Effects of Biostimulant and Organic Amendment on Soil Properties and Nutrient Status of Lactuca Sativa in a Calcareous Saline-Sodic Soil
Abstract
1. Introduction
2. Materials and Methods
2.1. Experimental Design-Plant Material
2.2. Sampling and Analyses
2.3. Statistical Analysis
3. Results
3.1. The Effect of Biostimulant and Soil Amendment on Soil Chemical Properties
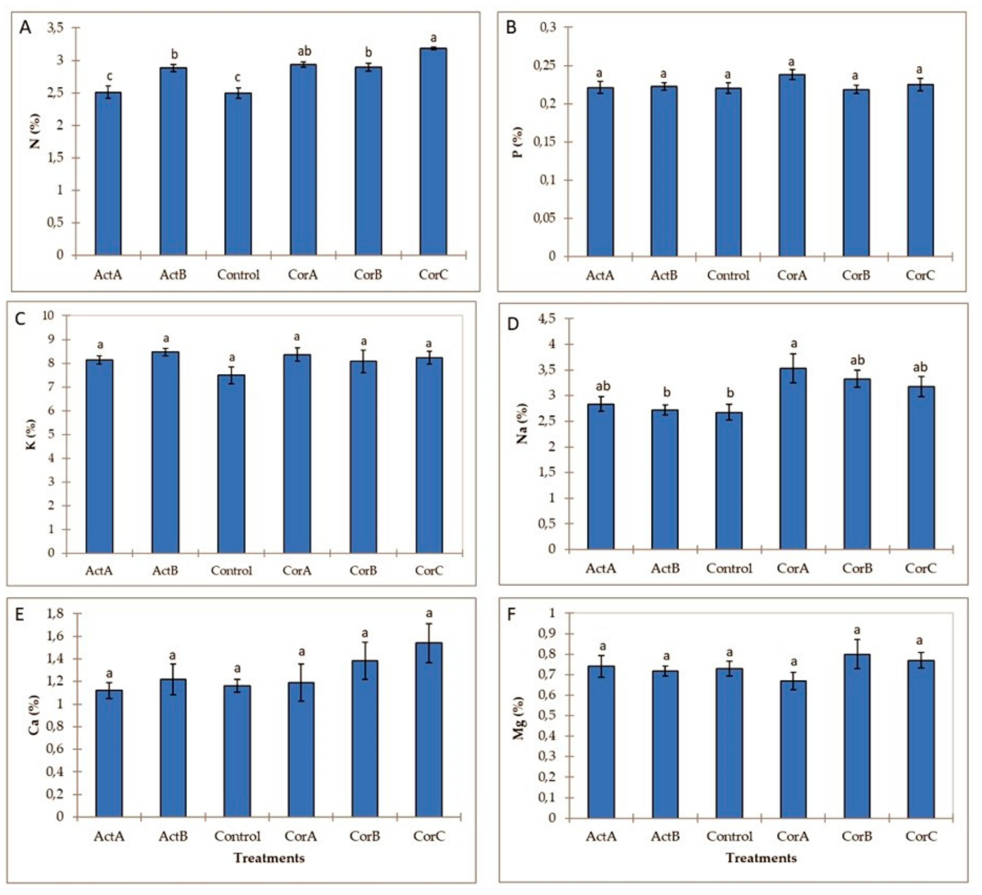
3.2. The Effect of Biostimulant and Soil Amendment on Plant Tissues
4. Discussion
5. Conclusions
Author Contributions
Funding
Acknowledgments
Conflicts of Interest
References
- Shrivastava, P.; Kumar, R. Soil salinity: A serious environmental issue and plant growth promoting bacteria as one of the tools for its alleviation. Saudi J. Biol. Sci. 2015, 22, 123–131. [Google Scholar] [CrossRef] [PubMed]
- Zia-ur-Rehman, M.; Murtaza, G.; Qayyum, M.F.; Saifullah, R.M.; Ali, S.; Akmal, F.; Khalid, H. Degraded Soils: Origin, Types and Management. In Soil Science: Agricultural and Environmental Prospectives; Hakeem, K.R., Akhtar, J., Sabir, M., Eds.; Springer International Publishing: Cham, Switzerland, 2016; pp. 23–65. [Google Scholar]
- Tejada, M.; Garcia, C.; Gonzalez, J.L.; Hernandez, M.T. Use of organic amendment as a strategy for saline soil remediation: Influence on the physical, chemical and biological properties of soil. Soil Biol. Biochem. 2006, 38, 1413–1421. [Google Scholar] [CrossRef]
- Laudicina, V.A.; Hurtado, M.D.; Badalucco, L.; Delgado, A.; Palazzolo, E.; Panno, M. Soil chemical and biochemical properties of a salt-marsh alluvial Spanish area after longterm reclamation. Biol. Fert. Soils 2009, 45, 691–700. [Google Scholar] [CrossRef]
- Oo, A.N.; Iwai, C.B.; Saenjan, P. Soil properties and maize growth in saline and nonsaline soils using cassava—industrial waste compost and vermicompost with or without earthworms. Land Degrad. Dev. 2015, 26, 300–310. [Google Scholar] [CrossRef]
- Zeinolabedin, J. The Effects of Salt stress on plant growth. Tech. J. Eng. Appl. Sci. 2012, 2, 7–10. [Google Scholar]
- Chung, J.-B.; Jin, S.-J.; Cho, H.-J. Low Water Potential in Saline Soils Enhances Nitrate Accumulation of Lettuce. Commun. Soil Sci. Plant Anal. 2005, 36, 1773–1785. [Google Scholar] [CrossRef]
- Hu, Y.; Burucs, Z.; Tucher, S.; Schmidhalter, U. Short-term effects of drought and salinity on mineral nutrient distribution along growing leaves of maize seedlings. Environ. Exp. Bot. 2007, 60, 268–275. [Google Scholar] [CrossRef]
- Fageria, N.K.; Gheyi, H.R.; Moreira, A. Nutrient Bioavailability in salt affected soils. J. Plant Nutr. 2011, 34, 945–962. [Google Scholar] [CrossRef]
