Study on the Comparison of the Hydraulic Performance and Pressure Pulsation Characteristics of a Shaft Front-Positioned and a Shaft Rear-Positioned Tubular Pump Devices
Abstract
:1. Introduction
2. Numerical Simulation
2.1. Three Dimensional Modeling
2.2. Turbulence Model
2.3. Numerical Simulation Setup
2.4. Grid Division and Irrelevance Verification
3. Experiment
4. Results and Discussion
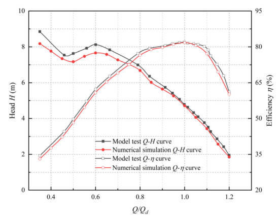
4.1. Analysis of the External Characteristics
4.2. Analysis of the Flow Pattern in Pump Devices
4.3. Analysis of Hydraulic Performance of Inlet Passage
4.4. Analysis of the Hydraulic Performance of Outlet Passage
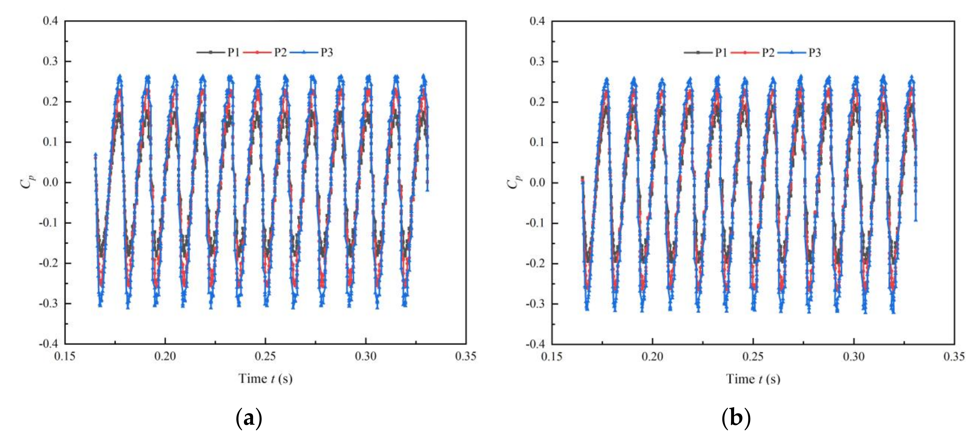
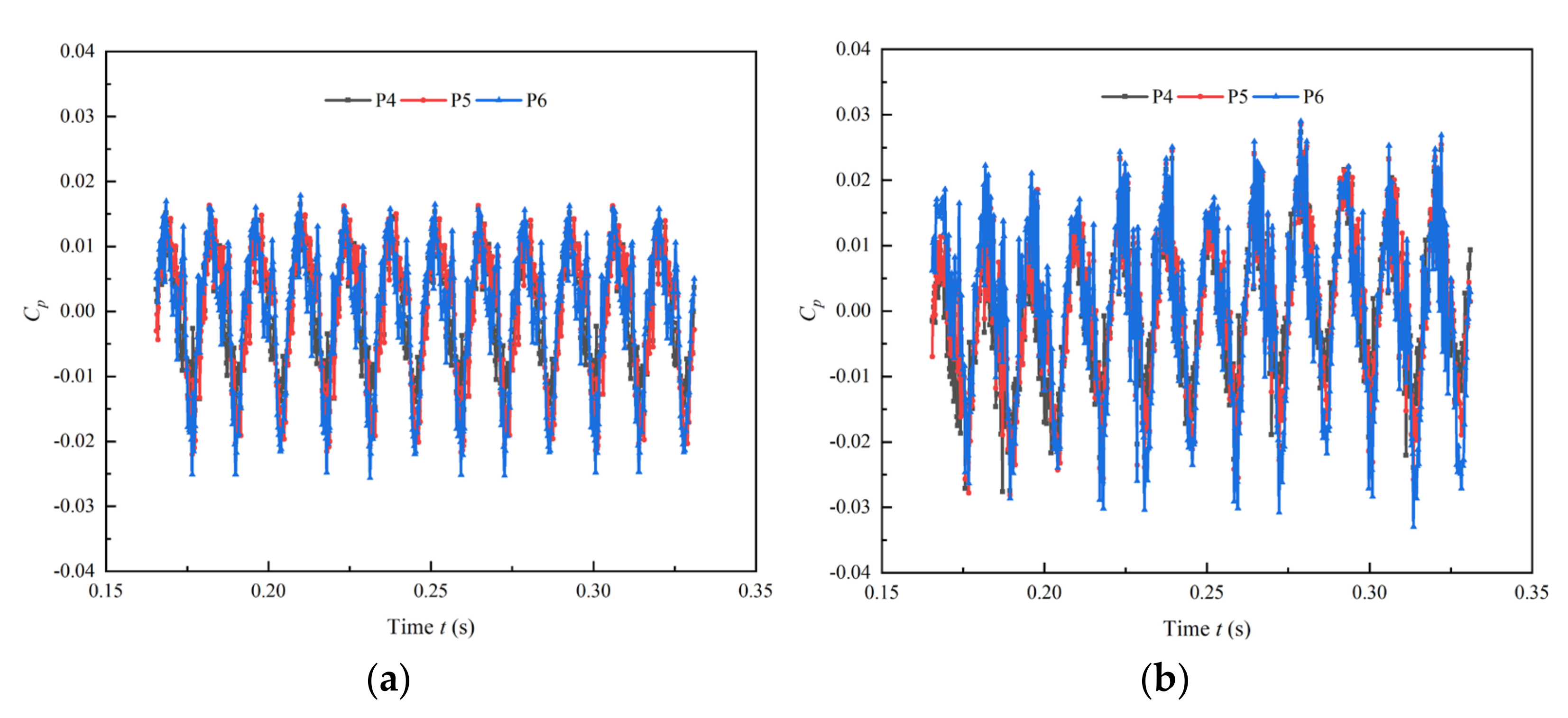
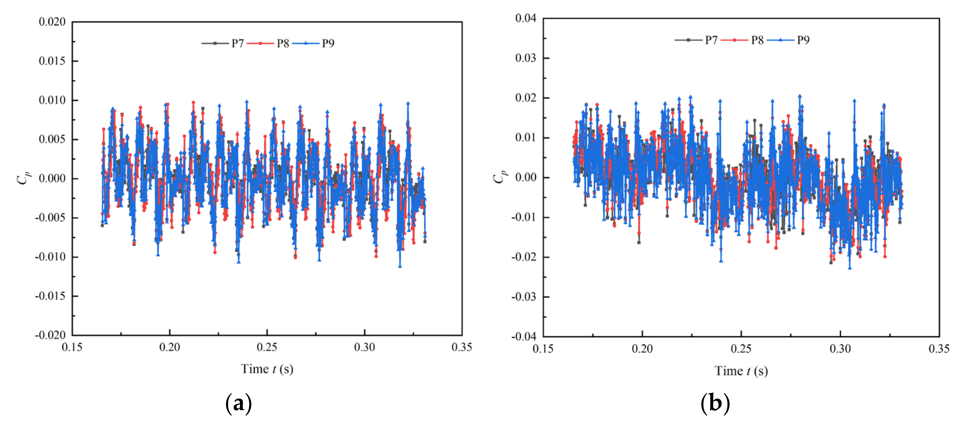
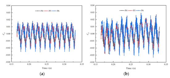
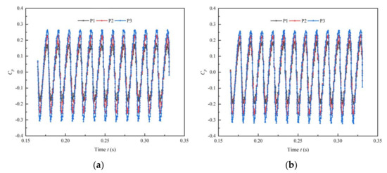
4.5. Analysis of Pressure Pulsation Characteristics
5. Conclusions
- In the case of optimized shaft front-positioned and shaft rear-positioned pump devices, the efficiency of the shaft front-positioned pump device is higher than that of the shaft rear-positioned pump device. The highest efficiency of the shaft front and rear positioned pump device are 81.78% and 80.26%, respectively; both pump devices have excellent hydraulic performance.
