Energetic and Ecological Effects of the Slow Steaming Application and Gasification of Container Ships
Abstract
:1. Introduction
2. Materials and Methods
2.1. Ship Resistance and Propulsion Characteristics
2.2. Selection Procedure for the Main DF Engine Complying with IMO Regulations
2.3. Fuel Savings and CO2 Emission Reduction
3. Results and Discussion
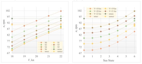
3.1. Ship Resistance and Balancing Propulsion Characteristics
3.2. Selection of DF Engine and Determination of FC and CDE
3.3. Fuel Savings and CO2 Reductions for Slow Steaming
3.4. Sailing Route between Shanghai and Hamburg
3.5. Impact of Slow Steaming on Fuel Savings and CO2 Emission Reduction
3.6. Impact of Ship Gasification on Energy Efficiency and CO2 Emission Reduction
4. Conclusions
Author Contributions
Funding
Acknowledgments
Conflicts of Interest
Nomenclature
| Symbols | |
| CDR | carbon dioxide reduction for slow steaming, kg/s |
| CDRY | carbon dioxide reduction for slow steaming per year, kt/year |
| CDRG | carbon dioxide reduction for gasification, kg/s |
| CDRY | carbon dioxide reduction for gasification per year, kt/year |
| CF | stoichiometric factor, kgCO2/kgf |
| EER | energy efficiency ratio |
| FIER | freight income efficiency ratio |
| FOS | fuel oil savings kg/s |
| FS | fuel savings, kg/h |
| FSY | fuel savings per year, t/year |
| significant wave height, m | |
| balancing propeller advance ratio | |
| torque coefficient | |
| thrust coefficient | |
| L | route length, km |
| LHV | lower heating value, J/kg |
| N | number of the sea states |
| NORT | number of the round trips per year |
| NGS | natural gas savings, kg/s |
| PFOS | pilot fuel oil savings, kg/s |
| balancing engine power, W | |
| added resistance in waves, N | |
| total resistance in calm water, N | |
| total resistance in waves, N | |
| balancing engine torque, Nm | |
| SFC | specific fuel consumption, kg/kWh |
| SFOC | specific fuel oil consumption, kg/kWh |
| SNGC | specific natural gas consumption, kg/kWh |
| SPFOC | specific pilot fuel oil consumption, kg/kWh |
| T | time interval, h |
| propeller thrust, N | |
| zero-crossing period, s | |
| sailing speed, kn | |
| weather conditions factor | |
| mean pressure, Pa | |
| mean effective pressure, Pa | |
| Earth radius, km | |
| n | rate of revolution, rpm |
| t | thrust deduction fraction |
| averaged velocity vector, m/s | |
| sailing speed, m/s | |
| w | wake fraction |
| energy efficiency | |
| hull efficiency | |
| overall propulsion efficiency | |
| propeller efficiency | |
| propeller shafting efficiency | |
| relative rotative efficiency | |
| geographic longitude, | |
| geographic latitude, | |
| fluid density, kg/m3 | |
| mean viscous stress tensor, N/m2 | |
| one round trip time, h | |
| one trip time, h | |
| port staying interval, h | |
| sidereal year, h | |
| angular frequency, rad/s | |
| Abbreviations | |
| BIEM | boundary integral equation method |
| CEAS | computerized engine application system |
| CFD | computational fluid dynamics |
| DF | dual fuel |
| DM | distillate marine (fuel) |
| EM | engine margin |
| ECAs | emission control area |
| EGR | exhaust gas recirculation |
| FPP | fixed pitch propeller |
| FSM | fuel sharing mode |
| FO | fuel oil |
| GHG | greenhouse gas |
| HWC | harsh weather conditions |
| IMO | International Maritime Organization |
| KCS | Kriso container ship |
| LNG | liquefied natural gas |
| LP | light propeller (curve) |
| LRM | light running margin |
| MARPOL | International Convention for the Prevention of the Pollution from Ships |
| MCR | maximum continuous rating |
| MDO | marine diesel oil |
| MGO | marine gas oil |
| MECAs | moderate emission control areas |
| MWC | moderate weather conditions |
| NG | natural gas |
| NECAs | NOx emission control areas |
| NOX | nitrogen oxides |
| ORT | one round trip |
| OT | one trip |
| PFO | pilot fuel oil |
| PM | particulate matter |
| RANS | Reynolds averaged Navier–Stokes |
| RM | residual marine (fuel) |
| RWC | realistic weather conditions |
| SCR | selective catalytic reduction |
| SDF | specified dual fuel (mode) |
| SIS | sea state |
| SOX | sulfur oxides |
| SM | sea margin |
| SMCR | specified maximum continuous rating |
| ULSFO | ultra low sulfur fuel oil |
| VLSFO | very low sulfur fuel oil |
| Subscripts | |
| B | balancing point |
| CS | constrained sailing speed |
| D | design point |
| FM | fueling mode |
| FS | free sailing (unconstrained sailing speed) |
| II | Tier II (MECAs) |
| III | Tier III (ECAs) |
| ORT | one round trip |
| OT | one trip |
| TR | tier regulation |
| Y | year |
References
- Intergovernmental Panel on Climate Change. Climate Change 2021. The Physical Science Basis Working Group I contribution to the Sixth Assessment Report of the Intergovernmental Panel on Climate Change; IPCC: Geneva, Switzerland, 2021.
