Predicting the Instability Trajectory of an Obliquely Loaded Pipeline on a Clayey Seabed
Abstract
1. Introduction
2. Numerical Modelling
2.1. Finite Element Mesh and Boundary Conditions
2.2. Constitutive Models
2.3. Properties of the Pipe and the Clayey Soil
3. Results and Discussion
3.1. Failure Mechanism
3.2. Ultimate Bearing Capacity for Vertical and Horizontal Instability
3.3. Failure Envelopes
3.4. Trajectory of Pipe Instability: Critical Submerged Weight of the Pipe
4. Conclusions
- (1)
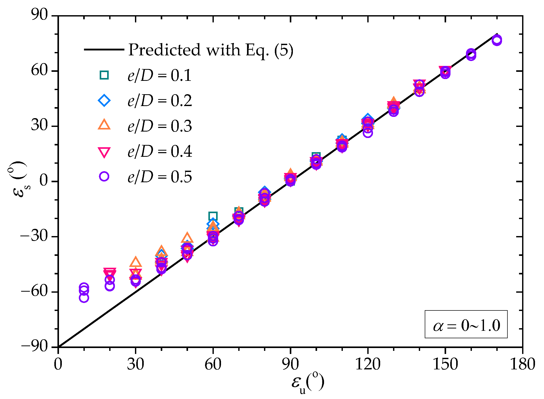
- As the pipe movement angle εu increases from 0° (vertical) to 90° (horizontal), the spatial range of the slip zone in front of the partially embedded pipe decreases gradually, and the corresponding ultimate soil resistance decreases significantly. The angle of slip zone boundary εs and the pipe movement angle εu can be linearly correlated (see Equation (5)). It was found that the direction of shear stress varies along the pipe–soil interface. The angle of the “zero” shear stress point εf generally keeps constant for εu < π/4 and increases linearly with increasing εu for εu > π/4.
- (2)
- Numerical results indicate that the shape of bearing capacity envelopes resembles an ellipse, which can be empirically described with Equation (16). A slip-line field solution of the bearing capacity for the horizontal swipe was further derived. The slip-line field solutions agree well with the present numerical results, indicating the prospect of the derived slip-line field solution for predicting the horizontal swipe failure.
- (3)
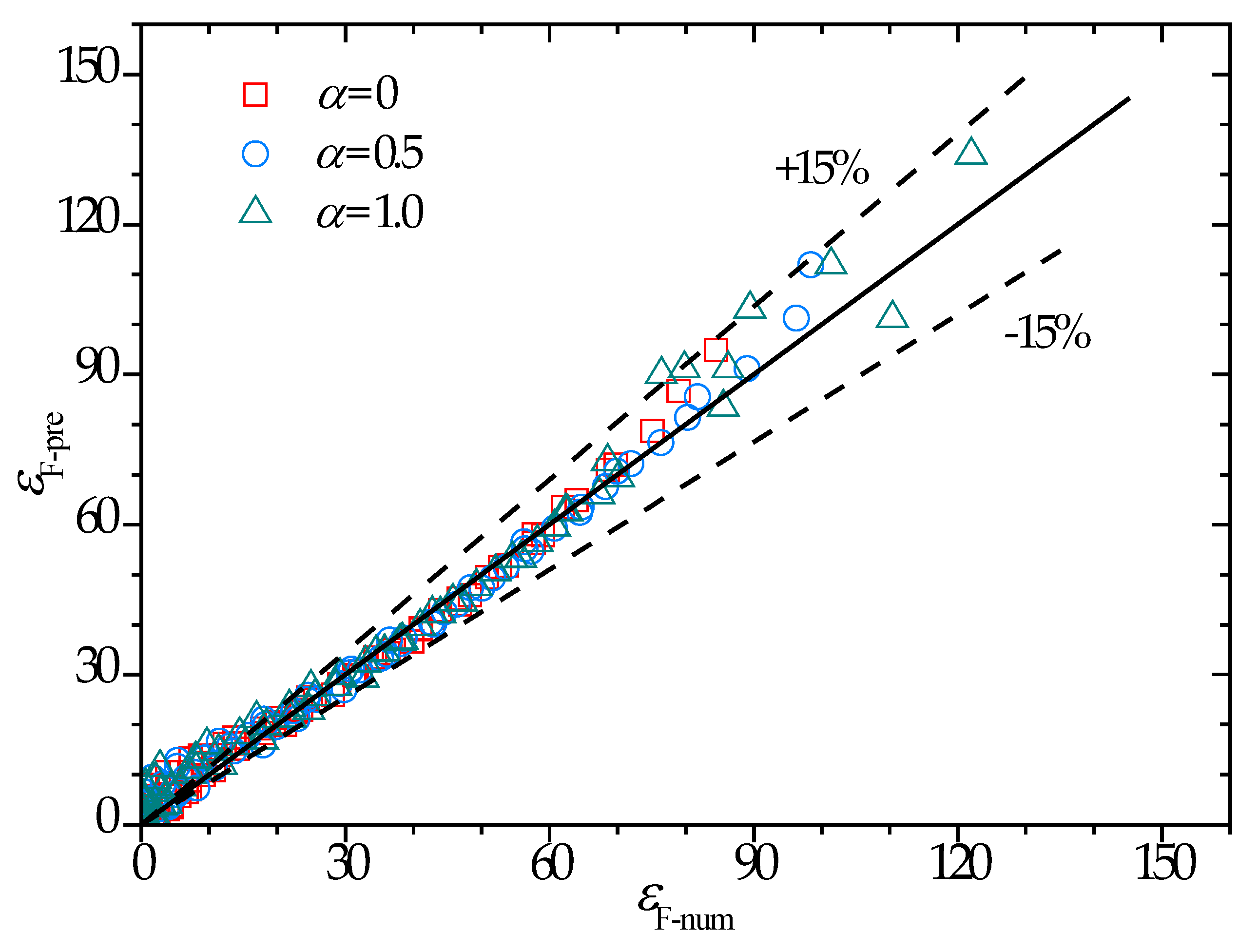
- An empirical expression of the load angle εF in correlation with εu, the embedment ratio e/D and the interface friction ratio α, was proposed to characterize the flow rule of a force-resultant plasticity model for predicting the pipe behavior. The trajectories of the pipes with different submerged weight under the horizontal loading were obtained. Based on the established bearing capacity envelope and the flow rule, an analytical solution of the critical submerged weight of the pipe was finally obtained for distinguishing the “light” and the “heavy” pipes.
Author Contributions
Funding
Institutional Review Board Statement
Informed Consent Statement
Data Availability Statement
Conflicts of Interest
Abbreviations
| Outer diameter of the pipe | |
| Pipe embedment | |
| Pipe embedment during lateral movement | |
| Young’s modulus of the pipe | |
| Young’s modulus of the soil | |
| Shearing stress at the pipe–soil interface | |
| Total load upon the pipe | |
| Horizontal load inducing pipe breakout | |
| Total ultimate load | |
| Numerical result of the ultimate load | |
| Predicted value of the ultimate load | |
| Critical dimensionless submerged pipe weight | |
| Depth of the soil model | |
| Horizontal component of the ultimate bearing capacity | |
| Maximum horizontal bearing capacity of the failure envelope | |
