Next Article in Journal
Concentrations and Characteristics of Polybrominated Diphenyl Ethers (PBDEs) in Marine Zooplankton from the Gaoping Waters of Southwestern Taiwan
Next Article in Special Issue
Perception of Autonomy and the Role of Experience within the Maritime Industry
Previous Article in Journal
Mate Perception and Gene Networks Regulating the Early Phase of Sex in Pseudo-nitzschia multistriata
Previous Article in Special Issue
Grouping Pilots’ Maneuvering Types According to Berthing Velocity Using Agglomerative Clustering Algorithm
 
 
Font Type:
Arial Georgia Verdana
Font Size:
Aa Aa Aa
Line Spacing:
Column Width:
Background:
Article

Effects of Forward Speed and Wave Height on the Seakeeping Performance of a Small Fishing Vessel

1
Division of Navigation Science, Mokpo National Maritime University, Mokpo City 58628, Jeonnam, Republic of Korea
2
Division of Marine Industry Transportation Science and Technology, Kunsan National University, Kunsan City 54150, Jeonbuk, Republic of Korea
*
Author to whom correspondence should be addressed.
J. Mar. Sci. Eng. 2022, 10(12), 1936; https://doi.org/10.3390/jmse10121936
Submission received: 14 October 2022 / Revised: 3 December 2022 / Accepted: 6 December 2022 / Published: 7 December 2022
(This article belongs to the Special Issue Marine Navigation and Safety at Sea)

Abstract

The effects of wave height and forward speed on the seakeeping performance of a small fishing vessel in irregular waves are evaluated using computational fluid dynamics (CFD). The wave height effect changed linearly for a forward speed in the head sea and beam sea. In the stationary state, the heave and roll motions attributed to the wave height appear nonlinearly. The effect of the speed showed a non-linear shape wherein the heave motion became larger with an increase in the forward speed in beam sea. The seakeeping performance of pitch motion is greatly improved at forward speed rather than in a stationary state. The seakeeping performance of the roll motion is more dangerous than the pitch motion, regardless of wave height and vessel speed. The mean roll period in irregular waves is obtained through this study, and it is longer than the natural roll period in still water. It is necessary to be careful as the probability of exceeding the limit is high and GM is decreased in transverse waves.

1. Introduction

According to the Food and Agriculture Organization of the United Nations [1], there are about 4.6 million fishing vessels worldwide as of 2014; about 64% of them are equipped with engines, among which there are 85% vessels that have lengths of 12 m or less; 13%, that are 12–24 m long; and 2% that are 24 m or longer. Most fishing vessels are smaller than 12 m in length. In Korea, the number of marine ship accidents is gradually increasing every year. Over the past five years, ships weighing less than 10 tons have accounted for 65.07% of all accidents [2]. Furthermore, ship overturning accidents are the most frequently occurring marine accidents, therefore it is necessary to prepare safety measures for small ships weighing less than 10 tons. Safety performances for medium and large commercial ships are verified during the design stage through various experiments or numerical analyses established based on international and domestic laws and regulations. However, a review of the operational safety performance of small fishing vessels was not sufficiently conducted due to the lack of related laws and economic constraints.
Small fishing vessels are operated in the sea under relatively high wave conditions; such a voyage results in a very large motion amplitude, which can degrade or limit the operational performance of the vessel. In other words, a small ship sailing in a real sea area under adverse weather conditions can suffer from damage to the hull and increased risk to human life because of wave impact and excessive acceleration; furthermore, the characteristics of ship response exhibit an absolute dependence on waves.
Among all ship motion factors, roll motion has the highest influence on the safety of small fishing vessels [3]. Roll exhibits a large synchronization phenomenon in the natural roll period and a relatively large motion response in a period other than the natural period [4,5]. Therefore, the roll motion response needs to be calculated not only in the synchronization period but also in several other periods to understand these characteristics. Míguez González and Bulian [6] performed detailed analyses of the operational conditions and problems of fishing vessels around the world and the roll response characteristics based on various wave periods and wave steepness in the head and beam seas for trawlers. Since roll motion is closely related to heave and pitch motion, it is necessary to analyze the response characteristics with vertical motions considering the viscous effect, rather than analyzing the roll motion separately.
Fishing vessels are exposed to head waves or transverse waves for a long period in stationary state when performing tasks such as letting out and reeling in fishing nets. Furthermore, the vessel operates with normal service speed when heading to the fishing ground for fishing or returning to the home port after fishing.
Thus far, several studies have investigated the effect of forward speed on ship roll motion [7,8,9]. These studies report that the roll angle decreases when the speed exceeds a certain level. Falzarano et al. [10] analyzed that eddy damping was reduced by the forward speed, and lift damping was dominant among all roll damping factors.
The motion response characteristics in the same vessel are different because of the change in wave height; the roll response value increases with an increase in wave height [11]. It is shown that the heave and pitch motion responses, which affect the maneuverability of the ship, are increased by the wave height [12].
An accurate understanding of the response characteristics of a ship under various operating conditions such as changes in ship speed and external force conditions (e.g., fluctuations in wave height) is an essential requirement for ensuring the safe operation of ships in irregular waves. However, most of the abovementioned studies compare only the amplitude value of the response function among regular waves. Probabilistic studies to determine the situation in which a fishing vessel may be in danger because it has exceeded the operating limit in the real sea have not been conducted as much as compared to studies on merchant ships. Tello et al. [13] conducted a short-term prediction for seakeeping performance based on ship speed and the angle of encounter for 11 fishing vessels of various sizes; their results indicated that roll and pitch were the most critical factors and that GM had an important effect on the roll movement. Mata-Álvarez-Santullano et al. [14] compared the correlation between the stability and operability of fishing vessels.
In order to accurately evaluate the seakeeping performance, a numerical analysis that can examine the viscous effect on roll motion, wave impact with strong nonlinearity, and large amplitude motion of a ship is required. Computational fluid dynamics (CFD) was used to analyze the roll hydrodynamic coefficients with strong nonlinearity [15] and the slamming phenomenon caused by wave impact [16]. However, potential-based numerical analysis techniques are mostly used to analyze hull motion when evaluating the seakeeping performance of fishing vessels.
In this study, the ship motion is analyzed considering the effects of forward speed and wave height in regular waves using CFD to secure the safety of small fishing vessels; furthermore, the operational limitations of fishing vessels in actual seas are determined through statistical processes. The results of this study are expected to help operators to improve the safety performance of small fishing vessels in irregular waves.