- United Nations. The Paris Agreement. Available online: https://unfccc.int/process-and-meetings/the-paris-agreement/the-paris-agreement (accessed on 7 April 2022).
- Our World in Data. Emissions by Sector. Available online: https://ourworldindata.org/emissions-by-sector (accessed on 7 April 2022).
- UNCTAD. Review of Maritime Transport; UNCTAD: Geneva, Switzerland, 2021. [Google Scholar]
- Mallouppas, G.; Yfantis, E.A. Decarbonization in shipping industry: A review of research, technology development, and innovation proposals. J. Mar. Sci. Eng. 2021, 9, 415. [Google Scholar] [CrossRef]
- IMO. Reduction of GHG Emissions from Ships. Fourth IMO GHG Study 2020—Final Report; MEPC 75/7/15; IMO: London, UK, 2020. [Google Scholar]
- IMO. Report of the Marine Environmental Protection Committee on Its 76th Session; MEPC 76/15; IMO: London, UK, 2021. [Google Scholar]
- Farkas, A.; Degiuli, N.; Martić, I.; Vujanović, M. Greenhouse gas emissions reduction potential by using antifouling coatings in a maritime transport industry. J. Clean Prod. 2021, 295, 126428. [Google Scholar] [CrossRef]
- Li, L.; Gao, S.; Yang, W.; Xiong, X. Ship’s response strategy to emission control areas: From the perspective of sailing pattern optimization and evasion strategy selection. Transport. Res. E-Log 2020, 133, 101835. [Google Scholar] [CrossRef]
- Martić, I.; Degiuli, N.; Farkas, A. Impact of slow steaming on the fuel consumption of a container ship. In Proceedings of the 8th International Maritime Science Conference, Budva, Montenegro, 11–12 April 2019; pp. 269–281. [Google Scholar]
- Degiuli, N.; Martić, I.; Farkas, A. Environmental aspects of total resistance of container ship in the North Atlantic. J. Sustain. Dev. Energy Water Environ. Syst. 2019, 7, 641–655. [Google Scholar] [CrossRef]
- Finnsgård, C.; Kalantari, J.; Roso, V.; Woxenius, J. The Shipper’s perspective on slow steaming-Study of Six Swedish companies. Transp. Policy 2020, 86, 44–49. [Google Scholar] [CrossRef]
- Lee, C.Y.; Lee, H.L.; Zhang, J. The impact of slow ocean steaming on delivery reliability and fuel consumption. Transp. Res. E-Log 2015, 76, 176–190. [Google Scholar] [CrossRef]
- Mander, S. Slow steaming and a new dawn for wind propulsion: A multi-level analysis of two low carbon shipping transitions. MarPolicy 2017, 75, 210–216. [Google Scholar] [CrossRef]
- Armstrong, V.N. Vessel optimisation for low carbon shipping. Ocean Eng. 2013, 73, 195–207. [Google Scholar] [CrossRef]
- Zalacko, R.; Zöldy, M.; Simongáti, G. Comparative study of two simple marine engine BSFC estimation methods. Brodogradnja 2020, 71, 13–25. [Google Scholar] [CrossRef]
- Gandossi, L.; Calisto, F. Gasification of the Commercial Fleet—Challenges and Perspectives of LNG as Fuel; European Commission: Brussels, Belgium, 2018. [Google Scholar]
- DNV GV MARITIME-FORECASCT TO 2050, Energy Transition Outlook. 2019. Available online: https://download.dnv.com/eto-2021-download (accessed on 7 April 2022).