- Niste, M.; Vidican, R.; Rotar, I.; Stoian, V.; Pop, R.; Miclea, R. Plant Nutrition Affected by Soil Salinity and Response of Rhizobium Regarding the Nutrients Accumulation. ProEnvironment 2014, 7, 71–75. [Google Scholar]
- Machado, R.M.A.; Serralheiro, R.P. Soil Salinity: Effect on Vegetable Crop Growth. Management Practices to Prevent and Mitigate Soil Salinization. Horticulturae 2017, 3, 30. [Google Scholar] [CrossRef]
- Hernandez, T.; Chocano, C.; Moreno, H.L.; Garcia, C. Use of compost as an alternative to conventional inorganic fertilizers in intensive lettuce (Lactuca sativa L.) crops-effect on soil and plant. Soil Tillage Res. 2016, 160, 14–22. [Google Scholar] [CrossRef]
- Havlin, J.L.; Tisdale, S.L.; Nelson, W.L.; Beaton, J.D. Soil acidity and alkalinity. In Soil Fertility and Fertilizers: An Introduction to Nutrient Management, 7th ed.; Pearson: Upper Saddle River, NJ, USA, 2005; pp. 98–114. [Google Scholar]
- Shannon, M.C.; Grieve, C.M. Tolerance of vegetable crops to salinity. Sci. Hortic. 1999, 78, 5–38. [Google Scholar] [CrossRef]
- Wu, W.; Ma, B. Integrated nutrient management (INM) for sustaining crop productivity and reducing environmental impact: A review. Sci. Total Environ. 2015, 512, 415–427. [Google Scholar] [CrossRef] [PubMed]
- Wallace, A.; Terry, E.R. Handbook of Soil Conditioners, Substances that Enhance the Physical Properties of Soil; Dekker, M., Ed.; CRC Press: New York, NY, USA, 1998. [Google Scholar]
- Abbott, L.K.; Macdonald, L.M.; Wong, M.T.F.; Webb, M.J.; Jenkins, S.N.; Farrell, M. Potential roles of biological amendments for profitable grain production—A review. Agric. Ecosyst. Environ. 2018, 256, 34–50. [Google Scholar] [CrossRef]
- Halpern, M.; Bar-Tal, A.; Ofek, M.; Minz, D.; Muller, T.; Yermiyahu, U. The Use of Biostimulants for Enhancing Nutrient Uptake. Adv. Agron. 2015, 130, 141–174. [Google Scholar] [CrossRef]
- Bulgari, R.; Cocetta, G.; Trivellini, A.; Vernieri, P.; Ferrante, A. Biostimulants and crop responses: A review. Biol. Agric. Hortic. 2015, 31, 1–17. [Google Scholar] [CrossRef]
- Vernieri, P.; Borghesi, E.; Ferrante, A.; Magnani, G. Application of biostimulants in floating system for improving rocket quality. J. Food Agric. Environ. 2005, 3, 86–88. [Google Scholar]
- Spinelli, F.; Fiori, G.; Noferini, M.; Sprocatti, M.; Costa, G. Perspectives on the use of a seaweed extract to moderate the negative effects of alternate bearing in apple trees. J. Hortic. Sci. Biotechnol. 2009, 84, 131–137. [Google Scholar] [CrossRef]
- Vouzoulidou-Alexandrou, E.G.; Polyzopoulos, N.A.; Mourizaki-Karanikolaou, E.G.; Panagiotopoulos, K.P. Study of Soil Fertility of the Farm of Aristotle University Thessaloniki; Scientific Yearbook of Faculty of Agriculture and Forestry: Thessaloniki, Greece, 1977; Volume, K. [Google Scholar]
