Numerical Simulation Investigation of Vortex Finder Depth Effects on Flow Field and Performance of Desanding Mini-Hydrocyclones
Abstract
1. Introduction
2. Numerical Modeling and Solution Method
2.1. Physical Model and Discrete Grids
2.2. Mathematics Model
2.3. Numerical Setting
3. Experimental Validation and Analysis
3.1. Continuous Phase Simulation Validation
3.2. Dispersed Phase Simulation Verification
4. Results and Discussion
4.1. Continuous Phase
4.1.1. Analysis of Radial Velocity Simulation
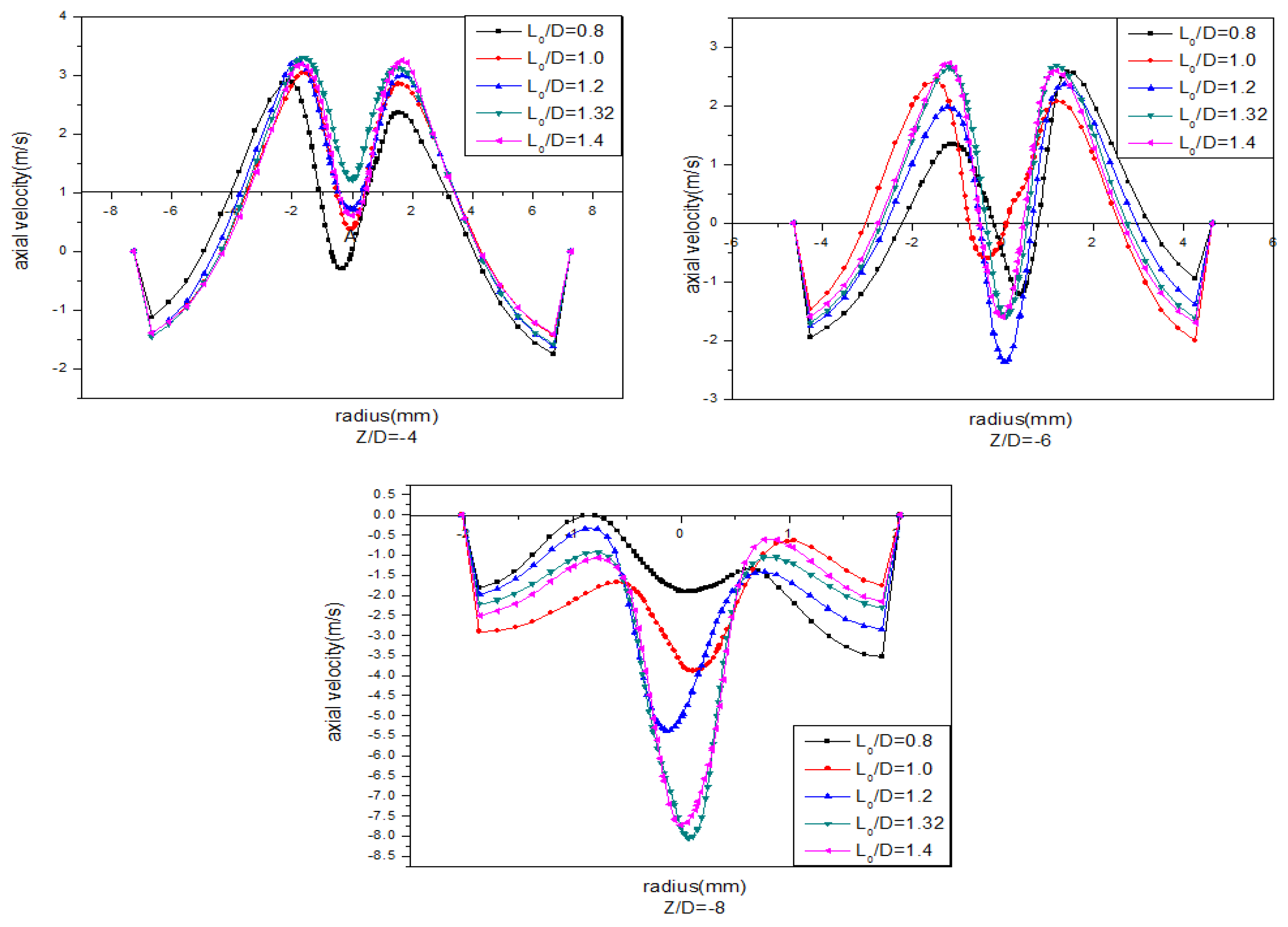
4.1.2. Axial Velocity Simulation Results
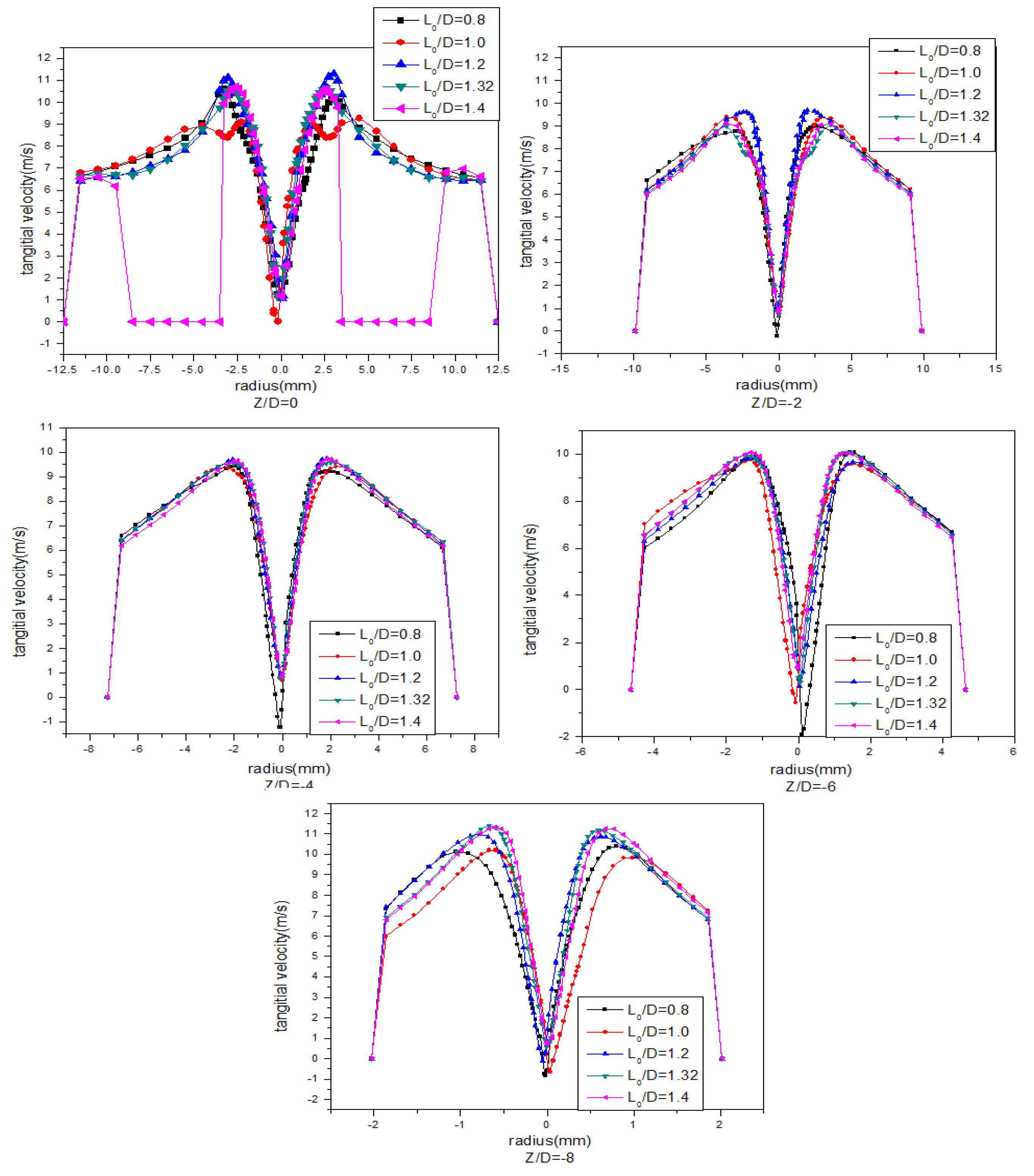
4.1.3. Analysis of Tangential Velocity Simulation
4.1.4. Analysis of Streamline Diagram
4.1.5. Analysis on Locus of Zero Vertical Velocity (LZVV)
4.1.6. Analysis of Turbulent Kinetic Energy Characteristics
4.2. Dispersed Phase
4.2.1. Separation Efficiency
4.2.2. Dispersed Phase Particle Concentration Distribution
5. Conclusions
Author Contributions
Funding
Institutional Review Board Statement
Informed Consent Statement
Data Availability Statement
Conflicts of Interest
Nomenclature
| Symbols | |
| D | diameter of the cyclone separator’s cylindrical section (mm) |
| L0 | vortex finder depth of the mini-hydrocyclones (mm) |
| LS | cylindrical length of the mini-hydrocyclones (mm) |
| a | inlet width (mm) |
| b | inlet height (mm) |
| θ | cone angle (°) |
| du | underflow orifice diameter of the mini-hydrocyclones (mm) |
| d0 | overflow orifice diameter of the mini-hydrocyclones (mm) |
| C | constant |
| u | Velocity of continuous phase (mm) |
| P | pressure (Pa) |
| ρ | particle density (kg/m3) |
| I | turbulence intensity |
| turbulent kinetic energy | |
| ε | turbulent dissipation rate |
| time-average pulsation velocity of the turbulent flow | |
| turbulent feature size | |
| DH | hydraulic diameter |
| Cμ | empirical constant |
| Re | Reynolds number |
| inlet velocity (m/s) | |
| R | Radial location (mm) |
| RMS values of pulsating velocity of x | |
| RMS values of pulsating velocity of y | |
| RMS values of pulsating velocity of z | |
| η | separation efficiency |
| the mass flow rate of dispersed phase solid particles at the underflow outlet | |
| the mass flow rate of dispersed phase solid particles at the inlet | |
References
