Weed Suppressive Ability of Cover Crop Mixtures Compared to Repeated Stubble Tillage and Glyphosate Treatments
Abstract
1. Introduction
2. Materials and Methods
2.1. Experimental Sites
2.2. Data Collection
2.3. Data Analysis
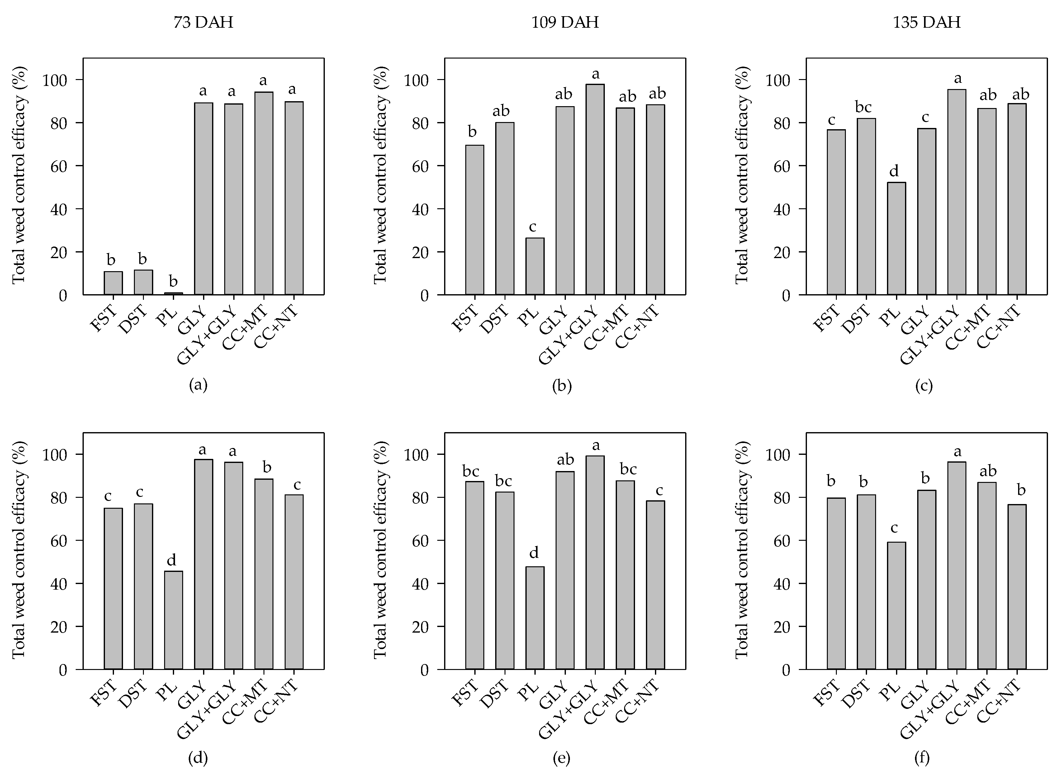
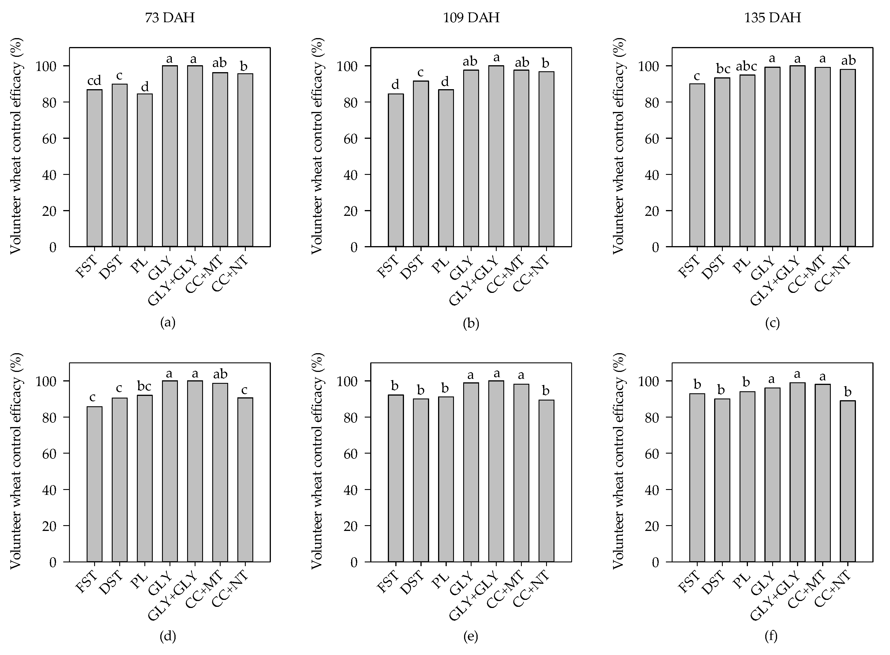
3. Results
3.1. Total Weed Suppression
3.2. A. myosuroides Suppression
3.3. Volunteer Wheat Suppression
3.4. CC Biomass
4. Discussion
5. Conclusions
Author Contributions
Funding
Conflicts of Interest
Appendix A
| Binsen | Risp | |||||||||||||||
|---|---|---|---|---|---|---|---|---|---|---|---|---|---|---|---|---|
| 1 | 2 | 3 | 4 | 5 | 6 | 7 | 8 | 1 | 2 | 3 | 4 | 5 | 6 | 7 | 8 | |
| A. myosuroides | 7 | 21 | 19 | 15 | 13 | 6 | 2 | 1 | 9 | 14 | 14 | 9 | 14 | 5 | 1 | 2 |
| Volunteer wheat | 73 | 8 | 6 | 6 | 4 | 4 | 1 | 2 | 139 | 16 | 18 | 11 | 10 | 9 | 3 | 14 |
| V. persica | 6 | 4 | 2 | 7 | - | - | 6 | 3 | 12 | 5 | 7 | 14 | 2 | - | 11 | 10 |
| T. arvense | 2 | - | - | 14 | - | 1 | - | - | 5 | - | - | 11 | - | - | - | - |
| L. purpureum | 3 | 4 | 2 | 5 | - | - | 4 | 4 | 5 | 4 | 6 | 13 | 1 | 1 | 7 | 12 |
