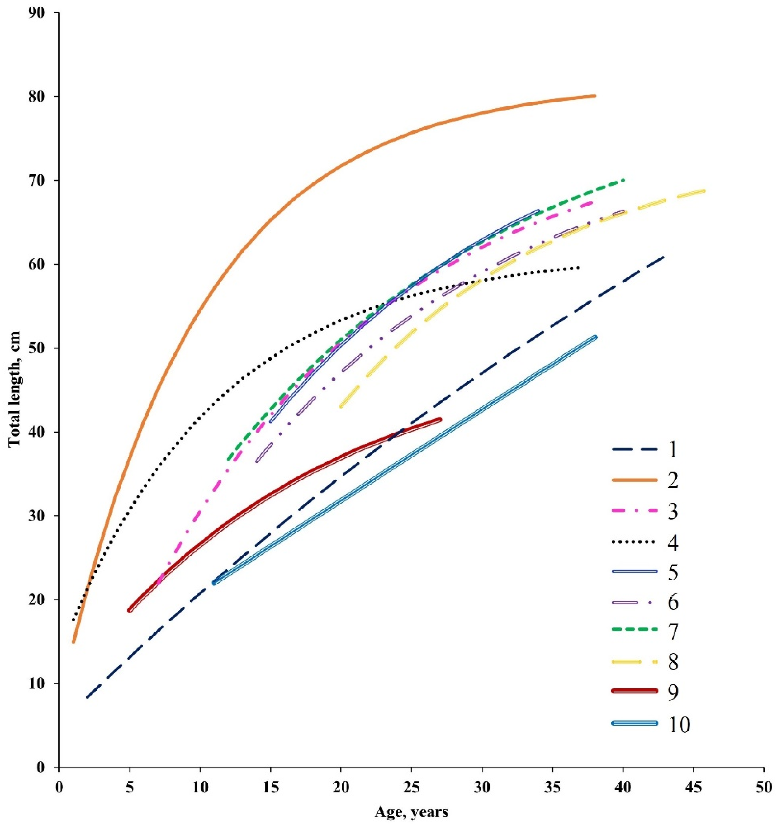
The growth curve for specimens of blue antimora from Macquarie Island (our data) being compared (Figure 12, Table 1) to those for the Ross Sea [9], the waters off Greenland [18], the Lazarev and Weddell Seas [16], and Kerguelen and Crozet Islands [17] revealed undeniable resemblance. On the other hand, these results differ quite significantly from those obtained off the coast of New Zealand [9], and our data, Iceland [15], and the North Atlantic [8]. Blue antimoras from New Zealand waters [9], and our data, along with those from Flemish Cap area [19] show the slowest growth rates, while in the North Atlantic [8], this species demonstrates the fastest growth as compared to the other parts of the species’ range. One of the possible reasons for the slow growth of blue antimora in the northwestern Atlantic and New Zealand waters might be its high abundance in these areas [5,7] since it is known that density factor in the population may considerably impact the growth rate of its individuals [41]. At the same time, considerably different age and growth characteristics of blue antimora in New Zealand waters and off the Macquarie Island may testify to existence of different populations in these areas. However, further genetic research is needed toward evaluation of population structure of blue antimora in southwestern Pacific and adjacent Southern Ocean as well as in other parts its wide range [5,42].

