Abstract
Moringa oleifera L. (moringa) is known as one of the most useful multipurpose plants. It can be effectively utilized as a natural biopesticide and inhibitor of several plant pathogens. Thus, it can be included in integrated pest management strategies. Moringa and its products have different uses in many agricultural systems. The use of moringa as a crop enhancer is an eco-friendly way of improving crop yields at the lowest possible cost. This inexpensive increase in productivity can contribute to meeting some of the food needs in some parts of the world as the global population increases and poverty rates rise. One of the most important characteristics of moringa is that it has high biological and nutritional values and can be used as animal feed, green fertilizer, medicine, biopesticide and in seed production. Moringa has been characterized as a potentially useful animal feed owing to its high content of protein, carotenoids, several minerals and vitamins (such as iron and ascorbic acid) and certain phytochemicals (kaempferitrin, isoquercitrin, rhamnetin, kaempferol and quercetin). This review aims to provide more knowledge about the nature, nutritional value, phytochemicals and uses of Moringa oleifera as a promising material in the fields of soil and plant management, water treatment, as well as animal and poultry production.
1. Introduction
In recent years, different phytogenic feed additives, i.e., aromatic plants or their respective essential oils have been investigated for poultry [1,2,3]. Different species have been tested at various inclusion levels to find a cheap, safe and natural feed additive with high economic output [4]. The use of phytogenic compounds in feed might improve feed quality. Firstly, they possess the ability to retard the growth of mycotoxigenic fungi [5]. Secondly, their antibacterial and antioxidative properties (e.g., thymol, carvacrol and rosmarinic acid) contribute to improving the overall quality of feed [6]. Antioxidant properties could be of great importance when the feed contains a high proportion of polyunsaturated fatty acids, versus saturated fatty acids. Phytogenic extracts/essential oils possess antimycotic properties, which could be helpful in preventing mycotoxin production in stored wheat grains. Growth of toxigenic fungi, e.g., Aspergillus flavus, Aspergillus parasiticus, Aspergillus ochraceus and Fusarium moniliforme, could be inhibited by anise, thyme and cinnamon [7,8]. Overuse and misuse of pesticides and fungicides to manage pests and plant pathogens have resulted in harmful effects including death, birth defects among humans and animals and several diseases (such as cancer, allergies, etc.) [9]. Due to the negative impacts associated with pesticide usage, much attention has been focused on alternative ecofriendly methods of pathogen control. There is an urgent need to examine non-synthetic chemical approaches to disease management in agricultural applications [10,11].
Moringa oleifera L. (moringa), belongs to family Moringaceae, grows in tropical and subtropical environments. Every part of the tree has beneficial properties, making it multipurpose tree where is used as herbal medicine, spices, food, fertilizer natural coagulants, forage and nectar for bees. Additionally, it is used as good sources of vitamins (A, B and C), nicotinic acid, riboflavin, pyridoxine, folic acid, beta-carotene, ascorbic acid, alpha-tocopherol calcium and iron as well as a main source of the essential amino acids [12]. Reports have also described the plant to be anti-inflammatory, antioxidant, antimicrobial and antitumor activity. Moringa has powerful antibiotic and fungicidal effects [13]. As well, moringa has the potential to improve nutrition and support immune functions of poultry and animal, where responses to moringa include reduced Escherichia coli and increased Lactobacillus counts in the intestine demonstrating an enhanced immune response [14].
Moringa oleifera has other agricultural uses beyond supplementation for animals. There are many reports that moringa leaf extract (MLE) can play a major role in accelerating the growth of tomatoes, peanuts, maize and wheat in the early vegetative stages. Also, Moringa oleifera (ethanol or aqueous) extracts are regarded as biopesticidal products that are ecofriendly, have low cash input, are readily available, have a minimal environmental impact and are helpful in plant disease management. M. oleifera is reported to have antimicrobial properties against plant pathogens that cause serious plant diseases, such as soil-borne disease [15]. Moringa can also be effectively used as a natural biopesticide and, thus, it can be included in integrated pest management (IPM) strategies [16]. A significant improvement in pest and disease resistance has also been observed with MLE use, with overall yield increases of 20% to 35% [17]. The use of MLE as a crop enhancer is an environmentally friendly way of increasing crop yields at the lowest possible cost. This inexpensive increase in productivity can contribute to meeting some of the food needs in some parts of the worldwide, associated with the global population increase, as poverty rates rise [18]. One of the most important characteristics of M. oleifera is that it has a high nutritional value and can be used in animal feed, green fertilization, medicines, biopesticides and seed production [17]. This article aims to provide more knowledge about the nature, description, nutritional values and uses of M. oleifera as a promising material in soil and plant management, water treatment and the animal and poultry industry.
2. Description of Moringa oleifera
Moringa oleifera is commonly termed the “drumstick tree”. Other common names include horseradish tree, ben oil tree, or benzoil tree. Some parts of moringa tree (leaves, pods, seeds, flowers, fruits and roots) are eaten as food and some are taken as a remedy. Moringa oleifera is a fast-growing, deciduous tree. Its maximum height is 10–12 m, while its trunk can reach a diameter of 45 cm. The flowers are approximately 1.0–1.5 cm long and 2.0 cm wide. Flowering starts within the first six months after planting. The fruit is a droopy, three-sided brown capsule, 20–45 cm in size and contains dark brown, spherical seeds of about 1 cm diameter. The seeds have three thin, whitish wings, which are responsible for the smooth distribution of the seed by water and wind [19]. This tree also needs a yearly rainfall of between 250 mm and 3000 mm and can survive in temperatures of 25 °C to 40 °C, which makes it suitable for tropical climates. Moringa tree grows mainly in semi-arid tropical and subtropical areas. More generally, moringa grows in the wild or is cultivated in Central America and Caribbean, northern countries of South America, Africa, Southeast Asia and various countries of Oceania. Among the twelve species in the genus Moringa, the most commonly cultivated and widespread is Moringa oleifera [20], which is native to the sub-Himalayan tract of India and Pakistan [21].
2.1. Nutritional Composition of the Moringa oleifera
All parts of Moringa oleifera are consumed by humans in different ways. Moringa leaves are a source of highly digestible nutrients and can be eaten fresh, cooked or stored as dried powder and have been advocated as suitable for nutritional and therapeutic use in many developing regions of the world [22]. Moringa has a great possible in improving nutrition and support immune functions of poultry and animal. Seeds are eaten green or dry [23]. Moringa seeds contain a high percentage of sweet oil (30–40% of the seed weight) and contain around 76% polyunsaturated fatty acids which can control cholesterol. The leaves and seeds of Moringa oleifera are a source of protein, iron, calcium, ascorbic acid vitamin A and antioxidant compounds such as carotenoids, flavonoids, vitamin E and phenolics [24]. The presence of vitamins and minerals benefit in improving the immune system and cure a myriad of diseases [25]. Various amino acids, such as Arg, His, Lys, Trp, Phe, Thr, Leu, Met, Ile, Val are present in Moringa oleifera leaves [25].
Moringa oleifera leaves can be used as a feed supplement, to improve feed efficiency and livestock performance, or as a replacement for conventional crops to obtain more economically sustainable, environmentally friendly and safer production [26,27]. Rubanza et al. [28] reported better feed digestibility in animals fed moringa leaves, probably due to their nutritional profile especially the neutral detergent fiber (NDF), acid detergent fiber (ADF), crude protein (CP), gross energy (GE), ether extract (EE) and amino acids. Some parts of the moringa tree contain toxins and other anti-nutritional factors, which limit their utility as a source of food for humans or animals. The bark of the tree contains alkaloids, tannins, saponins and some inhibitors [29,30]. Grubben and Denton [31] reported two types of alkaloids in moringa root bark, i.e., moringinine and moringine. Bose [32] stated that bark of moringa tree has toxicity profiles due to its content of two alkaloids and the toxic hypotensive moringinine. The bark of the tree may cause violent uterine contractions that can be fatal [33]. Faizi et al. [34] reported that using of Niazinin A, niazimicin resulted from the ethanolic extract of Moringa oleifera leaves produced negative inotropic and chronotropic effects in isolated guinea pig atria and hypotensive and bradycardiac effects in anesthetized rats. Additionally, changes in clotting factor, changes in serum composition (e.g., total protein, bilirubin, cholesterol), along with enzyme inhibition, induction, or change in blood or tissue levels of other transferases have been noted after the mice treatment by root bark extract Moringa oleifera Lam. are 500 mg/kg and 184 mg/kg. Even though the toxic root bark is removed, the flesh has been found to contain the alkaloid spirochin, which can cause nerve paralysis [35]. Mazumder et al. [36] found that methanolic extract of Moringa oleifera root was found to contain 0.2% alkaloids and high doses (>46 mg/kg body weight) of crude extract affect liver and kidney function and hematologic parameters. Phytate content in M. olifera leaves is about 3.1%, which might decrease availability of minerals in monogastrics [30]. A point to note is that the nutrient composition varies depending on the climate, location and the environmental factors significantly influence nutrient content of the tree [25]. Finally, we can conclude that the plant can be dangerous if consumed too frequently or in large amounts. Therefore, it has been suggested that more attention should be paid to how the plant has been used in diets.
2.2. Phytochemicals of the Moringa oleifera
Phytochemical studies of moringa leaves have indicted unique compounds, including rhamnose (i.e., simple sugar), isothiocyanate and glucosinolates [13,37] that are known for strong hypotensive (blood pressure lowering) and spasmolytic (muscle relaxant) effects [38]. Other important compounds such as benzyl glucosinolates, 4-(4-O-acetyl-α-l-rhamnopyranosyl oxy) benzyl thiocyanate and 4-(α-l-rhamnopyranosyl oxy) benzyl isothiocyanate are also present. These compounds are known to possess anticancer, hypotensive and antibacterial activity [13]. Some flavonoid pigments, such as kaempferitrin, isoquercitrin, rhamnetin, kaempferol and quercetin are found in moringa flowers [13,37]. Cytokine-type hormones were observed in MLE in 80% ethanol [29,39]. Al-Asmari et al. [40] reported that such ethanol extracts had cancer preventative effects, when they assayed the activity against human promyelocytic leukemia cells (HL-60).
According to Yameogo et al. [41], Moringa oleifera is the best source of a wide spectrum of dietary antioxidants, including flavonoids such as kaempferol and quercetin. Siddhuraju and Becker [42] reported the concentrations of natural antioxidants in Moringa oleifera from three different agroclimatic origins: on a dry weight basis, phenolics = 74–210 µmol g−1, ascorbate (vitamin C) = 70–100 µmol g−1, β-carotene = 1.1–2.8 µmol g−1 and α-tocopherol = 0.7–1.1 µmol g−1. Notably, they had higher antioxidant contents than fruits and vegetables that are known for their high antioxidant contents, e.g., strawberries (high in phenolics ~190 µmol gallic acid (GA) g−1), carrots (high in β-carotene ~1.8 µmol g−1), soybean (high in α-tocopherol ~1.8 µmol g−1) and hot pepper (high in ascorbate ~110 µmol g−1) [43]. As well, Pakade et al. [44] stated that moringa excels some vegetables in their strength as an antioxidant, because that its content of total phenolics was almost twice that of the vegetables (broccoli, spinach, peas and cauliflower) and total flavonoids were three times that of the same vegetables. Also, the reducing power of moringa was higher and free radicals remaining were lower compared with these vegetables. Moringa leaves also contain other important flavonoids such as kaempferol and quercetin, which exhibit higher antioxidant activity than ascorbic acid [40,45]; they also contain fairly high amounts of ascorbic acid [42]. These antioxidants provide protection to animals against degenerative diseases and infections, which might be associated with the direct trapping of free radicals to avoid DNA damage from excessive oxidation [46,47]. Moringa seeds contain ferulic acid, gallic acid, epicatechin, catechin, vanillin, protocatechuic acid, caffeic acid, cinnamic acid, phytosterol, quercetin, chlorogenic acid and quercetin rhamnoglucoside. The immature pods (fruits) and flowers of Moringa oleifera have been characterized by the content of carotenoids. Also, isothiocyanate from moringa seeds acts as anticancer agents and mitigates oxidative stress [25,48]. Phytosterols such as kampesterol sitosterol and stigmasterol are precursors for hormones, where induce the production of estrogen, subsequently, stimulates the proliferation of the mammary gland ducts to create milk. Additionally, the presence of flavanoids give the anti-inflammatory, antioxidant and antidiabetic properties and as anti-proliferative and anticancer agent [25].