| S. media | 2 | - | 1 | 8 | 1 | 1 | - | - | 4 | - | - | 12 | - | - | 1 | 1 |
| R. raphanistrum | 1 | 1 | 1 | 3 | - | - | - | - | 2 | - | 1 | 3 | - | - | - | - |
| Others | 3 | 1 | - | 2 | - | - | - | - | 7 | - | - | 5 | - | - | - | - |
References
- Norris, R.F.; Kogan, M. Interactions between weeds, arthropod pests, and their natural enemies in managed ecosystems. Weed Sci. 2000, 48, 94–158. [Google Scholar] [CrossRef]
- Mantle, P.G.; Shaw, S. Role of ascospore production by Claviceps purpurea in aetiology of ergot disease in male sterile wheat. Trans. Br. Mycol. Soc. 1976, 67, 17–22. [Google Scholar] [CrossRef]
- Moss, S. Black-grass (Alopecurus myosuroides): Why has this Weed become such a Problem in Western Europe and what are the Solutions? Outlooks Pest Manag. 2017, 28, 207–212. [Google Scholar] [CrossRef]
- Powles, S.B.; Yu, Q. Evolution in action: Plants resistant to herbicides. Annu. Rev. Plant Biol. 2010, 61, 317–347. [Google Scholar] [CrossRef] [PubMed]
- Heap, I. The International Survey of Herbicide Resistant Weeds. Available online: www.weedscience.org (accessed on 7 September 2018).
