Seasonal Variability of Near-Inertial Internal Waves in the Deep Central Part of the Black Sea
Abstract
1. Introduction
2. Materials and Methods
3. Results
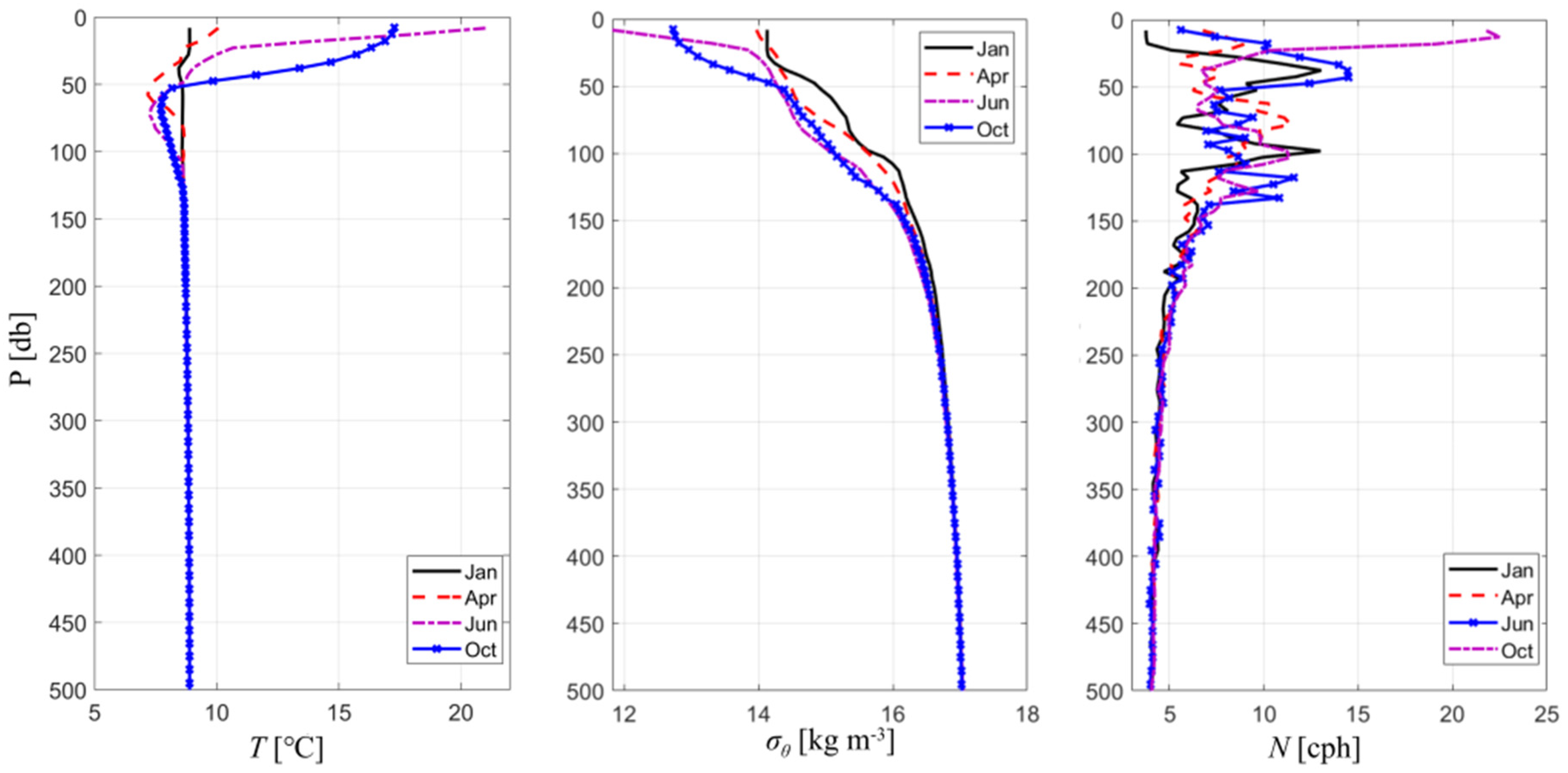
3.1. Vertical Stratification and Near-Inertial Currents
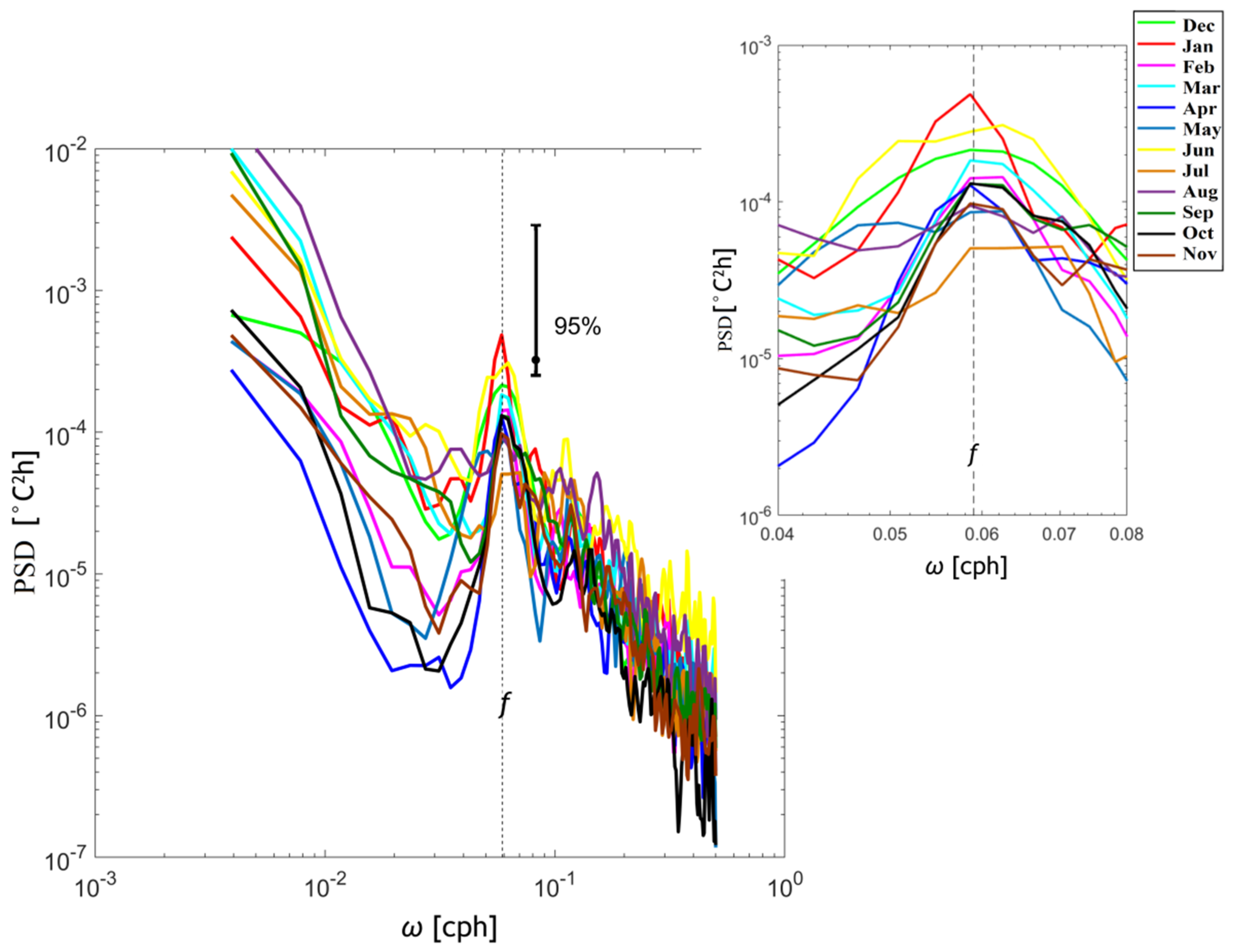
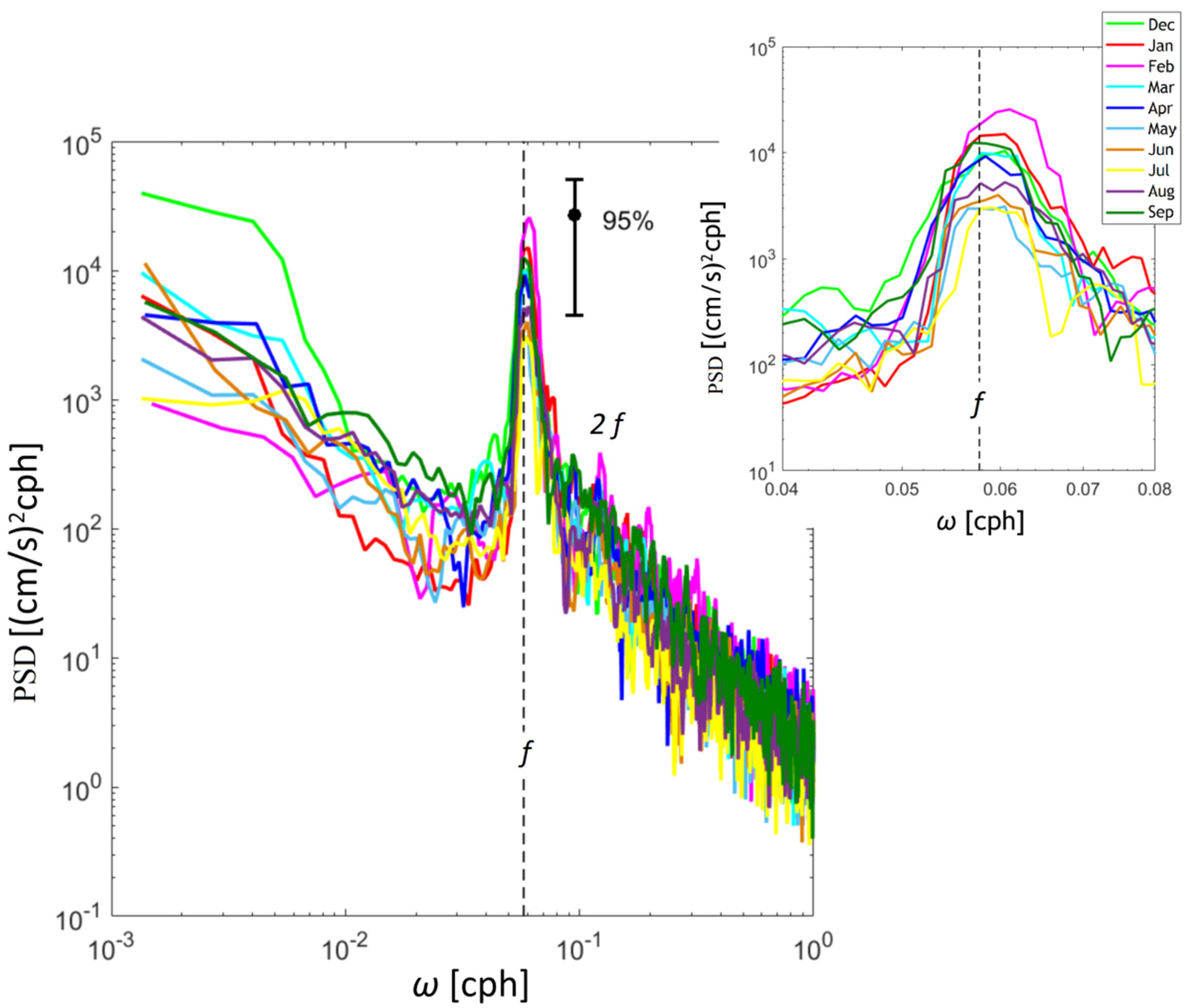
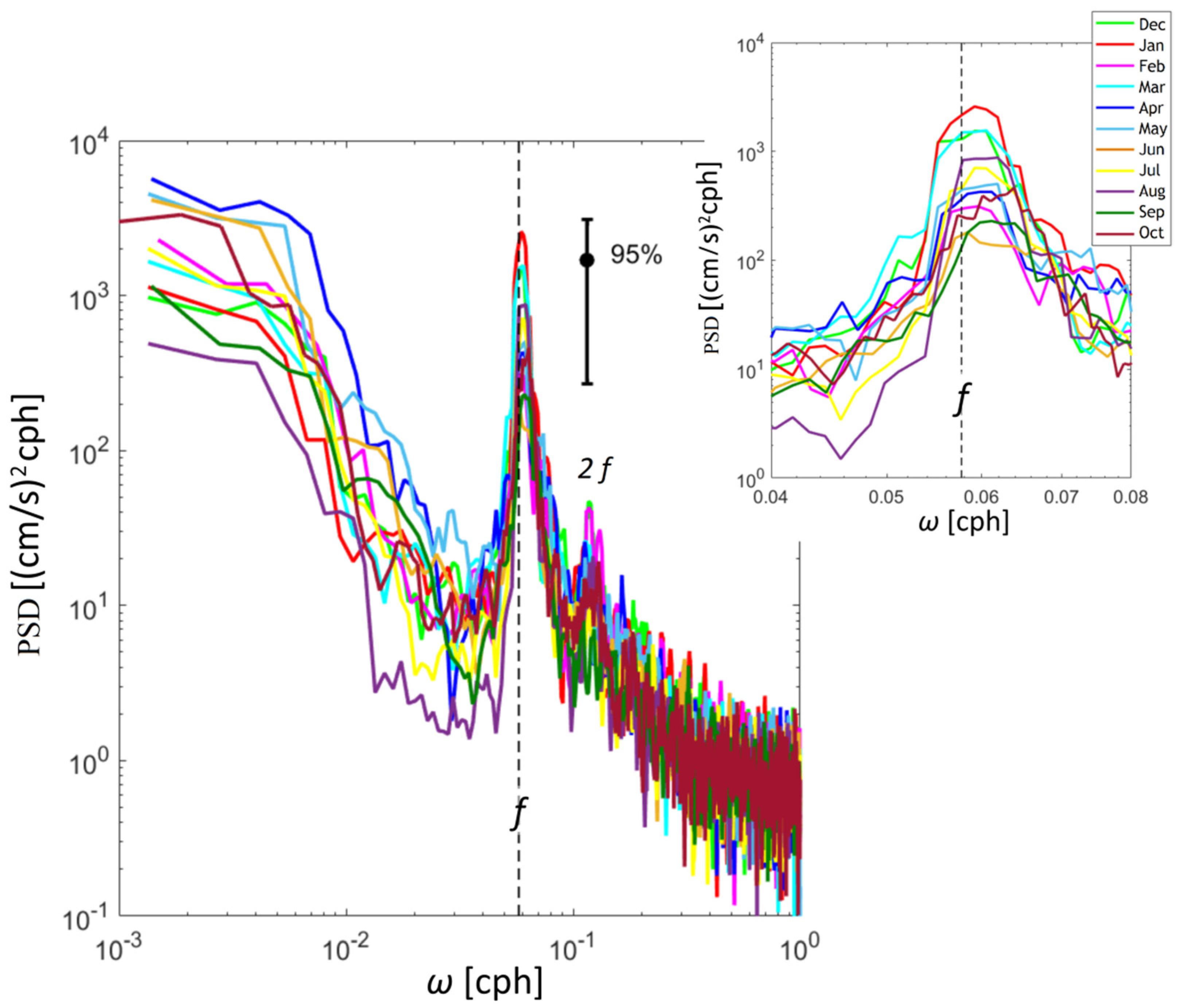
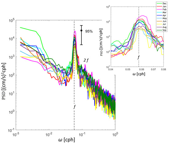
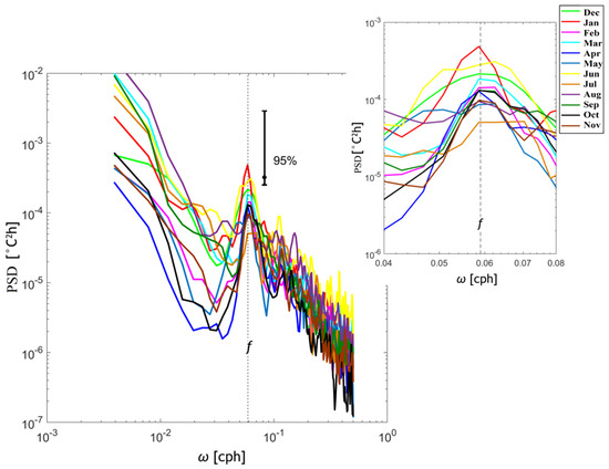
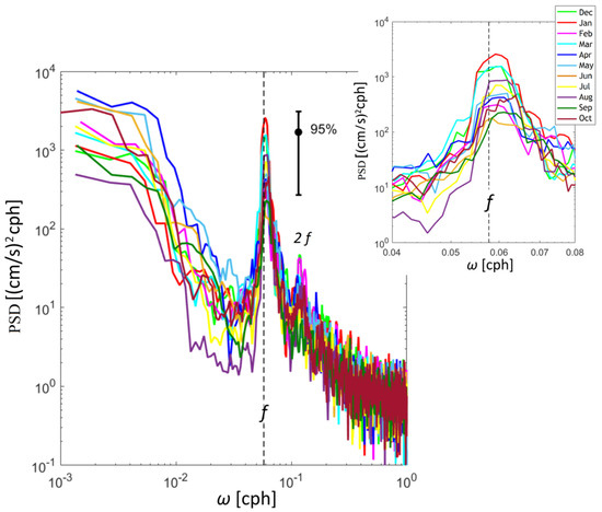
3.2. Rotary Spectra of the Currents
3.3. Seasonal Variation of Near-Inertial Waves
3.3.1. Winter Season
3.3.2. Spring–Summer Period
3.3.3. Autumn Season
3.4. The Seasonal Variability of the Blue-Shift in the Near-Inertial Frequency
4. Discussion
5. Conclusions
Author Contributions
Funding
Institutional Review Board Statement
Informed Consent Statement
Data Availability Statement
Conflicts of Interest
Appendix A


Appendix B
Near-Inertial Fluctuations of the Deep Sea Temperature in the Northeastern Part of the Black Sea Basin


References
- Alford, M.H.; Mackinnon, J.A.; Simmons, H.L.; Nash, J.D. Near-Inertial Internal Gravity Waves in the Ocean. Ann. Rev. Mar. Sci. 2016, 8, 95–123. [Google Scholar] [CrossRef] [PubMed]
- MacKinnon, J.A.; Zhao, Z.; Whalen, C.B.; Waterhouse, A.F.; Trossman, D.S.; Sun, O.M.; St Laurent, L.C.; Simmons, H.L.; Polzin, K.; Pinkel, R.; et al. Climate process team on internal wave-driven ocean mixing. Bull. Am. Meteorol. Soc. 2017, 98, 2429–2454. [Google Scholar] [CrossRef]