The phytochemical compounds of moringa possess various biological actions, including antidiabetic, hypocholesterolemic, hypertensive agent and regulate thyroid hormone, central nervous system, digestive system, as well as nutrition and metabolism. Reports have also described the plant to be highly potent anti-inflammatory agent anti-inflammatory, antimicrobial and antitumor activity. Finally, we can state that moringa is rich in phytochemical compounds that confer on the plant significant medicinal properties that could be valuable for treating certain ailments.
3. Uses of Moringa in Soil and Plants
The moringa tree is one of the most nutrient-rich plants in the world. It has many uses for plant and soil such as a green manure and natural growth stimulants. Exogenous application of MLE, whether it is an aqueous or ethanol extract, improves productivity in many crops, because MLE possesses great antioxidant activity and is rich in plant secondary metabolites such as ascorbic acid and total phenols, making it a potential natural growth stimulant [49]. Several studies have focused on the role of MLE in improving plant growth and increasing the production of numerous crops [49,50]. Moreover, MLE, such as other bio-stimulants, is used to enhance plant resistance to abiotic stresses [51].
Moringa is a plant that grows under drought conditions and in all soil types [52]. Using moringa shoot as a green manure can significantly enrich agricultural soil. In this method, the soil is first plowed and moringa seed is then planted 2 cm deep at a spacing of 10 × 10 cm (a density of 1 million seeds per hectare). The seedlings are plowed into the soil, to a depth of 15 cm and then the soil is prepared for the desired crop [53,54,55]. Fresh moringa leaf aqueous extracts contain many antioxidants and is rich in secondary metabolites and osmoprotectants [51,56]. In addition, MLE is a source of vitamins, zeatin, indole-3-acetic acid (IAA), cytokinin, gibberellins (GAs) and several mineral elements (i.e., P, Ca, K, Mg, Fe, Cu, Zn and Mn) [56,57]. The various ingredients contained in the MLE suggest that this aqueous extract can be used effectively as a plant biostimulant and, thus, is considered to be one of the most natural growth stimulants available [57]. This tree also contains numerous curative properties and chemical materials for other uses and is sometimes called “the prodigy tree” [58]. These advantages are linked to the geographical distribution of these trees; they are particularly valuable as they are found in areas with high population density and high poverty rates [58]. Among several uses of moringa is use of the leaf water extract as a hormone promoter for numerous crops [59,60]. Therefore, MLE as growth promoter can be a natural and practical alternative supplement to synthetic sources applied to improve productivity in crop plants. In addition, it benefits the plant and the soil together for their effective advantages resulting from its content of many bioactive components.
3.1. Effect of Moringa oleifera on Plant Growth Characteristics and Yield
Moringa leaf ethanol extract has plant-growth-promoting capabilities as it is rich in K, Ca, carotenoids, phenols and zeatin [29]. Three sprays of MLE significantly influenced the number of branches/plant, plant height, number of pods/plant, number of seeds/pod and biological yield of canola, compared to untreated control plants [59]. Many studies have demonstrated that the addition of MLE enhanced crop yield, as determined by strong seedling growth and yield of bean (Phaseolus vulgaris L.) [56,57]. The different concentrations of moringa extract was capable to enhance the photosynthetic apparatus in treated plant, which leads to increase in plant productivity and fruit dry matter [61]. Enhanced seedling growth parameters (number and area of leaves/plant, shoot length, dry weight of plant, reducing sugars, amylase activity and plant growth) following the addition of MLE may be due to the mobilization of germination-related metabolites/inorganic solutes (i.e., ascorbic acid, zeatin, Ca and K) in the growing plumule [29,62,63]. Moreover, the high content of GAs, IAA and zeatin in MLE promotes linola (Linum usitatissimum L.) plant growth and production under saline conditions in comparison to untreated and hydropriming controls [50]. The rapid increase in growth observed in these studies is likely due to the enriched content of crude proteins as well as auxins and cytokinins, which are growth-promoting hormones [64]. Proteins are fundamental for the formation of the protoplasm; however, growth hormones promote fast cell division, cell multiplicity and cell enlargement [61]. A significant reduction in growth (in terms of shoot and root length and plant dry mass), after treatment with 100 mM NaCl (compared to a control, distilled water), which resulted in a significant loss in the yield of common bean (Phaseolus vulgaris L.) plant [51]. However, pre-soaking the beans in MLE for 8 h significantly increased the growth parameters. The combined treatment of MLE + NaCl (100 mM) alleviated the adverse effects of NaCl-salinity and maintained the growth traits and bean yield at the same levels as the control plants. Cytokinin is one of the most important growth regulators discovered in MLE. It has an important role in increasing the chlorophyll content of plants and improving cell division [65].
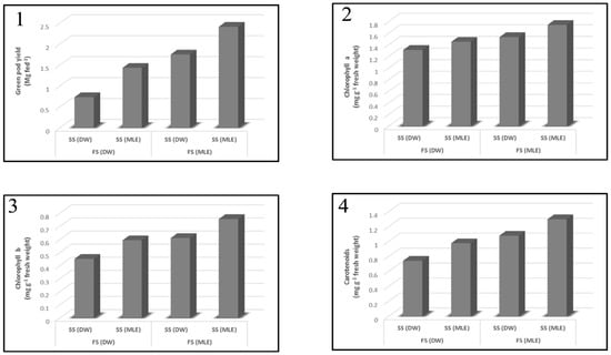
The growth parameters (i.e., number of leaves/plant, shoot length and dry weight) of common bean plants grown under saline conditions were positively affected by the application of MLE in two seasons. Addition of MLE, as a seed soak (SS) or foliar spray (FS), led to significant increases in all growth characteristics compared to control plants (Figure 1(1)) [66,67]. A plant growth spray made from moringa leaves enhanced crop production by 20–35% [29]. In addition, numerous experiments have shown that spraying plants with MLE accelerated plant growth [68,69]. Howladar [56] reported that NaCl and/or CaCl2 application significantly decreased the growth parameters and yield of bean plants. It was found that the combined influence of these two stress factors was more harmful than their individual affects. Compared to the control plants, the shoot length, root length, leaf area and plant dry weight decreased by 28.1%, 49.6%, 40.2% and 63.2% respectively. In addition, the number of pods/pot, pod protein and pod yield/pot were reduced by 62.7%, 63.3% and 51.2% respectively. Plant treatment with MLE, in the absence of NaCl and/or CaCl2, stimulated bean growth and yield and were significantly higher than in the control group. Foliar application of MLE also enhanced the growth of bean plants after treatment with NaCl and/or CaCl2 and the values were significantly higher than those of the plants grown under stress alone [56].

Figure 1.
Effect of foliar spray (FS) and/or seed soaking (SS) with MLE or distilled water (DW) on (1) green pod yield, (2) chlorophyll a, (3) chlorophyll b, (4) carotenoids, (5) soluble sugars, (6) electrolyte leakage, (7) nitrogen content, (8) phosphorus content, (9) potassium content and (10) sodium content of Pea (Pisum sativum L.) plants growing under salinity stress condition [66].
Moringa leaf ethanol extract is a natural plant growth enhancer, has low cost and enhances the tolerance of plants for difficult environmental conditions, such as drought. However, MLE has also gained attention owing to its high content of proteins, antioxidants (ascorbic acid, flavonoids, phenolics and carotenoids), mineral ions (P, Ca, Fe, K, Cr, Cu, Mg, Mn and Zn), amino acids, vitamin A, vitamin C, B-complex and plant hormones, especially cytokinins (zeatin) [70]. Drought stress has a destructive effect on the cytokinin content of plants; therefore, the high levels of zeatin in MLE make it particularly effective as a natural compound promoting plant tolerance under stress conditions [61]. Hanafy [71] observed that MLE is rich in nutrients, antioxidants (such as ascorbic acid, α- tocopherol, phenols and flavonoids), as well as phytohormones (such as IAA and GAs). Plant growth traits (fresh and dry weights of shoots and roots, shoot and root length) of Glycine max plants were affected by drought and the effect increased as the water holding capacity of the plants decreased (60% and 40%). It was reduced significantly with increasing drought stress as compared with the control group. Spraying plants with MLE resulted in a noticeable improvement in all growth parameters, compared to untreated plants, indicating higher growth efficiency and development with MLE supplementation. Plants treated with MLE and subjected to drought stress showed highly significant increases in growth traits compared with either drought-stressed plants or well-watered plants.
3.2. Effect of Moringa oleifera on Physicochemical Attributes
All physicochemical attributes (i.e., total chlorophyll, total carotenoids, relative water content (RWC, %), electrolyte leakage (EL, %), membrane stability index (MSI, %), free proline, total soluble sugars, ascorbic acid, N, K, P, Ca, K/Na ratios, Ca/Na ratios, K + Ca/Na ratios and antioxidant enzymes) (Figure 1(2–10)) of pea (Pisum sativum L.) were affected by the application of MLE under salinity stress conditions [61,66]. Higher chlorophyll content and enhanced growth traits were positively reflected in the dry seed yield and green pods of bean plants grown under saline conditions. These increases may be due to assimilation of ascorbic acid and have been linked to cytokinin levels found in MLE [51,72]. Salt stress significantly increased EL; however, the addition of MLE significantly reduced it. This decrease in EL was greater when MLE was applied as both a SS and FS [61,66]. When plants are subject to salinity stress, EL (Figure 1(6)) can cause damage to cell membranes. Maintaining the integrity of cell membranes under saline conditions is an important goal of salinity tolerance techniques [73]. The addition of MLE significantly enhanced the RWC of plants, compared to the control plants and the highest elevation in RWC was observed when MLE was applied as a SS combined with a FS. Relative water content is a useful measure of the physiological condition of plants [74]. MLE is reported to enhance RWC and the tolerance of plants to salt stress, probably due to increases in the concentrations of osmoprotectants [66,67].
The use of an MLE foliar spray on bean plants grown under saline conditions led to a significant increase in soluble sugar content (Figure 1(5)) [51,66]. The MLE participates in osmotic adaptation and ability by directly, or indirectly, modifying the code of genes involved in metabolic procedures, storage functions and defense [75]. It has been reported that the oxidative injury created during salinity stress is due to a disparity in the production of reactive oxygen species (ROS) and antioxidant active alterations [76]. To avoid oxidative stress injury, plants have evolved antioxidant systems, including non-enzymatic ones, such as ascorbic acid (AsA), that act to directly lower ROS during various forms of stress [77]. In this respect, the maximum concentrations of AsA in bean plants were found in MLE-treated plants [78]. Since AsA can immediately remove O2 and H2O2 through a non-enzymatic path, the addition of foliar MLE can be used to inhibit O2 accumulation [79]. The presence of zeatins, such as cytokinin, in MLE prevents early aging of the leaves and preserves the largest possible leaf area, thereby increasing the rate of photosynthesis [57]. Cytokinin levels are usually reduced in the later stages of plant growth. Therefore, the external addition of cytokinins, through the application of MLE, can delay this process and increase the chlorophyll and soluble sugar content in salt-stressed bean plants [57,80]. This study demonstrated that the inhibitory effects of abiotic stress on the growth and production of plants could be mitigated by the exogenous addition of MLE.
