Flow Characteristics of Oblique Submerged Impinging Jet at Various Impinging Heights
Abstract
:1. Introduction
2. Calculation Model and Numerical Method
2.1. Geometric Model and Boundary Conditions
2.2. Turbulence Model Selection
3. Results and Discussion
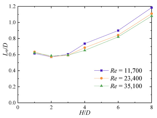
3.1. Analysis of Submerged Jet Flow Field under Various Impinging Heights
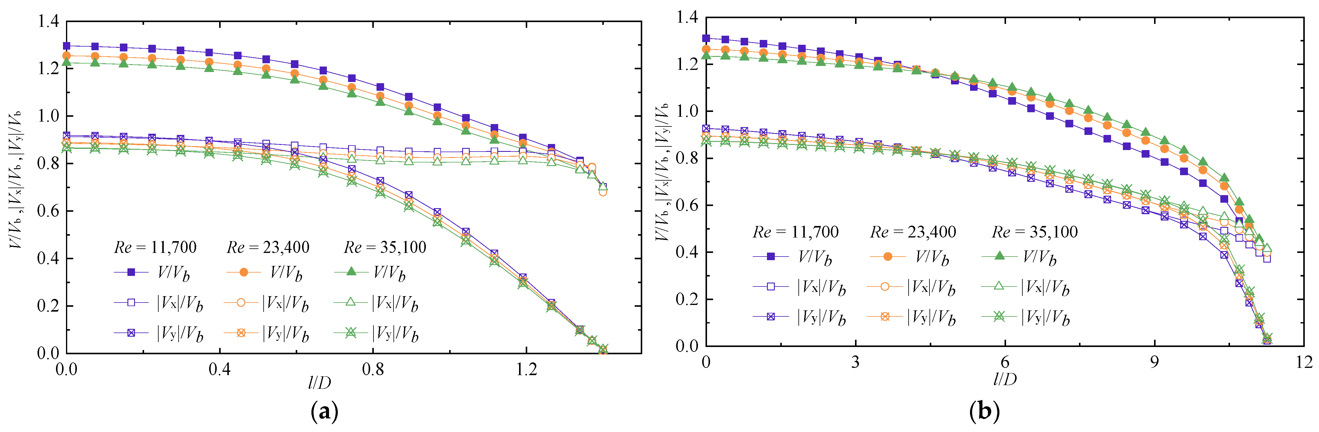
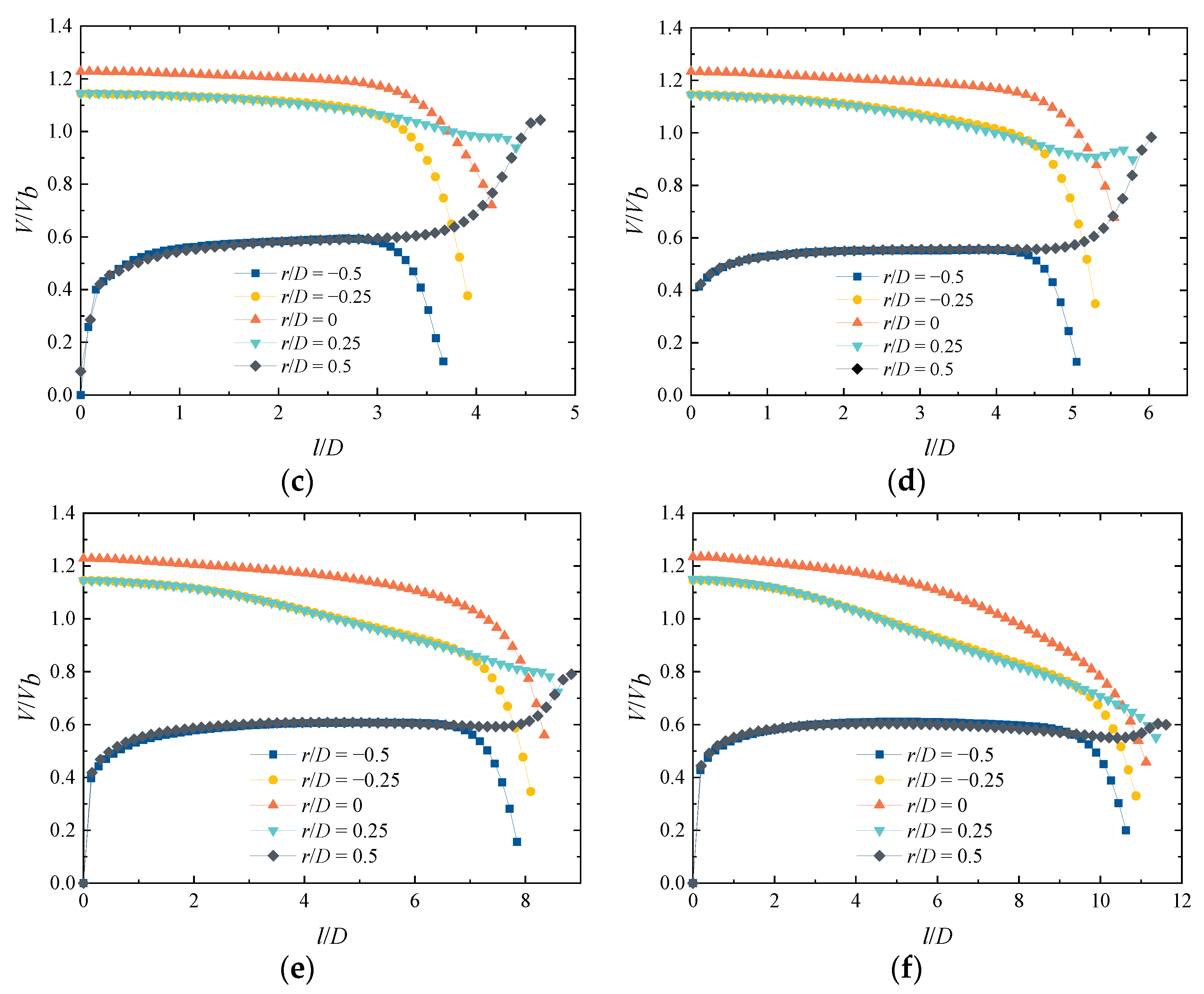
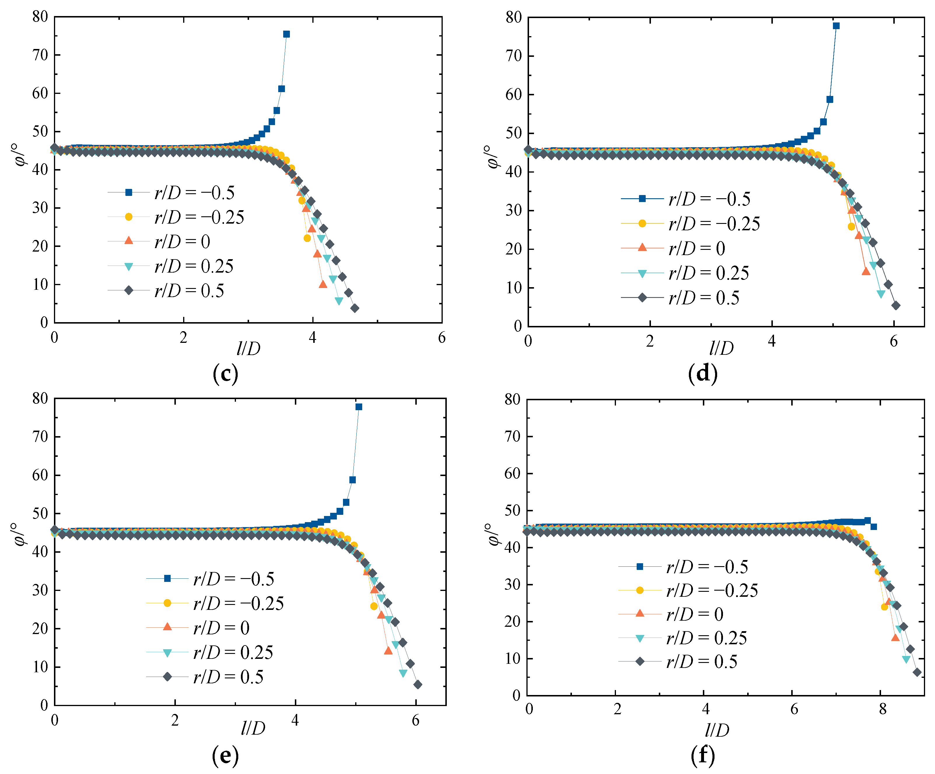
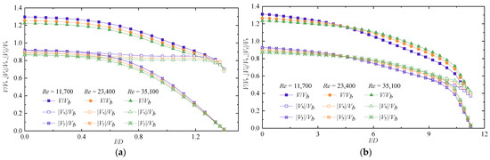
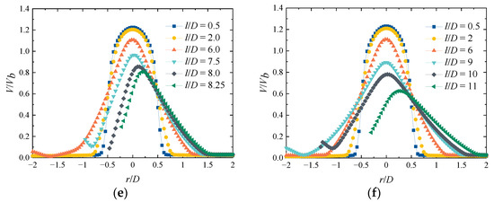
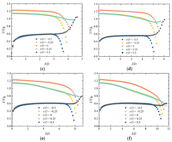
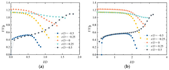
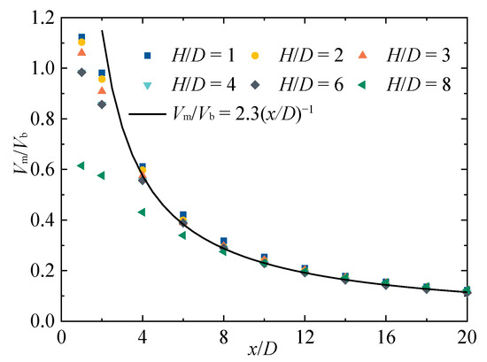
3.2. Mean Velocity Profile in the Near-Wall Region
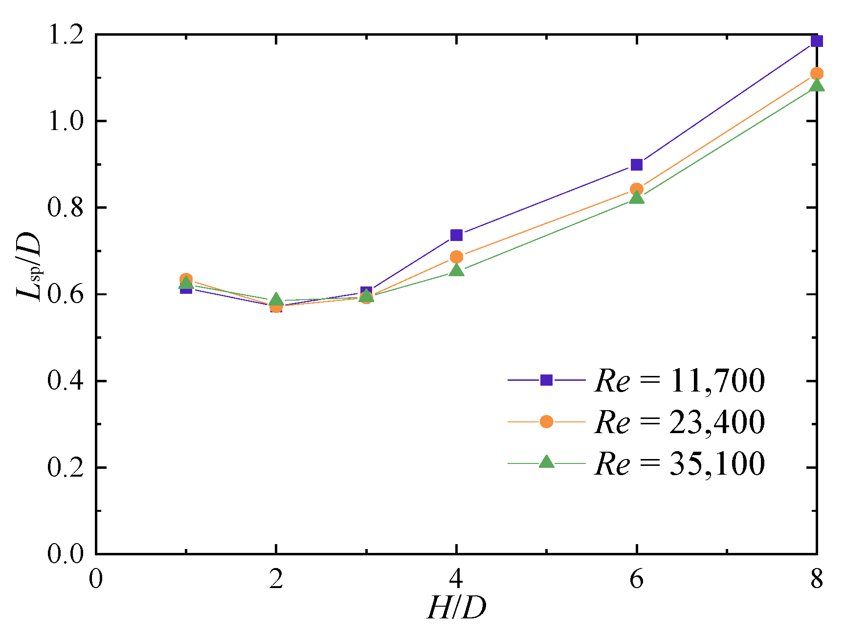
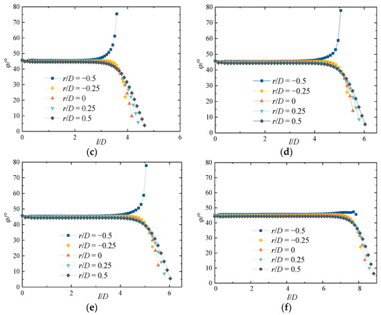
3.3. Time-Averaged Impinging Pressure Distribution
4. Conclusions
Author Contributions
Funding
Institutional Review Board Statement
Informed Consent Statement
Data Availability Statement
Conflicts of Interest
References
- Cooper, D.; Jackson, D.C.; Launder, B.E.; Liao, G.X. Impinging jet studies for turbulence model assessment—I. Flow-field experiments. Int. J. Heat Mass Transf. 1993, 36, 2675–2684. [Google Scholar] [CrossRef]
- Ashforthfrost, S.; Jambunathan, K. Effect of nozzle geometry and semi-confinement on the potential core of a turbulent axisymmetric free jet. Int. Commun. Heat Mass Transf. 1996, 23, 155–162. [Google Scholar] [CrossRef]
- Alekseenko, S.V.; Bilsky, A.V.; Dulin, V.M.; Markovich, D.M. Experimental study of an impinging jet with different swirl rates. Int. J. Heat Fluid Flow 2007, 28, 1340–1359. [Google Scholar] [CrossRef]