| Deviatoric stress | |
| Width of the soil model | |
| Overpenetration ratio | |
| Critical overpenetration ratio | |
| Undrained strength of the clayey soil | |
| Displacement of the pipe | |
| Horizontal component of the pipe displacement | |
| Vertical component of the ultimate bearing capacity | |
| Vertical component of the external ultimate load | |
| Maximum vertical component of the bearing capacity of the failure envelope | |
| Submerged pipe weight per unit length | |
| Critical submerged weight of the pipe per unit length | |
| Interface friction ratio | |
| Parameter in Equation (21) | |
| Normal and shearing stress | |
| Principal stresses of the soil | |
| The value equal to | |
| Normal and shearing strain | |
| Angle of “zero” shear stress point | |
| Angle of the load direction | |
| Angle of the slip zone boundary | |
| Movement angle | |
| Critical movement angle | |
| Poisson’s ratio of the pipe | |
| Poisson’s ratio of the soil | |
| Position angle of an arbitrary point on the pipe–soil interface | |
| Half of embedment angle |
References
- Lunne, T.; Andersen, K.H.; Low, H.E.; Randolph, M.F.; Sjursen, M. Guidelines for offshore in situ testing and interpretation in deepwater soft clays. Can. Geotech. J. 2011, 48, 543–556. [Google Scholar] [CrossRef]
- Liu, J.T.; Shi, Y.M.; Wang, J.Q.; Zhu, Y.S.; Li, C.F.; Qi, W.G.; Gao, F.P. Statistical characteristics analyses on engineering properties of surface sediments in the deep-water of northern South China Sea. Ocean Eng. 2021, 39, 90–98. [Google Scholar]
- Guo, X.-S.; Nian, T.-K.; Wang, D.; Gu, Z.-D. Evaluation of undrained shear strength of surficial marine clays using ball penetration-based CFD modelling. Acta Geotech. 2021. [Google Scholar] [CrossRef]
- Westgate, Z.; Randolph, M.; White, D.; Li, S. The influence of sea state on as-laid pipeline embedment: A case study. Appl. Ocean Res. 2010, 32, 321–331. [Google Scholar] [CrossRef]
- Bruton, D.A.S.; White, D.J.; Cheuk, C.Y.; Bolton, M.D.; Carr, M.C. Pipe/soil interaction behaviour during lateral buckling, including large amplitude cyclic displacement tests by the Safebuck JIP. In Proceedings of the Offshore Technology Conference, Houston, TX, USA, 1–4 May 2006. [Google Scholar]
- Leckie, S.H.; Draper, S.; White, D.J.; Cheng, L.; Fogliani, A. Lifelong embedment and spanning of a pipeline on a mobile seabed. Coast. Eng. 2015, 95, 130–146. [Google Scholar] [CrossRef]
- Qi, W.-G.; Gao, F.-P. Wave induced instantaneously-liquefied soil depth in a non-cohesive seabed. Ocean Eng. 2018, 153, 412–423. [Google Scholar] [CrossRef]
- Zhou, M.; Liu, H.; Jeng, D.-S.; Qi, W.; Fang, Q. Modelling the wave-induced instantaneous liquefaction in a non-cohesive seabed as a nonlinear complementarity problem. Comput. Geotech. 2021, 137, 104275. [Google Scholar] [CrossRef]