- Watanabe, M.; Hibiya, T. Global estimates of the wind-induced energy flux to inertial motions in the surface mixed layer. Geophys. Res. Lett. 2002, 29, 2–5. [Google Scholar] [CrossRef]
- D’Asaro, E. The Energy Flux from the Wind to Near-Inertial Motions in the Surface Mixed Layer. J. Phys. Oceanogr. 1985, 15, 1043–1059. [Google Scholar] [CrossRef]
- Skyllingstad, E.D.; Smyth, W.D.; Crawford, G.B. Resonant Wind-Driven Mixing in the Ocean Boundary Layer. J. Phys. Oceanogr. 2000, 30, 1866–1890. [Google Scholar] [CrossRef]
- Reznik, G.M. Wave boundary layers in rotating stratified fluid and near-inertial oscillations. Ocean Dyn. 2018, 68, 987–1000. [Google Scholar] [CrossRef]
- Alford, M.H.; Whitmont, M. Seasonal and spatial variability of near-inertial kinetic energy from historical moored velocity records. J. Phys. Oceanogr. 2007, 37, 2022–2037. [Google Scholar] [CrossRef]
- Klyuvitkin, A.; Ostrovskii, A.; Lisitzin, A.; Konovalov, S. The Energy Spectrum of the Current Velocity in the Deep Part of the Black Sea. Dokl. Earth Sci. 2019, 488, 1222–1226. [Google Scholar] [CrossRef]
- Lozovatsky, I.D.; Dillon, T.M.; Erofeev, A.Y.; Nabatov, V.N. Variations of thermohaline structure and turbulent mixing on the Black Sea shelf at the beginning of autumn cooling. J. Mar. Syst. 1999, 21, 255–282. [Google Scholar] [CrossRef]
- Lozovatsky, I.D.; Fernando, H.J.S. Mixing on a shallow shelf of the Black Sea. J. Phys. Oceanogr. 2002, 32, 945–956. [Google Scholar] [CrossRef]