- Hammad, K.J.; Milanovic, I. Flow structure in the near-wall region of a submerged impinging jet. J. Fluids Eng. 2011, 133, 091205. [Google Scholar] [CrossRef]
- Xu, Z.; Hangan, H. Scale, boundary and inlet condition effects on impinging jets. J. Wind Eng. Ind. Aerodyn. 2008, 96, 2383–2402. [Google Scholar] [CrossRef]
- Fitzgerald, J.A.; Garimella, S.V. A study of the flow field of a confined and submerged impinging jet. Int. J. Heat Mass Transf. 1998, 41, 1025–1034. [Google Scholar] [CrossRef]
- Lai, H.; Naughton, J.W.; Lindberg, W.R. An experimental investigation of starting impinging jets. J. Fluids Eng. 2003, 125, 275–282. [Google Scholar] [CrossRef]
- Pieris, S.; Zhang, X.; Yarusevych, S.; Peterson, S.D. Vortex dynamics in a normally impinging planar jet. Exp. Fluids 2019, 60, 84. [Google Scholar] [CrossRef]
- Hanson, G.J.; Robinson, K.M.; Temple, D.M. Pressure and stress distributions due to a submerged impinging jet. In Hydraulic Engineering—Proceedings of the 1990 National Conference, San Diego, CA, USA, 30 July–3 August 1990; Reston, V., Ed.; American Society of Civil Engineers: Reston, VA, USA, 1990; pp. 525–530. [Google Scholar]
- Yang, Y.; Zhou, L.; Bai, L.; Xu, H.; Lv, W.; Shi, W.; Wang, H. Numerical investigation of tip clearance effects on the performance and flow pattern within a sewage pump. J. Fluids Eng. 2022, 144, 081202. [Google Scholar] [CrossRef]
- Tang, S.; Zhu, Y.; Yuan, S. Intelligent fault diagnosis of hydraulic piston pump based on deep learning and Bayesian optimization. ISA Trans. 2022; in press. [Google Scholar] [CrossRef] [PubMed]