- Liu, Y.; Lu, H.; Li, Y.; Xu, H.; Pan, Z.; Dai, P.; Wang, H.; Yang, Q. A review of treatment technologies for produced water in offshore oil and gas fields. Sci. Total Environ. 2021, 775, 145485. [Google Scholar] [CrossRef] [PubMed]
- Liu, Y.; Lu, H.; Liu, P.; Li, Y.; Wu, S.; Dai, P.; Yang, Q. Treatment of the complex liquid phase that contains produced water, condensate oil, and floccule from an offshore gas field: A pilot system for the South China Sea. J. Nat. Gas Sci. Eng. 2021, 94, 104125. [Google Scholar] [CrossRef]
- Guo, J.; Gong, D.-T.; Zhang, J.; Wang, L.-Y.; Zheng, Z.-C.; Li, K.-M. Studies on mechanism of sand removal from crude oil. J. Hydrodyn. 2006, 18, 385–390. [Google Scholar] [CrossRef][Green Version]
- Mohanty, S.; Das, B. Optimization studies of hydrocyclone for beneficiation of iron ore slimes. Miner. Process. Extr. Metall. Rev. 2010, 31, 86–96. [Google Scholar] [CrossRef]
- Xu, P.; Wu, Z.; Mujumdar, A.; Yu, B. Innovative hydrocyclone inlet designs to reduce erosion-induced wear in mineral de-watering processes. Dry. Technol. 2009, 27, 201–211. [Google Scholar] [CrossRef]
- Liu, Y.; Wang, H.-L.; Xu, Y.-X.; Fang, Y.-Y.; Chen, X.-R. Sludge disintegration using a hydrocyclone to improve biological nutrient removal and reduce excess sludge. Sep. Purif. Technol. 2017, 177, 192–199. [Google Scholar] [CrossRef]
- Pan, G.; Chang, Y.; Fu, M. Computational fluid dynamics analysis of shroud design on hemodynamic performance and blood damage in a centrifugal blood pump. Comput. Model. Eng. Sci. 2018, 116, 199–213. [Google Scholar] [CrossRef]
- Bai, Z.S.; Wang, H.L.; Tu, S.T. Numerical and experimental study on the removal of catalyst particles from oil slurry by hy-drocyclone. Pet. Sci. Technol. 2010, 28, 525–533. [Google Scholar] [CrossRef]
- Yang, Q.; Li, Z.-M.; Lv, W.-J.; Wang, H.-L. On the laboratory and field studies of removing fine particles suspended in wastewater using mini-hydrocyclones. Sep. Purif. Technol. 2013, 110, 93–100. [Google Scholar] [CrossRef]
- He, L.; Ji, L.; He, Y.; Liu, Y.; Chen, S.; Chu, K.; Kuang, S. Experimental and numerical analysis of Chinese hamster ovary cell viability loss in mini-hydrocycloness. Sep. Purif. Technol. 2022, 295, 121203. [Google Scholar] [CrossRef]
- Raesi, R.; Maddahian, R. Numerical investigation of air-injected deoiling hydrocyclones using population balance model. Chem. Eng. Sci. 2022, 248, 117103. [Google Scholar] [CrossRef]