- Bremmer, J.M.; Mulvaney, C.S. Nitrogen—total, principles of Kjeldahl methods. In Methods of Soil Analysis Chemical and Mineralogical Properties, 2nd ed.; (part 2); Page, A.L., Miller, R.H., Keeney, D.R., Eds.; Agronomy: Madison, WI, USA, 1982; Volume 9, pp. 599–616. [Google Scholar]
- Westerman, L.R. Soil Testing and Plant Analysis, 3th ed.; Soil Science Society of America: Madison, WI, USA, 1990. [Google Scholar]
- Edwards, I.K.; Kalra, Y.P.; Radford, F.G. Chloride determination and levels in the soil-plant environment. Environ. Pollut. 1981, 2, 109–117. [Google Scholar] [CrossRef]
- Thomas, G.W. Soil pH and Soil Acidity. In Methods of Soil Analysis, Part 3. Chemical Methods; Sparks, D.L., Page, A.L., Helmke, P.A., Loeppert, R.H., Soltanpour, P.N., Tabatabai, M.A., Johnston, C.T., Summer, M.E., Eds.; Published Soil Science of America, Inc.: Madison, WI, USA, 1996. [Google Scholar]
- Corwin, D.L.; Lesch, S.M.; Shouse, P.J.; Soppe, R.; Ayars, J.E. Identifying soil properties that influence cotton yield using soil sampling directed by apparent soil electrical conductivity. Agron. J. 2003, 95, 352–364. [Google Scholar] [CrossRef]
- Bouyoucos, G.H. A recalibration of the hydrometer method for making mechanical analysis of soils. Agron. J. 1951, 43, 434–438. [Google Scholar] [CrossRef]
- Horton, S.H.; Newsom, D.W. A rapid gas evaluation method for calcium carbonate equivalent in liming materials. Soil Sci. Soc. Am. 1953, 17, 414–415. [Google Scholar] [CrossRef]
- Nelson, D.W.; Sommers, L.E. Total Carbon, Organic Carbon and Organic Matter. In Methods of Soil Analysis, Part 3. Chemical Methods; Sparks, D.L., Page, A.L., Helmke, P.A., Loeppert, R.H., Soltanpour, P.N., Tabatabai, M.A., Johnston, C.T., Summer, M.E., Eds.; Published Soil Science of America, Inc.: Madison, WI, USA, 1996; Chapter 34; pp. 961–1002. [Google Scholar]
- Rhoades, J.D. Cation exchange capacity. In Methods of Soil Analysis. Part 2. Chemical and Microbiological Properties, 2nd ed.; Page, A.L., Miller, R.H., Keeney, D.R., Eds.; Soil Science Society of America: Madison, WI, USA, 1982; Chapter 8; pp. 149–174. [Google Scholar]
- Thomas, G.W. Exchangeable cations. In Methods of Soil Analysis. Part 2 Chemical and Microbiological Properties, 2th ed.; Page, A.L., Miller, R.H., Keeney, D.R., Eds.; Soil Science Society of America: Madison, WI, USA, 1982. [Google Scholar]
- So, H.B.; Menzies, N.W.; Bigwood, R.; Kopittke, P.M. Examination into the Accuracy of Exchangeable Cation Measurement in Saline Soils. Commun. Soil Sci. Plant Anal. 2006, 37, 1819–1832. [Google Scholar] [CrossRef]