5. Conclusions

The resemblance of growth patterns demonstrated for Antimora rostrata in the Ross, Lazarev and Weddell seas, waters of Kerguelen, Crozet, and Macquarie Islands might witness existence of a single population inhabiting the Southern Ocean. This suggestion might be proved by recent molecular-genetic research [5,42]. These research studies also demonstrated a difference in haplotype composition between blue antimora specimens from the Southern Ocean and the North Atlantic. Nevertheless, antimora’s growth patterns in the Southern Ocean and Greenland waters show significant similarity, this might be caused by the similar habitat conditions in both regions (temperature, forage conditions, etc.). The same might be concluded regarding growth characteristics of blue antimora in New Zealand waters and Flemish Cap area, where individuals demonstrate quite similar growth.
Despite the number of studies dealing with age and growth of blue antimora that were recently conducted, its age determinations require further investigation in order to validate the annual deposition of rings and confirm the real age. An attempt was made to estimate the age of blue antimora congener, Pacific flatnose A. microlepis, with the use of vertebrae reading [38]. The results showed a similar number of rings on otoliths and vertebrae taken from the same fish. These results suggest that vertebrae annuli may provide useful supplemental information for determining age of deep-sea fish species. Also, a correct comparison of several research studies requires confirmation that all readers used one otolith zone interpretation method. However, it is necessary to apply validation techniques based on Pb-210/Ra-226 disequilibrium [43,44]. The first attempt in this direction was undertaken recently. Elemental composition of A. rostrata and A. microlepis otoliths was studied [45]. The results demonstrated sufficiency of Pb concentrations for further age validation research based on Pb-210/Ra-226 disequilibrium.
With existing fishing methods and depth coverage catching the juvenile part of the population is impossible yet so far, this hinders us from introducing another bias in the growth curves. Therefore, in future studies, targeting juveniles is required to improve age estimations for the younger specimens examined just after nucleus formation.

Author Contributions

Conceptualization, N.B.K. and A.M.O.; methodology, N.B.K. and A.M.O.; software, N.B.K.; validation, N.B.K., V.V.B. and A.G.B.; formal analysis, N.B.K., V.V.B. and A.G.B.; investigation, N.B.K., V.V.B., A.G.B. and D.C.W.; resources, D.C.W. and A.M.O.; data curation, N.B.K., D.C.W. and A.M.O.; writing–original draft preparation, N.B.K. and A.M.O.; writing–review and editing, N.B.K., D.C.W. and A.M.O.; supervision, A.M.O. All authors have read and agreed to the published version of the manuscript.

Funding

Preparation of this paper was funded by the Ministry of Science and Higher Education of the Russian Federation (State Task FMWE-2022-0001).

Institutional Review Board Statement

Not applicable.

Informed Consent Statement

Not applicable.

Data Availability Statement

Not applicable.

Acknowledgments

The authors thank Australian fishery observers operated on commercial longliners off the Macquarie Island who sampled blue antimora otoliths used in this study. They are also grateful to their colleagues from New Zealand Institute of Water and Atmospheric Research (NIWA) Malcolm Clarke, Peter McMillan, Richard O’Driscol, and Stewart Hanchet, who organized samplings of blue antimora otoliths, tissue samples, and frozen specimens and provided with logbook data. Special thanks to Caroline Chin (NIWA), Rumiana Uzunova (UN Food and Agriculture Organization, Rome, Italy), and Alexander Okhanov (Russian Federal Agency for Fisheries, Moscow, Russia) helped with transportation of otoliths from New Zealand to Russia. The authors are also thankful to Jessica Reid (Fish Ecology and Conservation Physiology Laboratory & Canadian Centre for Evidence-based Conservation, Carleton University, Ottawa, Canada) for the editorial assistance with the English language made within the program of the International Fisheries Section of the American Fisheries Society.

Conflicts of Interest

The authors declare no conflict of interest. The funders had no role in the design of the study; in the collection, analyses, or interpretation of data; in the writing of the manuscript, or in the decision to publish the results.