- Medvedev, I.P. Tides in the Black Sea: Observations and numerical modelling. Pure Appl. Geophys. 2018, 175, 1951–1969. [Google Scholar] [CrossRef]
- Yampolsky, A.D. Internal waves in the Black Sea as observed at a multi-day anchor station. Proc. IOAS USSR 1960, 39, 111–126. [Google Scholar]
- Blatov, A.S.; Ivanov, V.A.; Titov, V.B. Vertical structure of mesoscale motions in the Black Sea. In Complex Hydrophysical and Hydrochemical Studies of the Black Sea; Marine Hydrophysical Institute, AN USSR: Sevastopol, Russia, 1980; pp. 14–21. [Google Scholar]
- Blatov, A.S.; Bulgakov, N.P.; Ivanov, V.A.; Kosarev, A.N.; Tujilkin, V.S. Variability of Hydrophysical Fields in the Black Sea; Hydrometeoizdat: Leningrad, Russia, 1984. [Google Scholar]
- Khimchenko, E.E.; Serebryany, A.N. Internal waves on the Caucasian and Crimean shelves of the Black Sea (according to summer-autumn observations 2011–2016). J. Oceanol. Res. 2018, 46, 69–87. [Google Scholar] [CrossRef]
- Morozov, A.N.; Mankovskaya, E.V.; Fedorov, S. Inertial Oscillations in the Northern Part of the Black Sea Based on the Field Observations. Fundam. I Prikl. Gidrofiz. 2021, 14, 43–53. [Google Scholar] [CrossRef]
- Serebryany, A.N.; Khymchenko, E.E. Observations of Internal Waves at Caucasian and Crimean Shelves of the Black Sea in Summer 2013. Sovrem. Probl. Distantsionnogo Zondirovaniya Zemli Iz Kosm. 2014, 11, 88–104. [Google Scholar]