- Davies, L.R.; Neve, P. Interpopulation variability and adaptive potential for reduced glyphosate sensitivity in Alopecurus myosuroides. Weed Res. 2017, 57, 323–332. [Google Scholar] [CrossRef] [PubMed]
- Pekrun, C.; Claupein, W. The implication of stubble tillage for weed population dynamics in organic farming. Weed Res. 2006, 46, 414–423. [Google Scholar] [CrossRef]
- Melander, B.; Liebman, M.; Davis, A.S.; Gallandt, E.R.; Bàrberi, P.; Moon, A.; Rasmussen, J.; van der Weide, R.; Vidotto, F. Non-chemical weed management. In Weed Research: Expanding Horizons, 1st ed.; Hatcher, P.E., Froud-Williams, R.J., Eds.; John Wiley & Sons: Hoboken, NJ, USA, 2017; pp. 245–270. [Google Scholar]
- Wrucke, M.A.; Arnold, W.E. Weed species distribution as influenced by tillage and herbicides. Weed Sci. 1985, 33, 853–856. [Google Scholar] [CrossRef]
- Colbach, N.; Dürr, C.; Roger-Estrade, J.; Chauvel, B.; Caneill, J. AlomySys: Modelling black-grass (Alopecurus myosuroides Huds.) germination and emergence, in interaction with seed characteristics, tillage and soil climate: I. Construction. Eur. J. Agron. 2006, 24, 95–112. [Google Scholar] [CrossRef]
- Hernanz, J.L.; López, R.; Navarrete, L.; Sanchez-Giron, V. Long-term effects of tillage systems and rotations on soil structural stability and organic carbon stratification in semiarid central Spain. Soil Tillage Res. 2002, 66, 129–141. [Google Scholar] [CrossRef]
- De Vita, P.; Di Paolo, E.; Fecondo, G.; Di Fonzo, N.; Pisante, M. No-tillage and conventional tillage effects on durum wheat yield, grain quality and soil moisture content in southern Italy. Soil Tillage Res. 2007, 92, 69–78. [Google Scholar] [CrossRef]
- Snapp, S.S.; Swinton, S.M.; Labarta, R.; Mutch, D.; Black, J.R.; Leep, R.; Nyiraneza, J.; O’neil, K. Evaluating cover crops for benefits, costs and performance within cropping system niches. Agron. J. 2005, 97, 322–332. [Google Scholar]
- Langdale, G.W.; Blevins, R.L.; Karlen, D.L.; McCool, D.K.; Nearing, M.A.; Skidmore, E.L.; Thomas, A.W.; Tyler, D.D.; Williams, J.R. Cover crop effects on soil erosion by wind and water. In Cover Crops for Clean Water; Soil and Water Conservation Society: Ankeny, IA, USA, 1991; pp. 15–22. [Google Scholar]
- Wortman, S.E.; Francis, C.A.; Bernards, M.L.; Drijber, R.A.; Lindquist, J.L. Optimizing cover crop benefits with diverse mixtures and an alternative termination method. Agron. J. 2012, 104, 1425–1435. [Google Scholar] [CrossRef]
- Hartwig, N.L.; Ammon, H.U. Cover crops and living mulches. Weed Sci. 2002, 50, 688–699. [Google Scholar] [CrossRef]
- Blubaugh, C.K.; Hagler, J.R.; Machtley, S.A.; Kaplan, I. Cover crops increase foraging activity of omnivorous predators in seed patches and facilitate weed biological control. Agric. Ecosyst. Environ. 2016, 231, 264–270. [Google Scholar] [CrossRef]
- Petit, S.; Trichard, A.; Biju-Duval, L.; McLaughlin, Ó.B.; Bohan, D.A. Interactions between conservation agricultural practice and landscape composition promote weed seed predation by invertebrates. Agric. Ecosyst. Environ. 2017, 240, 45–53. [Google Scholar] [CrossRef]