3.3. Applications of Moringa oleifera in Water Treatment and Purification
Softening is the abstraction of ions that cause hardness in water. Hardness is mostly caused by Ca and Mg ions, or at times, by Fe, Mn, strontium and Al ions. Hardness can lead to excessive soap consumption. In general, water hardness should not be above 300 mg L−1 to 500 mg L−1; hardness greater than 150 mg L−1 may require softening [81]. Chemicals used for water treatment are expensive and are not available locally in most developing countries. Thus, biological anticoagulants that can be used in water desalination, such as Moringa oleifera seeds, need to be investigated [82]. Moringa is one of the most important natural substances that can be used in the purification of drinking water [22,81] at low cost and low risk to human health and the environment [83]. Dried, ground moringa seeds coagulate debris in water due to their active soluble protein component, which is a natural cationic polyelectrolyte [84]. Initial water hardness of 80.3 g L−1 CaCO3 was found to have decreased between 50% and 70% after coagulation and softening with M. oleifera [85]. Water hardness reduction increased with increasing dosage of M. oleifera in England using water samples from four sources, with different levels of hardness [86]. Several studies have reported on the performance of M. oleifera seeds as an alternative coagulant, or coagulant aid, for various water treatments, such as the removal of turbidity, alkalinity, dissolved organic carbon (DOC), humic acid and hardness from raw water [87,88,89,90,91,92]. Earlier studies also recommended the use of moringa seed extracts as a coagulant in water treatment for the removal of various pollutants such as acid orange 7 dye and alizarin violet 3R dye [89,93]. Prasad [94] carried out color reduction studies on distillery spent wash using moringa seeds and the optimum color reduction was found to be between 56% and 67% using NaCl and KCl salts respectively. It has also been used to treat palm oil mill effluent waste (POME) and dairy industry waste (DIW) [89,95].
Studies conducted mainly on river water in African countries, including Nigeria, Rwanda, Malawi, Egypt and Sudan, indicated reductions in turbidity and color of over 90% and microorganism (such as Escherichia coli) reduction of over 95% [81,84,96]. Moringa seed aqueous extract reduced the number of fecal coliforms, Staphylococcus aureus, in water from rivers and wells [96,97]. Moringa seed powder had bacterial removal efficiency of up to 99.5% [96]. In addition, moringa seed powder can reduce heavy metals such as manganese, iron, copper, chromium and zinc in water [98]. The results of several studies conducted in Sudan and England that showed total hardness removal in water treated with moringa seed powder [81]. Water pH is an important parameter that determines coagulating capacity, because it affects the degree of ionization and solubility of adsorbate [99]. The coagulation process using moringa seed powder worked better at pH 6.5–9, while alkaline conditions were better for clarification [84,96,100]. At the same time, high temperatures increased the coagulating power of moringa seed powder and it was negatively affected by temperatures below 15 °C [84]. Therefore, for the best results using Moringa oleifera seed powder or extract for water treatment, pH, contact time and temperature should be controlled and monitored [96,101,102]. Overall, moringa is an underused plant that could bring a multifaceted approach to addressing water and nutrition issues in agriculture, particularly in rural sub-Saharan African communities [96].
Moringa seeds can also be used for the purification of water [103]. Aruna and Srilatha [104] reported on the antibacterial effect of moringa seed powder in water purification and clarification of fish ponds. Egbuikwem and Sangodoyin [105] observed 90% turbidity removal by moringa seed extract in well, stream, water samples and examined its effectiveness against Escherichia coli in stream water. The presence of 1% flocculent proteins in its oil cakes binds mineral particles and organics in the purification and treatment of drinking water. Moringa seeds present a potential substitute for some conventional synthetic chemical coagulants such as alum—although it is not as effective for turbidity removal as alum—that might increase the risk of cancer and it is considered to be a natural, biodegradable, environmentally friendly and safer substance [104,105,106].
3.4. Effect of Moringa on Heavy Metal Accumulation in Water and Soil
Heavy metals are some of the most important pollutants affecting water and soil quality. They have significant toxic effects on humans and aquatic species, hence, their removal is essential [89]. Metal biosorption occurs through various mechanisms such as chemisorption, complexation, ion exchange, microprecipitation and adsorption-surface complexation. Metal adsorption onto agro-based adsorbent surfaces occurs owing to the functional groups present in the cell walls of plants [89]. Cellulose, present in the secondary cell wall, adsorbs metals from solution and the metal ions bind either because of two hydroxyl groups present in the cellulose/lignin unit or because of the hydrogen bonds of the metal [89,107]. Metals that can be removed from water using moringa seeds include arsenic, cadmium, zinc and nickel [108,109,110]. Moringa oleifera seeds have been shown to remove arsenic from water [111]. Sorption studies by Idris et al. [89], showed that, in a batch experiment, the optimum conditions achieved for the removal of arsenic (III) and arsenic (V) by M. oleifera seeds were 60.21% and 85.06% respectively. For cadmium and nickel, 85.10% and 90% removal were achieved, respectively. The percentage removal was 90% for copper, 80% for lead, 60% for cadmium and 50% for zinc and chromium [89,112].
Moringa seed extract (MSE) removes heavy metal ions from the soil at pH levels of 6 to 8. The success of MSE in removing these elements is owing to its ability to contain them on proteins, creating complexes and limiting their availability [113].
Many studies have shown that the use of MSE has led to a decrease in heavy metal contamination of groundwater [96,114,115]. The use of moringa seeds resulted in the elimination of some heavy metals, such as Fe, while Cu and Cd levels were reduced by 98% and Pb was reduced by 78% [116]. The decrease in heavy metal accumulation in plants and soil can be attributed to the presence of multiple functional groups in MSE, such as carbohydrates, lignin, fatty acids and protein units, which contain a carboxylic group and various amino (-NH2) groups [117] these groups form insoluble complexes with heavy metals, which reduces their availability in the soil to be absorbed by plants [117,118,119]. MSE is also classified as one of the adsorbents of lignocellulosic, consisting mainly of cellulose, hemicellulose and lignin groups. These groups contain many molecules that can absorb metal ions through ion exchange and complex formation [117].
3.5. Uses of Moringa in Plant Disease Management
Moringa is a multipurpose tree and, recently, a lot of research has gone into its medicinal use against human pathogens [38]. However, Adline and Devi [16] concluded that not as much research has been conducted on the use of moringa as a natural bio-agent against devastating crop pathogens with economic importance. In fact, there is an urgent need to find alternative methods and strategies to help in the management of soil-borne plant diseases; such methods should be ecofriendly and cost-effective. Moringa oleifera has been reported to have antimicrobial properties [15] and, therefore, should be included in IPM strategies.
There is no doubt that crops in third world countries, particularly African countries, are victims to fungal toxins (known as mycotoxins), heavy metals and chemicals from the indiscriminate use of pesticides, which present a threat to ecosystems and future generations. These toxins not only lead to imbalances in ecosystems but also interfere with food chains, resulting in environmental abnormalities. It is, therefore, important to find better alternatives for botanical fungicides, which have minimal environmental impact and no danger to human consumption compared with synthetic pesticides [47]. Intensive and continued fungicide usage is associated with development of resistance by fungi to systemic fungicides and the specificity of fungicide formulations, which affect only one pathway in the biosynthesis of fungal pathogens [120], processes that reduce the efficacy of fungicides. Hence, use of biological agents, such as moringa, in the control of soil-borne fungal pathogens notorious for causing root-rot diseases, might prove to be more effective than fungicides [121]. Not only are these bio-agents environmentally friendly compared to chemical methods, but they have also been shown (in several in-vitro studies) to effectively inhibit pathogen growth [122].
Plant extracts from several higher plants have been reported to display antifungal, antibacterial and insecticidal properties under laboratory conditions [123]. This has inspired scientists to investigate large numbers of plants for their antifungal potential against the most important seed-borne fungal species, with the aim of developing some plant-based formulations for the management of plant diseases and maintaining the quality of seeds for sowing and storage [124]. Most of these plant products are reported to have insecticidal properties [125]. It has been reported that the damping-off disease caused by Pythium debaryanum can be prevented in seedlings by digging moringa leaves into the soil before planting [22]. Saavedra Gonzalez et al. [126] reported that plants sprayed with moringa leaf ethanol extract were firmer and more resistant to disease and pests. Moreover, moringa has the potential to be used as a biopesticide. Incorporating leaves into the soil can prevent seedling damping off [22]. Furthermore, plants treated with MLE showed greater pest and disease resistance [30].
Foliar application of MLE has been shown to reduce fruit drop and increase fruit set, yield, fruit color, weight, firmness, vitamin C, soluble solids content, anthocyanin content and antioxidant activity in Hollywood plum [127]. Consequently, it may be concluded that the foliar application of moringa leaf aqueous extract can be regarded as a cheap biostimulant—a source of plant growth hormones and minerals—for improving the yield and quality of plant crops, especially given the trend toward organic farming [127]. MLE increased seed germination by 92% compared with a control group and provided seeds with protection from infection: MLE-treated seeds showed 9.33% seed infection, which was significantly different from the control group (66% seed infection) but was not significantly different from chemically treated seeds [124].
Interestingly, in a study of the mycelial growth inhibition of Aspergillus flavus isolated from stored maize grains, M. oleifera seed powder was the most favorable treatment, compared with Fernazzan D (a chemical fungicidal material) [128].
Several trials have tested the efficacy of MLE in combination with biocontrol agents for plant disease control. In in-vitro experiments, potato dextrose agar (PDA) was amended with MLE and the mycelial growth of Sclerotium rolfsii was measured. Results showed that MLE was effective against Sclerotium mycelial growth on PDA. Higher aqueous extract concentrations resulted in a decrease in the mycelial growth and no mycelial growth was recorded at an extract concentration [10]. These results show that moringa treatment affected both the mycelial growth of the pathogen and its further development, confirming the antifungal properties of MLE against fungal pathogens [129]. In addition, the combined effect of MLE and other biocontrol agents, revealing that they can be successfully used as a seed treatment against Sclerotium rolfsii, the causal agent of damping off and stem rot in cowpea [130].
Moringa is resistant to diseases and pests itself because of its relatively fast vegetative growth, which allows it to regenerate quickly after any disturbance from the most common pests and diseases, including grasshoppers, crickets, caterpillars, termites and fungal disease [126]. A phytochemical analysis of moringa leaves and seed solvent aqueous extracts found flavonoids, alkaloids, tannins, glycosides, terpenoids and phenolic compounds, etc. [131]. Moringa oleifera leaves contain some fatty acids, crystalline alkaloids, proteins, niazirin and glycosides, which are thought to be responsible for their antimicrobial activities [129].
The synergistic effects of Trichoderma and moringa can protect plant growth against pathogen infection [10]. Farmers could use this combination to decrease the yield losses caused by disease pathogens and therefore increase their income. Microbial diseases are widespread and there is a need to use antimicrobial agents. It has been shown that moringa is an effective antimicrobial agent [132]. MLE can act against bacteria like Bacillus subtilis, Staphylococcus aureus and Vibrio cholera as shown by Viera et al. [133]. The antibacterial effects of the seeds were determined by screening for the antibacterial compounds moringine, benzyl isothiocyanate and pterygospermin [134]. Furthermore, moringa seed aqueous extracts are reported to have antimicrobial properties that can lead to the inhibition of bacterial growth, thereby averting waterborne diseases. These properties of M. oleifera seeds not only have a broad application in preventing diseases but can also potentially enhance the quality of life in rural communities [134].
Moreover, moringa can be used in the management of crop disease in organic farming systems due to the various bioactive ingredients it contains, which act in different ways against the pathogenic infection of plants [135]. Farooq et al. [130] conducted an in-vitro study to test the effect of two different concentrations of Moringa oleifera leaf and seed aqueous extracts in inhibiting the mycelial growth of two soil-borne pathogens: Fusarium solani and Rhizoctonia solani. Results showed that both moringa aqueous extracts revealed 50% growth inhibition of F. solani at the 30% concentration level. The maximum inhibition percentages recorded against R. solani were 45% and 50% using moringa seed aqueous extract at 25% and 30% concentrations, respectively. They concluded that moringa seed and leaf aqueous extracts contain antifungal properties, which resulted in effective growth inhibition of F. solani and R. solani. Moringa aqueous extract concentration influenced the antifungal activity: the higher concentration levels displayed an increase in antifungal efficacy. Moringa has been used to control the Rhizopus pathogen, which is a major causal organism in food spoilage and losses [136]. Many in-vitro studies have highlighted moringa’s ability to inhibit food disease pathogens, such as Salmonella typhi, Salmonella paratyphi, Escherichia coli, Shigella dysenteriae, Citrobacter spp. and Pseudomonas aeruginosa [137].