2. Numerical Calculation

2.1. Computational Method

STAR-CCM+, which is a commercial CFD program based on the finite volume method, is used in this study to perform the numerical simulation. The continuity and momentum equations for incompressible flow analysis are as follows [17]
( ρ u ¯ i ) x i = 0
( ρ u ¯ i ) t + x j   ( ρ u ¯ i u ¯ j + ρ u i u j ¯ ) = p ¯ x i + τ ¯ i j x j
where τ ¯ i j represents the mean viscous stress tensor components, and is given as
τ ¯ i j = μ ( u ¯ i x j + u ¯ j x i )
where ρ , u ¯ i , ρ u i u j ¯ , and μ represent the density, averaged Cartesian components of the velocity vector, Reynolds stresses, and dynamic viscosity, respectively.
The temporal discretization of an unsteady term uses a first-order temporal scheme; a second-order scheme is applied to discretize the convection terms. Velocity and pressure coupling is used for the SIMPLE algorithm, the all y+ wall treatment is used to analyze the flow in the boundary layer. The realizable k-ε model is used for the turbulence model. The k-ε model is used extensively in industrial applications and has advantages in terms of the cost of CPU computation time [18].
The time step in implicit unsteady simulations is determined using flow properties instead of the Courant number [18]. A minimum of 100 time steps are used per encounter period for simulating the waves as recommended by ITTC [19]. The minimum cell size is set to 1/40 of the wavelength in a horizontal direction and 1/20 of the wave height in the vertical direction. The volume of the fluid (VOF) method is used to realize the free surface and waves. The overset grid method is adopted for simulating the large-amplitude hull motion; the least square method is used for the interpolation of physical quantities between the inner and outer grid systems. The entire grid does not need to be reconstructed at every time step because the outer grid system is fixed and the inner grid system moves with the hull. The dynamic fluid body interaction function is used to solve the problem of hull motion caused by waves; the vessel motion response values are analyzed for heave and pitch (vertical motions) and roll (transverse motion) among regular waves. Roll and pitch have been reported as the most critical factors of seakeeping performance for fishing vessels in irregular waves [13]; therefore, this study also intends to evaluate the seakeeping performance in actual seas by focusing on the roll and pitch of small fishing vessels.

2.2. Computational Conditions

In this study, numerical calculations are performed for analyzing the motion response in waves by targeting a 7-ton small fishing vessel, which is the size of vessel that has been involved in a higher proportion of recent marine accidents and casualties. Detailed vessel specifications and simulation conditions are presented in Table 1 and Table 2. Figure 1 shows the body plan of the target vessel.
A bare hull state without a bilge keel is simulated to compare the motion response characteristics of the small fishing vessel; the fifth-order Stokes wave is selected for the numerical simulation. Wave heights of 0.6 and 1.0 m corresponding to 3 and 4 of the Beaufort scale are selected to analyze their effects. The wavelength to ship length ratio ( λ / L ) is within the range 0.454–5.047 considering various wave periods. The angle of encounter ( χ ) with the wave is calculated in the state of the head sea and the beam sea, respectively. The head sea implies that the angle of contact with the waves is 180°; the beam sea implies that is 90°.
A study has been reported that small fishing vessels operate at 11 knots for 80% of the year [20]. In this study, numerical calculations were performed under the speed conditions of a stationary state and a sailing speed corresponding to 11 knots (Froude number F n = 0.533 ) of a ship to investigate the effect of the ship’s speed ( V ) on the motion response of the model scale ship. The simulation was performed at Reynolds number R n = 2.225 × 10 6 .
Figure 2 shows the computational domain and coordinate system used in this study; it is a Cartesian coordinate system in which the forward direction is the + x-axis, the port direction of the vessel is the + y-axis, and the opposite direction of gravity is the + z-axis. The calculation area is set to 1.5 L, 2.5 L, 2 L, 1.5 L, and 0.5 L from the fore perpendicular to the bow direction, the aft perpendicular to the stern direction, center line to the port and starboard sides, water surface to the seabed, and water surface to the top, respectively. Here, L represents the length between the perpendiculars. The inlet, side, bottom, and top are set to the velocity inlet condition; the outlet is set to the pressure outlet condition; and the hull to the no-slip condition as the boundary conditions. In the outlet area, the calculation is performed by setting the VOF wave damping functionality for preventing wave reflection.
The space and hull surface grids are created using the trimmed mesh and prism layer, respectively. The prism layer creates six layers with an expansion ratio of 1.3; the average y+ calculation result value is 0.537 in a head sea condition with a wave height of 0.0634 m (corresponding to 0.6 m of full scale), λ / L = 1.82 in stationary state. Here, y+ represents the dimensionless wall distance.
The grid is created more densely than the base size using volumetric control to calculate the flow around the hull including the hull and in the free surface and divergent regions more accurately. Numerical simulations are performed using about 1.4 million and 2.3 million cells in the long- and short-wavelength regions, respectively.

3. Results and Discussion

Section 3.1 presents the verification process and its evaluation results. Section 3.2 and Section 3.3 analyze and discuss the results of ship motion simulations for regular waves from the bow direction and transverse direction, respectively. Finally, in Section 3.4, the seakeeping performance in irregular waves using wave spectrum and hull motion response is estimated and evaluated.