- Degiuli, N.; Martić, I.; Farkas, A.; Gospić, I. The impact of slow steaming on reducing CO2 emissions in the Mediterranean Sea. Energy Rep. 2021, 7, 8131–8141. [Google Scholar] [CrossRef]
- Monteiro, J. Co2asts—Carbon Capture, Storage and Transfer in Shipping; Co2ASTS Public Concise Report; EU Interreg V A Programme: Strassbourg, France, 2020. [Google Scholar]
- Lee, Y.G.; Kim, C.; Park, J.H.; Kim, H.; Lee, I.; Jin, B. Numerical simulations of added resistance in regular head waves on a container ship. Brodogradnja 2019, 70, 61–86. [Google Scholar] [CrossRef]
- Farkas, A.; Degiuli, N.; Martić, I. Impact of biofilm on the resistance characteristics and nominal wake. Proc. Inst. Mech. Eng. M 2020, 234, 59–75. [Google Scholar] [CrossRef]
- Farkas, A.; Degiuli, N.; Martić, I.; Dejhalla, R. Impact of hard fouling on the ship performance of different ship forms. J. Mar. Sci. Eng. 2020, 8, 748. [Google Scholar] [CrossRef]
- Ferziger, J.H.; Perić, M. Computational Methods for Fluid Dynamics; Springer Science & Business Media: Berlin/Heidelberg, Germany, 2012. [Google Scholar]
- Farkas, A.; Degiuli, N.; Martić, I. Assessment of hydrodynamic characteristics of a full-scale ship at different draughts. Ocean Eng. 2018, 156, 135–152. [Google Scholar] [CrossRef]
- Farkas, A.; Song, S.; Degiuli, N.; Martić, I.; Demirel, Y.K. Impact of biofilm on the ship propulsion characteristics and the speed reduction. Ocean Eng. 2020, 199, 107033. [Google Scholar] [CrossRef]
- Martić, I.; Degiuli, N.; Farkas, A.; Gospić, I. Evaluation of the effect of container ship characteristics on added resistance in waves. J. Mar. Sci. Eng. 2020, 8, 696. [Google Scholar] [CrossRef]
- Hogben, N.; Dacunha, N.M.; Olliver, G.F. Global Wave Statistics; Unwin Bros: London, UK, 1986. [Google Scholar]
- MAN B & W, 2020a, MAN B & W S65ME-C8.6 Project Guide. Available online: https://man-es.com/applications/projectguides/2stroke/content/epub/S65ME-C8_6.pdf (accessed on 7 April 2022).
- MAN B & W, 2020b, MAN B & W S65ME-C8.6-GI Project Guide. Available online: https://man-es.com/applications/projectguides/2stroke/content/printed/S65ME-C8_6-GI.pdf (accessed on 7 April 2022).
- MAN Energy Solutions. Emission Project Guide, 12th Edition. February 2022. Available online: https://man-es.com/applications/projectguides/2stroke/content/special_pg/PG_7020-0145.pdf (accessed on 7 April 2022).
- MEPC. Guidelines on the method of calculation of the attained energy efficiency design index (EEDI) for new ships. In Resolution MEPC 245 (66); International Maritime Organization (IMO): London, UK, 2014. [Google Scholar]
- Chu-Van, T.; Ristovski, Z.; Pourkhesalian, A.M.; Rainey, T.; Garaniya, V.; Abbassi, R.; Kimball, R.; Cong, N.L.; Jahangiri, S.; Brown, R.J. A comparison of particulate matter and gaseous emission factors from two large cargo vessels during manoeuvring conditions. Energy Rep. 2021, 5, 1390–1398. [Google Scholar] [CrossRef]
- MAN Energy Solutions. CEAS Engine Calculations. Available online: https://www.man-es.com/marine/products/planning-tools-and-downloads/ceas-engine-calculations (accessed on 7 April 2022).
- MAN Energy Solutions 11,000 TEU, 2017, Container Vessel. Available online: https://man-es.com/docs/default-source/marine/man-es_11-000-teu-container-vessel-manpm-00-0520-preview.pdf?sfvrsn=b5ef1f53_8 (accessed on 7 April 2022).
