References

  1. Small, G.A. Review of the Barhyal Fish Genus Antimora (Moridae: Gadirformes). Proc. Calif. Acad. Sci. 1981, 42, 341–348. [Google Scholar]
  2. Cohen, D.M.; Inada, T.; Iwamoto, T.; Scialabba, N. Gadiform Fishes of the World (Order Gadiformes). An Annotated and Illustrated Catalogue of Cods, Hakes, Grenadiers and Other Gadiform Fishes Known to Date. FAO Species Cat. 1990, 10, 1–442. [Google Scholar]
  3. Orlov, A.M.; Grigorov, I.V.; Lazareva, N.I. Comparative Morphological Analysis of Morid Cods (Antimora spp., Moridae, Gadiformes) from Ichthyological Collections. Zool. Issled. 2018, 20, 98–111. [Google Scholar]
  4. Orlov, A.M.; Sytov, A.M.; Marí, N.; Figueroa, D.E.; Barbini, S.A.; Costa, P.A.S.; Marin, Y.H.; Mincarone, M.M. Blue Hake Antimora rostrata (Gadiformes: Moridae) off the Atlantic Coast of South America: An Overview on Its Distribution and Biology. J. Ichthyol. 2019, 59, 174–185. [Google Scholar] [CrossRef]
  5. Orlov, A.M.; Bannikov, A.F.; Orlova, S.Y. Hypothesis of Antimora spp. (Moridae) Dispersion in the World Oceans Based on Data on Modern Distribution, Genetic Analysis, and Ancient Records. J. Ichthyol. 2020, 60, 399–410. [Google Scholar] [CrossRef]
  6. Iwamoto, T. The Abyssal Fish Antimora rostrata (Günther). Comp. Biochem. Physiol. Part B Comp. Biochem. 1975, 52, 7–11. [Google Scholar] [CrossRef]
  7. Kulka, D.W.; Simpson, M.R.; Inkpen, T.D. Distribution and Biology of Blue Hake (Antimora rostrata Günther 1878) in the Northwest Atlantic with Comparison to Adjacent Areas. J. Northwest Atl. Fish. Sci. 2003, 31, 299. [Google Scholar] [CrossRef]
  8. Fossen, I.; Bergstad, O.A. Distribution and Biology of Blue Hake, Antimora rostrata (Pisces: Moridae), along the Mid-Atlantic Ridge and off Greenland. Fish. Res. 2006, 82, 19–29. [Google Scholar] [CrossRef]
  9. Horn, P.L.; Sutton, C.P. An Assessment of Age and Growth of Violet Cod (Antimora rostrata) in the Ross Sea, Antarctica. Polar Biol. 2015, 38, 1553–1558. [Google Scholar] [CrossRef]
  10. Priede, I. Deep-Sea Fishes: Biology, Diversity, Ecology and Fisheries; Cambridge University Press: Cambridge, UK, 2017. [Google Scholar]
  11. Wenner, C.A.; Musick, J.A. Biology of the Morid Fish Antimora rostrata in the Western North Atlantic. J. Fish. Res. Board Can. 1977, 34, 2362–2368. [Google Scholar] [CrossRef]
  12. Gordon, J.D.M.; Duncan, J.A.R. The Biology of Fish of the Family Moridae in the Deep-Water of the Rockall Trough. J. Mar. Biol. Assoc. U. K. 1985, 65, 475–485. [Google Scholar] [CrossRef]
  13. Novikov, N.P.; Timokhin, I.G. Blue Hake Antimora rostrata (Moridae) of the Southern Indian Ocean Seamounts. Fish. Ukr. 2009, 1, 2–5. [Google Scholar]
  14. Collins, M.A.; Priede, I.G.; Bagley, P.M. In Situ Comparison of Activity in Two Deep-Sea Scavenging Fishes Occupying Different Depth Zones. Proc. R. Soc. Lond. Ser. B Biol. Sci. 1999, 266, 2011–2016. [Google Scholar] [CrossRef]
  15. Magnússon, J.V. Distribution and Some Other Biological Parameters of Two Morid Species Lepidion eques (Günther, 1887) and Antimora rostrata (Günther, 1878) in Icelandic Waters. Fish. Res. 2001, 51, 267–281. [Google Scholar] [CrossRef]
  16. Vedishcheva, E.V.; Korostelev, N.B.; Gordeev, I.I.; Orlov, A.M. A First Attempt to Evaluate the Age and Growth of Blue Hake Antimora rostrata (Moridae, Gadiformes, Teleostei) from the Lazarev and Weddell Seas (Antarctic). Polar Rec. 2019, 55, 25–31. [Google Scholar] [CrossRef]
  17. Korostelev, N.B.; Vedishcheva, E.V.; Orlov, A.M. Age and Growth of Antimora rostrata (Moridae, Gadiformes, Teleostei) from the Kerguelen and Crozet Islands in the Southern Indian Ocean. Polar Rec. 2019, 55, 452–459. [Google Scholar] [CrossRef]
  18. Orlov, A.M.; Vedishcheva, E.V.; Trofimova, A.O.; Orlova, S.Y. Age and Growth of Blue Antimora Antimora rostrata (Moridae) in Southwestern Greenland Waters. J. Ichthyol. 2018, 58, 217–225. [Google Scholar] [CrossRef]