- The hydraulic performance of the inlet passage of the two pump devices is excellent, and can provide good flow conditions for the impeller, and the hydraulic loss is very small. The hydraulic performance of the straight outlet passage is better than that of the shaft outlet passage, and the gap increases with the increase of flow rate. The hydraulic loss of of the outlet passage has a great influence on the total loss of the pump device. In practical engineering, the outlet passage should be optimized to reduce the loss.
- Under design conditions, pressure pulsation amplitude at the impeller inlet is the largest, and that at the guide vane outlet is the smallest. The pressure pulsation amplitude increases from the hub to the shroud. The pressure pulsation amplitude of the shaft rear-positioned pump device is larger than that of the shaft front-positioned pump device. The pressure pulsation at the impeller inlet and outlet is greatly affected by the number of blades, and the main frequency is three times the RF, while the number of blades has little effect on pressure pulsation at the guide vane outlet. The pressure pulsation caused by the internal flow of the pump has little influence on the pump’s performance and will not cause obvious vibration and noise.
- The optimized shaft rear-positioned pump device can also have excellent hydraulic performance, which makes up for the low efficiency in practical engineering.
Author Contributions
Funding
Institutional Review Board Statement
Informed Consent Statement
Data Availability Statement
Conflicts of Interest
References
- Liu, C. Researches and developments of axial-flow pump system. Trans. Chin. Soc. Agric. Mach. 2015, 46, 49–59. [Google Scholar]
- Lu, W.G.; Dong, L.; Wang, Z.F.; Lu, L.G. Cross influence of discharge and circulation on head loss of conduit of pump device with low head. Appl. Math. Mech. 2012, 33, 1533–1544. [Google Scholar] [CrossRef]
- Ji, D.T.; Lu, W.G.; Lu, L.G.; Xu, L.; Liu, J.; Shi, W. Characteristics and application of saddle-shaped zone in performance curve of axial-flow pump system. J. Drain. Irrig. Mach. Eng. 2021, 39, 1081–1086. [Google Scholar]
- Xie, L.H.; Wang, F.J.; He, C.L.; Su, S.L.; Zhang, S.C.; Wang, B.L. Experimental investigation on hydrodynamic characteristics of a 15 degree slanted axial-flow pump system. J. Hydraul. Eng. 2019, 50, 798–805. [Google Scholar]
- Wang, B.H.; Wang, F.J.; Xie, L.H. Flow deviation in the discharge passage of a slanted axial-flow pump system. J. Hydraul. Eng. 2021, 52, 829–840. [Google Scholar]
- Xu, L.; Lu, L.G.; Chen, W.; Gang, W. Flow pattern analysis on inlet and outlet conduit of shaft tubular pump system of Pizhou pumping station in South-to-North Water Diversion Project. Trans. Chin. Soc. Agric. Eng. 2012, 37, 653–658. [Google Scholar]
- Xu, L.; Lu, L.G.; Chen, W.; Wang, G. Study on comparison of hydraulic design schemes for shaft tubular pump device. J. Hydroelectr. Eng. 2011, 30, 207–215. [Google Scholar]
- Lu, W.G.; Zhang, X. Research on model test of hydraulic characteristics for super-low head shaft-well tubular pump unit. J. Irrig. Drain. 2012, 31, 103–106. [Google Scholar]
- Liu, J.; Zheng, Y.; Zhou, D.Q.; Mao, Y.; Zhang, L. Analysis of basic flow pattern in shaft front-positioned and shaft rear-positioned tubular pump systems. Trans. Chin. Soc. Agric. Mach. 2010, 41, 32–38. [Google Scholar]
- Yang, F.; Liu, C.; Tang, F.P.; Cheng, L.; Lu, D.W. Numerical simulation of 3D internal flow and performance analysis of the shaft tubular pump system. J. Hydroelectr. Eng. 2014, 33, 178–184. [Google Scholar]