- Stanev, E.V. On the mechanisms of the Black Sea circulation. Earth Sci. Rev. 1990, 28, 285–319. [Google Scholar] [CrossRef]
- Oguz, T.; Malanotte-Rizzoli, P.; Aubrey, D. Wind and thermohaline circulation of the Black Sea driven by yearly mean climatological forcing. J. Geophys. Res. Ocean. 1995, 100, 6845–6863. [Google Scholar] [CrossRef]
- Staneva, J.V.; Stanev, E.V. Cold Intermediate Water Formation in the Black Sea. Analysis on Numerical Model Simulations. In Sensitivity to Change: Black Sea, Baltic Sea and North Sea; Özsoy, E., Mikaelyan, A., Eds.; NATO ASI Series; Kluwer Academic Publishers: Dordrecht, The Netherlands, 1997; pp. 375–393. [Google Scholar]
- Korotaev, G.; Oguz, T.; Nikiforov, A.; Koblinsky, C. Seasonal, interannual, and mesoscale variability of the Black Sea upper layer circulation derived from altimeter data. J. Geophys. Res. Ocean. 2003, 108, 3122. [Google Scholar] [CrossRef]
- Bondur, V.G.; Sabinin, K.D.; Grebenuk, U.V. Characteristics of Inertial Oscillations Based on the Data of Experimental Measurements of Currents on the Russian Shelf of the Black Sea. Izv. Russ. Acad. Sci. Phys. Atmos. Ocean 2017, 53, 135–142. [Google Scholar] [CrossRef]
- Serebryany, A.N.; Khimchenko, E.E. Internal Waves of Mode 2 in the Black Sea. Dokl. Earth Sci. 2019, 488, 1227–1230. [Google Scholar] [CrossRef]
- Bondur, V.G.; Sabinin, K.D.; Grebenuk, U.V. Anomalous Variability of Inertial Oscillations of Ocean Waters on the Hawaiian Shelf. Dokl. Earth Sci. 2013, 450, 100–104. [Google Scholar] [CrossRef]