4. Uses of Moringa in the Animal and Poultry Industry
Almost all parts of Moringa oleifera are used as food. Leaves of M. oleifera are used as food or animal feed during the dry season or periods of drought [138]. In Africa and Asia, moringa pods, flowers, roots and leaves are cooked and eaten as an alternative to green vegetables [13]. The high protein content, good mineral profile and presence of vitamins (especially A, B and C) in moringa leaves make them a feed for animal and poultry. They contain 30% to 40% edible oil (ben oil) [39]. Ben oil provides good amounts of oleic acid, sterols and tocopherols, which prevent rancidity [138] and it possesses antiviral, antioxidant, anti-inflammatory, cardio-protective, anti-asthmatic and anticancer medicinal properties. Antibiotic and antifungal effects against Fusarium solani, Bacillus subtilis, Staphylococcus aureus and Pseudomonas aeruginosa result from pterygospermin, which is present in moringa seeds [18,139]. Anemic patients are treated with its leaves to increase their iron levels and its roots and bark are used in the treatment of cardiac issues [103]. According to Jabeen et al. [139] the efficiency of animal feed concentrates can be improved by supplementation with M. oleifera leaves. Similarly, Sultana et al. [18] reported that soybean meal (SBM) supplemented with moringa leaves significantly affected growth performance (body weight and body weight gain) in poultry. The birds also had better health status and feed conversion ratio (FCR). According to Chollom et al. [140] MLE has an antiviral effect on Newcastle disease virus (NDV). Despite the great advantages of Moringa oleifera when used in animals or poultry, excessive use in large quantities lead to negative results because it contains some anti-nutritional properties that show their effectiveness with the addition of a larger quantity of the animal.
4.1. Inclusion of Moringa oleifera Leaf in Poultry Diets
Moringa oleifera leaves are reportedly devoid of heavy metals such as cadmium, arsenic and mercury and contain significant quantities of vitamins (A, B and C), therefore its integration into poultry diets is safe and could enhance the output performance in poultry production [141]. Adequate levels of dietary moringa leaves could have significant effects on growth, production performance and carcass characteristics of birds. It has been reported that better feed efficiency could be a result of improved digestibility and antimicrobial properties against gut pathogens [142]. Moringa leaf meal can be safely included in cassava-based layer diets at 10% concentration without lowering feed intake. According to Olugbemi et al. [143], M. oleifera has a hypocholesterolemic effect and it can be added to poultry feed to reduce egg cholesterol content. Abou-Elezz et al. [144] verified that dietary moringa leaf meal (up to 10%) can produce a useful impact on yolk color and resulted in no significant adverse effects on egg laying rate. Therefore, 10% moringa leaf meal has been recommended as a sustainable feed supplement in laying hen diets. The 5% moringa leaf meal level had a beneficial impact on birds, while dietary levels of 15% and 20% produced adverse effects [144,145]. Safa and Tazi [146] verified that broilers fed diets containing 5% moringa leaf meal for 7 weeks had increased body weight and higher total feed intake and improved feed conversion ratio compared to a control group. In another experiment, dry matter intake (DMI) increased as moringa leaf meal inclusion in feed increased in broilers because of increased bulk and metabolizable concentration [147]. Moringa leaf meal was a good source for improving yolk pigments and had no negative effects on egg shape index and shell thickness [148]. This could be due to the high carotene content (~15.25 to 16.30 mg 100 g−1 of moringa leaf meal) [149]. Higher albumen and lower yolk, indices imply a relatively lower concentration of cholesterol, which is a high-quality attribute for egg consumers [148]. The supplementation of sunflower with moringa leaf meal had a significant effect on egg weight when used at 5% concentration in the diet [145].
Moringa oleifera has antioxidant activity due to its phytochemical content, which can influence the stability, palatability, processing properties and shelf life of poultry products [43,150]. Flavonoids, mainly flavonols, are the most important antioxidants in moringa [39]. Their antioxidant activity was higher than that of vitamin C and could be used to prolong the shelf life of poultry products [151]. Dietary supplementation with low levels of moringa leaf meal has no effect on nutrient digestibility and may even improve feed efficiency. Supplementary moringa leaf meal of up to 10% showed no significant effects on body weight, feed consumption, or feed conversion ratio [150]. The positive effects of dietary Moringa oleifera supplementation on animal performance may be attributed to contents of moringa in calcium, magnesium, sodium, potassium, copper, iron, zinc, manganese, α-tocopherol, β-carotene and ascorbic acid as well as PUFA and some bioactive components of moringa.
Other studies have also established that excessive amounts of M. oleifera might produce adverse effects on egg-laying performance. Addition of 20% moringa leaf meal to layer diets, as a substitute for sunflower seed meal, significantly decreased egg production and total egg weight [145]. Similarly, Mutayoba et al. [152] reported that supplementing diets with 20% moringa leaf meal adversely affected egg mass production and egg laying rate, despite the dietary energy level, while the 5% supplementation level had no adverse effects. Ebenebe et al. [153] observed that diets supplemented with 2.5% moringa leaf meal significantly affected internal egg quality in comparison with the control group; adding varying grades of moringa leaf meal (0%, 5%, 10% and 15%) to layer diets linearly decreased egg mass and egg-laying percentage, while egg weight showed a quadratic trend as the percentage of leaf meal increased [143]. The possibility of moringa leaf meal being used as a substitute for soybean meal in broiler feed, but reported that high levels of leaf meal led to a decrease in growth rate [149]. According to Olugbemi et al. [143], these adverse effects of high levels of leaf meal in poultry diets could be a result of low digestibility of the protein. This conclusion is supported by Kakengi et al. [145], who observed an increase in feed intake and dry matter intake in laying hens fed diets containing 10% and 20% moringa leaf meal. This result was similar to previous reports [144] that dry matter intake showed a quadratic trend with increasing levels moringa leaf meal (0–15%). However, feed efficiency was negatively affected in the birds fed diets supplemented with higher levels of leaf meal [145]. Moringa leaf meal could be used to replace the groundnut cake in the diets of grower rabbits and the supplementation level can reach 60% with high feed to gain ratio and feed cost efficiency [154]. Phytate content in M. olifera might decrease availability of minerals, thus various enzymes such as phytase could be added to feed containing moringa leaves to increase phosphorus availability [55,155].
Several investigations exhibited that poultry performance was depressed with addition of M. oleifera, evidenced by decreased body gain and increased feed conversion ratio, which might be due to the anti-nutritional factors, such as phytate tannins, total phenols and saponins [30]. Thus, more work is required to examine how different levels of supplementary M. oleifera affect the poultry performance and further limit an optimal inclusion rate in diets. In general, it means the plant can be dangerous only if consumed too frequently or in large amounts. Supplementation with M. oleifera at low levels improved egg quality but higher levels of inclusion resulted in lower productivity [144]. Decreased egg weight at higher concentrations of moringa leaf meal (≥10%) was due to lower protein retention, energy availability and lower crude fiber (CF) digestibility [156]. These observations suggested that M. oleifera leaves might be a suitable feed stuff for poultry; however, attention should be paid to the dietary levels.
4.2. Anticoccidial Effect of Moringa oleifera on Poultry Parasitic Diseases
One of the most important diseases of poultry is avian coccidiosis and it is responsible for many broiler mortalities worldwide. The use of anticoccidial drugs is the main control of this disease; however, herbal preparations could be used as a replacement coccidiosis treatment in chickens. Ola-Fadunsin et al. [157] examined the efficacy of M. oleifera acetone extracts (1.0 to 5.0 g/kg body weight) against avian coccidiosis and found a direct effect on broiler chickens infected naturally with mixed Eimeria species compared with negative control (untreated group) and positive control (treated with toltrazuril, 7 mg/kg BW). The anticoccidial activity of M. oleifera, administered either as powdered leaves, as a prophylactic, or as ethanolic extract, could be related to the antioxidant properties of M. oleifera (ascorbic acid, flavonoids, phenolics and carotenoids) [158]. These compounds inhibit the presence of oocysts in fecal matter, provide cellular protection against oxidative stress and decrease the severity of E. tenella infections by changing the degree of peroxidation of the intestinal lipid [159].
Allen et al. [159] examined the antioxidant effect of M. oleifera leaf ethanol extract and fruit. After infection with Eimeria species, the host’s cellular immune response produced free radical oxidative species, which play a vital role in the defense mechanism against parasitic infections. [160] observed that antioxidant activity is due to the presence of polyphenols, tannins, anthocyanin, glycosides and thiocarbamates, which may remove free radicals, activate antioxidant enzymes and inhibit oxidases because of cytoplasmic membrane attachment and, thus, make these elements available for the birds to use [139].
4.3. Antiviral Activity of Moringa oleifera on Poultry Viral Disease
Newcastle disease virus is considered one of the most infectious and contagious viral diseases of domestic poultry and wild birds. It has a high morbidity and mortality rate, which can result in sharp economic losses to the poultry industry worldwide [161]. The main control system of NDV is vaccination but there are some challenges with this approach, especially in rural areas with poor farms: the cost of vaccines is high, the cold chain systems required by these vaccines may not be available and small size and multiage birds, can affect the success of the vaccination [162]. Improving the immunogenicity of the vaccine by applying complementary approaches, such as natural plants, might be a good way to overcome such infectious diseases.
A complementary method of controlling this virus is the use of medicinal plants. Plants contain alkaloids, flavonoids, saponins and tannins, which can act as antiviral agents. Several studies have examined the moringa extract concentration required to provide the best antiviral activity. The effect of aqueous seed aqueous extract of M. oleifera against NDV was investigated by Chollom et al. [140], who used an in ovo assay and reported that the extract concentration was directly proportional to virus death and inversely proportional to the production of antibodies against NDV. According to these findings, M. oleifera seed aqueous extract has a powerful antiviral activity against NDV in ovo; it also had a nutritional value. The extract contains considerable amounts of vitamins A, B and C, minerals (such as calcium ions, iron, potassium) and proteins, in addition to traces of carotenoids, saponins, phytates and phenolic constituents [42,163] which may be responsible for the immunomodulation of the immune system. The role of M. oleifera in modulating immune responses may be linked to the enhanced production of factors responsible for growth, such as cytokines, which activate both innate and adaptive immunity [164].
4.4. Antibacterial Effect of Moringa oleifera on Poultry Bacterial Disease
Pathogens that cause disease and economic losses in poultry include Escherichia coli, Salmonella spp. and mycoplasma [165]. Abiodun et al. [166] studied the antibacterial and phytochemical effects of aqueous extracts of M. oleifera roots on Escherichia coli-infected broiler chicks and established that moringa roots (aqueous extract) can be used as a replacement for synthetic antibiotics in combating pertinent poultry diseases, especially those of the Escherichia coli origin. Extracts of 15 g L−1 dosage are recommended, since this level shows better serological indices than other dose levels examined (5 or 10 g L−1) compared with commercial antibiotics [166]. Moringa oleifera acetone extract was reported to have antibacterial properties and conclusion was made to investigate it as a phytotherapeutic agent to combat infectious agents [167]. The antimicrobial action of M. oleifera seed extracts might be due to the presence of lipophilic compounds; these compounds can attach to the cytoplasmic membrane. The moringa seed ethanol extract may also contain antibiotic metabolites such as carboxylic acid, 2,4-diacetylphloroglucinol, cell wall-degrading enzymes and chitinases [136,139]. From the previous research literature that was interested in the antibacterial effect of Moringa oleifera on poultry we found it rare, so we encourage more studies at this point.
