Assessment of Natural Ageing Related Physio-Biochemical Changes in Onion Seed
Abstract
1. Introduction
2. Materials and Methods
2.1. Seed Material
2.2. Germination and Seed Viability Determination
2.3. Accelerated Ageing Test (%)
2.4. Electrical Conductivity Test (EC)
2.5. Biochemical Characteristics
2.5.1. Catalase Activity Test (CAT)
2.5.2. Peroxidase Activity Test (POD)
2.5.3. Superoxide Dismutase Activity (SOD)
2.5.4. Dehydrogenase Activity (DHA)
2.6. Seedling Emergence Index (SEI)
2.7. Seedling Establishment (%)
2.8. Statistical Analysis
3. Results
3.1. Seed Physiological Parameters
3.2. Simulation of Natural Ageing and Artificial Ageing
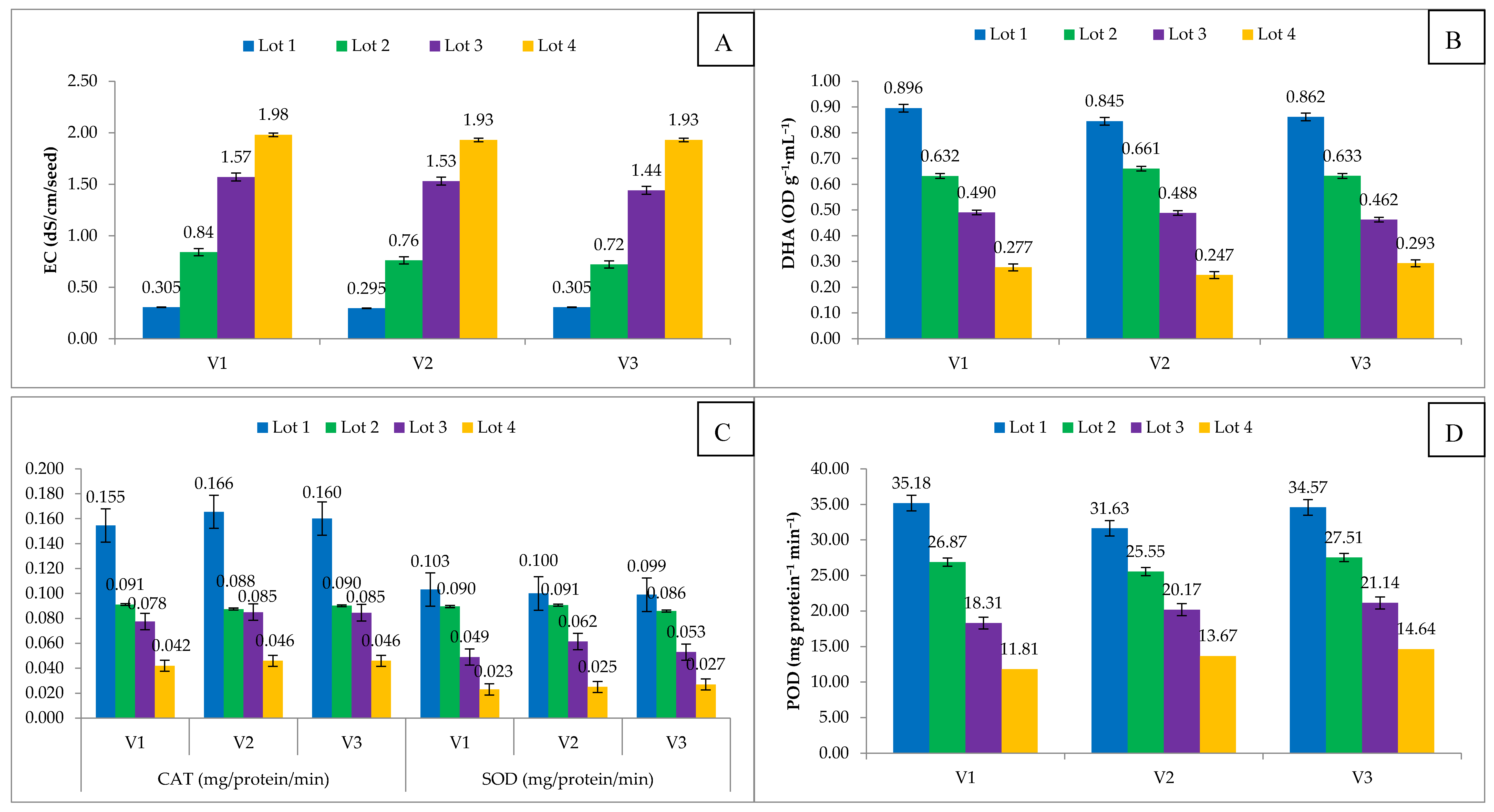
3.3. Biochemical Parameters
3.4. Seedling Emergence Index and Seedling Establishment (%)
4. Discussion
5. Conclusions
Author Contributions
Funding
Acknowledgments
Conflicts of Interest
References
- Horticultural Statistics at Glance 2017; Ministry of Agriculture & Farmers Welfare, Government of India: New Delhi, India, 2017.