- Moss, S.R. The influence of tillage and method of straw disposal on the survival and growth of black-grass, Alopecurus myosuroides, and its control by chlortoluron and isoproturon. Ann. Appl. Biol. 1979, 91, 91–100. [Google Scholar] [CrossRef]
- Bilalis, D.; Sidiras, N.; Economou, G.; Vakali, C. Effect of different levels of wheat straw soil surface coverage on weed flora in Vicia faba crops. J. Agron. Crop Sci. 2003, 189, 233–241. [Google Scholar] [CrossRef]
- Dao, T.H. Field decay of wheat straw and its effects on metribuzin and S-ethyl metribuzin sorption and elution from crop residues. J. Environ. Qual. 1991, 20, 203–208. [Google Scholar] [CrossRef]
- Kahnt, G. Gründüngung; Verlagsunion Agrar: Frankfurt, Germany, 1983; p. 146. [Google Scholar]
- Froud-Williams, R.J.; Chancellor, R.J.; Drennan, D.S.H. The Effects of Seed Burial and Soil Disturbance on Emergence and Survival of Arable Weeds in Relation to Minimal Cultivation. J. Appl. Ecol. 1984, 21, 629–641. [Google Scholar] [CrossRef]
- Teasdale, J.R. Contribution of cover crops to weed management in sustainable agricultural systems. J. Prod. Agric. 1996, 9, 475–479. [Google Scholar] [CrossRef]
- Clemens, R.O.; Martyn, T.M.; Donaldson, G.; Wolfe, M. Clover: Cereal bi-cropping for organic farms.: Farming systems for the new Millennium. Asp. Appl. Biol. 2000, 62, 181–185. [Google Scholar]
- Gruber, S.; Pekrun, C.; Möhring, J.; Claupein, W. Long-term yield and weed response to conservation and stubble tillage in SW Germany. Soil Tillage Res. 2012, 121, 49–56. [Google Scholar] [CrossRef]
- Deutsche Saatveredelung AG. TerraLife®—VitaMaxx TR. Available online: https://www.dsv-saaten.de/zwischenfruechte/terralife/mischungen/vitamaxx-tr.html (accessed on 14 September 2018).
- Rasmussen, J. A model for prediction of yield response in weed harrowing. Weed Res. 1991, 31, 401–408. [Google Scholar] [CrossRef]
- Machleb, J.; Kollenda, B.L.; Peteinatos, G.G.; Gerhards, R. Adjustment of Weed Hoeing to Narrowly Spaced Cereals. Agriculture 2018, 8, 54. [Google Scholar] [CrossRef]
- Melander, B.; Munier-Jolain, N.; Charles, R.; Wirth, J.; Schwarz, J.; van der Weide, R.; Bonin, L.; Jensen, P.K.; Kudsk, P. European perspectives on the adoption of nonchemical weed management in reduced-tillage systems for arable crops. Weed Technol. 2013, 27, 231–240. [Google Scholar] [CrossRef]
- Boström, U. Type and time of autumn tillage with and without herbicides at reduced rates in southern Sweden: 1. Yields and weed quantity. Soil Tillage Res. 1999, 50, 271–281. [Google Scholar] [CrossRef]
- Cirujeda, A.; Taberner, A. Relating weed size, crop soil cover and soil moisture with weed harrowing efficacy on Papaver rhoeas and other dicotyledoneous weeds in Mediterranean conditions. Biol. Agric. Hortic. 2006, 24, 181–195. [Google Scholar] [CrossRef]
- Melander, B.; Holst, N.; Rasmussen, I.A.; Hansen, P.K. Direct control of perennial weeds between crops–Implications for organic farming. Crop Protect. 2012, 40, 36–42. [Google Scholar] [CrossRef]
