COLREGS-Complied Automatic Collision Avoidance for the Encounter Situations of Multiple Vessels
Abstract
1. Introduction
- (1)
- A COLREGS-complied real-time evasive action decision-making mechanism is established to determine the evasive action from the give-way vessel and stand-on vessel separately, and the situation of vessels disregarding COLREGS is taken into account herein;
- (2)
- Taking the large inertia and input constraints into account, an automatic collision avoidance controller on the strength of MPC for multiple vessels is devised, which can carry out the control action beforehand and solve the problem of rudder saturation.
2. Preliminaries and Problem Formulation
2.1. The Ship Simulation Model
2.2. The COLREGS-Complied Evasive Action Decision-Making Mechanism
2.2.1. Estimate the Collision Risk of Multiple Vessels
2.2.2. Distinguish the Collision Situation and Collision Avoidance Responsibility on Account of COLREGS
- (1)
- In the action zone, if , the give-way vessel requires to take evasive action;
- (2)
- In the emergency zone, if , the stand-on vessel demands to take evasive action to guarantee navigation safety.
2.2.3. The Evasive Action of the Give-Way Vessel
- (1)
- Distinguish the give-way vessel and stand-on vessel. In the alerting zone and action zone, the OS is regarded as the give-way vessel, the TS which has collision risk with OS is deemed as the stand-on vessel;
- (2)
- Calculate and . After own ship turns degrees, the between OS and each TS is recalculated; if , the between OS and each TS after OS turns degrees is calculated;
- (3)
- Determine the safe course alteration based on DSPA. If , then is the safe course alteration; similarly, if , then is the safe course alteration; otherwise, the course alteration will increase 0.25 degrees, and back to step 2.
2.2.4. The Evasive Action of the Stand-On Vessel
2.3. Problem Formulation
3. Controller Design
4. Simulation Results
