CFD Prediction of Wind Loads on FPSO and Shuttle Tankers during Side-by-Side Offloading
Abstract
1. Introduction
- to obtain wind load coefficients on single vessels of different shapes;
- to assess the current status of wind load simulations for single vessels in terms of accuracy;
- to determine the numerical accuracy in side-by-side configuration; and
- to investigate the effect of gap size on shielding coefficients in CFD.
2. Numerical Solver and Experimental Data
2.1. CFD Code: ReFRESCO
2.2. Atmospheric Boundary Layer Modeling
2.3. Uncertainty of Wind Tunnel Experiments
3. Wind Loads on Single Vessels
3.1. Numerical Setup
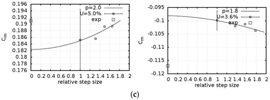
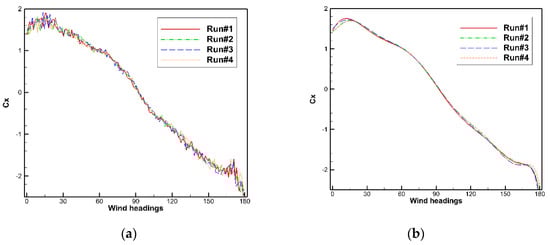
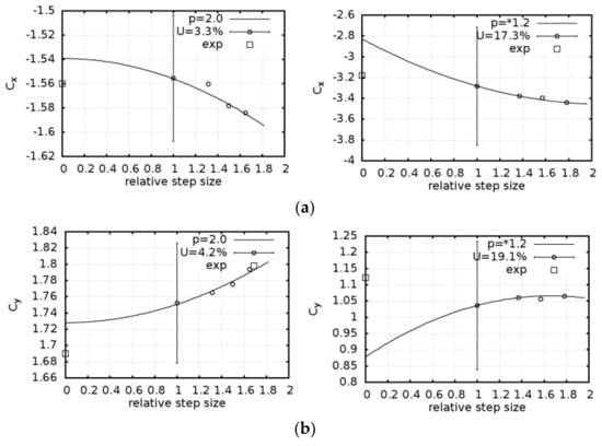
3.2. Numerical Verification
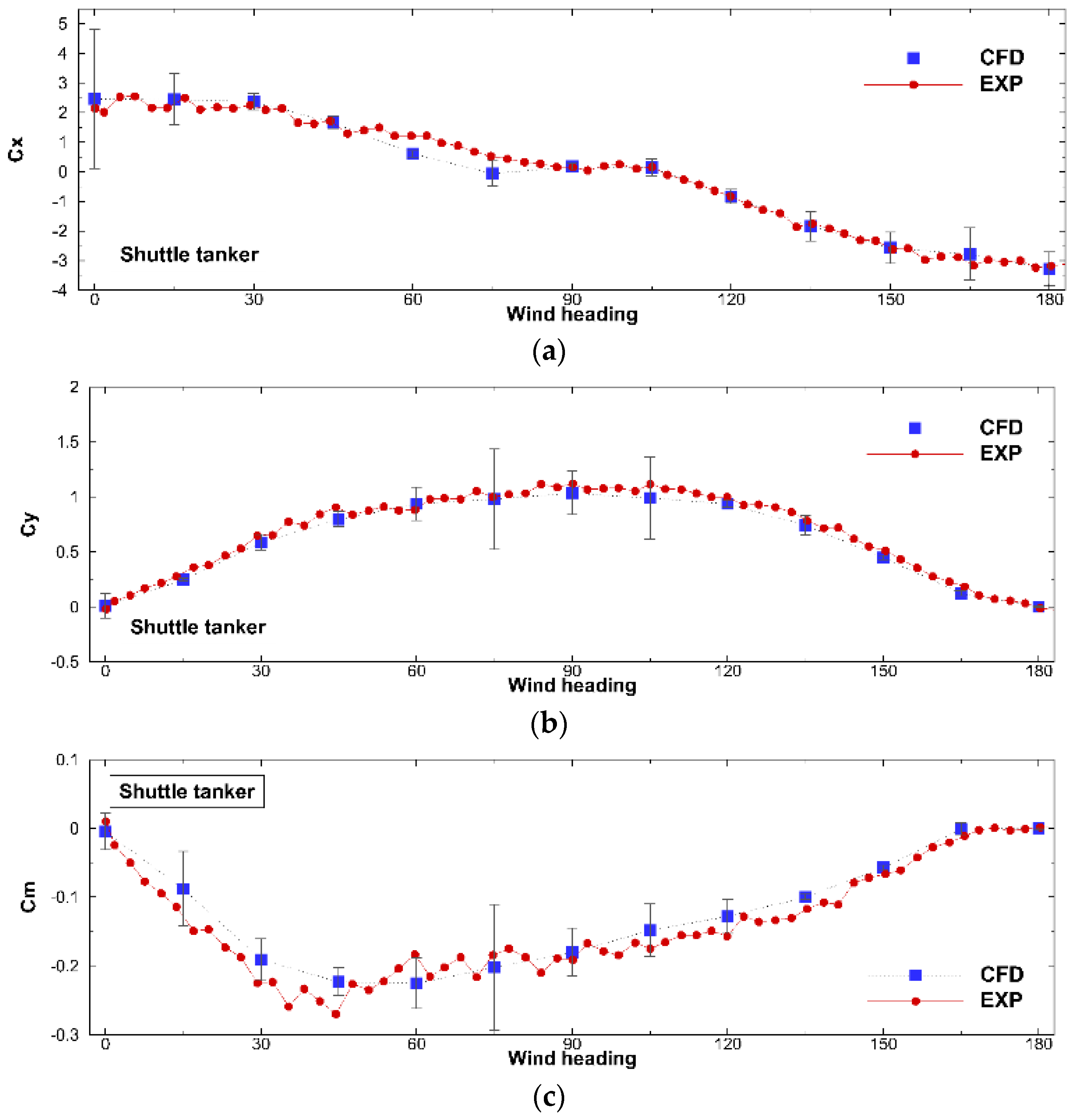
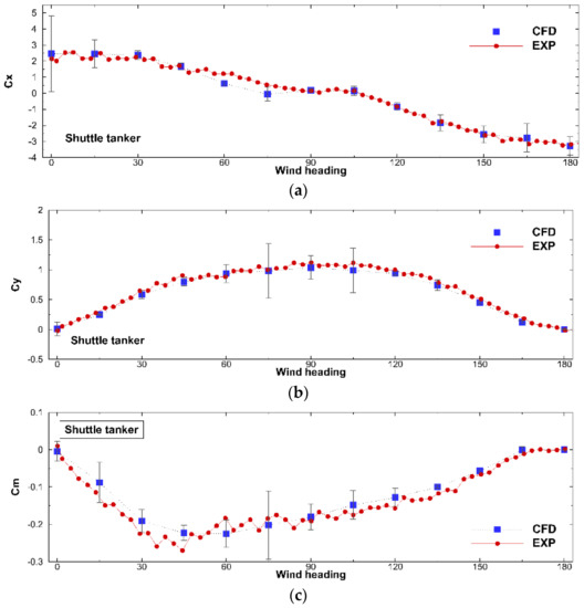
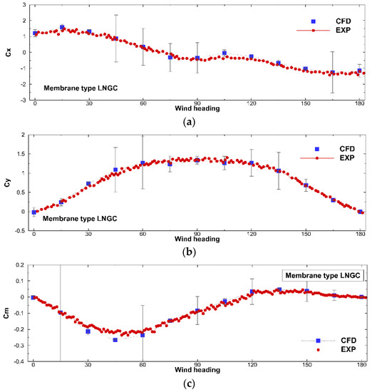
3.3. Validation
4. Side-by-Side Offloading Operation
4.1. Numerical Setup
4.2. Verification Study
4.3. Validation
4.4. Gap Effects between Two Vessels
5. Conclusions
- From the CFD results of the single-vessel cases, good agreement with the experimental data was found for all vessels. The most challenging case was the moss-type LNGC with hemispherical tanks. Despite the large numerical uncertainty, the numerical modeling error was small and a good agreement with the wind tunnel tests was obtained;
- In the case of a side-by-side configuration with a combination of an FPSO and shuttle tanker at a gap of 4 m, larger numerical uncertainties were found, especially when the vessel was shielded. Despite the relatively large numerical uncertainty, agreement with wind tunnel data was good, in which all coefficients were within 3–5% of the experiments on average.