- Lavrova, O.Y.; Mityagina, M.I.; Serebryany, A.N.; Sabinin, K.D.; Kalashnikova, N.A.; Krayushkin, E.V.; Khymchenko, I. Internal waves in the Black Sea: Satellite observations and in-situ measurements. Proc. SPIE-Int. Soc. Opt. Eng. 2014, 9240, 924016. [Google Scholar]
- Lavrova, O.; Mityagina, M. Satellite survey of internal waves in the Black and Caspian Seas. Remote Sens. 2017, 9, 892. [Google Scholar] [CrossRef]
- Garrett, C.; Munk, W. Space-time scales of internal waves: A progress report. J. Geophys. Res. 1975, 80, 291–297. [Google Scholar] [CrossRef]
- Konyaev, K.V.; Sabinin, K.D. Waves Inside the Ocean; Hydrometeoizdat: Leningrad, Russia, 1992. [Google Scholar]
- Garrett, C. What is the “Near-inertial” band and why is it different from the rest of the internal wave spectrum? J. Phys. Oceanogr. 2001, 31, 962–971. [Google Scholar] [CrossRef]
- Richman, J.G.; Wunsch, C.; Hogg, G. Space and time scales of mesoscale motion in the western North Atlantic. Rev. Geophys. 1977, 15, 385–420. [Google Scholar] [CrossRef]
- Novotryasov, V.V. On the blue shift of the inertial oscillation frequency in the ocean. Oceanology 1998, 38, 59–62. [Google Scholar]
- Le Boyer, A.; Alford, M.H.; Pinkel, R.; Hennon, T.D.; Yang, Y.J.; Ko, D.; Nash, J. Frequency shift of near-inertial waves in the South China sea. J. Phys. Oceanogr. 2020, 50, 1121–1135. [Google Scholar] [CrossRef]
- Ivanov, V.A.; Belokopytov, V.N. Oceanography of the Black Sea; Marine Hydrophysical Institute, NAS of Ukraine: Sevastopol, Ukraine, 2011. [Google Scholar]