- He, F.; Wang, H.; Wang, J.; Li, S.; Fan, Y.; Xu, X. Experimental study of mini-hydrocyclones with different vortex finder depths using Particle Imaging Velocimetry. Sep. Purif. Technol. 2020, 236, 116296. [Google Scholar] [CrossRef]
- He, F.; Zhang, Y.; Wang, J.; Yang, Q.; Wang, H.; Tan, Y. Flow Patterns in Mini-hydrocycloness with Different Vortex Finder Depths. Chem. Eng. Technol. 2013, 36, 1935–1942. [Google Scholar] [CrossRef]
- Bhattacharyya, P. Theoretical study of the flow field inside a hydrocyclone with vortex finder diameter greater than that of apex opening—II. Turbulent case. Appl. Sci. Res. 1980, 36, 213–225. [Google Scholar] [CrossRef]
- Liu, Y.; Yang, Q.; Qian, P.; Wang, H.-L. Experimental study of circulation flow in a light dispersion hydrocyclone. Sep. Purif. Technol. 2014, 137, 66–73. [Google Scholar] [CrossRef]
- Wang, B.; Yu, A. Numerical study of the gas–liquid–solid flow in hydrocyclones with different configuration of vortex finder. Chem. Eng. J. 2008, 135, 33–42. [Google Scholar] [CrossRef]
- Lv, W.J.; Huang, C.; Chen, J.Q.; Liu, H.L.; Wang, H.L. An experimental study of flow distribution and separation performance in a UU-type mini-hydrocyclones group. Sep. Purif. Technol. 2015, 150, 37–43. [Google Scholar] [CrossRef]
- Zhao, Q.; Cui, B.; Wei, D.; Song, T.; Feng, Y. Numerical analysis of the flow field and separation performance in hydrocyclones with different vortex finder wall thickness. Powder Technol. 2019, 345, 478–491. [Google Scholar] [CrossRef]
- Oliveira, D.; Almeida, C.; Vieira, L.; Damasceno, J.; Barrozo, M. Influence of geometric dimensions on the performance of a filtering hydrocyclone: An experimental and CFD study. Braz. J. Chem. Eng. 2009, 26, 575–582. [Google Scholar] [CrossRef]
- Vega-Garcia, D.; Brito-Parada, P.; Cilliers, J. Optimising small hydrocyclone design using 3D printing and CFD simulations. Chem. Eng. J. 2018, 350, 653–659. [Google Scholar] [CrossRef]
- Li, F.; Liu, P.; Yang, X.; Zhang, Y.; Li, X.; Jiang, L.; Wang, H.; Fu, W. Numerical Analysis on the Effect of Combined-Curve Tapered Segment on the Flow Field and Separation Performance of Hydrocyclones. Arab. J. Sci. Eng. 2022, 47, 6193–6207. [Google Scholar] [CrossRef]
- Niazi, S.; Habibian, M.; Rahimi, M. Performance evaluation of a uniflow mini-hydrocyclones for removing fine heavy metal particles from water. Chem. Eng. Res. Des. 2017, 126, 89–96. [Google Scholar] [CrossRef]