- FAOSTAT. Available online: http://www.fao.org/faostat/en/#data/QC (accessed on 25 May 2019).
- Chengappa, P.G.; Manjunatha, A.V.; Dimble, V.; Shah, K. Competitive Assessment of Onion Markets in India; Institute for Social and Economic Change, Competition Commision of India: Bangalore, India, 2012; p. 86.
- Bishaw, Z.; Niane, A.A.; Gan, Y. Quality Seed Production. In Lentil: An Ancient Crop for Modern Times; Yadav, S.S., McNeil, D.L., Stevenson, P.C., Eds.; Springer: Dordrecht, The Netherlands, 2007; pp. 349–383. ISBN 978-1-4020-6313-8. [Google Scholar]
- Falcinelli, M. Temperate Forage Seed Production. J. New Seeds 1999, 1, 37–66. [Google Scholar] [CrossRef]
- Verge, X.P.C.; De Kimpe, C.; Desjardins, R.L. Agricultural production, greenhouse gas emissions and mitigation potential. Agric. For. Meteorol. 2007, 142, 255–269. [Google Scholar] [CrossRef]
- Federico, G. Feeding the World: An Economic History of Agriculture, 1800–2000; Princeton University Press: Princeton, NJ, USA, 2010; Volume 34. [Google Scholar]
- Mayer, A.M.; Poljakoff-Mayber, A. The Germination of Seeds: Pergamon International Library of Science, Technology, Engineering and Social Studies, 3rd ed.; Elsevier: Amsterdam, The Netherlands, 1982. [Google Scholar]
- Delouche, J.C.; Baskin, C.C. Accelerated aging techniques for predicting the relative storability of seed lots. Seed Sci. Technol. 1973, 1, 427–452. [Google Scholar]
- George, R.A. Vegetable Seed Production, 3rd ed.; CABI: Wallingford, UK, 2009. [Google Scholar]
- Pritchard, H.W.; Nadarajan, J. Cryopreservation of orthodox (desiccation tolerant) seeds. In Plant Cryopreservation: A Practical Guide; Reed, B.M., Ed.; Springer: New York, NY, USA, 2008; pp. 485–501. [Google Scholar]
- Probert, R.; Adams, J.; Coneybeer, J.; Crawford, A.; Hay, F. Seed quality for conservation is critically affected by pre-storage factors. Aust. J. Bot. 2007, 55, 326–335. [Google Scholar] [CrossRef]
- Balaban, R.S.; Nemoto, S.; Finkel, T. Mitochondria, oxidants, and aging. Cell 2005, 120, 483–495. [Google Scholar] [CrossRef] [PubMed]
- Murthy, U.M.N.; Kumar, P.P.; Sun, W.Q. Mechanisms of seed ageing under different storage conditions for Vigna radiata (L.) R. Wilczek: Lipid peroxidation, sugar hydrolysis, Maillard reactions and their relationship to glass state transition. J. Exp. Bot. 2003, 54, 1057–1067. [Google Scholar] [CrossRef] [PubMed]
- McDonald, M.B. Seed deterioration: Physiology, repair and assessment. Seed Sci. Technol. 1999, 27, 177–237. [Google Scholar]
- Walters, C. Understanding the mechanisms and kinetics of seed ageing. Seed Sci. Res. 1998, 8, 223–244. [Google Scholar] [CrossRef]
- Bailly, C. Active oxygen species and antioxidants in seed biology. Seed Sci. Res. 2004, 14, 93–107. [Google Scholar] [CrossRef]
- McDonald, M.B. Orthodox seed deterioration and its repair. In Handbook of Seed Physiology Applications to Agriculture; Benech-Arnold, R.L., Sanchez, R.A., Eds.; Food Products Press: New York, NY, USA, 2004; pp. 273–304. [Google Scholar]
- Lehner, A.; Mamadou, N.; Poels, P.; Come, D.; Bailly, C.; Corbineau, F. Changes in soluble carbohydrates, lipid peroxidation and antioxidant enzyme activities in the embryo during ageing in wheat grains. J. Cereal Sci. 2008, 47, 555–565. [Google Scholar] [CrossRef]