- Piotukh, V.B.; Zatsepin, A.G.; Kazmin, A.S.; Yakubenko, V.G. Impact of the Winter Cooling on the Variability of the Thermohaline Characteristics of the Active Layer in the Black Sea. Oceanology 2011, 51, 221–230. [Google Scholar] [CrossRef]
- Gonella, J. A rotary-component method for analysing meteorological and oceanographic vector time series. Deep. Res. Oceaogr. Abstr. 1972, 19, 833–846. [Google Scholar] [CrossRef]
- Mooers, C.N.K. A technique for the cross spectrum analysis of pairs of complex-valued time series, with emphasis on properties of polarized components and rotational invariants. Deep. Res. Oceanogr. Abstr. 1973, 20, 1129–1141. [Google Scholar] [CrossRef]
- Rabinovich, A.B.; Thomson, R.E. Evidence of diurnal shelf waves in satellite-tracked drifter trajectories off the Kuril Islands. J. Phys. Oceanogr. 2001, 31, 2650–2668. [Google Scholar] [CrossRef]
- Mihaly, S.F.; Thomson, R.E.; Rabinovich, A.B. Evidence for nonlinear interaction between internal waves of inertial and semidiurnal frequency. Geophys. Res. Lett. 1998, 25, 1205–1208. [Google Scholar] [CrossRef]
- Lilly, J.M. jLab: A data Analysis Package for Matlab; Version 1.7.1. 2021. Available online: https://www.jmlilly.net/software (accessed on 11 February 2022).
- Argo. Argo Float Data and Metadata from Global Data Assembly Centre (Argo GDAC). SEANOE. 2000. Available online: http://www.coriolis.eu.org/Observing-the-Ocean/ARGO (accessed on 11 February 2022).