3.1. Mesh Sensitivity Analysis

The grid convergence index (GCI) method based on the Richardson extrapolation was used in this study for estimating the grid convergence uncertainty of the numerical simulations. The verification process using the GCI method followed the approach described by Celik et al. [21].
The numerical convergence ratio R is calculated as
R = ε 21 ε 32
where ε 21 = ϕ 2 ϕ 1 and ε 32 = ϕ 3 ϕ 2 ; these represent the difference in the solution value between medium-fine and coarse-medium, respectively. ϕ 1 , ϕ 2 , or ϕ 3 represents the solution calculated for the fine, medium, or coarse mesh, respectively.
The apparent order p of the method can be obtained as
p = ln ( ε 32 / ε 21 )   ln ( r 32 )  
where r 32 represents the grid refinement factor r 32 = h c o a r s e h m e d i u m , i.e., 2 used in this study.
The extrapolated values are calculated as
ϕ e x t 32 = r 32 p ϕ 2 ϕ 3 r 32 p 1
The approximate relative error and extrapolated relative error are, respectively, obtained using
e a 32 = | ϕ 2 ϕ 3 ϕ 2 |
e e x t 32 = | ϕ e x t 32 ϕ 2 ϕ e x t 32 |
The medium grid convergence index is calculated using
G C I m e d 32 = 1.25 e a 32 r 32 p 1
The number of meshes for the grid convergence study is presented in Table 3. It took about 7 h to achieve the convergence of ship motion with the coarse grid, 12 h with the medium grid, and 26 h with the fine grid. The heave motion amplitude ( Z a ) and pitch motion amplitude ( θ a ) in the head sea, and the roll motion amplitude ( ϕ a ) in the beam sea are calculated using a number of coarse, medium, and fine grids; the results are summarized in Table 4. The numerical uncertainties for the medium mesh using the GCI method are 1.85%, 2.81%, and 1.80%, respectively. The results of the grid convergence uncertainty study concluded that efficient numerical simulation is possible using the medium mesh; therefore, it is selected as the base size in this study.

3.2. Analysis of Ship Motion in Head Sea

The wave height is 0.0635 m and 0.1056 m (0.6 m and 1.0 m on the full scale, respectively), corresponding to 3 and 4 of the Beaufort scale. The hull motion response characteristics generated by the regular wave incident from the bow direction are analyzed with the wave period changed in each of the two conditions. The ship speed is adopted under two conditions: F n = 0.0 (stationary state) and F n = 0.533 (11 knots on the full scale). The heave and pitch motions are analyzed in head waves; the heave and roll motions are analyzed in beam sea conditions in the next section. The motion response results are analyzed separately as dimensional and non-dimensional values, respectively; the dimensionless process is performed using the wave amplitude ( ς a ) and wave number ( k ).
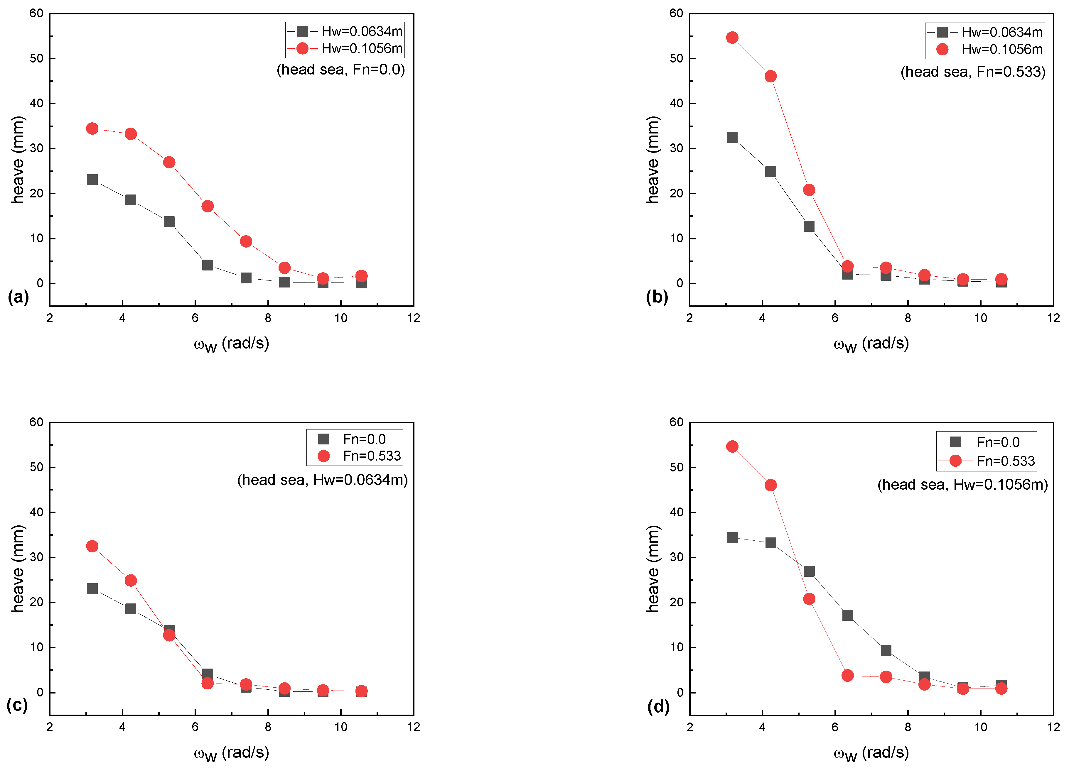
Figure 3 and Figure 4 present the dimensional calculation results for analyzing the response characteristics of the heave and pitch motions in head waves. In the low-wave frequency region, it can be seen that the response value increases when the wave height is increased not only in the stationary state but also in the state of forward speed (Figure 3a,b). Looking at Figure 3c,d, it can be seen that when the ship moves forward, the heave motion is greater than that in the stationary state. The higher the wave height, the greater the influence of the forward speed.
Figure 4 shows the results for the pitch. The higher the wave height, the greater the response, and it shows a tendency to appear slightly larger in the stationary state. In the case of low wave height H w = 0.0634   m , the effect of speed hardly appears (Figure 4c). On the other hand, in the state of high wave height H w = 0.1056   m , the response shows a larger shape in the stationary state than in the state of forward speed (Figure 4d).
Figure 5 illustrates the results of non-dimensional motion response values for analyzing the nonlinear effect of the wave height affecting the hull motion in the head wave. As shown in Figure 5a,b, the wave height effect is greater on the pitch motion than on the heave. The nonlinear effect of the wave height on the pitch motion is greater in the long wavelength region. In contrast, it is noted that both the heave and pitch motions show no significant changes in the state of forward speed (Figure 5c,d).
Figure 6 shows the non-dimensional results obtained by analyzing the effect of ship speed on hull motion. First, when the wave height is relatively low, it can be seen that the motion response is larger in the long wavelength region when there is forward speed in both heave and pitch. This speed effect is larger in the heave motion than in the pitch. Next, looking at the heave motion when the wave height is higher, it can be seen that the heave motion gradually increases due to the effect of the forward speed in the long wavelength. The pitch motion has a smaller motion response when there is a forward speed than in a stationary state. This shape shows a different trend from the result of H w = 0.0634 m in the pitch movement.
Figure 7 shows the simulation results in the state of the head sea as F n = 0.533 , H w = 0.1056   m , and λ / L = 1.8 . The encounter cycle with the head waves is divided into four stages: T , T + 1 4 T ,   T + 1 2 T , and T + 3 4 T . In the pitch motion, the downward movement corresponds to (+) values; the upward movement corresponds to (−) values. During the pitch motion in which the bow rises the most, the heave makes an upward motion (Figure 7a); in the situation where the bow goes down the most, the heave makes a downward motion (Figure 7c).