- Goel, A.; Goel, A.K.; Sheoran, I.S. Changes in oxidative stress enzymes during artificial ageing in cotton (Gossypium hirsutum L.) seeds. J. Plant. Physiol. 2002, 160, 1093–1100. [Google Scholar] [CrossRef]
- Wang, G.; Huang, J.; Gao, W.; Lu, J.; Li, J.; Liao, R.; Jaleel, C.A. The effect of high-voltage electrostatic field (HVEF) on aged rice (Oryza sativa L.) seeds vigor and lipid peroxidation of seedlings. J. Electrost. 2009, 67, 759–764. [Google Scholar] [CrossRef]
- Finch-Savage, W.E.; Bassel, G.W. Seed vigour and crop establishment: Extending performance beyond adaptation. J. Exp. Bot 2016, 67, 567–591. [Google Scholar] [CrossRef]
- ISTA. International Rules for Seed Testing 2015; International Seed Testing Association: Bassersdorf, Switzerland, 2015. [Google Scholar]
- Abdul-Baki, A.A.; Anderson, J.D. Physiological and biochemical deterioration of seeds. In Seed Biology; Kozlowski, T.T., Ed.; Academic Press: New York, NY, USA, 1972; pp. 283–315. [Google Scholar]
- Moore, R.P. Tetrazolium stain for assessing seed quality. In Seed Ecology; Heydecker, W., Ed.; The Pennsylvania State University: University Park, PA, USA, 1973; pp. 347–366. [Google Scholar]
- Dadlani, M.; Agrawal, P.K. Techniques in Seed Science and Technology; South Asian Publishers: New Delhi, India, 1987; pp. 103–104. [Google Scholar]
- Aebi, H. Catalase in vitro. Meth. Enzymol. 1983, 105, 121–126. [Google Scholar] [CrossRef]
- Rao, M.V.; Paliyath, G.; Ormrod, D.P. Ultraviolet-B- and ozone-induced biochemical changes in antioxidant enzymes of Arabidopsis thaliana. Plant. Physiol. 1996, 110, 125–136. [Google Scholar] [CrossRef]
- Kittock, D.L.; Law, A.G. Relationship of seedling vigour to respiration and tetrazolium chloride reduction by germinating wheat seeds. Agron. J. 1968, 60, 286–288. [Google Scholar] [CrossRef]
- Dhindsa, R.H.; Plumb-Dhindsa, P.; Thorpe, T.A. Leaf senescence correlated with increased level of membrane permeability, lipid peroxidation and decreased level of SOD and CAT. J. Exp. Bot. 1981, 32, 93–101. [Google Scholar] [CrossRef]
- Maguire, J.D. Speed of germination aid in selection and evaluation for seedling emergence and vigour. Crop. Sci. 1962, 2, 176–177. [Google Scholar] [CrossRef]
- Cochran, W.G.; Cox, G.M. Experimental Designs, 2nd ed.; Wiley: New York, NY, USA, 1957; pp. 1–611. [Google Scholar]
- Demirkaya, M.; Dietz, K.-J.; Sivritepe, H.Ö. Changes in antioxidant enzymes during ageing of onion seeds. Not. Bot. Horti Agrobot. Cluj-Napoca 2010, 38, 49–52. [Google Scholar] [CrossRef]
- Nautiyal, A.R.; Thapliyal, A.P.; Purohit, A.N. Seed viability, Protein changes: Accompanying loss of viability in Shorea robusta. Seed Sci. Technol. 1985, 13, 83–86. [Google Scholar]
- Khan, M.M.; Iqbal, M.J.; Abbas, M.; Usman, M. Effect of accelerated ageing on viability, vigour and chromosomal damage in pea (Pisum sativum L.) seeds. J. Agric. Sci. 2003, 40, 50–54. [Google Scholar]
- Pandita, V.K.; Shantha, N.; Nagarajan, S. Germination behaviour and field performance of garden pea (Pisum sativum) in relation to seed ageing. Ind. J. Agric. Sci. 2002, 72, 213–215. [Google Scholar]
- Gupta, A.; Aneja, K.R. Seed deterioration in soybean varieties during storage—physiological attributes. Seed Res. 2004, 32, 26–32. [Google Scholar]