- Olsen, S.R.; Sommer, L.E. Phosphorus. In Methods of Soil Analysis; Page, A.L., Miller, R.H., Keeney, D.R., Eds.; Soil Science Society of America: Madison, WI, USA, 1982; pp. 403–430. [Google Scholar]
- Mulvaney, R.L. Nitrogen—Inorganic Forms. In Methods of Soil Analysis, Part 3. Chemical Methods; Sparks, D.L., Page, A.L., Helmke, P.A., Loeppert, R.H., Soltanpour, P.N., Tabatabai, M.A., Johnston, C.T., Summer, M.E., Eds.; Published Soil Science of America, Inc.: Madison, WI, USA, 1996; Chapter 38; pp. 1123–1155. [Google Scholar]
- Lindsay, W.L.; Norvell, W.A. Development of a DTPA soil test for zinc, iron, manganese and copper. Soil Sci. Soc. Am. J. 1978, 42, 421–428. [Google Scholar] [CrossRef]
- Horneck, D.A.; Sullivan, D.M.; Owen, J.S.; Hart, J.M. Soil Test Interpretation Guide. In Oregon State University Extension Publication EC 1478; Oregon State University: Corvallis, OR, USA, 2011. [Google Scholar]
- Penas, E.J.; Lindgren, D.T. G90–945 A Gardener’s Guide for Soil and Nutrient Management in Growing Vegetables; Historical Materials from University of Nebraska-Lincoln Extension: Lincoln, OR, USA, 1990; p. 1017. [Google Scholar]
- Negim, O. Effect of Addition Pressmud and Gypsum by Product to Reclamation of Highly Calcareous Saline Sodic Soil. Am. Assoc. Sci. Technol. J. Environ. I. 2015, 1, 76–84. [Google Scholar]
- Brady, N.C.; Weil, R.R. Soils of dry regions: Alkalinity, salinity and sodicity. In The Nature and Properties of Soils, 14th ed.; Pearson Editions: New Jersey, NJ, USA, 2008; Chapter 10; pp. 411–441. [Google Scholar]
- Mills, A.H.; Benton, A.J.; Jones, J.B., Jr. Plant Analysis Handbook II: A Practical Sampling, Preparation, Analysis and Interpretation Guide; MicroMacro Publising, Inc.: Athens, GA, USA, 1996; pp. 364–365. [Google Scholar]
- Mahdy, A.M. Comparative Effects of Different Soil Amendments on Amelioration of Saline-Sodic Soils. Soil Water Res. 2011, 6, 205–216. [Google Scholar] [CrossRef]
- Çimrin, M.K.; Türkmen, O.; Turan, M.; Tuncer, B. Phosphorus and humic acid application alleviate salinity stress of pepper seedling. Afr. J. Biotechnol. 2010, 9, 5845–5851. [Google Scholar]
- Walker, J.D.; Bernal, M.P. The effects of olive mill waste compost and poultry manure on the availability and plant uptake of nutrients in a highly saline soil. Bioresour. Technol. 2008, 99, 396–403. [Google Scholar] [CrossRef]
- Loveland, P.; Webb, J. Is there a critical level of organic matter in the agricultural soils of temperate regions: A review. Soil Tillage Res. 2003, 70, 1–18. [Google Scholar] [CrossRef]