3.3. Analysis of Ship Motion in Beam Sea

Figure 8 and Figure 9 show the dimensional calculation results for analyzing the response characteristics of heave and roll motions in beam waves. Figure 8a,b show that the response value in the low wave frequency region increases with an increase in the wave height in both the stationary and forward motion states. Figure 8c,d indicate that the forward speed does have a considerable effect. The overall motion is increased because of the forward speed compared to the stationary state.
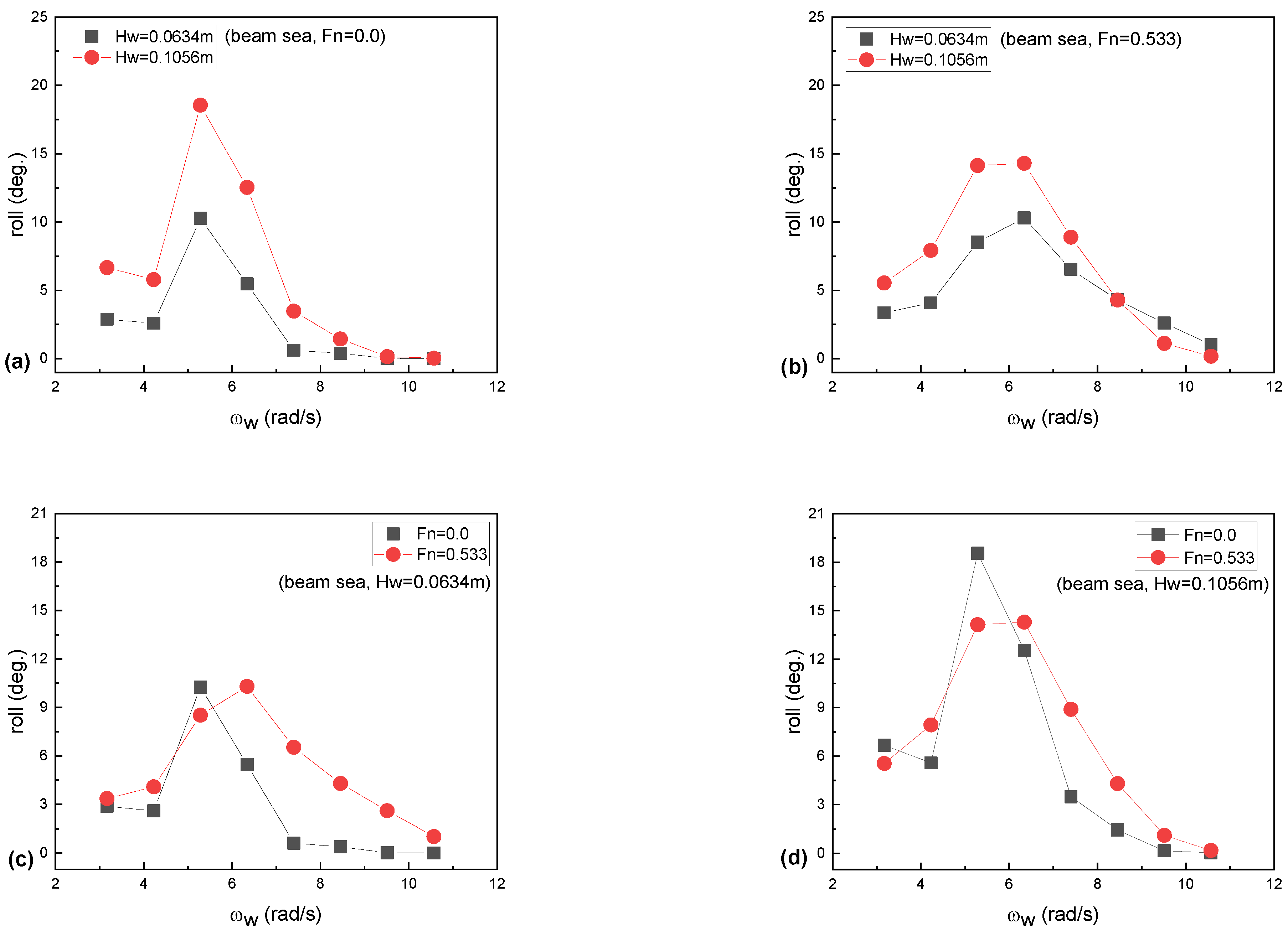
Figure 9 shows the results for the roll. The higher the wave height, the larger the response; furthermore, it has a tendency to appear slightly larger in the stationary state. For H w = 0.0634   m with a low wave height, the roll motion response increases because of the forward speed in the short wavelength region where the wave frequency is high (Figure 9c). Even if H w = 0.1056   m , the response value increases slightly because of the forward speed (Figure 9d). At the peak value, the response value decreases because of the influence of the forward speed. The higher the wave height, the greater the decrease. This numerical calculation is indeed valid because it is consistent with the results of other studies in that the reduction of roll motion attributed to the speed at the resonance frequency is reduced by lift damping.
Figure 10 shows the results of nondimensional motion response values for analyzing the nonlinear effect of the wave height affecting the hull motion in transverse waves. If the ship is in a stationary state, both heave and roll motions are affected by the wave height as the wavelength becomes longer than λ / L = 1.0 . The change in the heave rather than roll is larger with an increase in wavelength. For forward speed, neither the heave nor the roll motion change significantly; this linear change in wave height effect in the presence of forward speed is also observed in the head sea (Figure 5c,d). Thus, the wave height generates hull motion almost linearly regardless of the head or beam wave when a small fishing vessel sails at a constant speed.
Figure 11 shows the non-dimensional results for analyzing the effect of ship speed on the hull motion. Motion response is larger when there is forward speed in both the heave and roll motions for a relatively low wave height. However, in the roll motion, only the peak value at λ / L = 1.8 appears exceptionally. Heave motion shows a relatively large change in the short wavelength region. Furthermore, the maximum value is attributed to the synchronization phenomenon because λ / L = 1.8 is near the natural period.
The overall motion response is increased by the ship speed for the heave motion of H w = 0.1056   m ; the effect is smaller than that in the case of H w = 0.0634   m . The roll motion shows irregular effects in the long wavelength region. For λ / L = 1.8 , the roll motion response value decreases because of the effect of speed. The experimental study [5] presented that the roll motion in the long wave period, which was twice the roll in the natural period, was larger than the value in the short-wave period. This study confirmed that roll response is larger than the short wavelength at the long wavelength of λ / L = 5.05 regardless of the wave height and speed.
Figure 12 shows the simulation results in the beam sea for the conditions F n = 0.533 , H w = 0.1056   m , and λ / L = 1.8 . The encounter cycle with transverse waves is divided into four stages: T , T + 1 4 T ,   T + 1 2 T , and T + 3 4 T . As the crest of the wave approaches, the maximum roll motion occurs toward the port side and the heave motion is in the upward direction (Figure 12a). The simulation results indicate that the heave motion is in the downward direction of the hull when the maximum roll motion is inclined toward the starboard, which is the side where the wave is incident (Figure 12c).