5. Conclusions
Moringa oleifera L. is known as one of the most useful multipurpose plants. Some parts of the moringa tree (leaves, pods, seeds, flowers, fruits and roots) are eaten as food and some are taken as a remedy. Moringa is rich in phytochemical compounds that confer on the plant significant medicinal properties that could be valuable for treating certain ailments. The leaves and seeds of M. oleifera are a source of protein, iron, calcium, ascorbic acid vitamin A and antioxidant compounds such as carotenoids, flavonoids, vitamin E and phenolic compounds. Thus, its leaves could be used as a supplement to improve feed efficiency and livestock performance, or be used to replace conventional crops to obtain more economically sustainable. The use of moringa as a crop enhancer is an environmentally friendly strategy for improving crop yields at the lowest possible cost. In addition, moringa and its derivatives have several nutritional and biological applications, including use in green fertilization, animal and poultry feeds, medicines, biopesticides and seed production. In addition, moringa contributes in plant disease management in being antioxidant, antifungal, antibacterial and insecticidal. On the other hand, some parts of the moringa tree contain toxins and other anti-nutritional factors, which limit their utility as a source of food for humans or animals. This means that the plant can be dangerous if consumed too frequently or in large amounts. Therefore, it has been suggested that more attention should be paid to how moringa is used in diets. We recommend the use of moringa at low or medium concentrations in the field of animal and poultry production because high concentrations cause some problems because it contains some toxins and other anti-nutritional factors. However, the benefit of moringa should be used to improve plant production and soil characteristics. Therefore, emphasis should be placed on providing research on moringa to highlight its roles in agricultural production (plant and animal).
Author Contributions
Conceptualization, M.E.A.E.-H., M.A., A.S.E., E.-S.M.D., H.M.N.T. and A.S.M.E.; Writing-Original Draft Preparation, M.E.A.E.-H., M.A., A.S.E., E.-S.M.D., H.M.N.T., A.S.M.E, S.S.E. and A.A.S; Writing-Review & Editing, M.E.A.E.-H., M.A., A.S.E., E.-S.M.D., H.M.N.T. and A.S.M.E.; Visualization, M.E.A.E.-H. and M.A.; Administration, S.S.E. and A.A.S.
Funding
This research received no external funding.
Acknowledgments
Authors thank their respective universities for their support.
Conflicts of Interest
The authors declare no conflict of interest.
References
- Ahossi, P.K.; Dougnon, J.T.; Kiki, P.S.; Houessionon, J.M. Effects of Tridax procumbens powder on zootechnical, biochemical parameters and carcass characteristics of Hubbard broiler chicken. J. Anim. Health Prod. 2016, 4, 15–21. [Google Scholar]
- Ciftci, M.; Ertas, O.N.; Guler, T. Effect of vitamin E and vitamin C dietary supplementation on egg production and egg quality of laying hens exposed to a chronic stress. Rev. Med. Vet. 2005, 156, 107–111. [Google Scholar]
- Nghonjuyi, N.W.; Tiambo, C.K.; Kimbi, H.K.; Manka’a, C.N.; Juliano, R.S.; Lisita, F. Efficacy of ethanolic extract of Carica papaya leaves as a substitute of sulphanomide for the control of coccidiosis in KABIR chickens in Cameroon. J. Anim. Health Prod. 2015, 3, 21–27. [Google Scholar] [CrossRef]
- Cross, D.E.; Mcdevith, R.M.; Hillman, K.; Agamovic, T. The effect of herbs and their associated essential oils on performance, digestibilities and gut microflora in chickens 7 to 28 days of age. Br. Poult. Sci. 2007, 4, 496–506. [Google Scholar] [CrossRef] [PubMed]
- Soliman, K.M.; Badea, R.I. Effect of oil extracted from some medicinal plants on different mycotoxigenic fungi. Food Chem. Toxicol. 2002, 40, 1669–1675. [Google Scholar] [CrossRef]
- Burtis, M.; Bucar, F. Antioxidant activity of Nigella sativa essential oil. Phytother. Res. 2000, 14, 323–328. [Google Scholar] [CrossRef]
- Abd El-Hack, M.E.; Alagawany, M. Performance, egg quality, blood profile, immune function and antioxidant enzyme activities in laying hens fed diets with thyme powder. J. Anim. Feed Sci. 2015, 24, 127–133. [Google Scholar] [CrossRef]
- Abd El-Hack, M.E.; Alagawany, M.; Farag, M.R.; Tiwari, R.; Kumaragurubaran, K.; Dhama, K.; Zorriehzahra, J.; Adel, M. Beneficial Impacts of Thymol Essential Oil on Health and Production of Animals, Fish and Poultry: A review. J. Essent. Oil Res. 2016, 28. [Google Scholar] [CrossRef]
- Maroni, H.M. Studying the effects of pesticides on humans (International Commission on Occupational Health). In Proceedings of the 9th International workshop, International Centre for Pesticide Safety, Busto Garolfo, Milan, Italy, 2–4 May 1990. [Google Scholar]
- Adandonon, A.; Aveling, T.A.S.; Labuschagne, N.; Tamo, M. Biocontrol agents in combination with Moringa oleifera extract for integrated control of Sclerotium-caused cowpea damping-off and stem rot. Eur. J. Plant Pathol. 2006, 115, 409–418. [Google Scholar] [CrossRef]
- Farag, M.R.; Alagawany, M.; Badr, M.M.; Khalil, S.R.; El-Kholy, M.S. An overview of Jatropha curcas meal induced productive and reproductive toxicity in Japanese quail: Potential mechanisms and heat detoxification. Theriogenology 2018, 113, 208–220. [Google Scholar] [CrossRef] [PubMed]
- Dahot, M.U. Vitamin contents of the flowers and seeds of Moringa oleifera. Pak. J. Biochem. 1988, 21, 1–2. [Google Scholar]
- Fahey, J.W.; Zalcmann, A.T.; Talalay, P. The chemical diversity and distribution of glucosinolates and isothiocyanates among plants. Phytochemistry 2001, 56, 5–51. [Google Scholar] [CrossRef]
- Yang, R.; Chang, L.C.; Hsu, J.C.; Weng, B.B.C.; Palada, M.C.; Chadha, M.L.; Levasseur, V. Nutritional and functional properties of Moringa leaves—from Germplasm, to plant, to food, to health. Moringa Nutr. Plant Resour. Strateg. Stand. Mark. Better Impact Nutr. Afr. 2006, 11, 16–18. [Google Scholar]
- Ali, G.H.; El-Taweel, G.E.; Ali, M.A. The cytotoxicity and antimicrobial efficiency of Moringa oleifera seeds extracts. Int. J. Environ. Stud. 2004, 61, 699–708. [Google Scholar] [CrossRef]
- Adline, J.; Devi, J. A study on phytochemical screening and antibacterial activity of Moringa oleifera. Int. J. Res. Appl. 2014, 2, 169–176. [Google Scholar]
- Fuglie, L.J. The Miracle Tree: Moringa oleifera, Natural Nutrition for the Tropics; Church World Service: Elkhart, IN, USA, 1999; p. 172. [Google Scholar]
- Sultana, N.; Alimon, A.R.; Haque, K.S.; Sazili, A.Q.; Yaakub, H.; Hossain, S.M.J. The effect of cutting interval on yield and nutrient composition of different plant fractions of Moringa oleifera tree. J. Food Agric. Environ. 2014, 12, 599–604. [Google Scholar]
- Olson, M.E.; Carlquist, S. Stem and root anatomical correlations with life form diversity, ecology and systematics in Moringa (Moringaceae). Bot. J. Linn. Soc. 2001, 135, 315–348. [Google Scholar] [CrossRef]
- Olson, M.E. Combining data from DNA sequences and morphology for a phylogeny of Moringaceae (Brassicales). Syst. Bot. 2002, 27, 55–73. [Google Scholar]
- Shahzad, U.; Khan, M.A.; Jaskani, M.J.; Khan, I.A.; Korban, S.S. Genetic diversity and population structure of Moringa oleifera. Conserv. Genet. 2013, 14, 1161–1172. [Google Scholar] [CrossRef]
- Fahey, J.W. Moringa oleifera: A Review of the Medical Evidence for Its Nutritional, Therapeutic and Prophylactic Properties. Trees Life J. 2005, 1, 1–15. [Google Scholar]
- Berger, M.R.; Habs, M.; Jahn, S.A.A.; Schmalhl, D. Toxicological assessment of seeds from Moringa oleifera and Moringa stenopetala, two highly efficient primary coagulants for domestic water treatment of tropical waters. East Afr. Med. J. 1984, 61, 712–717. [Google Scholar] [PubMed]
- Sultana, B.; Anwar, F. Flavonols (kaempeferol, quercetin, myricetin) contents of selected fruits, vegetables and medicinal plants. Food Chem. 2008, 108, 879–884. [Google Scholar] [CrossRef] [PubMed]
- Gopalakrishnan, L.; Doriya, K.; Kumar, D.S. Moringa oleifera: A review on nutritive importance and its medicinal application. Food Sci. Hum. Wellness 2016, 5, 49–56. [Google Scholar] [CrossRef]
- Aregheore, E.M. Intake and digestibility of Moringa oleifera-batiki grass mixtures for growing goats. Small Rumin. Res. 2002, 46, 23–28. [Google Scholar] [CrossRef]
- Richter, N.; Perumal, S.; Becker, K. Evaluation of nutritional quality of Moringa (Moringa oleifera Lam.) leaves as an alternative protein source for Nile tilapia (Oreochromis niloticus L.). Aquaculture 2003, 217, 599–611. [Google Scholar] [CrossRef]
- Rubanza, C.; Shem, M.; Otsyina, E.; Bakengesa, S.; Ichinohe, T.; Fujihara, T. Polyphenolics and tannins effect on in vitro digestibility of selected Acacia species leaves. Anim. Feed Sci. Technol. 2005, 119, 129–142. [Google Scholar] [CrossRef]
- Asaolou, V.; Binuomote, R.; Akinlade, J.; Aderinola, O.; Oyelami, O. Intake and growth performance of West African dwarf goats fed Moringa oleifera, Gliricidia Sepium and Leucaena leucocephala dried leaves as supplements to cassava peels. J. Biol. Agric. Healthc. 2012, 2, 76–88. [Google Scholar]
- Makkar, H.P.S.; Becker, K. Nutritional value and antinutritional components of whole and ethanol extracted of Moringa oleifera leaves. Anim. Feed Sci. Technol. 1996, 63, 211–228. [Google Scholar] [CrossRef]
- Grubben, G.; Denton, O. Plant Resources of Tropical Africa; Earthprint Limited: Stevenage, UK, 2004; pp. 56–60. [Google Scholar]
- Bose, C.K. Nerve growth factor, follicle stimulating hormone receptor and epithelial ovarian cancer. Med. Hypotheses 2004, 5, 917–918. [Google Scholar] [CrossRef] [PubMed]