- Musinguzi, P.; Tenywa, J.S.; Ebanyat, P.; Tenywa, M.M.; Mubiru, D.N.; Basamba, T.A.; Leip, A. Soil Organic Carbon Thresholds and Nitrogen Management in Tropical Agroecosystems: Concepts and Prospects. J. Sustain. Dev. 2013, 6, 12. [Google Scholar] [CrossRef]
- Wang, L.; Sun, X.; Li, S.; Zhang, T.; Zhang, W.; Zhai, P. Application of Organic Amendments to a Coastal Saline Soil in North China: Effects on Soil Physical and Chemical Properties and Tree Growth. PLoS ONE 2014, 9, e89185. [Google Scholar] [CrossRef] [PubMed]
- Yazdanpanah, N.; Ebrahim, P.; Ali, N.; Mahmoodabadi, M.; Sinobas, L.R. Erclamation of calcareous saline sodic soil with different amendments (II): Impact on nitrogen, phosphorus and potassium redistribution and on microbial respiration. Agric. Water Manag. 2013, 120, 39–45. [Google Scholar] [CrossRef]
- Rady, M.M. A novel organo-mineral fertilizer can mitigate salinity stress effects for tomato production on reclaimed saline soil. S. Afr. J. Bot. 2012, 81, 8–14. [Google Scholar] [CrossRef]
- Roussos, P.A.; Gasparatos, D.; Tsantili, E.; Pontikis, C.A. Mineral nutrition of jojoba explants in vitro under sodium chloride salinity. Sci. Hortic. 2007, 114, 59–66. [Google Scholar] [CrossRef]
- Lucini, L.; Rouphael, Y.; Cardarelli, M.; Canaguier, R.; Kumar, P.; Colla, G. The effect of a plant-derived biostimulant o-n metabolic profiling and the crop performance of lettuce grown under saline conditions. Sci. Hortic. 2015, 182, 124–133. [Google Scholar] [CrossRef]
- Cha-um, S.; Pokasombat, Y.; Kirdmane, C. Remediation of salt-affected soil by gypsum and farmyard manure − Importance for the production of Jasmine rice. Aust. J. Crop Sci. 2011, 5, 458–465. [Google Scholar]
- Chatzistathis, T.; Papaioannou, A.; Gasparatos, D.; Molassiotis, A. From which soil metal fractions Fe, Mn, Zn and Cu are taken up by olive trees (Olea europaea L. cv. ‘Chondrolia Chalkidikis’) in organic groves? J. Environ. Manag. 2017, 203, 489–499. [Google Scholar] [CrossRef]
- Kelting, M.; Harris, J.R.; Fanelli, J.; Appleton, B. Biostimulants and soil amendments affect two-year posttransplant growth of red maple and Washington Hawthorn. HortScience 1998, 33, 819–822. [Google Scholar] [CrossRef]
- Hartz, T.K.; Bottoms, T.G. Humic Substances Generally Ineffective in Improving Vegetable Crop Nutrient Uptake or Productivity. HortScience 2010, 45, 906–910. [Google Scholar] [CrossRef]
- Leventoglu, H.; Erdal, I. Effect of High Humic Substance Levels on Growth and Nutrient Concentration of Corn under Calcareous Conditions. J. Plant Nutr. 2014, 37, 2074–2084. [Google Scholar] [CrossRef]







| Soil characteristics | |
| Sand (%) | 25.5 |
| Silt (%) | 27.6 |
| Clay (%) | 46.9 |
| Texture | Clay |
| Clay mineralogy * | Montmorillonite, vermiculite, mica |