3.4. Seakeeping Performance under Irregular Waves

This study performed the analysis in the real seas using the following ITTC wave spectrum [22] to estimate the seakeeping performance based on the hull motion response in regular waves.
S ζ ( ω w ) = A ω w 5 e B ω w 4
where A = 173 H 1 3 2 T 1 4 , B = 691 T 1 4 , H 1 3 represents the significant wave height, and T 1 represents the mean wave period.
0.6 m and 1.0 m corresponding to Beaufort scale 3 and 4 were selected as the wave height. The value obtained by T 1 = 3.86 H 1 3 is used for the mean wave period T 1 . The encountered wave spectrum is obtained as follows by considering the speed ( V ) and the angle of encounter with the wave (χ).
S ζ ( ω e ) = S ζ ( ω w ) 1 ( 2 ω w V g ) c o s   χ  
The spectral density function of the ship response is obtained using the encountered wave spectrum and response amplitude operator (RAO).
S x i ( ω e ) = S ζ ( ω e ) | H i ( ω e ) | 2
where S x i ( ω e ) , S ζ ( ω e ) , and | H i ( ω e ) | 2 represent the hull motion response spectral density function of the i mode, encountered wave spectrum, and response amplitude operator, respectively. The seakeeping performance is evaluated using values scaled to those for the size of actual ship.
Variance m 0 and root mean square (RMS) are derived from the spectral density function of the ship response, which is a motion energy spectrum.
m 0 = 0 S x i ( ω e ) d ω e
RMS = m 0  
The significant motion amplitude in an irregular wave corresponds to twice the RMS. The probability that the ship response ( X i ) of i mode exceeds the seakeeping performance criteria ( r ) is
P ( X i > r ) = e x p ( r 2 2 m 0 ) .
In this study, the same seakeeping performance criteria as those of the study [13] conducted by applying the pitch limit of 3° and roll limit of 6° were selected for evaluating the seakeeping performance.
Table 5 summarizes the evaluation results of seakeeping performance for pitch in the head sea condition. The probability of exceeding the seakeeping limit value decreases if there is a forward speed. The probability of exceeding the limit value is very low when H w = 0.6   m . In particular, when operating at a speed of 11 knots, it seems that there is little possibility of exceeding the limit. Therefore, there is no problem in terms of operational safety. However, caution is necessary because the probability of exceeding the pitch limit value is as high as about 36% when operating in a stationary state at H w = 1   m .
Table 6 summarizes the seakeeping performance evaluation results for the roll motion in the beam sea condition. The probability of exceeding the limit value is higher than in the stationary state when there is a forward speed at H w = 0.6   m . This is attributed to the roll motion increasing in the short wavelength region of the regular wave, as shown in Figure 9. The exceedance probability is slightly reduced because of the influence of the forward speed where the wave height is relatively high H w = 1   m . Compared to the pitch, the roll motion response values show a higher overall probability of exceedance. Therefore, small ships such as those applied in this study should be operated with special attention for excessive roll motion in transverse waves.
Table 7 summarizes the changes in the mean roll period and GM in irregular waves. It can be seen that the mean roll period is longer than the natural roll period in still water for both the wave heights of 0.6 m and 1.0 m. The difference is larger for H w = 1.0   m . The analysis result that the mean roll period among irregular waves is lengthened by the wave influence is newly founded through this study. It is estimated that GM value in the irregular waves decreases because the roll period and GM are inversely proportional. The rate of reduction increases further in the stationary state than in the sailing state. It would be possible to estimate the mean roll period at any particular wave height by regression analysis. The operation should be performed with caution along with the seakeeping performance evaluation results to ensure the safety of the vessel.
GM value in still water is generally obtained by performing hydrostatic calculations during the ship modeling process. However, GM may be changed in waves, and it can be estimated in irregular waves through the following procedure carried out in this study.
  • Calculate the motion response by different wave heights in transverse regular waves.
  • Calculate the mean roll period for each wave height in irregular waves.
  • Estimate the mean roll period at the other wave height by regression analysis.
  • Calculate GM value using the period obtained in Step 3.
Table 8 summarizes the comparison between the natural roll period estimated through the simulation of this study and the hydrostatic calculation in still water. The estimation method employed in this simulation provides results within a relatively small error range. Thus, it would be possible to estimate GM value at any particular wave height.