- To identify the gap effects between two vessels in a side-by-side arrangement, CFD simulations were performed for two cases, with gaps of 10 m and 30 m. While FPSO had only a limited effect because of the existence of the shuttle tanker, the shuttle tanker showed reduced aerodynamic force and moment in almost all heading ranges compared with a single vessel owing to the strong shielding effect of the larger FPSO. In addition, as the gap between the two vessels increased, the shielding effect gradually decreased and eventually approached the wind load acting on a single vessel.
Author Contributions
Funding
Institutional Review Board Statement
Informed Consent Statement
Data Availability Statement
Acknowledgments
Conflicts of Interest
References
- Andersen, I.M.V. Wind loads on post-Panamax container ship. Ocean Eng. 2013, 58, 115–134. [Google Scholar] [CrossRef]
- Luo, S.Z.; Ma, N.; Hirakawa, Y. Evaluation of resistance increase and speed loss of a ship in wind and waves. J. Ocean Eng. Sci. 2016, 1, 212–218. [Google Scholar] [CrossRef]
- Lee, J.S.; Kim, H.T.; Hong, C.B.; Choi, S.K.; Lee, Y.C. Study on optimization of superstructures to reduce the fuel consumption in actual sea-state. In Proceedings of the Annual Spring Meeting(SNAK), Jeju, Korea, 23–25 May 2013; pp. 1304–1312. [Google Scholar]
- Fujiwara, T.; Ueno, M.; Ikeda, Y. Cruising performance of ships with large superstructures in heavy sea. J. Stage. 2005, 2, 257–269. [Google Scholar] [CrossRef][Green Version]
- Hughes, G. Model Experiments on the Wind Resistance of Ships. Inst. Nav. Archit. Trans. 1930, 72, 310–325. [Google Scholar]
- Hughes, G. The air resistance of ship’s hulls with various types and distributions of superstructure. Inst. E S Scot. 1932, 75, 302. [Google Scholar]
- Mutimer, G.R. Wind-Tunnel Tests to Determine Aerodynamic Forces and Moments on Ships At Zero Heel; Report 956, Aero Data Report 27; David Taylor Naval Ship Research and Development Center: Bethesda, MD, USA, 1955. [Google Scholar]
- Gould, R.W.F. Measurements of the Wind Forces on a Series of Models of Merchant Ships; Aero Report; Aerodynamics Division, National Physical Laboratory: Teddington, UK, 1967; p. 1233. [Google Scholar]
- Benham, F.A. Prediction of Wind and Current Loads on VLCC’s; Oil Companies International Marine Forum: London, UK, 1977. [Google Scholar]
- Bardera Mora, R. Experimental investigation of the flow on a simple frigate shape (SFS). Sci. World J. 2014, 2014, 818132. [Google Scholar] [CrossRef]
- Shearer, K.D.A.; Lynn, W.M. Wind tunnel tests on models of merchant ships. Int. Shipbuild. Prog. 1961, 8, 62–80. [Google Scholar] [CrossRef]
- Van Berlekom, W.B. Wind Forces on Modern Ship Forms—Effects on Performance; Swedish Maritime Research Centre: Stockholm, Sweden, 1981. [Google Scholar]
- Owens, R.; Palo, P. Wind-Induced Steady Loads on Ships; Technical Note; Naval Civil Engineering Laboratory Port: Hueneme, CA, USA, 1982; p. 93043. [Google Scholar]
- Blendermann, W. Estimation of wind loads on ships in wind with a strong gradient. In Proceedings of the 14th International Conference on Offshore Mechanics and Arctic Engineering (OMAE), Copenhagen, Denmark, 18–22 June 1995. [Google Scholar]
- Haddara, M.R.; Guedes Soares, C. Wind loads on marine structures. Mar. Struct. 1999, 12, 199–209. [Google Scholar] [CrossRef]
- Fujiwara, T.; Tsukada, Y.; Kitamura, F.; Sawada, H. Experimental Investigation and Estimation on Wind Forces for a Container Ship. In Proceedings of the 19th International Offshore and Polar Engineering Conference (ISOPE), Osaka, Japan, 21–26 June 2009. [Google Scholar]