- Bhattacharya, J.; Guha, G.; Bhattacharya, B. Powder microscopy of bark–poison used for abortion: Moringa pterygosperma gaertn. J. Indian Forensic Sci. 1978, 17, 47–50. [Google Scholar] [PubMed]
- Faizi, S.; Siddiqui, B.S.; Saleem, R.; Siddiqui, S.; Aftab, K.; Gilani, A.H. Isolation and structure elucidation of new nitrile and mustard oil glycosides from Moringa oleifera and their effect on blood pressure. J. Nat. Prod. 1994, 57, 1256–1261. [Google Scholar] [CrossRef] [PubMed]
- Morton, J.F. The Horseradish Tree, Moringa Pterygosperma (Moringaceae)—A boon to arid lands? Econ. Bot. 1991, 45, 318–333. [Google Scholar] [CrossRef]
- Mazumder, U.K.; Gupta, M.; Chakrabarti, S.; Pal, D. Evaluation of hematological and hepatorenal functions of methanolic extract of Moringa oleifera Lam root treated mice. Indian J. Exp. Biol. 1999, 37, 612–614. [Google Scholar] [PubMed]
- Bennett, R.; Mellon, F.; Foidl, N.; Pratt, J.; Dupont, M.; Perkins, L.; Kroon, P. Profiling glucosinolates and phenolics in vegetative and reproductive tissues of the multi-purpose trees Moringa oleifera L. (Horseradish tree) and Moringa stenopetala L. J. Agric. Food Chem. 2003, 51, 3546–3553. [Google Scholar] [CrossRef] [PubMed]
- Anwar, F.; Latif, S.; Ashraf, M.; Gilani, A.H. Moringa oleifera: A food plant with multiple medicinal uses. Phytother. Res. 2007, 21, 17–25. [Google Scholar] [CrossRef] [PubMed]
- Pandey, A. Moringa oleifera Lam. (Sahijan)—A plant with a plethora of diverse therapeutic benefits: An updated retrospection. Med. Aromat. Plants 2012, 1, 101. [Google Scholar] [CrossRef]
- Al-Asmari, A.K.; Albalawi, S.M.; Athar, M.T.; Khan, A.Q.; Al-Shahrani, H.; Islam, M. Moringa oleifera as an anti-cancer agent against breast and colorectal cancer cell lines. PLoS ONE 2015, 10. [Google Scholar] [CrossRef] [PubMed]
- Yameogo, C.; Bengaly, M.; Savadogo, A.; Nikiema, P.; Traore, S. Determination of chemical composition and nutritional values Moringa oleifera leaves. Pak. J. Nutr. 2011, 10, 264–268. [Google Scholar] [CrossRef]
- Siddhuraju, P.; Becker, K. Antioxidant properties of various solvent extracts of total phenolic constituents from three different agro-climatic origins of drumstick tree (Moringa oleifera Lam.). J. Agric. Food Chem. 2003, 15, 2144–2155. [Google Scholar] [CrossRef] [PubMed]
- Abbas, T.; Ahmed, M. Use of Moringa oleifera seeds in broilers diet and its effects on the performance and carcass characteristics. Int. J. Appl. Poult. Res. 2012, 1, 1–4. [Google Scholar]
- Pakade, V.; Cukrowska, E.; Chimuka, L. Comparison of antioxidant activity of Moringa oleifera and selected vegetables in South Africa. S. Afr. J. Sci. 2013, 109, 3–4. [Google Scholar] [CrossRef]
- Anwar, F.; Bhanger, M. Analytical characterization of Moringa oleifera seed oil grown in temperate regions of Pakistan. J. Agric. Food Chem. 2003, 51, 6558–6563. [Google Scholar] [CrossRef] [PubMed]
- Sreelatha, S.; Padma, P. Antioxidant activity and total phenolic content of Moringa oleifera leaves in two stages of maturity. Plant Foods Hum. Nutr. 2009, 64, 303–311. [Google Scholar] [CrossRef] [PubMed]
- Verma, J.; Dubey, N.K. Prospectives of botanicals and microbial products as pesticides of tomorrow. Curr. Sci. 1999, 76, 172–179. [Google Scholar]
- Jaafaru, M.S.; Nordin, N.; Shaari, K.; Rosli, R.; Abdull Razis, A.F. Isothiocyanate from Moringa oleifera seeds mitigates hydrogen peroxide-induced cytotoxicity and preserved morphological features of human neuronal cells. PLoS ONE 2018, 13. [Google Scholar] [CrossRef]
- Yasmeen, A.; Basra, S.M.A.; Ahmad, R.; Wahid, A. Performance of late sown wheat in response to foliar application of Moringa oleifera Lam. leaf extract. Chil. J. Agric. Res. 2012, 2, 92–97. [Google Scholar] [CrossRef]
- Rehman, H.; Nawaz, M.Q.; Basra, S.M.A.; Afzal, I.; Yasmeen, A.; Hassan, F.U. Seed priming influence on early crop growth, phenological development and yield performance of linola (Linum usitatissimum L.). J. Integr. Agric. 2014, 13, 990–996. [Google Scholar] [CrossRef]
- Rady, M.M.; Bhavya, V.C.; Howladar, S.M. Common bean (Phaseolus vulgaris L.) seedlings overcome NaCl stress as a result of presoaking in Moringa oleifera leaf extract. Sci. Hortic. 2013, 162, 63–70. [Google Scholar] [CrossRef]
- Salem, J.M. In vitro propagation of Moringa oleifera L. under salinity and ventilation conditions. Genet. Plant Physiol. 2016, 6, 54–64. [Google Scholar]
- Rashid, U.; Anwar, F.; Moser, B.R.; Knothe, G. Moringa oleifera oil: A possible source of biodiesel. Bioresour. Technol. 2008, 99, 8175–8179. [Google Scholar] [CrossRef] [PubMed]
- Bashir, K.A.; Waziri, A.F.; Musa, D.D. Moringa oleifera, a potential miracle tree; a review. IOSR J. Pharm. Biol. Sci. 2016, 11, 25–30. [Google Scholar]
- Fuglie, L. New uses of Moringa studied in Nicaragua: Moringa leaf concentrate. ECHO Dev. Notes 2009, 68, 1–8. [Google Scholar]
- Howladar, S.M. A novel Moringa oleifera leaf extract can mitigate the stress effects of salinity and cadmium in bean (Phaseolus vulgaris L.) plants. Ecotoxicol. Environ. Saf. 2014, 100, 69–75. [Google Scholar] [CrossRef] [PubMed]
- Rady, M.M.; Mohamed, G.F.; Abdalla, A.M.; Ahmed Yasmin, H.M. Integrated application of salicylic acid and Moringa oleifera leaf extract alleviates the salt-induced adverse effects in common bean plants. Int. J. Agric. Technol. 2015, 11, 1595–1614. [Google Scholar]
- Osman, H.; Abohassan, A.A. Moringa: The Strategic Tree for the Third Century; King Abdulaziz University Publishing Center: Jeddah, Saudi Arabia, 2015; ISBN 7-746-06-9960. [Google Scholar]
- Amirigbal, M.; Nadeemakbar, A.; Abbas, R.; Khan, H.; Maqsood, Q. Response of Canola to foliar application of Moring (Moringa oleifera L.) and Brassica (Brassica napus L.) water extracts. Int. J. Agric. Crop Sci. 2014, 14, 1431–1433. [Google Scholar]
- Muhammed, R.; Olurokooba, M.; Akinyaju, J.; Kambai, E. Evaluation of different concentrations and frequency of foliar application of Moringa extract on growth and yield of onions. Agroresearch 2013, 13, 196–205. [Google Scholar] [CrossRef]
- Azooz, M.M.; Shaddad, M.A.; Abdel-Latef, A.A. The accumulation and compartmentation of proline in relation to salt tolerance of three sorghum cultivars. Ind. J. Plant Physiol. 2004, 9, 1–8. [Google Scholar]
- Afzal, I.; Hussain, B.; Basra, S.M.A.; Rehman, H. Priming with MLE reduces imbibitional chilling injury in spring maize. Seed Sci. Technol. 2012, 40, 271–276. [Google Scholar] [CrossRef]
- Basra, S.M.A.; Iftikhar, M.N.; Afzal, I. Potential of moringa (Moringa oleifera) leaf extract as priming agent for hybrid maize seeds. Int. J. Agric. Biol. 2011, 13, 1006–1010. [Google Scholar]
- Moyo, B.; Masika, P.J.; Hugo, A.; Muchenje, V. Nutritional characterization of Moringa (Moringa oleifera Lam) leaves. Afr. J. Biotech. 2011, 10, 12925–12933. [Google Scholar]
- Taiz, L.; Zeiger, E. Plant Physiology; Sinauer Associates: Sunderland, MA, USA, 2010. [Google Scholar]
- Desoky, E.M.; Merwad, A.M.; Elrys, A.S. Response of pea plants to natural bio-stimulants under soil salinity stress. Am. J. Plant Physiol. 2017, 12, 28–37. [Google Scholar]
- Rady, M.M.; Mohamed, G.F. Modulation of salt stress effects on the growth, physio-chemical attributes and yields of Phaseolus vulgaris L. plants by the combined application of salicylic acid and Moringa oleifera leaf extract. Sci. Hortic. 2015, 193, 105–113. [Google Scholar] [CrossRef]
- Basra, S.M.A.; Afzal, I.; Anwar, S.; Shafique, M.; Haq, A.; Majeed, K. Effect of different seed invigoration techniques on wheat (Triticum aestivum L.) seeds sown under saline and non-saline conditions. J. Seed Technol. 2005, 28, 36–45. [Google Scholar]
- Nouman, W.; Siddiqui, M.T.; Basra, S.M.A.; Farooq, H.; Zubair, M.; Gull, T. Biomass production and nutritional quality of Moringa oleifera as field crop. Turk. J. Agric. For. 2013, 37, 410–419. [Google Scholar] [CrossRef]
- Azra, Y. Exploring the Potential of Moringa (Moringa Oleifera) Leaf Extract as a Natural Plant Growth Enhancer. Ph.D. Thesis, University of Agriculture, Faisalabad, Pakistan, 2011. [Google Scholar]
- Hanafy, R. Using Moringa oleifera leaf extract as a bio-fertilizer for drought stress mitigation of Glycine max L. plants. Egypt. J. Bot. 2017, 57, 281–292. [Google Scholar]
- Dietrich, J.T.; Kaminek, V.; Belvins, D.G.; Reinbett, T.M.; Morris, R.D. Changes in cytokinins and cytokinin oxidase activity in developing maize kernel and the effects of exogenous cytokinin on kernel development. Plant Physiol. Biochem. 1995, 33, 327–336. [Google Scholar]
- Stevens, J.; Senaratna, T.; Sivasithamparam, K. Salicylic acid induces salinity tolerance in tomato (Lycopersicon esculentum cv. Roma): Associated changes in gas exchange, water relations and membrane stabilization. Plant Growth Regul. 2006, 49, 77–83. [Google Scholar]
- Gonzalez, L.; Gonzalez-Vilar, M. Determination of relative water content. In Handbook of Plant Ecophysiology Techniques; Reigosa, M.J., Ed.; Springer: Dordrecht, The Netherlands, 2001; pp. 207–212. [Google Scholar]
- Hebers, K.; Sonnewald, V. Altered gene expression: Brought about by inter and pathogen interactions. J. Plant Res. 1998, 111, 323–328. [Google Scholar] [CrossRef]
- Hernández, J.A.; Francisco, F.J.; Corpas, G.M.; Gómez, L.A.; Del Río, F.S. Salt induced oxidative stresses mediated by activated oxygen species in pea leaves mitochondria. Physiol. Plant. 1993, 89, 103–110. [Google Scholar] [CrossRef]
