On Sound Scattering and Acoustic Properties of the Upper Layer of the Sea with Bubble Clouds
Abstract
:1. Introduction
2. Materials and Methods
2.1. Theoretical Foundations
2.2. Evaluation of Acoustic Characteristics Based on a Homogeneous Model of Water with Bubbles
2.3. Experimental Methods and Equipment
3. Results
3.1. Sound Scattering in the Near-Surface Layer of the Sea
3.2. Bubble Size Distribution Function
3.3. Estimates of Gas Content and Sound Absorption from Experimental Data
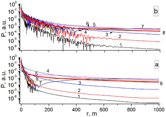
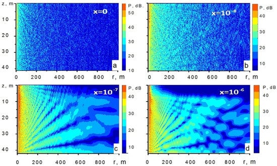
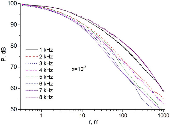
3.4. On the Propagation of Sound in the Presence of Near-Surface Bubble Clouds
4. Discussion
5. Conclusions
Author Contributions
Funding
Institutional Review Board Statement
Informed Consent Statement
Data Availability Statement
Acknowledgments
Conflicts of Interest
References
- Brekhovskikh, L.M.; Lysanov, Y.P. Fundamentals of Ocean Acoustics; Springer: Berlin, Germany; New York, NY, USA, 1982; 250p. [Google Scholar]
- Medwin, H. Acoustical determination of bubble size spectra. J. Acoust. Soc. Am. 1977, 62, 1041–1044. [Google Scholar] [CrossRef]
- Medwin, H. In situ acoustic measurements of microbubbles at sea. J. Geophys. Res. 1977, 82, 971–976. [Google Scholar] [CrossRef]
- Thorpe, S.A. On the clouds of bubbles formed by breaking wind-waves in deep water, and their role in air-sea gas transfer. Philos. Tran. R. Soc. Lond. A 1982, 304, 155–210. [Google Scholar]
- Thorpe, S.A. Measurements with an automatically recording inverted echo sounder; ARIES and the bubble clouds. J. Phys. Oceanogr. 1986, 16, 1462–1478. [Google Scholar] [CrossRef] [Green Version]
- Vagle, S.; Farmer, D. The measurement of bubble-size distributions by acoustical backscatter. J. Atmos. Ocean. Technol. 1992, 9, 630–664. [Google Scholar] [CrossRef]
- Wu, J. Bubbles in the near-surface ocean: Their various structures. J. Phys. Oceanogr. 1994, 24, 1955–1965. [Google Scholar] [CrossRef] [Green Version]
- Lamarre, E.; Melville, W.K. Sound speed measurements near the ocean surface. J. Acoust. Soc. Am. 1994, 96, 3605–3616. [Google Scholar] [CrossRef]
- Andreas, E.L.; Monahan, E.C. The role of whitecap bubbles in air-sea heat and moisture exchange. J. Phys. Oceanogr. 2000, 30, 433–441. [Google Scholar] [CrossRef]
- Han, L.; Yuan, Y. Bubble size distribution in surface wave breaking entraining process. Sci. China Ser. D Earth Sci. 2007, 50, 1754–1760. [Google Scholar] [CrossRef]
- Vagle, S.; McNeil, C.; Steiner, N. Upper ocean bubble measurements from the NE Pacific and estimates of their role in air-sea gas transfer of the weakly soluble gases nitrogen and oxygen. J. Geophys. Res. 2010, 115, C12054. [Google Scholar] [CrossRef]
- Baschek, B.; Farmer, D.M. Gas Bubbles as Oceanographic Tracers. J. Atmos. Ocean. Technol. 2010, 27, 241–245. [Google Scholar] [CrossRef]
- Czerski, H.; Deane, G.B. The effect of coupling on bubble fragmentation acoustics. J. Acoust. Soc. Am. 2011, 129, 74. [Google Scholar] [CrossRef] [PubMed]
- Deane, G.B.; Preisig, J.C.; Lavery, A.C. The suspension of large bubbles near the seasurface by turbulence and their role in absorbing forward-scattered sound. IEEE J. Ocean. Eng. 2013, 38, 632–641. [Google Scholar] [CrossRef]
- Ainslie, M.A. Effect of wind-generated bubbles on fixed range acoustic attenuation in shallow water at 1–4 kHz. J. Acoust. Soc. Am. 2005, 118, 3513–3523. [Google Scholar] [CrossRef]
- Liu, R.; Li, Z. The Effects of Bubble Scattering on Sound Propagation in Shallow Water. J. Mar. Sci. Eng. 2021, 9, 1441. [Google Scholar] [CrossRef]
- Akulichev, V.A.; Bulanov, V.A.; Klenin, S.A. Acoustic sensing of gas bubbles in the ocean medium. Sov. Phys. Acoust. 1986, 32, 177–180. [Google Scholar]
- Akulichev, V.A.; Bulanov, V.A. Measurements of bubbles in sea water by nonstationary sound scattering. J. Acoust. Soc. Am. 2011, 130 Pt 2, 3438–3449. [Google Scholar] [CrossRef]
- Naugolnykh, K.A.; Ostrovsky, L.A. Nonlinear Wave Processes in Acoustics; Cambridge University Press: Cambridge, UK, 1998; 298p. [Google Scholar]