- Kumar, R.; Nagarajan, S.; Rana, S.C. Effect of natural ageing under controlled storage on seed quality and yield performance of field pea cv. DMR-7. Seed Res. 2004, 32, 96–97. [Google Scholar]
- Khan, M.M.; Iqbal, M.J.; Abbas, M. Loss of viability correlates with membrane damage in aged turnip (Brassica rapa) seeds. Seed Sci. Technol. 2005, 33, 517–520. [Google Scholar] [CrossRef]
- Verma, S.S.; Verma, U.; Tomer, R.P.S. Studies on seed quality parameters in deteriorating seeds in brassica (Brassica campestris). Seed Sci. Technol. 2003, 31, 389–396. [Google Scholar] [CrossRef]
- Kapoor, N.; Arya, A.; Siddiqui, M.A.; Amir, A.; Kumar, H. Seed deterioration in chickpea (Cicer arietinum L.) under accelerated ageing. AsianJ. Plant. Sci. 2010, 9, 158–162. [Google Scholar] [CrossRef]
- Fu, Y.-B.; Ahmed, Z.; Diederichsen, A. Towards a better monitoring of seed ageing under ex situ seed conservation. Conserv. Physiol. 2015, 3. [Google Scholar] [CrossRef]
- Wu, X.; Ning, F.; Hu, X.; Wang, W. Genetic Modification for Improving Seed Vigor Is Transitioning from Model Plants to Crop Plants. Front. Plant. Sci. 2017, 8. [Google Scholar] [CrossRef]
- Tian, X.; Song, S.; Lei, Y. Cell death and reactive oxigen species metabolism during accelerated ageing of soybean axes. Russ. J. Plant. Physiol. 2008, 55, 33–40. [Google Scholar] [CrossRef]
- Fabrizius, E.; TeKrony, D.; Egli, D.B.; Rucker, M. Evaluation of a viability model for predicting soybean seed germination during warehouse storage. Crop. Sci. 1999, 39, 194–201. [Google Scholar] [CrossRef]
- Yin, X.; He, D.; Gupta, R.; Yang, P. Physiological and proteomic analyses on artificially aged Brassica napus seed. Front. Plant. Sci. 2015, 6. [Google Scholar] [CrossRef]
- Jain, N.; Koopar, R.; Saxena, S. Effect of accelerated ageing on seeds of radish (Raphanus sativus L.). Asian J. Plant. Sci. 2006, 5, 461–464. [Google Scholar]
- Al-Maskeri, A.Y.; Khan, M.M.; Khan, I.A.; Al-Habsi, K. Effect of accelerated ageing on viability, vigour (RGR), lipid peroxidation and leakage in carrot (Daucus carota L.) seeds. Int. J. Agric. Biol. 2003, 5, 580–584. [Google Scholar]
- Al-Maskri, A.; Khan, M.M.; Al-Manthery, O.; Al-Habsi, K. Effect of accelerated ageing on lipid peroxidation leakage and seedling vigour (RGR) in cucumber (Cucumis sativus L.) seeds. Pak. J. Agric. Sci. 2002, 39, 330–337. [Google Scholar]
- Sung, J.M.; Jeng, T.L. Lipid peroxidatioin and peroxide-scavenging enzymes associated with accelerated aging of peanut seed. Physiol. Plant. 1994, 91, 51–55. [Google Scholar] [CrossRef]
- Blackman, S.; Leopold, A.C. Chemical and physical factors in seed deterioration, basic and applied aspects of seed biology. In Proceedings of the IV International Workshop on Seeds, Angers, France, 20–24 July 1992; pp. 731–737. [Google Scholar]
- Bailly, C.; Benamar, A.; Corbineau, F.; Côme, D. Changes in malondialdehyde content and in superoxide dismutase, catalase and glutathione reductase activities in sunflower seeds as related to deterioration during accelerated aging. Physio. Plant. 1996, 97, 104–110. [Google Scholar] [CrossRef]
- Bailly, C.; Benamar, A.; Corbineau, F.; Côme, D. Antioxidant systems in sunflower (Helianthus annuus L.) seeds as affected by priming. Seed Sci. Res. 2000, 10, 35–42. [Google Scholar] [CrossRef]