4. Conclusions

The effects of wave height and forward speed on the seakeeping performance of a small fishing vessel in irregular waves were evaluated using CFD. Numerical calculations were performed under regular wave conditions in head sea and beam sea before analyzing the irregular waves.
The wave height effect changed linearly for a forward speed in head sea; however, it acted non-linearly in the pitch motion in the stationary state. The effect of the speed showed a non-linear shape wherein the heave motion became larger with an increase in the forward speed in the long wavelength region.
In beam sea, the wave height effect did not appear linearly when there was a forward speed; however, in the stationary state, the heave and roll motions attributed to the wave height appear nonlinearly. The effect of the forward speed was found to be greater in the heave motion than that in the roll motion.
The evaluation of the seakeeping performance in irregular waves indicated that the probability of the pitch exceeding the seakeeping limit value was evaluated as relatively small except for the stationary state at the wave height of 1 m. In the stationary state with H w = 1.0   m , the probability of exceedance is about 36%. The evaluation of the seakeeping performance of the roll motion is more dangerous than the pitch motion. It is necessary to be careful as there is a high probability of exceeding the limit value in case of H w = 1.0   m . GM decreases regardless of wave height and ship speed, as indicated by estimating the change in GM via the calculation of the mean roll period in irregular waves. Since the reduction rate is up to 30%, it is expected that the stability in the wave will be deteriorated.
The study should be extended to ships with bilge keels attached. Bilge keels are very effective in reducing the roll motion on small ships as well as large ships. It is expected that the evaluation of seakeeping performance will be derived differently from the bare hull condition. In addition, a follow-up study should be conducted on the characteristics of seakeeping performance according to the size of the small fishing vessel. This study was conducted on a 7-ton class vessel, and it is noted that additional simulations for vessels of different sizes will increase reliability in analyzing the operating limitations of small fishing vessels in actual seas.
In the future, a numerical analysis will be performed using diverse wave encounter angles and ship speeds. Based on these results, we will research the development of a safe navigation support system that can provide guidelines on how to deal with dangerous situations by evaluating the operational limitations in various marine environments.

Author Contributions

Conceptualization, N.I. and S.L.; software, S.L.; validation, N.I.; writing—original draft preparation, S.L.; writing—reviewing and editing, N.I. and S.L.; supervision, S.L. All authors have read and agreed to the published version of the manuscript.

Funding

This research was supported by a grant (20015029) of Regional Customized Disaster-Safety R&D Program, funded by Ministry of Interior and Safety (MOIS, Republic of Korea).

Data Availability Statement

Not applicable.

Conflicts of Interest

The authors declare no conflict of interest.