- Akulichev, V.A.; Bulanov, V.A. Anomalies in Acoustic Parameters of Polydisperse Liquids with Gas and Vapor Bubbles. Dokl. Earth Sci. 2013, 448 Pt 1, 92–96. [Google Scholar] [CrossRef]
- Bulanov, V.A.; Korskov, I.V.; Sosedko, S.N.; Storozhenko, A.V. A multifrequency acoustic sounding system for studying the acoustic characteristics of the upper layer of the sea. Instrum. Exp. Tech. 2020, 63, 410–415. [Google Scholar] [CrossRef]
- Garrett, C.; Li, M.; Farmer, D. The Connection between Bubble Size Spectra and Energy Dissipation Rates in the Upper Ocean. J. Phys. Ocean. 2000, 30, 2163–2171. [Google Scholar] [CrossRef]
- Porter, M.B.; Reiss, E.L. A Numerical Method for Bottom Interacting Ocean Acoustic Normal Modes. J. Acoust. Soc. Am. 1985, 77, 1760–1767. Available online: http://oalib.hlsresearch.com/Modes/ (accessed on 3 September 2019). [CrossRef]
















| Type | Main Characteristics |
|---|---|
| Acoustic emitters | 1. Three-element multi-frequency emitter: Frequency 138 kHz, directivity 11.5°, frequency 216 kHz, directivity 7.2°, frequency 519 kHz directivity 3°, power 2 kW 2. Emitter CA200-8B: 200 kHz, directivity 5.6°, power 2 kW. 3. 145 kHz emitter: directivity 5°, power 2 kW. |
| Equipment for the emission of acoustic signals | 1. Digital signal generator GSPF-053: 12 digits, frequency up to 10 MHz, voltage 5 V. 2. Broadband power amplifier U7-5: frequency up to 3 MHz, power 20 W, voltage 20 V 3. BIP power amplifier (POI): frequency up to 1 MHz, power 600 W, voltage up to 400 V |
| Equipment for receiving acoustic signals | 1. Selective nanovoltmeter SN-233: standard frequency up to 150 kHz, extended frequency up to 200 kHz; selectivity: (a) wide band, (b) 20 dB/octave, (c) 36 dB/octave, (b) 54 dB/octave; maximum gain 106. 2. Third-octave filters RFT01018 (Robotron): frequency up to 200 kHz, switchable selectivity: (a) octave, (b) 1/3 octave; maximum gain 10. 3. Selective filters for individual frequencies (POI): standard frequencies 138 kHz, 145 kHz, 216 kHz, 512 kHz, with the possibility of frequency adjustment, Q factor 10. 4. Brüel & Kjærtype 2650 amplifier: frequency up to 200 kHz, LF and HF filters: 30 kHz and 2 kHz, Maximum gain 102 5. Microphone amplifier RFT00011 (Robotron): frequency up to 1 MHz, maximum gain 106 |
| Equipment for recording acoustic signals | 1. La2 USB ADC (Rudnev and Shilyaev): quantization frequency up to 400 kHz, 14 digits, 16 channels, maximum gain 103. https://rudshel.ru/show.php?dev=35, accessed on 23 May 2022. 2. ADC E20-10 (L-Card): quantization frequency up to 10 MHz, 12 digits, 4 channels, maximum gain 102. https://www.lcard.ru/products/external/e20-10, accessed on 23 May 2022. |
Publisher’s Note: MDPI stays neutral with regard to jurisdictional claims in published maps and institutional affiliations. |
© 2022 by the authors. Licensee MDPI, Basel, Switzerland. This article is an open access article distributed under the terms and conditions of the Creative Commons Attribution (CC BY) license (https://creativecommons.org/licenses/by/4.0/).
Share and Cite
Bulanov, V.A.; Bugaeva, L.K.; Storozhenko, A.V. On Sound Scattering and Acoustic Properties of the Upper Layer of the Sea with Bubble Clouds. J. Mar. Sci. Eng. 2022, 10, 872. https://doi.org/10.3390/jmse10070872
Bulanov VA, Bugaeva LK, Storozhenko AV. On Sound Scattering and Acoustic Properties of the Upper Layer of the Sea with Bubble Clouds. Journal of Marine Science and Engineering. 2022; 10(7):872. https://doi.org/10.3390/jmse10070872
Chicago/Turabian StyleBulanov, Vladimir A., Lubov K. Bugaeva, and Andrey V. Storozhenko. 2022. "On Sound Scattering and Acoustic Properties of the Upper Layer of the Sea with Bubble Clouds" Journal of Marine Science and Engineering 10, no. 7: 872. https://doi.org/10.3390/jmse10070872
APA StyleBulanov, V. A., Bugaeva, L. K., & Storozhenko, A. V. (2022). On Sound Scattering and Acoustic Properties of the Upper Layer of the Sea with Bubble Clouds. Journal of Marine Science and Engineering, 10(7), 872. https://doi.org/10.3390/jmse10070872