  19. Korostelev, N.B.; Bañón, R.; Orlov, A.M. Age and Growth of Blue Antimora Antimora rostrata (Moridae) in Waters off Flemish Cap (North-Western Atlantic). J. Ichthyol. 2022, 62. in press. [Google Scholar]
  20. Francis, R.C.; Fisher, K.A. Assessment of the Deep-Water Fish Resource of the New Zealand Area. N. Z. Minist. Agric. Fish. 1979, 21, 1–53. [Google Scholar]
  21. Duhamel, G. Exploratory Longline Fishing around the Kerguelen Islands (Division 58.5. 1). Description of the Fishing Effort, Catchability and Target Size of Dissostichus eleginoides. In Meeting of the Working Group on Fish Stock Assessment; CCAMLR: Hobart, Australia, 1992; Volume 92. [Google Scholar]
  22. Cherel, Y.; Weimerskirch, H.; Duhamel, G. Interactions between Longline Vessels and Seabirds in Kerguelen Waters and a Method to Reduce Seabird Mortality. Biol. Conserv. 1996, 75, 63–70. [Google Scholar] [CrossRef]
  23. Clark, M.R. Biomass Estimation of Orange Roughy: A Summary and Evaluation of Techniques for Measuring Stock Size of a Deep-Water Fish Species in New Zealand. J. Fish Biol. 1996, 49, 114–131. [Google Scholar] [CrossRef]
  24. Tracey, D.M.; Bull, B.; Clark, M.R.; MaCkay, K.A. Fish Species Composition on Seamounts and Adjacent Slope in New Zealand Waters. N. Z. J. Mar. Freshw. Res. 2004, 38, 163–182. [Google Scholar] [CrossRef]
  25. Laevastu, T. Manual of Methods in Fisheries Biology; FAO: Rome, Italy, 1965. [Google Scholar]
  26. Pravdin, I.F. Guidelines to Studies of Fishes; Pishchevaya Promyshlennost: Moscow, Russia, 1966. [Google Scholar]
  27. Beamish, R.J.; McFarlane, G.A. Current Trends in Age Determination Methodology. In Age and Growth of Fish; Summerfelt, R.C., Hall, G.E., Eds.; Iowa State University Press: Ames, IA, USA, 1987; pp. 15–42. [Google Scholar]
  28. Korostelev, N.B.; Baytalyuk, A.A.; Maltsev, I.V.; Orlov, A.M. First Data on The Age and Growth in Pacific Flatnose Antimora microlepis (Moridae) from the Waters of the Underwater Emperor Mountain Range (Northwestern Pacific). J. Ichthyol. 2020, 60, 891–899. [Google Scholar] [CrossRef]
  29. Orlov, A.M.; Abramov, A.A. New Data on Pacific Flatnose, Antimora microlepis (Moridae) from the Northwestern Pacific Ocean. In Proceedings of the MTS/IEEE Oceans 2001. An Ocean Odyssey, Honolulu, HI, USA, 5–8 November 2001; Volume 2, pp. 833–841. [Google Scholar] [CrossRef]
  30. Frey, P.H.; Keller, A.A.; Simon, V. Dynamic Population Trends Observed in the Deep-Living Pacific Flatnose, Antimora microlepis, on the U.S. West Coast. Deep Sea Res. Part I Oceanogr. Res. Pap. 2017, 122, 105–112. [Google Scholar] [CrossRef]
  31. Orlov, A.M.; Abramov, A.A. New Data on Flat-Nosed Hake Antimora microlepis (Moridae) from the Northwestern Pacific Ocean. J. Ichthyol. 2002, 42, 65–73. [Google Scholar]
  32. Beamish, R.J.; Chilton, D.E. Preliminary Evaluation of a Method to Determine the Age of Sablefish (Anoplopoma fimbria). Can. J. Fish. Aquat. Sci. 1982, 39, 277–287. [Google Scholar] [CrossRef]
  33. Beamish, R.J.; Fournier, D.D.A. A Method for Comparing the Precision of a Set of Age Determinations. Can. J. Fish. Aquat. Sci. 1981, 38, 982–983. [Google Scholar] [CrossRef]
  34. Arkhipkin, A.I.; Baumgartner, N.; Brickle, P.; Laptikhovsky, V.V.; Pompert, J.H.W.; Shcherbich, Z.N. Biology of the Skates Bathyraja brachyurops and B. griseocauda in Waters around the Falkland Islands, Southwest Atlantic. ICES J. Mar. Sci. 2008, 65, 560–570. [Google Scholar] [CrossRef]
  35. Hammer, Ø.; Harper, D.; Ryan, P.D. PAST: Paleontological Statistics Software Package for Education and Data Analysis. Palaeontol. Electron. 2001, 4, 178. [Google Scholar]
  36. Mina, M.V.; Klevezal, G.A. Growth of the Animals; Nauka: Moscow, Russia, 1976. [Google Scholar]
  37. Alimov, A.F. Introduction into Production Hydrobiology; Gidrometeoizdat: Leningrad, Russia, 1989. [Google Scholar]