- Korotaev, G.; Oguz, T.; Riser, S. Intermediate and deep currents of the Black Sea obtained from autonomous profiling floats. Deep. Res. Part II Top. Stud. Oceanogr. 2006, 53, 1901–1910. [Google Scholar] [CrossRef]
- Stanev, E.V.; He, Y.; Staneva, J.; Yakushev, E. Mixing in the black sea detected from the temporal and spatial variability of oxygen and sulfide–Argo float observations and numerical modelling. Biogeosciences 2014, 11, 5707–5732. [Google Scholar] [CrossRef]
- Stanev, E.V.; He, Y.; Grayek, S.; Boetius, A. Oxygen dynamics in the Black Sea as seen by Argo profiling floats. Geophys. Res. Lett. 2013, 40, 3085–3090. [Google Scholar] [CrossRef]
- Stanev, E.V.; Peneva, E.; Chtirkova, B. Climate Change and Regional Ocean Water Mass Disappearance: Case of the Black Sea. J. Geophys. Res. Ocean. 2019, 124, 4803–4819. [Google Scholar] [CrossRef]
- Stanev, E.V.; Chtirkova, B.; Peneva, E. Geothermal Convection and Double Diffusion Based on Profiling Floats in the Black Sea. Geophys. Res. Lett. 2021, 48, e2020GL091788. [Google Scholar] [CrossRef]
- Palazov, A.; Ciliberti, S.; Peneva, E.; Gregoire, M.; Staneva, J.; Lemieux-Dudon, B.; Masina, S.; Pinardi, N.; Vandenbulcke, L.; Behrens, A.; et al. Black sea observing system. Front. Mar. Sci. 2019, 6, 315. [Google Scholar] [CrossRef]
- Kundu, P.K. Ekman veering observed near the Ocean Bottom. J. Phys. Oceanogr. 1976, 6, 238–242. [Google Scholar] [CrossRef]
- Zhurbas, V.M.; Zatsepin, A.G.; Grigor’eva, Y.V.; Eremeev, V.N.; Kremenetskii, V.V.; Motuzhev, S.V.; Poyarkov, S.G.; Pulein, P.-M.; Stanichny, S.V.; Soloviev, D.M. Water circulation and characteristics of different scale currents in the Black Sea upper layer based on drifter data. Oceanology 2004, 44, 34–48. [Google Scholar]
- Yang, B.; Hu, P.; Hou, Y. Variation and Episodes of Near-Inertial Internal Waves on the Continental Slope of the Southeastern East China Sea. J. Mar. Sci. Eng. 2021, 9, 916. [Google Scholar] [CrossRef]
- Yang, B.; Hou, Y.; Hu, P.; Liu, Z.; Liu, Y. Shallow ocean response to tropical cyclones observed on the continental shelf of the northwestern South China Sea. J. Geophys. Res. Ocean. 2015, 120, 3817–3836. [Google Scholar] [CrossRef]
- Shokurov, M.V.; Shokurova, I.G. Wind stress curl over the Black Sea under different wind regimes. Phys. Oceanogr. 2017, 6, 12–23. [Google Scholar] [CrossRef][Green Version]
- Morozov, E.G. Horizontal variability of inertial oscillations in the eastern part of the Pacific Ocean. Okeanol. Issled. 1990, 43, 83–84. [Google Scholar]
- Kunze, E. Near-inertial wave propagation in geostrophic shear. J. Phys. Oceanogr. 1985, 15, 544–565. [Google Scholar] [CrossRef]
- Jaimes, B.; Shay, L. Near-Inertial Wave Wake of Hurricanes Katrina and Rita over Mesoscale Oceanic Eddies. J. Phys. Oceanogr. 2010, 40, 1320–1337. [Google Scholar] [CrossRef]
- Kubryakov, A.A.; Stanichny, S.V. Seasonal and interannual variability of the Black Sea eddies and its dependence on characteristics of the large-scale circulation. Deep. Res. Part I Oceanogr. Res. Pap. 2015, 97, 80–91. [Google Scholar] [CrossRef]
- Zatsepin, A.G.; Kremenetskii, V.V.; Stanichnyi, S.V.; Burdyugov, V.M. Basin circulation and mesoscale dynamics of the Black Sea affected by wind. In Current State of ocean And Atmosphere Dynamics; Frolov, A.V., Resnyansky, Y.D., Eds.; Triada: Moscow, Russia, 2010; pp. 347–368. [Google Scholar]
- Ciliberti, S.A.; Jansen, E.; Coppini, G.; Peneva, E.; Azevedo, D.; Causio, S.; Stefanizzi, L.; Creti’, S.; Lecci, R.; Lima, L.; et al. The Black Sea Physics Analysis and Forecasting System within the Framework of the Copernicus Marine Service. J. Mar. Sci. Eng. 2022, 10, 48. [Google Scholar] [CrossRef]
- Kubryakov, A.A.; Stanichny, S.V.; Zatsepin, A.G.; Kremenetskiy, V.V. Long-term variations of the Black Sea dynamics and their impact on the marine ecosystem. J. Mar. Syst. 2016, 163, 80–94. [Google Scholar] [CrossRef]