| Main Particulars | Full Scale |
|---|---|
| Length between perpendiculars, LPP (m) | 230 |
| Waterline length, LWL (m) | 232.5 |
| Maximum molded breadth at design waterline, BWL (m) | 32.2 |
| Depth, D (m) | 19 |
| Draft, T (m) | 10.8 |
| Displacement volume, ∇ (m3) | 52,030 |
| Hull wetted surface area, SW (m2) | 9424 |
| Block coefficient, CB | 0.6505 |
| Midship section coefficient, CM | 0.9849 |
| Longitudinal centre of buoyancy, LCB (% LPP) from midship | −1.48 |
| Vertical centre of gravity, VCG (m) | 7.28 |
| Roll radius of gyration, kxx/B | 0.40 |
| Pitch radius of gyration, kyy/LPP | 0.25 |
| Yaw radius of gyration, kzz/LPP | 0.25 |
| Density, ρ (kg/m3) | 1026 |
| Propeller diameter, D (m) | 7.9 |
| Number of blades, Z | 5 |
| Pitch to diameter ratio, P/D | 0.997 |
| Sea State, | , m | , s |
|---|---|---|
| S0 | 0 | 0 |
| S1 | 0.5 | 7.5 |
| S2 | 1.5 | 8.5 |
| S3 | 2.5 | 8.5 |
| S4 | 3.5 | 8.5 |
| S5 | 4.5 | 8.5 |
| S6 | 5.5 | 8.5 |
| S0 | 18 kn | 19 kn | 20 kn | 21 kn | 22 kn |
|---|---|---|---|---|---|
| , kN | 692.56 | 842.81 | 970.02 | 1089.54 | 1204.01 |
| 0.233 | 0.230 | 0.228 | 0.225 | 0.223 | |
| 0.159 | 0.153 | 0.147 | 0.128 | 0.134 | |
| 0.996 | 0.997 | 1.000 | 1.000 | 1.001 | |
| 1.096 | 1.100 | 1.105 | 1.125 | 1.115 | |
| , kN | 823.82 | 995.05 | 1136.79 | 1267.39 | 1390.31 |
| VS, kn | 18 | 19 | 20 | 21 | 22 |
| Sea state | |||||
| S1 | 6.035 | 6.17 | 6.34 | 6.56 | 6.81 |
| S2 | 60.268 | 61.94 | 63.83 | 65.93 | 68.25 |
| S3 | 167.435 | 172.06 | 177.31 | 183.14 | 189.61 |
| S4 | 328.192 | 337.25 | 347.52 | 358.95 | 371.61 |
| S5 | 542.511 | 557.49 | 574.48 | 593.36 | 614.29 |
| S6 | 810.412 | 832.79 | 858.17 | 886.38 | 917.65 |
| 18 | S0 | 823.819 | 69.479 | 0.7766 | 0.1539 | 0.2986 | 0.6369 | 1.2941 | 9.4159 |
| S1 | 830.999 | 69.611 | 0.7751 | 0.1546 | 0.2996 | 0.6367 | 1.3033 | 9.5005 | |
| S2 | 895.511 | 70.782 | 0.7623 | 0.1612 | 0.3080 | 0.6348 | 1.3854 | 10.2689 | |
| S3 | 1022.987 | 73.025 | 0.7388 | 0.1730 | 0.3231 | 0.6294 | 1.5471 | 11.8311 | |
| S4 | 1214.215 | 76.229 | 0.7078 | 0.1884 | 0.3428 | 0.6190 | 1.7886 | 14.2781 | |
| S5 | 1469.152 | 80.238 | 0.6724 | 0.2058 | 0.3648 | 0.6035 | 2.1089 | 17.7199 | |
| S6 | 1787.826 | 84.892 | 0.6356 | 0.2237 | 0.3874 | 0.5840 | 2.5069 | 22.2860 | |
| 19 | S0 | 995.053 | 74.818 | 0.7640 | 0.1603 | 0.3068 | 0.6351 | 1.5402 | 12.0672 |
| S1 | 1002.337 | 74.942 | 0.7627 | 0.1609 | 0.3077 | 0.6349 | 1.5494 | 12.1597 | |
| S2 | 1068.181 | 76.048 | 0.7516 | 0.1665 | 0.3149 | 0.6327 | 1.6329 | 13.0044 | |
| S3 | 1198.195 | 78.174 | 0.7312 | 0.1768 | 0.3280 | 0.6272 | 1.7974 | 14.7143 | |
| S4 | 1393.223 | 81.225 | 0.7037 | 0.1904 | 0.3454 | 0.6175 | 2.0432 | 17.3791 | |
| S5 | 1653.248 | 85.068 | 0.6719 | 0.2060 | 0.3651 | 0.6033 | 2.3693 | 21.1064 | |
| S6 | 1978.276 | 89.560 | 0.6382 | 0.2224 | 0.3858 | 0.5855 | 2.7748 | 26.0239 | |
| 20 | S0 | 1136.788 | 79.436 | 0.7598 | 0.1624 | 0.3096 | 0.6343 | 1.7519 | 14.5732 |
| S1 | 1144.220 | 79.555 | 0.7586 | 0.1630 | 0.3104 | 0.6341 | 1.7613 | 14.6735 | |