- Zhu, Y.; Li, G.; Wang, R.; Tang, S.; Su, H.; Cao, K. Intelligent fault diagnosis of hydraulic piston pump combining improved LeNet-5 and PSO hyperparameter optimization. Appl. Acoust. 2021, 183, 108336. [Google Scholar] [CrossRef]
- Wang, C.; Shi, W.; Wang, X.; Jiang, X.; Yang, Y.; Li, W.; Zhou, L. Optimal design of multistage centrifugal pump based on the combined energy loss model and computational fluid dynamics. Appl. Energy 2017, 187, 10–26. [Google Scholar] [CrossRef]
- Wang, C.; Chen, X.; Qiu, N.; Zhu, Y.; Shi, W. Numerical and experimental study on the pressure fluctuation, vibration, and noise of multistage pump with radial diffuser. J. Braz. Soc. Mech. Sci. Eng. 2018, 40, 481. [Google Scholar] [CrossRef]
- Zhang, D.; Jiao, W.; Cheng, L.; Xia, C.; Zhang, B.; Luo, C.; Wang, C. Experimental study on the evolution process of the roof-attached vortex of the closed sump. Renew. Energy 2021, 164, 1029–1038. [Google Scholar] [CrossRef]
- Wang, Q.; Huang, Q.; Sun, X.; Zhang, J.; Karimi, S.; Shirazi, S.A. Transient Large Eddy Simulation of Slurry Erosion in Submerged Impinging Jets. J. Energy Resour. Technol. 2021, 143, 062107. [Google Scholar] [CrossRef]
- Sabato, M.; Fregni, A.; Stalio, E.; Brusiani, F.; Tranchero, M.; Baritaud, T. Numerical study of submerged impinging jets for power electronics cooling. Int. J. Heat Mass Transf. 2019, 141, 707–718. [Google Scholar] [CrossRef]
- Zerrout, A.; Khelil, A.; Loukarfi, L. Experimental and numerical investigation of impinging multi-jet system. Mechanika 2017, 23, 228–235. [Google Scholar]
- Abdel-Fattah, A. Numerical simulation of turbulent impinging jet on a rotating disk. Int. J. Numer. Methods Fluids 2007, 53, 1673–1688. [Google Scholar] [CrossRef]