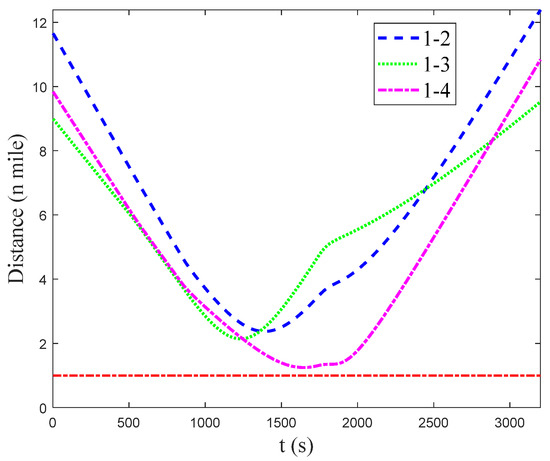
4.1. The Effectiveness of the Presented Strategy in Scenario 1
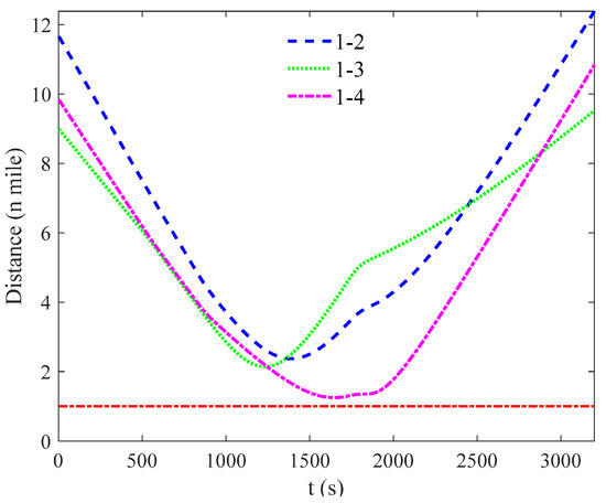
4.2. The Effectiveness of the Presented Strategy in Scenario 2
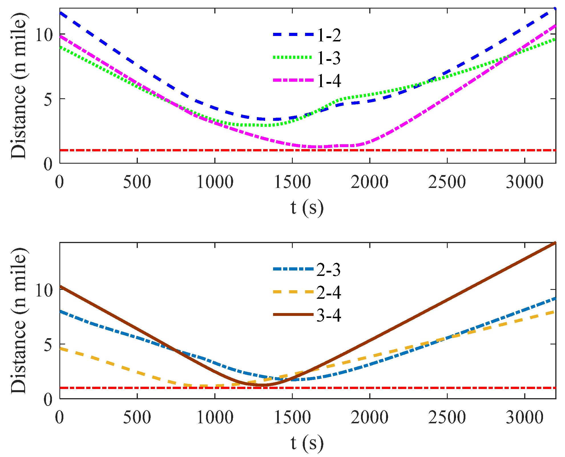
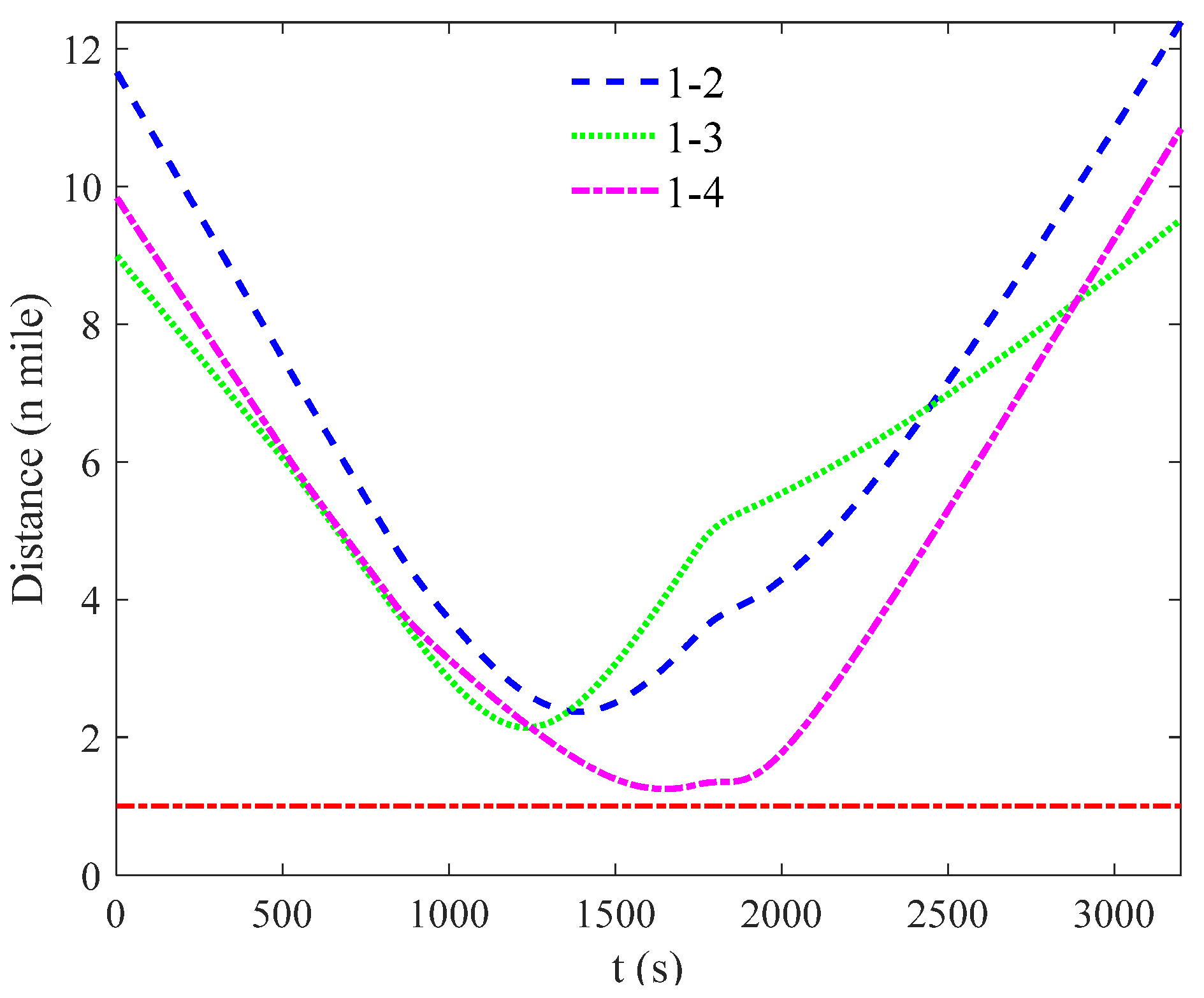
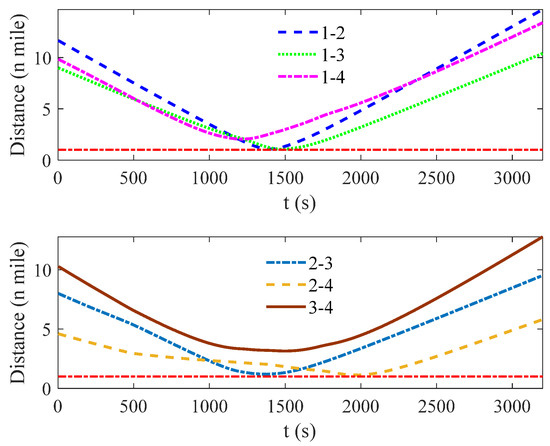
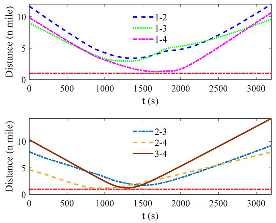
4.3. The Effectiveness of the Presented Strategy in Scenario 3
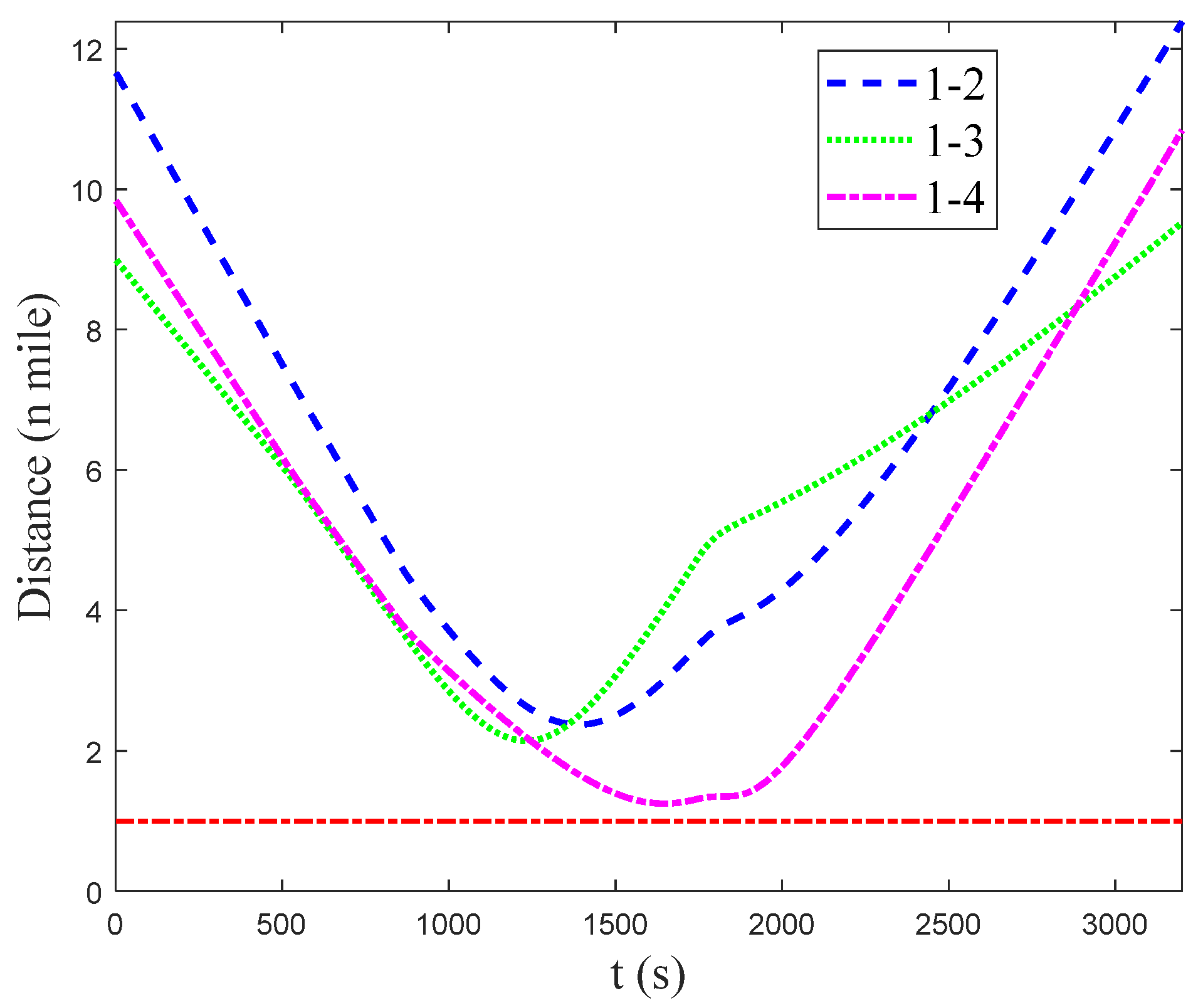
4.4. The Effectiveness of the Presented Strategy in Scenario 3 under Environment Disturbance
5. Conclusions
Author Contributions
Funding
Institutional Review Board Statement
Informed Consent Statement
Data Availability Statement
Conflicts of Interest
References
- Li, J.X.; Wang, H.B.; Guan, Z.Y.; Chong, P. Distributed Multi-Objective Algorithm for Preventing Multi-Ship Collisions at Sea. J. Navig. 2020, 73, 971–990. [Google Scholar] [CrossRef]
- Zhao, L.M.; Roh, M.L.; Lee, S.J. Control mothed for path following and collision avoidance of autonomous ship based on deep reinforcement learning. J. Mar. Sci. Technol. 2019, 27, 293–310. [Google Scholar]
- Tu, E.M.; Zhang, G.H.; Rachmawati, L.; Rajabally, E.; Huang, G.B. Exploiting AIS Data for Intelligent Maritime Navigation: A Comprehensive Survey. IEEE Trans. Intell. Transp. Syst. 2018, 19, 1559–1582. [Google Scholar] [CrossRef]
- Wang, Y.; Zhang, J.F.; Chen, X.Q.; Chu, X.M.; Yan, X.P. A spatial-temporal forensic analysis for inland-water ship collisions using AIS data. Saf. Sci. 2013, 57, 187–202. [Google Scholar] [CrossRef]
- Pietrzykowski, Z.; Wołejsza, P.; Nozdrzykowski, Ł.; Borkowski, P. The autonomous navigation system of a sea-going vessel. Ocean Eng. 2022, 261, 112104. [Google Scholar] [CrossRef]
- Ramos, M.A.; Utne, I.B.; Mosleh, A. Collision avoidance on maritime autonomous surface ships: Operators’ tasks and human failure events. Saf. Sci. 2019, 116, 33–44. [Google Scholar] [CrossRef]