| pH | 8.15 |
| CaCO3 (%) | 11.8 |
| Electrical conductivity (mS cm−1) | 13.5 |
| Organic Matter (%) | 5.85 |
| Cation exchange capacity (meq 100g−1) | 27.8 |
| Exchangeable Sodium Percentage (%) | 24.4 |
| Available P (mg kg−1) | 131.3 |
| Exchangeable K (meq 100g−1) | 6.10 |
| Exchangeable Na (meq 100g−1) | 6.79 |
| Available Fe (mg kg−1) | 74.1 |
| Available Mn (mg kg−1) | 9.85 |
| Available Zn (mg kg−1) | 8.66 |
| Product | Organic Carbon (%) | Organic Acids (%) | Organic N (%) | Total N (%) | N ureic (%) | K2O (%) | CaO (%) | |
| Corresal Plus | 9.25 | 17.6 | 5.8 | 5.8 | — | — | 12.5 | |
| Actiwave | 12.0 | — | 1.0 | 3.0 | 2.0 | 7.0 | — | |
| Chelate Ca (%) | Total Fe (%) | Chelate Fe 1(%) | Total Zn (%) | Chelate Zn 2 (%) | pH | |||
| Corresal Plus | 9.0 | — | — | — | — | 4.0–5.0 | — | |
| Actiwave | — | 0.5 | 0.5 | 0.08 | 0.08 | 6.4 | — | |
| Treatment | Soluble K (meq l−1) | Soluble Na (meq l−1) | Soluble Ca (meq l−1) | Soluble Mg (meq l−1) |
|---|---|---|---|---|
| ActA | 12.8 ± 0.8 | 109.7 ± 7.9 | 17.2 ± 3.8 | 34.3 ± 14.3 |
| ActB | 13.9 ± 1.2 | 106.8 ± 8.5 | 23.0 ± 4.5 | 20.8 ± 2.9 |
| Control | 11.4 ± 1.3 | 95.1 ± 9.9 | 18.7 ± 4.0 | 28.7 ± 9.6 |
| CorA | 11.9 ± 0.7 | 92.3 ± 5.7 | 12.4 ± 3.0 | 23.5 ± 5.0 |
| CorB | 13.0 ± 0.9 | 93.2 ± 5.5 | 20.1 ± 4.3 | 32.4 ± 5.6 |
| CorC | 15.5 ± 1.3 | 96.8 ± 8.9 | 24.8 ± 4.6 | 21.3 ± 1.6 |
© 2019 by the authors. Licensee MDPI, Basel, Switzerland. This article is an open access article distributed under the terms and conditions of the Creative Commons Attribution (CC BY) license (http://creativecommons.org/licenses/by/4.0/).
Share and Cite
Karapouloutidou, S.; Gasparatos, D. Effects of Biostimulant and Organic Amendment on Soil Properties and Nutrient Status of Lactuca Sativa in a Calcareous Saline-Sodic Soil. Agriculture 2019, 9, 164. https://doi.org/10.3390/agriculture9080164
Karapouloutidou S, Gasparatos D. Effects of Biostimulant and Organic Amendment on Soil Properties and Nutrient Status of Lactuca Sativa in a Calcareous Saline-Sodic Soil. Agriculture. 2019; 9(8):164. https://doi.org/10.3390/agriculture9080164
Chicago/Turabian StyleKarapouloutidou, Sofia, and Dionisios Gasparatos. 2019. "Effects of Biostimulant and Organic Amendment on Soil Properties and Nutrient Status of Lactuca Sativa in a Calcareous Saline-Sodic Soil" Agriculture 9, no. 8: 164. https://doi.org/10.3390/agriculture9080164
APA StyleKarapouloutidou, S., & Gasparatos, D. (2019). Effects of Biostimulant and Organic Amendment on Soil Properties and Nutrient Status of Lactuca Sativa in a Calcareous Saline-Sodic Soil. Agriculture, 9(8), 164. https://doi.org/10.3390/agriculture9080164