- Shi, L.J.; Liu, X.Q.; Tang, F.P.; Yao, Y.; Xie, R.; Zhang, W. Design optimization and experimental analysis of bidirectional shaft tubular pump device. Trans. Chin. Soc. Agric. Mach. 2016, 47, 85–91. [Google Scholar]
- Xie, R.S.; Wu, Z.; He, Y.; Tang, F.P.; Xie, C.L.; Tu, L.L. Optimization research on passage of bidirectional shaft tubular pump device. Trans. Chin. Soc. Agric. Mach. 2015, 46, 68–74. [Google Scholar]
- Xia, Y.; Tang, F.P.; Shi, L.J.; Xie, C.-I.; Zhang, W.-P. Numerical simulation and experimental analysis of bidirectional shaft tubular pump device. China Rural. Water Hydropower 2015, 7, 149–153. [Google Scholar]
- Wang, Q.J.; Zheng, Y.; Kan, K. Optimization analysis of inlet and outlet channels of shaft tubular pump. Water Resour. Power 2015, 33, 132–135. [Google Scholar]
- Zheng, Y.; Liu, J.; Zhou, D.Q.; Mao, Y.; Liu, M. Pressure pulsation of model test in large-size axial-flow pump. J. Drain. Irrig. Mach. Eng. 2010, 28, 51–55. [Google Scholar]
- Wang, F.J.; Zhang, L.; Zhang, Z.M. Analysis on pressure fluctuation of unsteady flow in axial-flow pump. J. Hydraul. Eng. 2007, 8, 1003–1009. [Google Scholar]
- Al-Obaidi, A.R. Analysis of the effect of various impeller blade angles on characteristic of the axial pump with pressure fluctuations based on time and frequency domain investigations. Iran. J. Sci. Technol. Trans. Mech. Eng. 2021, 45, 441–459. [Google Scholar] [CrossRef]
- Gonzalez, J.; Santolaria, C. Unsteady flow structure and global variables in a centrifugal pump. J. Fluids Eng. Trans. ASME 2006, 128, 937–946. [Google Scholar] [CrossRef]
- Lu, G.L. Optimal Hydraulic Design of High Performance Large Low Head Pump System; China Water Power Press: Beijing, China, 2013. [Google Scholar]
- Bhatti, M.M.; Abdelsalam, S.I. Thermodynamic entropy of a magnetized Ree-Eyring particle-fluid motion with irreversibility process: A mathematical paradigm. J. Appl. Math. Mech. 2021, 101. [Google Scholar] [CrossRef]
- Patil, A.; Sundar, S.; Delgado, A.; Gamboa, J. CFD based evaluation of conventional electrical submersible pump for high-speed application. J. Pet. Sci. Eng. 2019, 182, 106287. [Google Scholar] [CrossRef]
- Zawistowski, T.; Kleiber, M. Gap flow simulation methods in high pressure variable displacement axial piston pumps. Arch. Comput. Methods Eng. 2017, 24, 519–542. [Google Scholar] [CrossRef] [Green Version]
- Caruso, F.; Meskell, C. Effect of the axial gap on the energy consumption of a single-blade wastewater pump. Inst. Mech. Eng. Part A J. Power Energy 2021, 235, 432–439. [Google Scholar] [CrossRef]
- Jafarzadeh, B.; Hajari, A.; Alishahi, M.M.; Akbari, M.H. The flow simulation of a low-specific-speed high-speed centrifugal pump. Appl. Math. Model. 2011, 35, 242–249. [Google Scholar] [CrossRef]
- Wang, F.J. Analysis Method of Flow in Pumps and Pumping Stations; China Water Power Press: Beijing, China, 2019. [Google Scholar]
- Yakhot, V.; Orszag, S.A. Renormalization group analysis of turbulence: Basic theory. J. Sci. Comput. 1986, 1, 3–51. [Google Scholar] [CrossRef]
- Cheng, L.; Liu, C.; Tang, F.P.; Zhou, J. 3D numerical simulation and performance predication of vertical axial flow pumping station by RNG turbulent model. J. Mech. Eng. 2009, 45, 252–257. [Google Scholar] [CrossRef]
- Chen, Q.G.; Xu, Z.; Zhang, Y.J. Application of RNG k–ε models in numerical simulation of engineering turbulent flows. Chin. Q. Mech. 2003, 24, 88–95. [Google Scholar]