- Campbell, S.; Naeem, W.; Irwin, G.W. A review on improving the autonomy of unmanned surface vehicles through intelligent collision avoidance manoeuvres. Annu. Rev. Control 2012, 36, 267–283. [Google Scholar] [CrossRef]
- Li, Y.; Zheng, J. Real-time collision avoidance planning for unmanned surface vessels based on field theory. ISA Trans. 2020, 106, 233–242. [Google Scholar] [CrossRef]
- Woo, J.H.; Kim, N.K. Collision avoidance for an unmanned surface vehicle using deep reinforcement learning. Ocean Eng. 2020, 199, 107001. [Google Scholar] [CrossRef]
- Huang, Y.M.; Chen, L.Y.; Chen, P.F.; Negenborn, R.R.; van Gelder, P.H.A.J.M. Ship collision avoidance methods: State-of-the-art. Saf. Sci. 2020, 121, 451–473. [Google Scholar] [CrossRef]
- Lyu, H.G.; Yin, Y. COLREGS-Constrained Real-time Path Planning for Autonomous Ships Using Modified Artificial Potential Fields. J. Navig. 2018, 72, 588–608. [Google Scholar] [CrossRef]
- Polvara, R.; Sharma, S.; Wan, J.; Manning, A.; Sutton, R. Obstacle Avoidance Approaches for Autonomous Navigation of Unmanned Surface Vehicles. J. Navig. 2018, 71, 241–256. [Google Scholar] [CrossRef]
- Liu, Z.X.; Zhang, Y.M.; Yu, X.; Yuan, C. Unmanned surface vehicles: An overview of developments and challenges. Annu. Rev. Control 2016, 41, 71–93. [Google Scholar] [CrossRef]
- Zhang, R.B.; Tang, P.P.; Su, Y.M.; Li, X.Y.; Yang, G.; Shi, C.T. An Adaptive Obstacle Avoidance Algorithm for Unmanned Surface Vehicle in Complicated Marine Environments. IEEE/CAA J. Autom. Sin. 2014, 1, 385–396. [Google Scholar]
- Li, S.J.; Liu, J.L.; Negenborn, R.R. Distributed coordination for collision avoidance of multiple ships considering ship maneuverability. Ocean Eng. 2019, 181, 212–226. [Google Scholar] [CrossRef]
- Kim, D.; Hirayama, K.; Okimoto, T. Distributed Stochastic Search Algorithm for Multi-ship Encounter Situations. J. Navig. 2017, 70, 699–718. [Google Scholar] [CrossRef]