| S2 | 1211.589 | 80.621 | 0.7486 | 0.1681 | 0.3169 | 0.6319 | 1.8467 | 15.5911 | |
| S3 | 1344.580 | 82.672 | 0.7300 | 0.1774 | 0.3288 | 0.6268 | 2.0149 | 17.4439 | |
| S4 | 1544.055 | 85.628 | 0.7048 | 0.1899 | 0.3447 | 0.6179 | 2.2663 | 20.3215 | |
| S5 | 1810.029 | 89.368 | 0.6753 | 0.2044 | 0.3630 | 0.6049 | 2.6000 | 24.3319 | |
| S6 | 2142.494 | 93.761 | 0.6437 | 0.2198 | 0.3825 | 0.5885 | 3.0150 | 29.6034 | |
| 21 | S0 | 1267.393 | 83.759 | 0.7589 | 0.1629 | 0.3102 | 0.6342 | 1.9514 | 17.1162 |
| S1 | 1275.027 | 83.875 | 0.7578 | 0.1634 | 0.3109 | 0.6340 | 1.9611 | 17.2249 | |
| S2 | 1344.083 | 84.911 | 0.7486 | 0.1681 | 0.3169 | 0.6319 | 2.0486 | 18.2161 | |
| S3 | 1480.428 | 86.911 | 0.7313 | 0.1767 | 0.3279 | 0.6272 | 2.2211 | 20.2145 | |
| S4 | 1684.934 | 89.800 | 0.7078 | 0.1884 | 0.3428 | 0.6191 | 2.4789 | 23.3107 | |
| S5 | 1957.612 | 93.468 | 0.6800 | 0.2021 | 0.3601 | 0.6072 | 2.8212 | 27.6135 | |
| S6 | 2298.463 | 97.794 | 0.6500 | 0.2167 | 0.3786 | 0.5920 | 3.2471 | 33.2533 | |
| 22 | S0 | 1390.309 | 87.881 | 0.7600 | 0.1623 | 0.3095 | 0.6344 | 2.1431 | 19.7227 |
| S1 | 1398.176 | 87.995 | 0.7590 | 0.1628 | 0.3101 | 0.6342 | 2.1531 | 19.8402 | |
| S2 | 1469.121 | 89.011 | 0.7503 | 0.1672 | 0.3157 | 0.6324 | 2.2430 | 20.9077 | |
| S3 | 1609.264 | 90.974 | 0.7341 | 0.1753 | 0.3261 | 0.6281 | 2.4204 | 23.0582 | |
| S4 | 1819.419 | 93.818 | 0.7119 | 0.1864 | 0.3403 | 0.6206 | 2.6854 | 26.3832 | |
| S5 | 2099.650 | 97.439 | 0.6854 | 0.1994 | 0.3568 | 0.6097 | 3.0375 | 30.9939 | |
| S6 | 2449.954 | 101.723 | 0.6566 | 0.2135 | 0.3746 | 0.5955 | 3.4756 | 37.0235 |
Publisher’s Note: MDPI stays neutral with regard to jurisdictional claims in published maps and institutional affiliations. |
© 2022 by the authors. Licensee MDPI, Basel, Switzerland. This article is an open access article distributed under the terms and conditions of the Creative Commons Attribution (CC BY) license (https://creativecommons.org/licenses/by/4.0/).
Share and Cite
Gospić, I.; Martić, I.; Degiuli, N.; Farkas, A. Energetic and Ecological Effects of the Slow Steaming Application and Gasification of Container Ships. J. Mar. Sci. Eng. 2022, 10, 703. https://doi.org/10.3390/jmse10050703
Gospić I, Martić I, Degiuli N, Farkas A. Energetic and Ecological Effects of the Slow Steaming Application and Gasification of Container Ships. Journal of Marine Science and Engineering. 2022; 10(5):703. https://doi.org/10.3390/jmse10050703
Chicago/Turabian StyleGospić, Ivan, Ivana Martić, Nastia Degiuli, and Andrea Farkas. 2022. "Energetic and Ecological Effects of the Slow Steaming Application and Gasification of Container Ships" Journal of Marine Science and Engineering 10, no. 5: 703. https://doi.org/10.3390/jmse10050703
APA StyleGospić, I., Martić, I., Degiuli, N., & Farkas, A. (2022). Energetic and Ecological Effects of the Slow Steaming Application and Gasification of Container Ships. Journal of Marine Science and Engineering, 10(5), 703. https://doi.org/10.3390/jmse10050703