- Zhou, M.-Z.; Qi, W.-G.; Jeng, D.-S.; Gao, F.-P. A non-Darcy flow model for a non-cohesive seabed involving wave-induced instantaneous liquefaction. Ocean Eng. 2021, 239, 109807. [Google Scholar] [CrossRef]
- Gao, F.; Li, J.; Qi, W.; Hu, C. On the instability of offshore foundations: Theory and mechanism. Sci. China Ser. G Phys. Mech. Astron. 2015, 58, 124701. [Google Scholar] [CrossRef]
- Chen, W.F. Limit Analysis and Soil Plasticity; Elsevier Scientific Publishing Co.: New York, NY, USA, 1975. [Google Scholar]
- Karal, K. Lateral stability of submarine pipelines. In Proceedings of the Annual Offshore Technology Conference, Houston, TX, USA, 2–5 May 1977; pp. 71–78. [Google Scholar]
- Martin, C.; White, D. Limit analysis of the undrained bearing capacity of offshore pipelines. Géotechnique 2012, 62, 847–863. [Google Scholar] [CrossRef]
- Gao, F.-P.; Wang, N.; Zhao, B. Ultimate bearing capacity of a pipeline on clayey soils: Slip-line field solution and FEM simulation. Ocean Eng. 2013, 73, 159–167. [Google Scholar] [CrossRef]
- Gao, F.P.; Wang, N.; Zhao, B. A general slip-line field solution for the ultimate bearing capacity of a pipeline on drained soils. Ocean Eng. 2015, 104, 405–413. [Google Scholar] [CrossRef]
- Det Norske Veritas (DNV). Pipe-Soil Interaction for Submarine Pipelines. In DNVGL Recommended Practice DNVGL-RP-F114; Det Norske Veritas: Oslo, Norway, 2017. [Google Scholar]
- Merifield, R.S.; White, D.J.; Randolph, M.F. Effect of Surface Heave on Response of Partially Embedded Pipelines on Clay. J. Geotech. Geoenviron. Eng. 2009, 135, 819–829. [Google Scholar] [CrossRef]
- Dutta, S.; Hawlader, B.; Phillips, R. Finite element modeling of partially embedded pipelines in clay seabed using Coupled Eulerian–Lagrangian method. Can. Geotech. J. 2015, 52, 58–72. [Google Scholar] [CrossRef]
- Fredsøe, J. Pipeline–seabed interaction. J. Waterw. Port Coast. Ocean. Eng. 2016, 142, 03116002. [Google Scholar] [CrossRef]
- Gao, F.-P. Flow-pipe-soil coupling mechanisms and predictions for submarine pipeline instability. J. Hydrodyn. 2017, 29, 763–773. [Google Scholar] [CrossRef]
- Wagner, D.; Murff, J.; Brennodden, H.; Sveggen, O. Pipe-Soil Interaction Model. J. Waterw. Port Coast. Ocean Eng. 1989, 115, 205–220. [Google Scholar] [CrossRef]
- Det Norske Veritas (DNV). On-Bottom Stability Design of Submarine Pipeline. In DNV Recommended Practice DNV-RP-F109; Det Norske Veritas: Oslo, Norway, 2010. [Google Scholar]
- Gao, F.-P.; Wang, N.; Li, J.; Han, X.-T. Pipe-soil interaction model for current-induced pipeline instability on a sloping sandy seabed. Can. Geotech. J. 2016, 53, 1822–1830. [Google Scholar] [CrossRef]
- Hodder, M.; Cassidy, M. A plasticity model for predicting the vertical and lateral behaviour of pipelines in clay soils. Géotechnique 2010, 60, 247–263. [Google Scholar] [CrossRef]
- Cheuk, C.; White, D.; Dingle, H. Upper Bound Plasticity Analysis of a Partially-Embedded Pipe Under Combined Vertical and Horizontal Loading. Soils Found. 2008, 48, 133–140. [Google Scholar] [CrossRef][Green Version]