  38. Korostelev, N.B.; Frey, P.H.; Orlov, A.M. Using Different Hard Structures to Estimate the Age of Deep-Sea Fishes: A Case Study of the Pacific Flatnose, Antimora microlepis (Moridae, Gadiformes, Teleostei). Fish. Res. 2020, 232, 105731. [Google Scholar] [CrossRef]
  39. Hopkins, K.D. Reporting Fish Growth: A Review of the Basics. J. World Aquac. Soc. 1992, 23, 173–179. [Google Scholar] [CrossRef]
  40. Allen, R.L. Method for Comparing Fish Growth Curves. N. Z. J. Mar. Freshw. Res. 1976, 10, 687–692. [Google Scholar] [CrossRef][Green Version]
  41. Nikolsky, G.V. Ecology of Fishes; Vysshaya Shkola: Moscow, Russia, 1963. [Google Scholar]
  42. Orlova, S.; Orlov, A.; Baytalyuk, A.; Gordeyev, I.; Volkov, A. Diversity of the CO1 Gene of Mitochondrial DNA in Representatives of Genus Antimora (Moridae, Gadiformes) in the World Oceans. Dokl. Biochem. Biophys. 2018, 482, 279–283. [Google Scholar] [CrossRef] [PubMed]
  43. Smith, J.N.; Nelson, R.; Campana, S.E. The Use of Pb-210/Ra-226 and Th-228/Ra-228 Dis-Equilibria in the Ageing of Otoliths of Marine Fish. In Radionuclides in the Study of Marine Processes; Springer: Dordrecht, The Netherlands, 1991; pp. 350–359. [Google Scholar]
  44. Cailliet, G.M.; Andrews, A.H.; Burton, E.J.; Watters, D.L.; Kline, D.E.; Ferry-Graham, L.A. Age Determination and Validation Studies of Marine Fishes: Do Deep-Dwellers Live Longer? Exp. Gerontol. 2001, 36, 739–764. [Google Scholar] [CrossRef]
  45. Korostelev, N.B.; Orlov, A.M. Micro- and Ultramicroelemental Content in Otoliths of Blue Antimora Antimora rostrata and Pacific Flatnose A. microlepis (Moridae, Teleostei). Oceanology 2020, 60, 798–802. [Google Scholar] [CrossRef]
Figure 1. The sites (circles) where otoliths of blue antimora Antimora rostrata in the waters of New Zealand and off Macquarie Island were sampled.
Figure 1. The sites (circles) where otoliths of blue antimora Antimora rostrata in the waters of New Zealand and off Macquarie Island were sampled.
Jmse 10 00956 g001
Figure 2. Cross-sections of otoliths of blue antimora Antimora rostrata from waters of New Zealand (ac) and off the Macquarie Island (df): (a)—TL 28.0 cm, 13 years; (b)—TL 32.0 cm, 24 years; (c)—52.2 cm, 36 years; (d)—TL 40.4 cm, 21 years; (e)—TL 60.5 cm, 31 years; (f)—TL 65.9 cm, 41 years (dots are annual growth zones, TL = total length).
Figure 2. Cross-sections of otoliths of blue antimora Antimora rostrata from waters of New Zealand (ac) and off the Macquarie Island (df): (a)—TL 28.0 cm, 13 years; (b)—TL 32.0 cm, 24 years; (c)—52.2 cm, 36 years; (d)—TL 40.4 cm, 21 years; (e)—TL 60.5 cm, 31 years; (f)—TL 65.9 cm, 41 years (dots are annual growth zones, TL = total length).
Jmse 10 00956 g002
Figure 3. Comparison of age estimations (mean size at age) of blue antimora Antimora rostrata in waters of New Zealand (1) and off the Macquarie Island (2). Limits are minimum and maximum ages estimated.
Figure 3. Comparison of age estimations (mean size at age) of blue antimora Antimora rostrata in waters of New Zealand (1) and off the Macquarie Island (2). Limits are minimum and maximum ages estimated.
Jmse 10 00956 g003
Figure 4. Relationship between the total length (TL) and body weight of blue antimora Antimora rostrata from waters of New Zealand (a) and off the Macquarie Island (b).
Figure 4. Relationship between the total length (TL) and body weight of blue antimora Antimora rostrata from waters of New Zealand (a) and off the Macquarie Island (b).
Jmse 10 00956 g004
Figure 5. Sex ratio of blue antimora Antimora rostrata in bottom trawl catches in waters of New Zealand (a) and in longline catches off the Macquarie Island (b): 1—males, 2—females.
Figure 5. Sex ratio of blue antimora Antimora rostrata in bottom trawl catches in waters of New Zealand (a) and in longline catches off the Macquarie Island (b): 1—males, 2—females.
Jmse 10 00956 g005