- Del Río, L.A.; Sandalio, L.M.; Corpas, F.J.; Palma, J.M.; Barroso, J.B. Reactive oxygen species and reactive nitrogen species in peroxisomes, production scavenging and role in cell signaling. Plant Physiol. 2006, 141, 330–335. [Google Scholar] [CrossRef] [PubMed]
- Zaki, S.F.; Rady, M.M. Moringa oleifera leaf extract improves growth, physio-chemical attributes, antioxidant defence system and yields of salt-stressed Phaseolus vulgaris L. plants. Int. J. Chem. Technol. Res. 2015, 8, 120–134. [Google Scholar]
- Foyer, C.H. The role of ascorbate in plants, interactions with photosynthesis and regulatory significance. In Active Oxygen, Oxidative Stress and Plant Metabolism; American Society of Plant Physiology: Monona Drive, MD, USA, 1991. [Google Scholar]
- Tetley, R.M.; Thimann, K.V. The metabolism of oat leaves during senescence: I. Respiration, carbohydrate metabolism and the action of cytokinins. Plant Physiol. 1974, 54, 294–303. [Google Scholar] [CrossRef] [PubMed]
- Bichi, M.H. A Review of the Applications of Moringa oleifera Seeds Extract in Water Treatment. Civ. Environ. Res. 2013, 3, 1–8. [Google Scholar]
- Kansal, S.K.; Kumari, A. Potential of M. oleifera for the treatment of water and wastewater. Chem. Rev. 2014, 114, 4993–5010. [Google Scholar] [CrossRef] [PubMed]
- Deeba, F.; Abbas, N.; Butt, T.; Imtiaz, N.; Khan, R.A.; Ahsan, M.M. Utilization of Moringa oleifera seeds for treatment of canal and industrial waste water-an alternative sustainable solution for developing countries. J. Biodivers. Environ. Sci. 2015, 7, 54–60. [Google Scholar]
- Pritchard, M.; Craven, T.; Mkandawire, T.; Edmondson, A.; O’neill, J. A study of the parameters affecting the effectiveness of Moringa oleifera in drinking water purification. Phys. Chem. Earth Parts A/B/C 2010, 35, 791–797. [Google Scholar] [CrossRef]
- Barth, H.; Habs, M.; Klute, R.; Muller, S.; Bernard, T. Anwendung Von naturlichen Wirkstoffen aus Moringa oliefera Lam Samen zur rinkwasseruabereitung. Chem. Ztg. 1982, 1, 75–78. (In German) [Google Scholar]
- Adedapo, A.; Mogbojuri, O.; Emikpe, B. Safety evaluations of the aqueous extract of the leafs of Moringa oleifera in rats. J. Med. Plants Res. 2009, 3, 586–591. [Google Scholar]
- Ali, E.N. Application of Moringa Seeds Extract in Water Treatment. Ph.D. Thesis, International Islamic University, Kuala Lumpur, Malaysia, 2010. [Google Scholar]
- Fahmi, M.R.; Najib, N.W.A.Z.; Ping, P.C.; Hamidin, N. Mechanism of turbidity and hardness removal in hard water sources by using Moringa oleifera. J. Appl. Sci. 2011, 11, 2947–2953. [Google Scholar] [CrossRef]
- Idris, M.A.; Jami, M.S.; Hammed, A.M.; Jamal, P. Moringa oleifera seed extract: A review on its environmental applications. Int. J. Appl. Environ. Sci. 2016, 11, 1469–1486. [Google Scholar]
- Lea, M. Bioremediation of turbid surface water using seed extract from Moringa oleifera Lam. (drumstick) tree. Curr. Protoc. Microbiol. 2010, 16, 1–2. [Google Scholar]
- Muyibi, S.A.; Okuofu, C.A. Softening hard well waters with Moringa oleifera seed extracts. Int. J. Environ. Stud. 1996, 50, 247–257. [Google Scholar] [CrossRef]
- Santos, A.F.S.; Paiva, P.M.G.; Teixeira, J.C.; Brito, A.G.; Coelho, L.C.B.B.; Nogueira, R. Coagulant properties of Moringa oleifera protein preparations: Application to humic acid removal. Environ. Technol. 2013, 33, 69–75. [Google Scholar] [CrossRef] [PubMed]
- Marandi, R.; Bakhtiar Sepehr, S.M. Removal of orange 7 dye from wastewater used by natural adsorbent of Moringa oleifera seeds. Amer. J. Environ. Eng. 2012, 1, 1–9. [Google Scholar] [CrossRef]
- Prasad, R.K. Color removal from distillery spent wash through coagulation using Moringa oleifera seeds: Use of optimum response surface methodology. J. Hazard. Mater. 2009, 165, 804–811. [Google Scholar] [CrossRef] [PubMed]
- Bhatia, S.; Othman, Z.; Ahmad, A.L. Pretreatment of palm oil mill effluent (POME) using Moringa oleifera seeds as natural coagulant. J. Hazard. Mater. 2007, 145, 120–126. [Google Scholar] [CrossRef] [PubMed]
- James, A.; Zikankuba, V. Moringa oleifera a potential tree for nutrition security in sub-Sahara Africa. Am. J. Res. Commun. 2017, 5, 1–12. [Google Scholar]
- Ferreira, R.S.; Napoleão, T.H.; Santos, A.F.S.; Sá, R.A.; Carneiro-da-Cunha, M.G.; Morais, M.M.C.; Silva-Lucca, R.A.; Oliva, M.L.V.; Coelho, L.C.B.B.; Paiva, P.M.G. Coagulant and antibacterial activities of the water-soluble seed lectin from Moringa oleifera. Appl. Microbiol. 2011, 53, 186–192. [Google Scholar] [CrossRef] [PubMed]
- Nkurunziza, T.; Nduwayezu, J.B.; Banadda, E.N.; Nhapi, I. The effect of turbidity levels and Moringa oleifera concentration on the effectiveness of coagulation in water treatment. Water Sci. Technol. 2009, 59, 1551–1558. [Google Scholar] [CrossRef] [PubMed]
- Sivakumar, D. Adsorption study on municipal solid waste leachate using Moringa oleifera seed. Int. J. Environ. Sci. Technol. 2013, 10, 113–124. [Google Scholar] [CrossRef]
- Thakur, S.S.; Choubey, S. Assessment of coagulation efficiency of Moringa oleifera and Okra for treatment of turbid water. Arch. Appl. Sci. Res. 2014, 6, 24–30. [Google Scholar]
- Alsharaa, A.; Basheer, C.; Adio, S.; Alhooshani, K.; Lee, H. Removal of haloethers, trihalomethanes and haloketones from water using Moringa oleifera seeds. Int. J. Environ. Sci. Technol. 2016, 13, 2609–2618. [Google Scholar] [CrossRef]
- Muthuraman, G.; Sasikala, S. Removal of turbidity from drinking water using natural coagulants. J. Ind. Eng. Chem. 2014, 20, 1727–1731. [Google Scholar] [CrossRef]
- Orwa, C.; Mutua, A.; Kindt, R.; Jamnadass, R.; Anthony, S. Agroforestree Database: A Tree Species Reference and Selection Guide Version 4.0 [CD-ROM]; World Agro-forestry Centre: Nairobi, Kenya, 2009; pp. 335–336. [Google Scholar]
- Aruna, M.; Srilatha, N. Water clarification using Moringa oleifera Lam. seed as a natural coagulant. Curr. Biot. 2012, 5, 472–486. [Google Scholar]
- Egbuikwem, P.; Sangodoyin, A. Coagulation efficacy of Moringa oleifera seed extract compared to alum for removal of turbidity and E. coli in three different water sources. Eur. Int. J. Sci. Technol. 2013, 2, 13–20. [Google Scholar]
- Preston, K.; Lantagne, D.; Kotlarz, N.; Jellison, K. Turbidity and chlorine demand reduction using alum and moringa flocculation before household chlorination in developing countries. J. Water Health 2010, 8, 60–70. [Google Scholar] [CrossRef] [PubMed]
- Baig, T.H.; Garcia, A.E.; Tiemann, K.J.; Paso, E. Adsorption of heavy metal ions by the biomass of Solanum elaeagnifolium (silverleaf night-shade). In Proceedings of the 1999 conference on Hazardous Waste Research, Missouri, MO, USA, 24–27 May 1999. [Google Scholar]
- Acheampong, M.A.; Pereira, J.P.C.; Meulepas, R.J.W.; Lens, P.N.L. Kinetics modelling of Cu(II) biosorption on to coconut shell and Moringa oleifera seeds from tropical regions. Environ. Technol. 2012, 33, 409–417. [Google Scholar] [CrossRef] [PubMed]
- Sharma, P.; Kumari, P.; Srivastava, M.M.; Srivastava, S. Ternary biosorption studies of Cd(II), Cr(III) and Ni(II) on shelled Moringa oleifera seeds. Bioresour. Technol. 2007, 98, 474–477. [Google Scholar] [CrossRef] [PubMed]
- Sharma, P. Removal of Cd(II) and Pb(II) from aqueous environment using Moringa oleifera seeds as biosorbent: A low cost and ecofriendly technique for water purification. Trans. Indian Inst. Met. 2008, 61, 107–110. [Google Scholar] [CrossRef]
- Kumari, P.; Sharma, P.; Srivastava, S.; Srivastava, M.M. Biosorption studies on shelled Moringa oleifera Lamarck seed powder: Removal and recovery of arsenic from aqueous system. Int. J. Miner. Process. 2006, 78, 131–139. [Google Scholar] [CrossRef]
- Kumar, V.K.; Rubha, M.N.; Manivasagan, M.; Babu, R.; Balaji, P. Moringa oleifera—The Nature’s Gift. Univ. J. Environ. Res. Technol. 2012, 2, 203–209. [Google Scholar]
- Sajidu, S.M.; Henry, E.M.T.; Kwamdera, G.; Mataka, L. Removal of lead, iron and cadmium ions by means of polyelectrolytes of the Moringa oleifera whole seed kernel. WIT Trans. Ecol. Environ. 2006, 80, 1–8. [Google Scholar]
- Abirami, M.; Rohini, C. Comparative study on the treatment of turbid water using Moringa oleifera and Alum as coagulants. In Proceedings of the International Conference on Emerging Trends in Engineering, Science and Sustainable Technology, Thudupathi, India, 5–6 April 2018. [Google Scholar]
- Maina, I.W.; Obuseng, V.; Nareetsile, F. Use of Moringa oleifera (Moringa) seed pods and Sclerocarya birrea (Morula) nut shells for removal of heavy metals from wastewater and borehole water. J. Chem. 2016. [Google Scholar] [CrossRef]
- Shan, T.C.; Al Matar, M.; Makky, E.A.; Ali, E.N. The use of Moringa oleifera seed as a natural coagulant for wastewater treatment and heavy metals removal. Appl. Water Sci. 2017, 7, 1369–1376. [Google Scholar] [CrossRef]
- Pagnanelli, F.; Mainelli, S.; Veglio, F.; Toro, L. Heavy metal removal by olive pomace: Biosorbent characterization and equilibrium modeling. Chem. Eng. Sci. 2003, 58, 4709–4717. [Google Scholar] [CrossRef]
- Reddy, D.H.K.; Ramana, D.K.V.; Seshaiah, K.; Reddy, A.V.R. Biosorption of Ni(II) from aqueous phase by Moringa oleifera bark, a low cost biosorbent. Desalination 2011, 268, 150–157. [Google Scholar] [CrossRef]
- Reddy, D.H.K.; Seshaiaha, K.; Reddy, A.V.R.; Leec, S.M. Optimization of Cd(II), Cu(II) and Ni(II) biosorption by chemically modified Moringa oleifera leaves powder. Carbohydr. Polym. 2012, 88, 1077–1086. [Google Scholar] [CrossRef]
- Ogle, H. Disease Management: Chemicals. Available online: https://www.appsnet.org/Publications/Brown_Ogle/24%20Control-chemicals%20(HJO).pdf (accessed on 7 August 2018).