- Yang, Q.; Lv, W.-J.; Ma, L.; Wang, H.-L. CFD study on separation enhancement of mini-hydrocyclones by particulate arrangement. Sep. Purif. Technol. 2013, 102, 15–25. [Google Scholar] [CrossRef]
- Vakamalla, T.R.; Koruprolu, V.B.R.; Arugonda, R.; Mangadoddy, N. Development of novel hydrocyclone designs for improved fines classification using multiphase CFD model. Sep. Purif. Technol. 2017, 175, 481–497. [Google Scholar] [CrossRef]
- Xu, J.R.; Luo, Q.; Qiu, J.C. Research on the preseparation space in hydrocyclones. Int. J. Miner. Process. 1991, 31, 1–10. [Google Scholar] [CrossRef]
- Wang, C.C.; Wu, R.M. Experimental and simulation of a novel hydrocyclone-tubular membrane as overflow pipe. Sep. Purif. Technol. 2018, 198, 60–67. [Google Scholar] [CrossRef]
- Olson, T.; Van Ommen, R. Optimizing hydrocyclone design using advanced CFD model. Miner. Eng. 2004, 17, 713–720. [Google Scholar] [CrossRef]
- Ni, L.; Tian, J.; Song, T.; Jong, Y.; Zhao, J. Optimizing geometric parameters in hydrocyclones for enhanced separations: A review and perspective. Sep. Purif. Rev. 2019, 48, 30–51. [Google Scholar] [CrossRef]
- Slack, M.; Del Porte, S.; Engelman, M. Designing automated computational fluid dynamics modelling tools for hydrocyclone design. Miner. Eng. 2004, 17, 705–711. [Google Scholar] [CrossRef]
- Murthy, Y.R.; Bhaskar, K.U. Parametric CFD studies on hydrocyclone. Powder Technol. 2012, 230, 36–47. [Google Scholar] [CrossRef]
- Jing, J.; Zhang, S.; Qin, M.; Luo, J.; Shan, Y.; Cheng, Y.; Tan, J. Numerical simulation study of offshore heavy oil desanding by hydrocyclones. Sep. Purif. Technol. 2021, 258, 118051. [Google Scholar] [CrossRef]
- Zhao, Z.; Zhou, L.; Liu, B.; Cao, W. Computational fluid dynamics and experimental investigation of inlet flow rate effects on separation performance of desanding hydrocyclone. Powder Technol. 2022, 402, 117363. [Google Scholar] [CrossRef]
- Wang, B.; Chu, K.; Yu, A.; Vince, A. Modeling the multiphase flow in a dense medium cyclone. Ind. Eng. Chem. Res. 2009, 48, 3628–3639. [Google Scholar] [CrossRef]
- Pendar, M.R.; Esmaeilifar, E.; Roohi, E. LES study of unsteady cavitation characteristics of a 3-D hydrofoil with wavy leading edge. Int. J. Multiph. Flow 2020, 132, 103415. [Google Scholar] [CrossRef]