Figure 6. Relationship between otolith weight (Wo) and otolith length (Lo) of blue antimora Antimora rostrata in waters of New Zealand (a) and off Macquarie Island (b).
Figure 6. Relationship between otolith weight (Wo) and otolith length (Lo) of blue antimora Antimora rostrata in waters of New Zealand (a) and off Macquarie Island (b).
Jmse 10 00956 g006
Figure 7. Relationship between otolith weight (Wo) and total length (TL) of blue antimora Antimora rostrata in waters of New Zealand (a) and off Macquarie Island (b).
Figure 7. Relationship between otolith weight (Wo) and total length (TL) of blue antimora Antimora rostrata in waters of New Zealand (a) and off Macquarie Island (b).
Jmse 10 00956 g007
Figure 8. Fitted von Bertalanffy curve to growth data of blue antimora Antimora rostrata in waters of New Zealand (1–3) and off Macquarie Island (4–6): 1, 4—males, 2, 5—females, 3, 6—all specimens examined (males, females, and unsexed).
Figure 8. Fitted von Bertalanffy curve to growth data of blue antimora Antimora rostrata in waters of New Zealand (1–3) and off Macquarie Island (4–6): 1, 4—males, 2, 5—females, 3, 6—all specimens examined (males, females, and unsexed).
Jmse 10 00956 g008
Figure 9. Unweighted age composition of blue antimora Antimora rostrata samples from waters of New Zealand (a) and off Macquarie Island (b).
Figure 9. Unweighted age composition of blue antimora Antimora rostrata samples from waters of New Zealand (a) and off Macquarie Island (b).
Jmse 10 00956 g009
Figure 10. Relationship between otolith weight (Wo) and age of blue antimora Antimora rostrata in waters of New Zealand (a) and off Macquarie Island (b).
Figure 10. Relationship between otolith weight (Wo) and age of blue antimora Antimora rostrata in waters of New Zealand (a) and off Macquarie Island (b).
Jmse 10 00956 g010
Figure 11. Specific growth rates of blue antimora Antimora rostrata in waters of New Zealand (1) and off Macquarie Island (2).
Figure 11. Specific growth rates of blue antimora Antimora rostrata in waters of New Zealand (1) and off Macquarie Island (2).
Jmse 10 00956 g011
Figure 12. The growth of blue antimora Antimora rostrata in various parts of the species’ range: 1—Flemish Cap [19], 2—Greenland and Mid-Atlantic Ridge [8], 3—Southwestern Greenland [18], 4—Iceland [15], 5—Lazarev and Weddell seas [16], 6—Kerguelen and Crozet Islands [17], 7—Ross Sea [9], 8—Macquarie Island (our data), 9—New Zealand [9], 10—New Zealand (our data).
Figure 12. The growth of blue antimora Antimora rostrata in various parts of the species’ range: 1—Flemish Cap [19], 2—Greenland and Mid-Atlantic Ridge [8], 3—Southwestern Greenland [18], 4—Iceland [15], 5—Lazarev and Weddell seas [16], 6—Kerguelen and Crozet Islands [17], 7—Ross Sea [9], 8—Macquarie Island (our data), 9—New Zealand [9], 10—New Zealand (our data).
Jmse 10 00956 g012
Table 1. The parameters of von Bertalanffy growth equation of blue antimora Antimora rostrata in different regions.
Table 1. The parameters of von Bertalanffy growth equation of blue antimora Antimora rostrata in different regions.
L (TL)kt0
Flemish-cap [19]M (96)201.10.008−4.47
F (93)106.60.018−1.62
M+F+J (195)142.90.012−2.96
MAR and Greenland [8]M (68)2332.000.0016−1.74
F (170)71.860.141.52
M+F+J (257)81.700.100.98
Southwestern Greenland [18]M (77)74.170.0621.14
F (92)82.580.0360.89
M+F+J (200)76.820.0571.11
Iceland [15]M+F+J (57)61.370.0890.205
Lazarev and Weddell seas [16]M (38)79.900.0601.23
F (29)165.450.0120.87
M+F+J (110)82.250.0501.09
Kerguelen and Crozet Islands [17]M+F+J (148)77.50.0531.29
Ross Sea [9]M+F (192)82.20.047−0.6
Macquarie Island (our data)M (59)69.00.1012.6
F (43)71.50.055.9
M+F+J (109)72.40.089.95
New Zealand [9]M+F+J (48)50.80.056−3.2
New Zealand (our data)M (28)325.60.003−19.2
F (56)1121.10.001−8.6
M+F+J (91)1118.9.90.001−8.8
Publisher’s Note: MDPI stays neutral with regard to jurisdictional claims in published maps and institutional affiliations.