- Praczyk, T. Neural anti-collision system for Autonomous Surface Vehicle. Neurocomputing 2015, 149, 559–572. [Google Scholar] [CrossRef]
- Lisowski, J. Synthesis of a Path-Planning Algorithm for Autonomous Robots Moving in a Game Environment during Collision Avoidance. Electronics 2021, 10, 675. [Google Scholar] [CrossRef]
- Cheng, Y.; Zhang, W. Concise deep reinforcement learning obstacle avoidance for underactuated unmanned marine vessels. Neurocomputing 2018, 272, 63–73. [Google Scholar] [CrossRef]
- Fang, M.C.; Tsai, K.Y.; Fang, C.C. A simplified simulation model of ship navigation for safety and collision avoidance in heavy traffic areas. J. Navig. 2018, 71, 837–860. [Google Scholar] [CrossRef]
- Song, L.; Su, B.Y.; Dong, C.Z.P.; Shen, D.W.; Xiang, E.Z.Q.; Mao, F.P.X. A two-level dynamic obstacle avoidance algorithm for unmanned surface vehicles. Ocean Eng. 2018, 170, 351–360. [Google Scholar] [CrossRef]
- Tsou, M.C. Multi-target collision avoidance route planning under an ECDIS framework. Ocean Eng. 2016, 121, 268–278. [Google Scholar] [CrossRef]
- Zhai, P.Y.; Zhang, Y.J.; Wang, S.B. Intelligent Ship Collision Avoidance Algorithm Based on DDQN with Prioritized Experience Replay under COLREGs. J. Mar. Sci. Eng. 2022, 10, 585. [Google Scholar] [CrossRef]
- Wang, W.X.; Liu, C. An efficient ship autopilot design using observer-based model predictive control. Proc. Inst. Mech. Eng. Part M J. Eng. Marit. Environ. 2020, 235, 203–212. [Google Scholar] [CrossRef]
- Liu, C.; Li, C.; Li, W.H. Computationally efficient MPC for path following of underactuated marine vessels using projection neural network. Neural Comput. Appl. 2019, 32, 7455–7464. [Google Scholar] [CrossRef]
- Skorohod, B.A. Obstacles avoidance for autonomous marine vehicles based on the model predictive control. J. Phys. Conf. Ser. 2019, 1333, 042030. [Google Scholar] [CrossRef]
- Fossen, T.I. Guidance and Control of Ocean Vehicles; John Wiley & Sons: Chichester, UK, 1994. [Google Scholar]