- Bailly, C.; Bogatek-Leszczynska, R.; Côme, D.; Corbineau, F. Changes in activities of antioxidant enzymes and lipoxygenase during growth of sunflower seedlings from seeds of different vigour. Seed Sci. Res. 2002, 12, 47–55. [Google Scholar] [CrossRef]
- Bardel, J.; Louwagie, M.; Jaquinod, M.; Bourguignon, J. A survey of plant mitochondria proteome in relation with development. Proteomics 2002, 2, 880–898. [Google Scholar] [CrossRef]
- Chiu, K.Y.; Wang, C.S.; Sung, J.M. Lipid peroxidation and peroxide scavenging enzymes associated with accelerated aging and hydration of watermelon seeds differing in ploidy. Physiol. Plant. 1995, 94, 441–446. [Google Scholar] [CrossRef]
- Sung, J.M. Lipid peroxidation and peroxide scavenging in soybean seeds during ageing. Physiol. Plants 1996, 97, 85–89. [Google Scholar] [CrossRef]
- Kibinza, S.; Vinel, D.; Come, D.; Bailly, C.; Corbineau, F. Sunflower seed deterioration as related to moisture content during ageing, energy metabolism and active oxygen species scavenging. Physiol. Plant. 2006, 128, 496–506. [Google Scholar] [CrossRef]
- Zamani, A.; Sadat Nouri, S.A.; Tavakol Afshari, R.; Iran Nezhad, H.; Ali Akbari, G.; Tavakoli, A. Lipid peroxidation and antioxidant enzymes activity under natural and accelerated ageing in safflower (Carthamus tinctorius L.) seed. Iran. J. Agric. Sci. 2010, 41, 545–554. [Google Scholar]
- Wettlaufer, S.; Carl Leopold, A. Relevance of Amadori and Maillard Products to Seed Deterioration. Plant Physiol. 1991, 97, 165–169. [Google Scholar] [CrossRef]
- Bernal-Lugo, I.; Leopold, A.C. Changes in soluble carbohydrates during seed storage. Plant Physiol. 1992, 98, 1207–1210. [Google Scholar] [CrossRef]
- Blokhina, O.; Virolainen, E.; Fagerstedt, K.V. Antioxidants, oxidative damage and oxygen deprivation stress: A Review. Ann. Bot. 2003, 91, 179–194. [Google Scholar] [CrossRef]
- Alscher, R.G.; Erturk, N.; Heath, L.S. Role of superoxide dismutase (SODs) in controlling oxidative stress in plants. J. Exp. Bot. 2002, 53, 1331–1341. [Google Scholar] [CrossRef]
- Loycrajjou, L.Y.; Steven, P.C.; Groot Belghazi, M.; Job, C.; Job, D. Proteome wide characterization of seed ageing in Arabidopsis. A comparison between artificial and natural ageing. Prot. Pl. Phy. 2008, 148, 620–641. [Google Scholar] [CrossRef]
- Scialabba, A.; Bellani, L.M.; Dell’aquila, A. Effects of ageing on peroxidase activity and localization in radish (Raphanus sativus L.) seeds. Eur. J. Histochem. 2002, 46, 351–358. [Google Scholar] [CrossRef][Green Version]
- Pallavi, M.; Sudheer, S.K.; Dangi, K.S.; Reddy, A.V. Effect of seed ageing on physiological, biochemical and yield attributes in sunflower (Helianthus annus L.) cv. Morden. Seed Res. 2003, 31, 161–168. [Google Scholar]
- Mitrovic, A.; Ducic, T.; Rajlic, I.L.; Radotic, K.; Zivanovic, B. Changes in Chenopodium rubrum seeds with ageing. Ann. New York Acad. Sci. 2005, 1048, 505–508. [Google Scholar] [CrossRef]
- Zhu, F.; Zhou, Y.-K.; Ji, Z.-L.; Chen, X.-R. The Plant Ribosome-Inactivating Proteins Play Important Roles in Defense against Pathogens and Insect Pest Attacks. Front. Plant. Sci. 2018, 9. [Google Scholar] [CrossRef]
- Tabatabaei, S.A. The changes of germination characteristics and enzyme activity of barley seeds under accelerated ageing. Cerc. Agron. Mold. 2015, 48, 61–67. [Google Scholar]