- Torre, S.; Burlando, M.; Repetto, M.P.; Ruscelli, D. Aerodynamic coefficients on moored ships. In Proceedings of the 15th International Conference on Wind Engineering, Beijing, China, 1–6 September 2019. [Google Scholar]
- Seleznev, V. Numerical simulation of a gas pipeline network using computational fluid dynamics simulators. J. Zhejiang Univ. Sci. A 2007, 8, 755–765. [Google Scholar] [CrossRef]
- Gao, X.; Huo, W.; Luo, Z.Y.; Cen, K.F. CFD simulation with enhancement factor of sulfur dioxide absorption in the spray scrubber. J. Zhejiang Univ. Sci. A 2008, 9, 1601–1613. [Google Scholar] [CrossRef]
- Zhang, Z.; Wieland, R.; Reiche, M.; Funk, R. A computational fluid dynamics model for wind simulation: Model implementation and experimental validation. J. Zhejiang Univ. Sci. A 2012, 13, 274–283. [Google Scholar] [CrossRef]
- Fu, C.; Uddin, M.; Zhang, C.H. Computational Analyses of the Effects of Wind Tunnel Ground Simulation and Blockage Ratio on the Aerodynamic Prediction of Flow over a Passenger Vehicle. Vehicles 2020, 2, 318–341. [Google Scholar] [CrossRef]
- Jing, G.Q.; Ding, D.; Fang, L. Ballasted track aerodynamic optimization by wind tunnel test and CFD simulation. J. Rail Rapid Transit. 2021, 235, 741–747. [Google Scholar] [CrossRef]
- Koop, A.; Klaij, C.; Vaz, G. Predicting Wind Loads for FPSO Tandem Offloading Using CFD. In Proceedings of the ASME 29th International Conference on Ocean, Offshore and Arctic Engineering (OMAE), Shanghai, China, 6–11 June 2010; pp. 533–546. [Google Scholar]
- Koop, A.; Rossin, B.; Vaz, G. Predicting Wind Loads on Typical Offshore Vessels using CFD. In Proceedings of the ASME 31th International Conference on Ocean, Offshore and Arctic Engineering (OMAE), Rio de Janeiro, Brazil, 1–6 July 2012; pp. 731–742. [Google Scholar]
- Lee, S.H.; Lee, S.H.; Kwon, S.D. Effects of Topside Structures and Wind Profile on Wind Tunnel Testing of FPSO Vessel Models. J. Mar. Sci. Eng. 2020, 8, 422. [Google Scholar] [CrossRef]
- Eca, L.; Hoekstra, M. Evaluation of numerical error estimation based on grid refinement studies with the method of manufactured solutions. Comput. Fluids 2019, 38, 1580–1591. [Google Scholar] [CrossRef]
- Roache, P.J. Verification and Validation in Computational Science and Engineering; Hermosa Publishers: Socorro, NM, USA, 1998. [Google Scholar]
- Vaz, G.; Jaouen, F.; Hoekstra, M. Free-surface viscous flow computations: Validation of URANS code FRESCO. In Proceedings of the ASME 28th International Conference on Ocean, Offshore and Arctic Engineering (OMAE), Honolulu, HI, USA, 31 May–5 June 2009; pp. 425–437. [Google Scholar]
- Klaij, C.M.; Vuik, C. SIMPLE-type preconditioners for cell-centered, collocated finite volume discretization of incompressible Reynolds-averaged Navier-Stokes equations. Int. J. Numer. Methods Fluids 2013, 71, 830–849. [Google Scholar] [CrossRef]
- Bani, R.K. Validation of atmospheric boundary layer CFD simulation of a generic isolated cube: Basic settings for urban flows. In Proceedings of the 3rd IBPSA-England Conference BSO, Newcastle, UK, 12–14 September 2016. [Google Scholar]
- Augenstein, E.; Willemsen, E.; Takens, J. Wind Tunnel Investigation on the Wind and Current Load Interference Effects for the OO2 JIP; Technical report LST-2008–28; DNW: Marknesse, The Netherland, 2008. [Google Scholar]