References

  1. Food and Agriculture Organization of the United Nations (FAO). The State of World Fisheries and Aquaculture; FAO: Rome, Italy, 2016. [Google Scholar]
  2. Korea Maritime Safety Tribunal. Maritime Accidents Statistical Yearbook; KMST: Sejong, Republic of Korea, 2021. [Google Scholar]
  3. Liu, W.; Demirel, Y.K.; Djatmiko, E.B.; Nugroho, S.; Tezdogan, T.; Kurt, R.E.; Supomo, H.; Baihaqi, I.; Yuan, Z.; Incecik, A. Bilge keel design for the traditional fishing boats of Indonesia’s East Java. Int. J. Nav. Arch. Ocean Eng. 2018, 11, 380–395. [Google Scholar] [CrossRef]
  4. Ikeda, Y.; Katayama, T.; Munif, A.; Fujiwara, T. Experimental identification of large parametric rolling of a modern large passenger ship. J. Jpn. Soc. Nav. Arch. Ocean Eng. 2005, 2, 279–286. [Google Scholar]
  5. Kim, Y.J.; Kang, I.K.; Park, B.S.; Ham, S.J. An optimal bilge keel design to reduce the rolling of the offshore large purse seiner. Bull. Korean Soc. Fish. Technol. 2014, 50, 147–153. [Google Scholar] [CrossRef]
  6. González, M.M.; Bulian, G. Influence of ship dynamics modelling on the prediction of fishing vessels roll response in beam and longitudinal waves. Ocean Eng. 2018, 148, 312–330. [Google Scholar] [CrossRef]
  7. Taylan, M. Effect of forward speed on ship rolling and stability. Math. Comp. Appl. 2004, 9, 133–145. [Google Scholar] [CrossRef]
  8. Kang, I.-K.; Kim, H.-S.; Kim, M.-S.; Lee, Y.-W.; Kim, J.-C.; Jo, H.-J.; Lee, C.-K. Characteristics on the rolling response of a small fishing boat according to the waves and the ship’s speed. Bull. Korean Soc. Fish. Technol. 2007, 43, 62–70. [Google Scholar] [CrossRef][Green Version]
  9. Kianejad, S.; Lee, J.; Liu, Y.; Enshaei, H. Numerical Assessment of Roll Motion Characteristics and Damping Coefficient of a Ship. J. Mar. Sci. Eng. 2018, 6, 101. [Google Scholar] [CrossRef]
  10. Falzarano, J.; Somayajula, A.; Seah, R. An overview of the prediction methods for roll damping of ships. Ocean Sys. Eng. 2015, 5, 55–76. [Google Scholar] [CrossRef]
  11. Uzunoglu, E.; Ribeiro e Silva, S.; Guedes Soares, C.; Zamora, R.; Perez Rojas, L. Numerical and experimental study of the parametric rolling of a fishing vessel in regular head waves. Int. J. Marit. Eng. 2013, 155, 181–188. [Google Scholar] [CrossRef]
  12. Kim, D.; Song, S.; Jeong, B.; Tezdogan, T.; Incecik, A. Unsteady RANS CFD simulations of ship manoeuvrability and course keeping control under various wave height conditions. Appl. Ocean Res. 2021, 117, 102940. [Google Scholar] [CrossRef]
  13. Tello, M.; e Silva, S.R.; Soares, C.G. Seakeeping performance of fishing vessels in irregular waves. Ocean Eng. 2011, 38, 763–773. [Google Scholar] [CrossRef]
  14. Mata-Álvarez-Santullano, F.; Souto-Iglesias, A. Stability, safety and operability of small fishing vessels. Ocean Eng. 2014, 79, 81–91. [Google Scholar] [CrossRef]
  15. Kiannejad, S.; Enshaei, H.; Duffy, J.; Ansarifard, N. Calculation of ship roll hydrodynamic coefficients in regular beam waves. Ocean Eng. 2020, 203, 107225. [Google Scholar] [CrossRef]
  16. Liao, X.; Chen, Z.; Gui, H.; Du, M. CFD prediction of ship seakeeping and slamming behaviors of a trimaran in oblique regular waves. J. Mar. Sci. Eng. 2021, 9, 1151. [Google Scholar] [CrossRef]
  17. Ferziger, J.H.; Peric, M. Computational Methods for Fluid Dynamics, 3rd ed.; Springer: Berlin/Heidelberg, Germany, 2002. [Google Scholar]
  18. Tezdogan, T.; Demirel, Y.K.; Kellett, P.; Khorasanchi, M.; Incecik, A.; Turan, O. Full-scale unsteady RANS CFD simulations of ship behaviour and performance in head seas due to slow steaming. Ocean Eng. 2015, 97, 186–206. [Google Scholar] [CrossRef]
  19. International Towing Tank Conference (ITTC). Practical guidelines for ship CFD applications. In Proceedings of the 26th ITTC, Rio de Janeiro, Brazil, 28 August–3 September 2011. [Google Scholar]
  20. Kim, I.-S.; Go, D.-G.; Park, D.-W. A study on hull form design for small fishing vessels. J. Korean Soc. Mar. Eng. 2017, 41, 316–322. [Google Scholar]
  21. Celik, I.B.; Ghia, U.; Roache, P.J.; Freitas, C.J.; Coleman, H.; Raad, P.E. Procedure for estimation and reporting of uncertainty due to discretization in CFD applications. J. Fluids Eng. 2008, 130, 078001. [Google Scholar]
  22. International Towing Tank Conference (ITTC). ITTC recommended procedures and guidelines for seakeeping experiments. In Proceedings of the 26th ITTC, Rio de Janeiro, Brazil, 28 August–3 September 2011. [Google Scholar]
Figure 1. Body plan for 7-ton class fishing vessel.
Figure 1. Body plan for 7-ton class fishing vessel.
Jmse 10 01936 g001
Figure 2. Overview of (a) computational mesh and (b) domain.
Figure 2. Overview of (a) computational mesh and (b) domain.
Jmse 10 01936 g002
Figure 3. Comparison of heave motion in head sea: (a,b) wave height effect; (c,d) speed effect.
Figure 3. Comparison of heave motion in head sea: (a,b) wave height effect; (c,d) speed effect.
Jmse 10 01936 g003
Figure 4. Comparison of pitch motion in head sea: (a,b) wave height effect; (c,d) speed effect.
Figure 4. Comparison of pitch motion in head sea: (a,b) wave height effect; (c,d) speed effect.
Jmse 10 01936 g004
Figure 5. Wave height effect on nondimensional ship motion in the head sea: (a,b) stationary state; (c,d) ship moving forward.
Figure 5. Wave height effect on nondimensional ship motion in the head sea: (a,b) stationary state; (c,d) ship moving forward.
Jmse 10 01936 g005
Figure 6. Speed effect on nondimensional ship motion in head sea: (a,b) wave height H w = 0.0634 m; (c,d) H w = 0.1056 m.
Figure 6. Speed effect on nondimensional ship motion in head sea: (a,b) wave height H w = 0.0634 m; (c,d) H w = 0.1056 m.
Jmse 10 01936 g006
Figure 7. Wave patterns around the fishing vessel in head sea at F n = 0.533 , H w = 0.1056   m , λ / L = 1.8 : (a) T ; (b) T + 1 4 T ; (c) T + 1 2 T ; (d) T + 3 4 T .