Share and Cite

MDPI and ACS Style

Korostelev, N.B.; Welsford, D.C.; Belyakov, V.V.; Bush, A.G.; Orlov, A.M. So Close Yet So Far: Age and Growth of Blue Antimora Antimora rostrata (Moridae, Gadiformes, Teleostei) off New Zealand and Macquarie Island (Southwestern Pacific Ocean). J. Mar. Sci. Eng. 2022, 10, 956. https://doi.org/10.3390/jmse10070956

AMA Style

Korostelev NB, Welsford DC, Belyakov VV, Bush AG, Orlov AM. So Close Yet So Far: Age and Growth of Blue Antimora Antimora rostrata (Moridae, Gadiformes, Teleostei) off New Zealand and Macquarie Island (Southwestern Pacific Ocean). Journal of Marine Science and Engineering. 2022; 10(7):956. https://doi.org/10.3390/jmse10070956

Chicago/Turabian Style

Korostelev, Nikolai B., Dirk C. Welsford, Vladimir V. Belyakov, Andrei G. Bush, and Alexei M. Orlov. 2022. "So Close Yet So Far: Age and Growth of Blue Antimora Antimora rostrata (Moridae, Gadiformes, Teleostei) off New Zealand and Macquarie Island (Southwestern Pacific Ocean)" Journal of Marine Science and Engineering 10, no. 7: 956. https://doi.org/10.3390/jmse10070956

APA Style

Korostelev, N. B., Welsford, D. C., Belyakov, V. V., Bush, A. G., & Orlov, A. M. (2022). So Close Yet So Far: Age and Growth of Blue Antimora Antimora rostrata (Moridae, Gadiformes, Teleostei) off New Zealand and Macquarie Island (Southwestern Pacific Ocean). Journal of Marine Science and Engineering, 10(7), 956. https://doi.org/10.3390/jmse10070956

Note that from the first issue of 2016, this journal uses article numbers instead of page numbers. See further details here.

Article Metrics

Back to TopTop