- So, H.; Yoon, H.G.; Chung, M.K. Large eddy simulation of flow characteristics in an unconfined slot impinging jet with various nozzle-to-plate distances. J. Mech. Sci. Technol. 2011, 25, 721–729. [Google Scholar] [CrossRef]
- Wang, C.; Wang, X.; Shi, W.; Lu, W.; Tan, S.K.; Zhou, L. Experimental investigation on impingement of a submerged circular water jet at varying impinging angles and Reynolds numbers. Exp. Therm. Fluid Sci. 2017, 89, 189–198. [Google Scholar] [CrossRef]
- Mishra, A.; Yadav, H.; Djenidi, L.; Agrawal, A. Experimental study of flow characteristics of an oblique impinging jet. Exp. Fluids 2020, 61, 90. [Google Scholar] [CrossRef]
- Jalil, A.; Rajaratnam, N. Oblique impingement of circular water jets on a plane boundary. J. Hydraul. Res. 2006, 44, 807–814. [Google Scholar] [CrossRef]
- Jiao, W.; Zhang, D.; Wang, C.; Cheng, L.; Wang, T. Unsteady numerical calculation of oblique submerged jet. Energies 2020, 13, 4728. [Google Scholar] [CrossRef]
- Wray, T.J.; Agarwal, R.K. Low-Reynolds-number one-equation turbulence model based on k-ω closure. AIAA J. 2015, 53, 2216–2227. [Google Scholar] [CrossRef]
- Han, X.; Wray, T.J.; Fiola, C.; Agarwal, R.K. Computation of flow in S ducts with Wray–Agarwal one-equation turbulence model. J. Propuls. Power 2015, 31, 1338–1349. [Google Scholar] [CrossRef]
- Han, X.; Wray, T.; Agarwal, R.K. Application of a new DES model based on wray-agarwal turbulence model for simulation of wall-bounded flows with separation. In Proceedings of the 47th AIAA Fluid Dynamics Conference, Denver, CO, USA, 2 June 2017; p. 3966. [Google Scholar]