- Randolph, M.F.; White, D.J. Upper-bound yield envelopes for pipelines at shallow embedment in clay. Géotechnique 2008, 58, 297–301. [Google Scholar] [CrossRef]
- Aubeny, C.P.; Shi, H.; Murff, J.D. Collapse Loads for a Cylinder Embedded in Trench in Cohesive Soil. Int. J. Géoméch. 2005, 5, 320–325. [Google Scholar] [CrossRef]
- Merifield, R.; White, D.J.; Randolph, M.F. The ultimate undrained resistance of partially embedded pipelines. Geotechnique 2008, 58, 461–470. [Google Scholar] [CrossRef]
- Wang, D.; White, D.; Randolph, M. Large-deformation finite element analysis of pipe penetration and large-amplitude lateral displacement. Can. Geotech. J. 2010, 47, 842–856. [Google Scholar] [CrossRef]
- Tian, Y.; Cassidy, M.J. Pipe-Soil Interaction Model Incorporating Large Lateral Displacements in Calcareous Sand. J. Geotech. Geoenviron. Eng. 2011, 137, 279–287. [Google Scholar] [CrossRef]
- Chatterjee, S.; White, D.; Randolph, M. Numerical simulations of pipe–soil interaction during large lateral movements on clay. Géotechnique 2012, 62, 693–705. [Google Scholar] [CrossRef]
- Hibbitt, D.; Karlsson, B.; Sorensen, P. Abaqus: Analysis User’s Manual, Version 6.11; Simulia DCS: Pawducket, RI, USA, 2011. [Google Scholar]
- Dingle, H.R.; White, D.J.; Gaudin, C. Mechanisms of pipe embedment and lateral breakout on soft clay. Can. Geotech. J. 2008, 45, 636–652. [Google Scholar] [CrossRef]
- Hossain, M.; O’Loughlin, C.; Kim, Y. Dynamic installation and monotonic pullout of a torpedo anchor in calcareous silt. Géotechnique 2015, 65, 77–90. [Google Scholar] [CrossRef]
- Zhou, T.; Tian, Y.; Cassidy, M.J. Effect of Tension on the Combined Loading Failure Envelope of a Pipeline on Soft Clay Seabed. Int. J. Géoméch. 2018, 18, 04018131. [Google Scholar] [CrossRef]
- Qi, W.-G.; Shi, Y.-M.; Gao, F.-P. Uplift soil resistance to a shallowly-buried pipeline in the sandy seabed under waves: Poro-elastoplastic modeling. Appl. Ocean Res. 2020, 95, 102024. [Google Scholar] [CrossRef]
- Guo, X.; Nian, T.; Zhao, W.; Gu, Z.; Liu, C.; Liu, X.; Jia, Y. Centrifuge experiment on the penetration test for evaluating undrained strength of deep-sea surface soils. Int. J. Min. Sci. Technol. 2021, in press. [Google Scholar] [CrossRef]
- Shi, Y.; Gao, F.; Wang, N.; Yin, Z. Coupled Flow-Seepage-Elastoplastic Modeling of a Competition Mechanism between Lateral Instability and Tunnel Erosion of a Submarine Pipeline. J. Mar. Sci. Eng. 2021, 9, 889. [Google Scholar] [CrossRef]
- Hong, Z.; Fu, D.; Liu, W.; Zhou, Z.; Yan, Y.; Yan, S. Effect of Gain in Soil Friction on the Walking Rate of Subsea Pipelines. J. Mar. Sci. Eng. 2019, 7, 401. [Google Scholar] [CrossRef]
- Bransby, M.F.; Zajac, P.; Amman, S. Finite element analysis of the vertical penetration of “on-bottom” pipelines in clay. In Proceedings of the 18th International Off Shore and Polar Engineering Conference, Vancouver, BC, Canada, 6–11 July 2008; pp. 245–249. [Google Scholar]