- Shrira, V.; Forget, P. On the Nature of Near-Inertial Oscillations in the Uppermost Part of the Ocean and a Possible Route toward HF Radar Probing of Stratification. J. Phys. Oceanogr. 2015, 45, 2660–2678. [Google Scholar] [CrossRef]
- Gill, A.E. Atmosphere-Ocean Dynamics; Academic Press: Orlando, FL, USA, 1982; p. 662. [Google Scholar]
- Diansky, N.A.; Fomin, V.V.; Grigoriev, A.V.; Chaplygin, A.V.; Zatsepin, A.G. Spatial-Temporal Variability of Inertial Currents in the Eastern Part of the Black Sea in a Storm Period. Phys. Oceanography. 2019, 35, 147–159. [Google Scholar] [CrossRef]
- Pollard, R.T. On the Generation by Winds of Inertial Waves in the Ocean. Deep. Sea Res. 1970, 17, 795–812. [Google Scholar] [CrossRef]
- Mihanović, H.; Pattiaratchi, C.; Verspecht, F. Diurnal sea breezes force near-inertial waves along rottnest continental shelf, Southwestern Australia. J. Phys. Oceanogr. 2016, 46, 3487–3508. [Google Scholar] [CrossRef]
- Phillips, O.M. The Dynamics of the Upper Ocean; Cambridge University Press: New York, NY, USA, 1977. [Google Scholar]
- Maksimova, E.V. A conceptual view on inertial internal waves in relation to the subinertial flow on the central west Florida shelf. Sci. Rep. 2018, 8, 1–8. [Google Scholar] [CrossRef]
- Pollard, R.T.; Millard, R.C. Comparison between observed and simulated wind-generated inertial oscillations. Deep. Res. 1970, 17, 813–821. [Google Scholar] [CrossRef]












| Month | Total Number of Waves and Wave Packets | Modulation Time Scale of the NIW Packet, Days | Period of Waves, h | Average Near-Inertial Frequency Relative to Local Inertial Frequency f, cph | Intermittency, % | ||||
|---|---|---|---|---|---|---|---|---|---|
| Waves | Packets | min | max | Average | From NIW Period | From Rotary Spectra | |||
| Dec. | 39 | 5 | 2.2–11.3 | 15.0 | 19.3 | 16.6 | 1.038f | 1.043f | 87 |
| Jan. | 30 | 4 | 3.5–9.0 | 14.8 | 19.5 | 16.9 | 1.017f | 1.043f | 68 |
| Feb. | 27 | 2 | 8.2, 10.5 | 15.0 | 19.5 | 16.7 | 1.032f | 1.044f | 67 |
| Mar. | 32 | 5 | 2.1–6.3 | 15.0 | 20.2 | 17.0 | 1.014f | 1.020f | 73 |
| Apr. | 28 | 4 | 2.8–8.3 | 15.2 | 20.8 | 17.2 | 1.002f | 1.006f | 66 |
| May | 26 | 6 | 1.4–4.9 | 15.0 | 20.0 | 16.5 | 1.032f | 1.043f | 56 |
| June | 21 | 4 | 2.0–4.8 | 15.0 | 19.8 | 16.6 | 1.038f | 1.031f | 48 |
| July | 25 | 4 | 2.0–9.1 | 15.0 | 19.7 | 16.8 | 1.026f | 1.032f | 58 |
| Aug. | 27 | 4 | 1.3–9.0 | 15.3 | 19.0 | 16.6 | 1.038f | 1.043f | 61 |
| Sep. | 34 | 5 | 2.1–9.3 | 15.2 | 19.3 | 16.8 | 1.026f | 1.006f | 79 |
Publisher’s Note: MDPI stays neutral with regard to jurisdictional claims in published maps and institutional affiliations. |
© 2022 by the authors. Licensee MDPI, Basel, Switzerland. This article is an open access article distributed under the terms and conditions of the Creative Commons Attribution (CC BY) license (https://creativecommons.org/licenses/by/4.0/).
Share and Cite
Khimchenko, E.; Ostrovskii, A.; Klyuvitkin, A.; Piterbarg, L. Seasonal Variability of Near-Inertial Internal Waves in the Deep Central Part of the Black Sea. J. Mar. Sci. Eng. 2022, 10, 557. https://doi.org/10.3390/jmse10050557
Khimchenko E, Ostrovskii A, Klyuvitkin A, Piterbarg L. Seasonal Variability of Near-Inertial Internal Waves in the Deep Central Part of the Black Sea. Journal of Marine Science and Engineering. 2022; 10(5):557. https://doi.org/10.3390/jmse10050557
Chicago/Turabian StyleKhimchenko, Elizaveta, Alexander Ostrovskii, Alexey Klyuvitkin, and Leonid Piterbarg. 2022. "Seasonal Variability of Near-Inertial Internal Waves in the Deep Central Part of the Black Sea" Journal of Marine Science and Engineering 10, no. 5: 557. https://doi.org/10.3390/jmse10050557
APA StyleKhimchenko, E., Ostrovskii, A., Klyuvitkin, A., & Piterbarg, L. (2022). Seasonal Variability of Near-Inertial Internal Waves in the Deep Central Part of the Black Sea. Journal of Marine Science and Engineering, 10(5), 557. https://doi.org/10.3390/jmse10050557