- Wang, H.; Qian, Z.; Zhang, D.; Wang, T.; Wang, C. Numerical study of the normal impinging water jet at different impinging height, based on Wray–Agarwal turbulence model. Energies 2020, 13, 1744. [Google Scholar] [CrossRef] [Green Version]
























Publisher’s Note: MDPI stays neutral with regard to jurisdictional claims in published maps and institutional affiliations. |
© 2022 by the authors. Licensee MDPI, Basel, Switzerland. This article is an open access article distributed under the terms and conditions of the Creative Commons Attribution (CC BY) license (https://creativecommons.org/licenses/by/4.0/).
Share and Cite
Zhang, D.; Wang, H.; Liu, J.; Wang, C.; Ge, J.; Zhu, Y.; Chen, X.; Hu, B. Flow Characteristics of Oblique Submerged Impinging Jet at Various Impinging Heights. J. Mar. Sci. Eng. 2022, 10, 399. https://doi.org/10.3390/jmse10030399
Zhang D, Wang H, Liu J, Wang C, Ge J, Zhu Y, Chen X, Hu B. Flow Characteristics of Oblique Submerged Impinging Jet at Various Impinging Heights. Journal of Marine Science and Engineering. 2022; 10(3):399. https://doi.org/10.3390/jmse10030399
Chicago/Turabian StyleZhang, Di, Hongliang Wang, Jinhua Liu, Chuan Wang, Jie Ge, Yong Zhu, Xinxin Chen, and Bo Hu. 2022. "Flow Characteristics of Oblique Submerged Impinging Jet at Various Impinging Heights" Journal of Marine Science and Engineering 10, no. 3: 399. https://doi.org/10.3390/jmse10030399
APA StyleZhang, D., Wang, H., Liu, J., Wang, C., Ge, J., Zhu, Y., Chen, X., & Hu, B. (2022). Flow Characteristics of Oblique Submerged Impinging Jet at Various Impinging Heights. Journal of Marine Science and Engineering, 10(3), 399. https://doi.org/10.3390/jmse10030399