Figure 7. Wave patterns around the fishing vessel in head sea at F n = 0.533 , H w = 0.1056   m , λ / L = 1.8 : (a) T ; (b) T + 1 4 T ; (c) T + 1 2 T ; (d) T + 3 4 T .
Jmse 10 01936 g007aJmse 10 01936 g007b
Figure 8. Comparison of heave motion in the beam sea: (a,b) wave height effect; (c,d) speed effect.
Figure 8. Comparison of heave motion in the beam sea: (a,b) wave height effect; (c,d) speed effect.
Jmse 10 01936 g008
Figure 9. Comparison of roll motion in the beam sea: (a,b) wave height effect; (c,d) speed effect.
Figure 9. Comparison of roll motion in the beam sea: (a,b) wave height effect; (c,d) speed effect.
Jmse 10 01936 g009
Figure 10. Wave height effect on nondimensional ship motion in the beam sea: (a,b) stationary state; (c,d) ship moving forward.
Figure 10. Wave height effect on nondimensional ship motion in the beam sea: (a,b) stationary state; (c,d) ship moving forward.
Jmse 10 01936 g010
Figure 11. Speed effect on nondimensional ship motion in beam sea: (a,b) wave height H w = 0.0634   m ; (c,d) H w = 0.1056   m.
Figure 11. Speed effect on nondimensional ship motion in beam sea: (a,b) wave height H w = 0.0634   m ; (c,d) H w = 0.1056   m.
Jmse 10 01936 g011
Figure 12. Wave patterns around the fishing vessel in beam sea at F n = 0.533 , H w = 0.1056   m , λ / L = 1.8 : (a) T ; (b) T + 1 4 T ; (c) T + 1 2 T ; (d) T + 3 4 T .
Figure 12. Wave patterns around the fishing vessel in beam sea at F n = 0.533 , H w = 0.1056   m , λ / L = 1.8 : (a) T ; (b) T + 1 4 T ; (c) T + 1 2 T ; (d) T + 3 4 T .
Jmse 10 01936 g012
Table 1. Main specifications of the fishing vessel.
Table 1. Main specifications of the fishing vessel.
DescriptionFull ScaleModel Scale (1:9.4667)
Length between perpendiculars, L (m)11.51.2148
Breadth, B (m)3.680.3887
Draft, T (m)0.830.0877
Displacement, (m3)25.36040.0297
Block coefficient, C B 0.580.58
Metacentric height, G M (m)0.8760.0925
Natural roll period, T 0 (s)3.1451.0224
Table 2. Simulation conditions for evaluation of seakeeping performance.
Table 2. Simulation conditions for evaluation of seakeeping performance.
DescriptionFull ScaleModel Scale (1:9.4667)
Ship speed, V (m/s)0.0, 5.6590.0, 1.839
Froude number, F n 0.0, 0.5330.0, 0.533
Encounter angle of wave, χ (degree)180, 90180, 90
Wave height, H w (m)0.6, 1.00.0634, 0.1056
Wave frequency, ω w (rad/s)1.029–3.4333.171–10.569
Wave length/Ship length, λ / L 0.454–5.0470.454–5.047
Table 3. Mesh numbers for each mesh configuration.
Table 3. Mesh numbers for each mesh configuration.
Mesh ConfigurationTotal Number of Cells
Fine2,699,539
Medium1,426,951
Coarse943,639
Table 4. Grid convergence study for Z a , θ a , and ϕ a at H w = 0.0634   m , λ / L = 1.82 , and F n = 0.0 .
Table 4. Grid convergence study for Z a , θ a , and ϕ a at H w = 0.0634   m , λ / L = 1.82 , and F n = 0.0 .
Z a   ( m ) θ a   ( Degree ) ϕ a   ( Degree )
ϕ 1 0.013552.7512910.13516
ϕ 2 0.013742.8061210.26682
ϕ 3 0.016543.2228911.46787
R 0.0680.1320.110
p 7.7635.8526.379
ϕ e x t 32 0.013542.7429810.11895
e e x t 32 1.51%2.30%1.46%
G C I m e d 32 1.85%2.81%1.80%
Table 5. Evaluation of the seakeeping performance of pitch motion in irregular waves ( χ = 180 ° ) .
Table 5. Evaluation of the seakeeping performance of pitch motion in irregular waves ( χ = 180 ° ) .
Seakeeping Performance Criteria (RMS) H w = 0.6   m  
V s = 0.0   k n
H w = 0.6   m
V s = 11.0   k n
H w = 1.0   m
V s = 0.0   k n
H w = 1.0   m
V s = 11.0   k n
RMS (degree)30.75020.49352.08831.0168
θ 1 3 (degree) 1.50040.98704.17662.0336
Exceedance probability (%) 0.03 9.46 × 10 7 35.631.29
Table 6. Evaluation of the seakeeping performance of roll motion in irregular waves ( χ = 90 ° ) .
Table 6. Evaluation of the seakeeping performance of roll motion in irregular waves ( χ = 90 ° ) .
Seakeeping Performance Criteria (RMS) H w = 0.6   m  
V s = 0.0   k n
H w = 0.6   m
V s = 11.0   k n
H w = 1.0   m
V s = 0.0   k n
H w = 1.0   m
V s = 11.0   k n
RMS (degree)62.97403.61855.18294.8540
ϕ 1 3 (degree) 5.94807.237010.36589.7080
Exceedance probability (%) 13.0725.2951.1746.58
Table 7. Estimation of mean roll period and GM in irregular waves ( χ = 90 ° ) .
Table 7. Estimation of mean roll period and GM in irregular waves ( χ = 90 ° ) .
Still Water H w = 0.6   m
V s = 0.0   k n
H w = 0.6   m
V s = 11.0   k n
H w = 1.0   m
V s = 0.0   k n
H w = 1.0   m
V s = 11.0   k n
Mean roll period (s)3.1453.56983.26353.77533.7254
GM (m)0.876 0.6800.8140.6080.624
Reduction rate of GM (%)-22.47.130.628.8
Table 8. Comparison of natural roll period in still water.
Table 8. Comparison of natural roll period in still water.
Natural roll period T 0 (hydrostatic calculation)3.145 s
Natural roll period T 0 (CFD simulation)3.262 s
E (%D)3.59
Publisher’s Note: MDPI stays neutral with regard to jurisdictional claims in published maps and institutional affiliations.

Share and Cite

MDPI and ACS Style

Im, N.; Lee, S. Effects of Forward Speed and Wave Height on the Seakeeping Performance of a Small Fishing Vessel. J. Mar. Sci. Eng. 2022, 10, 1936. https://doi.org/10.3390/jmse10121936

AMA Style

Im N, Lee S. Effects of Forward Speed and Wave Height on the Seakeeping Performance of a Small Fishing Vessel. Journal of Marine Science and Engineering. 2022; 10(12):1936. https://doi.org/10.3390/jmse10121936

Chicago/Turabian Style

Im, Namkyun, and Sangmin Lee. 2022. "Effects of Forward Speed and Wave Height on the Seakeeping Performance of a Small Fishing Vessel" Journal of Marine Science and Engineering 10, no. 12: 1936. https://doi.org/10.3390/jmse10121936

APA Style

Im, N., & Lee, S. (2022). Effects of Forward Speed and Wave Height on the Seakeeping Performance of a Small Fishing Vessel. Journal of Marine Science and Engineering, 10(12), 1936. https://doi.org/10.3390/jmse10121936

Note that from the first issue of 2016, this journal uses article numbers instead of page numbers. See further details here.

Article Metrics

Back to TopTop