- Pendar, M.R.; Roohi, E. Cavitation characteristics around a sphere: An LES investigation. Int. J. Multiph. Flow 2018, 98, 1–23. [Google Scholar] [CrossRef]















| Mini-hydrocyclones | No.1 | No.2 | No.3 | No.4 | No.5 |
|---|---|---|---|---|---|
| L0/D | 0.8 | 1.0 | 1.2 | 1.32 | 1.4 |
| L0/Ls | 0.57 | 0.71 | 0.86 | 0.94 | 1 |
| a × b (mm × mm) | 4 × 8 | 4 × 8 | 4 × 8 | 4 × 8 | 4 × 8 |
| du/D | 0.12 | 0.12 | 0.12 | 0.12 | 0.12 |
| d0/D | 0.28 | 0.28 | 0.28 | 0.28 | 0.28 |
| θ(°) | 6 | 6 | 6 | 6 | 6 |
| D0/D | 0.68 | 0.68 | 0.68 | 0.68 | 0.68 |
| Parameters | Value | Unit |
|---|---|---|
| Inlet velocity () | 7.6 | m/s |
| Reynolds number () | 3.244 × 104 | |
| Turbulence intensity (I) | 4.25 | % |
| Dydraulic diameter (DH) | 5.3 | mm |
| Turbulent kinetic energy () | 0.6812 | m2/s2 |
| Turbulent dissipation rate (ε) | 33.1492 | m2/s3 |
Publisher’s Note: MDPI stays neutral with regard to jurisdictional claims in published maps and institutional affiliations. |
© 2022 by the authors. Licensee MDPI, Basel, Switzerland. This article is an open access article distributed under the terms and conditions of the Creative Commons Attribution (CC BY) license (https://creativecommons.org/licenses/by/4.0/).
Share and Cite
He, F.; Zhao, D.; Wang, J.; Huang, Y.; Liu, Q. Numerical Simulation Investigation of Vortex Finder Depth Effects on Flow Field and Performance of Desanding Mini-Hydrocyclones. J. Mar. Sci. Eng. 2022, 10, 1600. https://doi.org/10.3390/jmse10111600
He F, Zhao D, Wang J, Huang Y, Liu Q. Numerical Simulation Investigation of Vortex Finder Depth Effects on Flow Field and Performance of Desanding Mini-Hydrocyclones. Journal of Marine Science and Engineering. 2022; 10(11):1600. https://doi.org/10.3390/jmse10111600
Chicago/Turabian StyleHe, Fengqin, Decao Zhao, Jiangang Wang, Yuan Huang, and Qibin Liu. 2022. "Numerical Simulation Investigation of Vortex Finder Depth Effects on Flow Field and Performance of Desanding Mini-Hydrocyclones" Journal of Marine Science and Engineering 10, no. 11: 1600. https://doi.org/10.3390/jmse10111600
APA StyleHe, F., Zhao, D., Wang, J., Huang, Y., & Liu, Q. (2022). Numerical Simulation Investigation of Vortex Finder Depth Effects on Flow Field and Performance of Desanding Mini-Hydrocyclones. Journal of Marine Science and Engineering, 10(11), 1600. https://doi.org/10.3390/jmse10111600