- El-Mougy, N.; Abdel-Kader, L. Vegetables root rot disease management by an integrated control measures under greenhouse and plastic houses conditions in Egypt—A review. Int. J. Eng. Innov. Technol. 2012, 6, 241–248. [Google Scholar]
- Najar, A.G.; Anwar, A.; Masoodi, L.; Khar, M.S. Evaluation of native biocontrol agents against Fusarium solani f. sp. melongenae causing wilt disease of brinjal in Kashmir. J. Phytol. 2011, 3, 31–34. [Google Scholar]
- Satish, S.; Mohana, D.C.; Raghavendra, M.P.; Raveesha, K.A. Antifungal activity of some plant extracts against important seed borne pathogens of Aspergillus sp. J. Agric. Technol. 2007, 3, 109–119. [Google Scholar]
- Kuri, S.K.; Islam, R.M.; Mondal, U. Antifungal potentiality of some botanical extracts against important seedborne fungal pathogen associated with brinjal seeds, Solanum melongena L. J. Agric. Technol. 2011, 7, 1139–1153. [Google Scholar]
- Mariani, C.; Braca, A.; Vitalini, S.; Tommasi, N.D.; Visioli, F.; Fico, G. Flavonoid characterization and in vitro antioxidant activity of Aconitum anthora L. (Ranunculaceae). Phytochemistry 2008, 69, 1220–1226. [Google Scholar] [CrossRef] [PubMed]
- Saavedra Gonzalez, Y.R.; van der Maden, E.C.L.J. Opportunities for Development of the Moringa Sector in Bangladesh: Desk-Based Review of the Moringa Value Chains in Developing Countries and End-Markets in Europe; Centre for Development Innovation: Wageningen, WD, USA, 2015. [Google Scholar]
- Thanaa, S.H.M.; Kassim, N.E.; AbouRayya, M.S.; Abdalla, A.M. Influence of foliar application with moringa (Moringa oleifera L.) leaf extract on yield and fruit quality of Hollywood plum cultivar. J. Hortic. 2017, 4. [Google Scholar] [CrossRef]
- Balogun, S.O.; Idowu, A.A.; Ojiako, F.O. Evaluation of the effects of four plant materials and Fernazzan D on the mycelial growth of Aspergillus flavus isolated from stored maize grains. Plant Sci. 2004, 4, 105–114. [Google Scholar]
- Makkar, H.P.S.; Becker, K. Nutrients and antiquality factors in different morphological parts of the Moringa oleifera tree. J. Agric. Sci. 1997, 128, 311–322. [Google Scholar] [CrossRef]
- Hussain, S.; Malik, F.; Mahmood, S. Review: An exposition of medicinal preponderance of Moringa oleifera (Lank.). Pak. J. Pharm. Sci. 2014, 27, 397–403. [Google Scholar] [PubMed]
- Goss, M.; Mafongoya1, P.; Gubba, A. Moringa oleifera extracts effect on Fusarium solani and Rhizoctonia solani growth. Asian Res. J. Agric. 2017, 6, 1–10. [Google Scholar] [CrossRef]
- Chen, M. Elucidation of bactericidal effects incurred by Moringa oleifera and Chitosan. J. U.S. SJWP 2009, 4, 65–79. [Google Scholar]
- Viera, G.H.F.; Mourão, J.A.; Ângelo, Â.M.; Costa, R.A.; Vieira, R.H.S.D.F. Antibacterial effect (in vitro) of Moringa oleifera and Annona muricata against Gram positive and Gram negative bacteria. Rev. Inst. Med. Trop. Sao Paulo 2010, 52, 129–132. [Google Scholar] [CrossRef] [PubMed]
- Jahn, S.A.; Musnad, H.A.; Burgstaller, H. The tree that purifies water: Cultivating multipurpose Moringaceae in the Sudan. Unasylva 1986, 38, 23–28. [Google Scholar]
- Holetz, F.B.; Greisiele, L.P.; Neviton, R.S.; Diógenes, A.G.C.; Celso, V.N.; Benedito, P.D.F. Screening of some plants used in the Brazilian folk medicine for the treatment of infectious diseases. Mem. Inst. Oswaldo Cruz 2002, 97, 1027–1031. [Google Scholar] [CrossRef] [PubMed]
- Bukar, A.; Uba, A.; Oyeyi, T.I. Antimicrobial profile of Moringa oleifera lam. Extracts against some food born microorganism. Bayero J. Pure Appl. Sci. 2010, 3, 43–48. [Google Scholar]
- Abalaka, M.E.; Daniyan, S.Y.; Oyeleke, S.B.; Adeyemo, S.O. The antibacterial evaluation of Moringa oleifera leaf extracts on selected bacterial pathogens. J. Microbiol. Res. 2012, 2, 1–4. [Google Scholar] [CrossRef]
- Food and Agricultural Organization (FAO). Moringa Traditional Crop of the Month. Available online: http://www.fao.org/traditional-crops/moringa/en/2014 (accessed on 7 August 2018).
- Jabeen, R.; Shahid, M.; Jamil, A.; Ashraf, M. Microscopic of the antimicrobial activity of seed extracts of Moringa. Pak. J. Bot. 2008, 40, 1349–1358. [Google Scholar]
- Chollom, S.C.; Agada, G.O.A.; Gotep, J.G.; Mwankon, S.E.; Dus, P.C.; Bot, Y.S.; Nyango, D.Y.; Singnap, C.L.; Fyaktu, E.J.; Okwori, A.E.J. Investigation of aqueous extract of Moringa oleifera lam seed for antiviral activity against newcastle disease virus in ovo. J. Med. Plants Res. 2012, 6, 3870–3875. [Google Scholar] [CrossRef]
- Donkor, A.; Glover, R.; Addae, K.; Kubi, K. Estimating the nutritional value of the leaves of Moringa oleifera on poultry. Food Nutr. Sci. 2013, 4, 1077–1083. [Google Scholar]
- Ayssiwede, S.B.; Zanmenou, J.C.; Issa, Y.; Hane, M.B.; Dieng, A.; Chrysostome, C.A.A.M.; Houinato, M.R.; Hornick, J.L.; Missohou, A. Nutrient composition of some unconventional and local feed resources available in Senegal and recoverable in indigenous chickens or animal feeding. Pak. J. Nutr. 2011, 10, 707–717. [Google Scholar] [CrossRef]
- Olugbemi, T.S.; Mutayoba, S.K.; Lekule, F.P. Moringa oleifera leaf meal as a hypocholesterolemic agent in laying hen diets. Livest. Res. Rural Dev. 2010, 22, 84. [Google Scholar]
- Abou-Elezz, F.; Sarmiento-Franco, L.; Santos-Ricalde, R.; Solorio-Sanchez, F. Nutritional effects of dietary inclusion of Leucaena leucocephala and Moringa oleifera leaf meal on Rhode Island Red hens’ performance. Cuban J. Agric. Sci. 2011, 45, 163–169. [Google Scholar]
- Kakengi, A.; Kaijage, J.; Sarwatt, S.; Mutayoba, S.; Shem, M.; Fujihara, T. Effect of Moringa oleifera leaf meal as a substitute for sunflower seed meal on performance of laying hens in Tanzania. Int. J. Poult. Sci. 2007, 9, 363–367. [Google Scholar]
- Safa, M.; Tazi, E. Effect of feeding different levels of Moringa oleifera leaf meal on the performance and carcass quality of broiler chicks. Int. J. Sci. Res. 2014, 3, 147–151. [Google Scholar]
- Gadzirayi, C.T.; Masamha, B.; Mupangwa, J.F.; Washaya, S. Performance of broiler chickens fed on mature Moringa oleifera leaf meal as a protein supplement to soyabean meal. Int. J. Poult. Sci. 2012, 11, 5–10. [Google Scholar] [CrossRef]
- Kaijage, J.; Sarwatt, S.; Mutayoba, S. Moringa oleifera leaf meal can improve quality characteristics and consumer preference of marketable eggs. Numer. Proc. Pap. 2004, 126–129. [Google Scholar]
- Etalem, T.; Getachew, A.; Mengistu, U.; Tadelle, D. Moringa oleifera leaf meal as an alternative protein feed ingredient in broiler ration. Int. J. Poult. Sci. 2013, 12, 289–297. [Google Scholar]
- Jung, S.; Choe, J.; Kim, B.; Yun, H.; Kruk, Z.; Jo, C. Effect of dietary mixture of garlic acid and linoleic acid on antioxidative potential and quality of breast meat from broilers. Meat Sci. 2010, 86, 520–526. [Google Scholar] [CrossRef] [PubMed]
- Pennington, J.; Fisher, R. Classification of fruits and vegetables. J. Food Compos. Anal. 2009, 22, 23–31. [Google Scholar] [CrossRef]
- Mutayoba, S.; Mutayoba, B.; Okot, P. The performance of growing pullets fed diets with varying energy and leucaena leaf meal levels. Livest. Res. Rural Dev. 2003, 15, 350–357. [Google Scholar]
- Ebenebe, C.; Anigbogu, C.; Anizoba, M.; Ufele, A. Effect of various levels of moringa leaf meal on the egg quality of Isa Brown Breed of layers. Adv. Life Sci. Technol. 2013, 14, 1–6. [Google Scholar]
- Adeniji, A.; Lawal, M. Effects of replacing groundnut cake with Moringa oleifera leaf meal in the diets of grower rabbits. Int. J. Mol. Vet. Res. 2012, 2, 8–13. [Google Scholar]
- Gadzirayi, C.T.; Mupangwa, J.F. The nutritive evaluation and utilisation of Moringa oleifera in indigenous and broiler chicken production: A review. Greener J. Agric. Sci. 2014, 14, 15–21. [Google Scholar]
- Lu, W.; Wang, J.; Zhang, H.J.; Wu, S.G.; Qi, G.H. Evaluation of Moringa oleifera leaf in laying hens: Effects on laying performance, egg quality, plasma biochemistry and organ histopathological indices. Ital. J. Anim. Sci. 2016, 15, 658–665. [Google Scholar] [CrossRef]
- Ola-Fadunsin, S.D.; Ademola, I.O. Direct effects of Moringa oleifera Lam (Moringaceae) acetone leaf extract on broiler chickens naturally infected with Eimeria species. Trop. Anim. Health Prod. 2013, 45, 1423–1428. [Google Scholar] [CrossRef] [PubMed]
- Dillard, C.J.; German, J.B. Phytochemicals: Nutraceuticals and human health: A review. J. Sci. Food Agric. 2000, 80, 1744–1756. [Google Scholar] [CrossRef]
- Allen, P.C.; Lydon, J.; Danforth, H.D. Effects of components of Artemisia annua on coccidian infections in chickens. Poult. Sci. 1997, 76, 1156–1163. [Google Scholar] [CrossRef] [PubMed]
- Luqman, S.; Srivastava, S.; Kumar, R.; Maurya, A.K.; Chanda, D. Experimental assessment of Moringa oleifera leaf and fruit for its antistress, antioxidant and scavenging potential using in vitro and in vivo assays. Evid.-Based Complement. Altern. Med. 2012. [Google Scholar] [CrossRef] [PubMed]
- Sonaiya, E.B.; Swan, S.E.J. Manual Small-Scale Poultry Production Technical Guide; Food and agriculture organization of the United Nation: Rome, Italy, 2014. [Google Scholar]
- Gueye, E.F. Newcastle disease in Family Poultry: Prospects for its control through Ethnovetrinary Medicine. Livest. Res. Rural Dev. 2002, 14, 25–29. [Google Scholar]
- Ferreira, P.M.P.; Farias, D.F.; Oliveira, J.T.A.; Carvalho, A.F.U. Moringa oleifera: Bioactive compounds and nutritional potential. Rev. Nutr. 2008, 21, 431–437. [Google Scholar] [CrossRef]
- Davis, L.; Kuttan, G. Suppressive effect of cyclophosphamide- induced toxicity by Withania somnifera extract in mice. J. Ethnopharmacol. 1998, 62, 209–221. [Google Scholar] [CrossRef]
- Bouzoubaa, K.; Lemainguer, K.; Bell, J.G. Village chickens as reservoir of Salmonella pullorum and Salmonella gallinarum in Morocco. Prev. Vet. Med. 1992, 12, 95–100. [Google Scholar] [CrossRef]
- Abiodun, B.S.; Adedeji, A.S.; Taiwo, O.; Gbenga, A. Effects of Moringa oleifera root extract on the performance and serum biochemistry of Escherichia coli challenged broiler chicks. J. Agric. Sci. 2015, 60, 505–513. [Google Scholar] [CrossRef]
- Patel, J.P. Antibacterial activity of methanolic and acetone extract of some medicinal plants used in India folklore. Int. J. Phytomed. 2011, 3, 261–269. [Google Scholar]
© 2018 by the authors. Licensee MDPI, Basel, Switzerland. This article is an open access article distributed under the terms and conditions of the Creative Commons Attribution (CC BY) license (http://creativecommons.org/licenses/by/4.0/).