- Menter, F.R. Ten Years of Industrial Experience with the SST Turbulence Model. In Proceedings of the Fourth International Symposium on Turbulence, Heat and Mass Transfer, Antalya, Turkey, 12–17 October 2003; pp. 625–632. [Google Scholar]
- Eca, L.; Vaz, G.; Hoekstra, M. A Verification and Validation Exercise for the Flow over a Backward Facing Step. In Proceedings of the European Conference on Computational Fluid Dynamics (ECCOMAS CFD), Lisbon, Portugal, 14 June 2010. [Google Scholar]
- Rosetti, G.; Vaz, G.; Fujarra, A. URANS Calculations for Smooth Circular Cylinder Flow in a Wide Range of Reynolds Numbers: Solution Verification & Validation. J. Fluids Eng. 2012, 134, 121103. [Google Scholar]
- Eca, L.; Hoekstra, M. A procedure for the estimation of the numerical uncertainty of CFD calculations based on grid refinement studies. J. Comput. Phys. 2014, 262, 104–130. [Google Scholar] [CrossRef]
- Koop, A.; Rossin, B.; Xu, W.; Voogt, A. Wind Shielding Estimation of a Tandem Vessel Using Disturbed Velocity Field from CFD. In Proceedings of the SNAME 20th Offshore Symposium, Houston, TX, USA, 17 February 2015. [Google Scholar]
- Yoo, D.; Park, J.; Schrijvers, P.; Koop, A. Predicting wind loads on single vessels and in side–by–side offloading configuration for FPSO and shuttle tanker using CFD. In Proceedings of the 28th International Offshore and Polar Engineering Conference (ISOPE), Sapporo, Japan, 10–15 June 2018. [Google Scholar]



























| Headings (°) | Mean (m/s) | Standard Deviation (m/s) | Uncertainty (%) |
|---|---|---|---|
| 0 | 1.45 | 0.025 | 1.7 |
| 45 | 1.22 | 0.014 | 1.2 |
| 90 | 0.10 | 0.009 | 9.6 |
| 135 | −1.25 | 0.018 | −1.5 |
| 180 | −2.62 | 0.149 | −5.7 |
| Vessels | Number of Cells | |||
|---|---|---|---|---|
| Case#1 | Case#2 | Case#3 | Case#4 | |
| FPSO | 22.5M | 10M | 6.7M | 5M |
| Shuttle tanker | 23M | 9M | 6M | 4.1M |
| Membrane LNGC | 35M | 15M | 9.2M | 6M |
| Moss LNGC | 37M | 18M | 12M | 9.5M |
| Gaps (m) | Number of Cells | |||
|---|---|---|---|---|
| Case#1 | Case#2 | Case#3 | Case#4 | |
| 4 | 85.6M | 36.6M | 24.8M | 17.6M |
| 10 | - | 37.9M | - | - |
| 30 | - | 44.0M | - | - |
Publisher’s Note: MDPI stays neutral with regard to jurisdictional claims in published maps and institutional affiliations. |
© 2022 by the authors. Licensee MDPI, Basel, Switzerland. This article is an open access article distributed under the terms and conditions of the Creative Commons Attribution (CC BY) license (https://creativecommons.org/licenses/by/4.0/).
Share and Cite
Yoo, J.-H.; Schrijvers, P.; Koop, A.; Park, J.-C. CFD Prediction of Wind Loads on FPSO and Shuttle Tankers during Side-by-Side Offloading. J. Mar. Sci. Eng. 2022, 10, 654. https://doi.org/10.3390/jmse10050654
Yoo J-H, Schrijvers P, Koop A, Park J-C. CFD Prediction of Wind Loads on FPSO and Shuttle Tankers during Side-by-Side Offloading. Journal of Marine Science and Engineering. 2022; 10(5):654. https://doi.org/10.3390/jmse10050654
Chicago/Turabian StyleYoo, Jung-Hee, Patrick Schrijvers, Arjen Koop, and Jong-Chun Park. 2022. "CFD Prediction of Wind Loads on FPSO and Shuttle Tankers during Side-by-Side Offloading" Journal of Marine Science and Engineering 10, no. 5: 654. https://doi.org/10.3390/jmse10050654
APA StyleYoo, J.-H., Schrijvers, P., Koop, A., & Park, J.-C. (2022). CFD Prediction of Wind Loads on FPSO and Shuttle Tankers during Side-by-Side Offloading. Journal of Marine Science and Engineering, 10(5), 654. https://doi.org/10.3390/jmse10050654