- Akhter, F.N.; Kabir, G.; Mannan, M.A.; Shaheen, N.N. Ageing effect of wheat and barley seeds upon germination mitotic index and chromosomal damage. J. Islam Acad. Sci. 1992, 5, 44–48. [Google Scholar]
- Subedi, K.D.; Ma, B.L. Seed priming does not improve corn yield in a humid temperate environment. Agron. J. 2005, 97, 211–218. [Google Scholar] [CrossRef]
- Hopin, A.; Huang, S.W.; Frankel, E.M. Effect of α-tocopherol and trolox on the decomposition of methyl linoleate hydroperoxide. Lipids 1996, 31, 357–365. [Google Scholar]
- Rao, R.G.S.; Singh, P.M.; Rai, M. Storability of onion seeds and effect of packaging and storage conditions on viability and vigour. Sci. Hort. 2006, 110, 1–6. [Google Scholar] [CrossRef]







| Seed Age | Germination | SL | SDW | SVI-I | SVI-II | SV | AAT | EC | CAT | POD | SOD | DHA | SEI | |
|---|---|---|---|---|---|---|---|---|---|---|---|---|---|---|
| Germination (%) | −0.977 * | |||||||||||||
| SL (cm) | −0.994 ** | 0.979 * | ||||||||||||
| SDW (mg) | −0.933 NS | 0.913 NS | 0.966 * | |||||||||||
| SVI-I | −0.967 * | 0.985 * | 0.987 * | 0.966 * | ||||||||||
| SVI-II | −0.961 * | 0.973 * | 0.985 NS | 0.978 * | 0.998 ** | |||||||||
| SV (%) | −0.977 * | 1 ** | 0.98 * | 0.917 NS | 0.987 * | 0.976 * | ||||||||
| AAT (%) | −0.96 * | 0.98 * | 0.983 * | 0.97 * | 1** | 0.999 ** | 0.982 * | |||||||
| EC (dS/cm/seed) | 0.995 ** | −0.992 ** | −0.989 * | −0.917 NS | −0.975 * | −0.964 * | −0.992 ** | −0.968 * | ||||||
| CAT (mg/protein/min) | −0.948 NS | 0.896 NS | 0.967 * | 0.987 * | 0.94 NS | 0.953 * | 0.899 NS | 0.941 NS | −0.92 NS | |||||
| POD (mg/protein/min) | −1 ** | 0.978 * | 0.996 ** | 0.94 NS | 0.972 * | 0.966 * | 0.978 * | 0.966 * | −0.995 ** | 0.952 * | ||||
| SOD (mg/protein/min) | −0.984 * | 0.966 * | 0.96 * | 0.854 NS | 0.926 | 0.909 NS | 0.964 * | 0.914 NS | −0.987 * | 0.878 NS | 0.98 * | |||
| DHA (OD/g/min) | −0.998 ** | 0.966 * | 0.995 ** | 0.946 NS | 0.965 * | 0.962 * | 0.966 * | 0.959 * | −0.988 * | 0.964* | 0.999 ** | 0.973 * | ||
| SEI | −0.996 ** | 0.992 ** | 0.994 ** | 0.934 NS | 0.983 * | 0.974 * | 0.992 ** | 0.977 * | −0.999 ** | 0.934 | 0.996 ** | 0.98 * | 0.991 ** | |
| SE (%) | −0.953 * | 0.995 ** | 0.954 * | 0.877 NS | 0.971 * | 0.955 * | 0.995 ** | 0.965 * | −0.978 * | 0.85 NS | 0.954 * | 0.952 * | 0.937 NS | 0.976 * |
© 2019 by the authors. Licensee MDPI, Basel, Switzerland. This article is an open access article distributed under the terms and conditions of the Creative Commons Attribution (CC BY) license (http://creativecommons.org/licenses/by/4.0/).
Share and Cite
Brar, N.S.; Kaushik, P.; Dudi, B.S. Assessment of Natural Ageing Related Physio-Biochemical Changes in Onion Seed. Agriculture 2019, 9, 163. https://doi.org/10.3390/agriculture9080163
Brar NS, Kaushik P, Dudi BS. Assessment of Natural Ageing Related Physio-Biochemical Changes in Onion Seed. Agriculture. 2019; 9(8):163. https://doi.org/10.3390/agriculture9080163
Chicago/Turabian StyleBrar, Navjot Singh, Prashant Kaushik, and Bagrawat Singh Dudi. 2019. "Assessment of Natural Ageing Related Physio-Biochemical Changes in Onion Seed" Agriculture 9, no. 8: 163. https://doi.org/10.3390/agriculture9080163
APA StyleBrar, N. S., Kaushik, P., & Dudi, B. S. (2019). Assessment of Natural Ageing Related Physio-Biochemical Changes in Onion Seed. Agriculture, 9(8), 163. https://doi.org/10.3390/agriculture9080163