- Tsou, M.C.; Kao, S.L.; Su, C.M. Decision Support from Genetic Algorithms for Ship Collision Avoidance Route Planning and Alerts. J. Navig. 2010, 63, 167–182. [Google Scholar] [CrossRef]
- Wang, X.; Liu, Z.J.; Cai, Y. The ship maneuverability based collision avoidance dynamic support system in close-quarters situation. Ocean Eng. 2017, 146, 486–497. [Google Scholar] [CrossRef]
- Naeem, W.; Irwin, G.W.; Yang, A. COLREGs-based collision avoidance strategies for unmanned surface vehicles. Mechatronics 2012, 22, 669–678. [Google Scholar] [CrossRef]
- Zhao, L.; Roh, M.L. COLREGs-compliant multiship collision avoidance based on deep reinforcement learning. Ocean Eng. 2019, 191, 106436. [Google Scholar] [CrossRef]
- Zheng, Z.W.; Sun, L. Path following control for marine surface vessel with uncertainties and input saturation. Neurocomputing 2015, 177, 158–167. [Google Scholar] [CrossRef]
- Liu, L.; Wang, D.; Peng, Z.H. ESO-Based Line-of-Sight Guidance Law for Path Following of Underactuated Marine Surface Vehicles With Exact Sideslip Compensation. Ocean Eng. 2017, 42, 477–487. [Google Scholar] [CrossRef]
- Oh, S.R.; Sun, J. Path following of underactuated marine surface vessels using line-of-sight based model predictive control. Ocean Eng. 2010, 37, 289–295. [Google Scholar] [CrossRef]
- Wang, L.P. Model Predictive Control System Design and Implementation Using MATLAB; Springer: Berlin, Germany, 2009. [Google Scholar]
- Liu, C.; Sun, J.; Zou, Z.J. Integrated line of sight and model predictive control for path following and roll motion control using rudder. J. Ship Res. 2015, 59, 99–112. [Google Scholar] [CrossRef]
- Gao, Q.; Song, L.; Yao, J. RANS Prediction of Wave-Induced Ship Motions, and Steady Wave Forces and Moments in Regular Waves. J. Mar. Sci. Eng. 2021, 9, 1459. [Google Scholar] [CrossRef]