- Oliveira, J.R.M.S.; Almeida, M.S.S.; Asce, M.; Almeida, M.; Borges, R.G. Physical modeling of lateral clay-pipe interaction. J. Geotech. Geoenviron. Eng. 2010, 136, 950–956. [Google Scholar] [CrossRef]
- Zhang, B.; Gong, R.; Wang, T.; Wang, Z. Causes and Treatment Measures of Submarine Pipeline Free-Spanning. J. Mar. Sci. Eng. 2020, 8, 329. [Google Scholar] [CrossRef]
- Det Norske Veritas (DNV). Global Buckling of Submarine Pipelines—Structure Design Due to High Temperature/High Pressure. In DNV Recommended Practice DNV-RP-F110; Det Norske Veritas: Oslo, Norway, 2007. [Google Scholar]
- Chatterjee, S. Numerical Modelling of Pipe-Soil Interactions. Ph.D. Thesis, University of Western Australia, Perth, Australia, 2012. [Google Scholar]
- Zhang, J.; Stewart, D.P.; Randolph, M. Modeling of Shallowly Embedded Offshore Pipelines in Calcareous Sand. J. Geotech. Geoenviron. Eng. 2002, 128, 363–371. [Google Scholar] [CrossRef]















| Parameters | Symbols | Units | Values |
|---|---|---|---|
| Outer diameter of the pipe | D | m | 0.46 |
| Elastic modulus of the pipe | Ep | GPa | 210 |
| Poisson’s ratio of the pipe | νp | -- | 0.19 |
| Sumerged weight of the pipe | Ws | N/m | Varied in Section 3.4 |
| Elastic modulus of the soil | Es | MPa | 50 |
| Poisson’s ratio of the soil | νs | -- | 0.49 |
| Undrained shear strength of the soil | su | kPa | 3.2 |
| Pipe–soil interface friction ratio | α | -- | 0, 0.5, 1.0 |
| Embedment of the pipe | e | m | 0.1, 0.2, 0.3, 0.4, 0.5 |
| Half of embedment angle | θ0 | -- | arccos (1 − 2e/D) |
| Angle of instability | εu | -- | 0 ~ (π/2 + θ0) |
Publisher’s Note: MDPI stays neutral with regard to jurisdictional claims in published maps and institutional affiliations. |
© 2022 by the authors. Licensee MDPI, Basel, Switzerland. This article is an open access article distributed under the terms and conditions of the Creative Commons Attribution (CC BY) license (https://creativecommons.org/licenses/by/4.0/).
Share and Cite
Wang, N.; Qi, W.; Gao, F. Predicting the Instability Trajectory of an Obliquely Loaded Pipeline on a Clayey Seabed. J. Mar. Sci. Eng. 2022, 10, 299. https://doi.org/10.3390/jmse10020299
Wang N, Qi W, Gao F. Predicting the Instability Trajectory of an Obliquely Loaded Pipeline on a Clayey Seabed. Journal of Marine Science and Engineering. 2022; 10(2):299. https://doi.org/10.3390/jmse10020299
Chicago/Turabian StyleWang, Ning, Wengang Qi, and Fuping Gao. 2022. "Predicting the Instability Trajectory of an Obliquely Loaded Pipeline on a Clayey Seabed" Journal of Marine Science and Engineering 10, no. 2: 299. https://doi.org/10.3390/jmse10020299
APA StyleWang, N., Qi, W., & Gao, F. (2022). Predicting the Instability Trajectory of an Obliquely Loaded Pipeline on a Clayey Seabed. Journal of Marine Science and Engineering, 10(2), 299. https://doi.org/10.3390/jmse10020299