- Xu, Z.H.; Wu, Y.L.; Chen, N.X.; Liu, Y.; Liang, L.; Wu, Y.Z. Simulation of turbulent flow in pump based on sliding mesh and RNG k–ε model. J. Eng. 2005, 26, 66–68. [Google Scholar]
- Zheng, Y.J.; Wang, K.; Lei, X.C.; Tang, F. 3D numerical simulation in inlet passages of pumping station by RNG k–ε turbulent model with wall-function law. Water Resour. Power 2008, 26, 123–125. [Google Scholar]
- Zierke, W.C.; Straka, W.A. Flow visualization and the three-dimensional flow in an axial-flow pump. J. Propuls. Power 1996, 12, 250–259. [Google Scholar] [CrossRef]
- Zhang, D.S.; Shi, L.; Chen, J.; Pan, Q.; Shi, W.D. Experimental analysis on characteristic of cavitation in tip region of axial flow pump impeller. J. Zhejiang Univ. 2016, 8, 1585–1592. [Google Scholar]
- Zhang, D.S.; Shi, L.; Shi, W.; Zhao, R.; Wang, H.; van Esch, B.P.M. Numerical analysis of unsteady tip leakage vortex cavitation cloud and unstable suction-side-perpendicular cavitating vortices in an axial flow pump. Int. J. Multiph. Flow 2015, 77, 244–259. [Google Scholar] [CrossRef]




















| Parameter | Impeller Diameter D (mm) | Rotation Speed n (r/min) | Design Flow Qd (L/s) | Blade Number | Guide Vane Number |
|---|---|---|---|---|---|
| Value | 300 | 1450 | 388 | 3 | 5 |
| Inlet | Outlet | Wall | Time Step (s) | Total Time (s) | Convergence Accuracy | |
|---|---|---|---|---|---|---|
| Setting | 1 atm | Mass flow rate | No-slip | 1.15 × 10−4 | 0.331 | 1 × 10−4 |
| Measuring Items | Instrument | Instrument Model | Accuracy |
|---|---|---|---|
| Head | Differential pressure transmitter | LDG-500s | ±0.1% |
| Flow rate | Electromagnetic flowmeter | V15712-HD1A1D7D | ±0.2% |
| Torque and rotation speed | Torque and speed sensor | JCZL2-500 | ±0.1% |
Publisher’s Note: MDPI stays neutral with regard to jurisdictional claims in published maps and institutional affiliations. |
© 2021 by the authors. Licensee MDPI, Basel, Switzerland. This article is an open access article distributed under the terms and conditions of the Creative Commons Attribution (CC BY) license (https://creativecommons.org/licenses/by/4.0/).
Share and Cite
Ji, D.; Lu, W.; Lu, L.; Xu, L.; Liu, J.; Shi, W.; Huang, G. Study on the Comparison of the Hydraulic Performance and Pressure Pulsation Characteristics of a Shaft Front-Positioned and a Shaft Rear-Positioned Tubular Pump Devices. J. Mar. Sci. Eng. 2022, 10, 8. https://doi.org/10.3390/jmse10010008
Ji D, Lu W, Lu L, Xu L, Liu J, Shi W, Huang G. Study on the Comparison of the Hydraulic Performance and Pressure Pulsation Characteristics of a Shaft Front-Positioned and a Shaft Rear-Positioned Tubular Pump Devices. Journal of Marine Science and Engineering. 2022; 10(1):8. https://doi.org/10.3390/jmse10010008
Chicago/Turabian StyleJi, Dongtao, Weigang Lu, Linguang Lu, Lei Xu, Jun Liu, Wei Shi, and Guohao Huang. 2022. "Study on the Comparison of the Hydraulic Performance and Pressure Pulsation Characteristics of a Shaft Front-Positioned and a Shaft Rear-Positioned Tubular Pump Devices" Journal of Marine Science and Engineering 10, no. 1: 8. https://doi.org/10.3390/jmse10010008
APA StyleJi, D., Lu, W., Lu, L., Xu, L., Liu, J., Shi, W., & Huang, G. (2022). Study on the Comparison of the Hydraulic Performance and Pressure Pulsation Characteristics of a Shaft Front-Positioned and a Shaft Rear-Positioned Tubular Pump Devices. Journal of Marine Science and Engineering, 10(1), 8. https://doi.org/10.3390/jmse10010008