- Borkowski, P. Numerical Modeling of Wave Disturbances in the Process of Ship Movement Control. Algorithms 2018, 11, 130. [Google Scholar] [CrossRef]





























| Initial Position (n mile) | Initial Course | The Next Waypoint | |
|---|---|---|---|
| Ship–1 | (0,0) | 45° | (10,10) |
| Ship–2 | (8,8.5) | 225° | (−2,−2) |
| Ship–3 | (0,9) | 315° | (9,−2) |
| Ship–4 | (9,4) | 170° | (−5,5) |
| Initial Position (n mile) | Initial Course | The Next Waypoint | |
|---|---|---|---|
| Ship–1 | (0,0) | 45° | (10,10) |
| Ship–2 | (8,8.5) | 225° | (−2,−2) |
| Ship–3 | (0,9) | 315° | (9,−2) |
| Ship–4 | (9,4) | 170° | (−5,6.4) |
Publisher’s Note: MDPI stays neutral with regard to jurisdictional claims in published maps and institutional affiliations. |
© 2022 by the authors. Licensee MDPI, Basel, Switzerland. This article is an open access article distributed under the terms and conditions of the Creative Commons Attribution (CC BY) license (https://creativecommons.org/licenses/by/4.0/).
Share and Cite
Sun, T.; Liu, C.; Xu, S.; Hu, Q.; Li, C. COLREGS-Complied Automatic Collision Avoidance for the Encounter Situations of Multiple Vessels. J. Mar. Sci. Eng. 2022, 10, 1688. https://doi.org/10.3390/jmse10111688
Sun T, Liu C, Xu S, Hu Q, Li C. COLREGS-Complied Automatic Collision Avoidance for the Encounter Situations of Multiple Vessels. Journal of Marine Science and Engineering. 2022; 10(11):1688. https://doi.org/10.3390/jmse10111688
Chicago/Turabian StyleSun, Ting, Cheng Liu, Shuang Xu, Qizhi Hu, and Cheng Li. 2022. "COLREGS-Complied Automatic Collision Avoidance for the Encounter Situations of Multiple Vessels" Journal of Marine Science and Engineering 10, no. 11: 1688. https://doi.org/10.3390/jmse10111688
APA StyleSun, T., Liu, C., Xu, S., Hu, Q., & Li, C. (2022). COLREGS-Complied Automatic Collision Avoidance for the Encounter Situations of Multiple Vessels. Journal of Marine Science and Engineering, 10(11), 1688. https://doi.org/10.3390/jmse10111688