- Gruber, S.; Claupein, W. Effect of tillage intensity on weed infestation in organic farming. Soil Tillage Res. 2009, 105, 104–111. [Google Scholar] [CrossRef]
- Westerman, P.R.; Hofman, A.; Vet, L.E.M.; van der Werf, W. Relative importance of vertebrates and invertebrates in epigeaic weed seed predation in organic cereal fields. Agric. Ecosyst. Environ. 2003, 95, 417–425. [Google Scholar] [CrossRef]
- Brust, J.; Gerhards, R.; Karanisa, T.; Ruff, L.; Kipp, A. Why undersown and cover crops become important again for weed suppression in european cropping systems. Gesunde Pflanz. 2011, 63, 191–198. [Google Scholar] [CrossRef]
- Brust, J.; Claupein, W.; Gerhards, R. Growth and weed suppression ability of common and new cover crops in Germany. Crop Protect. 2014, 63, 1–8. [Google Scholar] [CrossRef]
- Kunz, C.; Sturm, D.J.; Varnholt, D.; Walker, F.; Gerhards, R. Allelopathic effects and weed suppressive ability of cover crops. Plant Soil Environ. 2016, 62, 60–66. [Google Scholar]
- Bàrberi, P. Weed management in organic agriculture: Are we addressing the right issues? Weed Res. 2002, 42, 177–193. [Google Scholar] [CrossRef]
- Finney, D.M.; White, C.M.; Kaye, J.P. Biomass production and carbon/nitrogen ratio influence ecosystem services from cover crop mixtures. Agron. J. 2016, 108, 39–52. [Google Scholar] [CrossRef]
- Bàrberi, P.; Mazzoncini, M. Changes in weed community composition as influenced by cover crop and management system in continuous corn. Weed Sci. 2001, 49, 491–499. [Google Scholar] [CrossRef]
- Malézieux, E.; Crozat, Y.; Dupraz, C.; Laurans, M.; Makowski, D.; Ozier-Lafontaine, H.; Rapidel, B.; de Tourdonnet, S.; Valantin-Morison, M. Mixing plant species in cropping systems: Concepts, tools and models: A review. In Sustainable agriculture; Springer: Berlin, Germany, 2009; pp. 329–353. [Google Scholar]



| Min. T (°C) | Max. T (°C) | Average T (°C) | Precipitation (mm) | |
|---|---|---|---|---|
| July | 12.6 | 24.9 | 18.5 | 119.5 |
| August | 12.2 | 24.6 | 18.3 | 88.2 |
| September | 7.0 | 17.9 | 12.0 | 35.3 |
| October | 4.7 | 15.8 | 9.7 | 40.1 |
| November | 0.7 | 6.8 | 3.6 | 76.0 |
| December | −1.3 | 3.6 | 1.2 | 55.9 |
| Treatment 1 | Weed Management Practices (depth in cm/dose in L ha−1/seed density kg ha−1) | Weed Control Type | Weed Management (Date) | Weed Management (DAH) | |
|---|---|---|---|---|---|
| 1 | Control | Weed fallow without weed management | - | - | - |
| 2 | FST | Flat soil tillage with rotary harrow (5 cm) | mechanical | 8 August | 8 |
| 6 September | 37 | ||||
| 14 October | 75 | ||||
| 3 | DST | Deep soil tillage with wing share cultivator (15–16 cm) | mechanical | 8 August | 8 |
| 6 September | 37 | ||||
| 15 October | 76 | ||||
| 4 | PL | Turning soil tillage with a plough (25 cm) | mechanical | 14 August | 14 |
| 5 | GLY | Single glyphosate treatment (4 L ha−1) | chemical | 6 September | 37 |
| 6 | GLY+GLY | Dual glyphosate treatment (4 L ha−1) | chemical | 6 September | 37 |
| 4 October | 75 | ||||
| 7 | CC+MT | Cover crop mixture + mulch-till (1–1.5 cm, 25 kg ha−1) | biological | 19 August | 19 |
| 8 | CC+NT | Cover crop mixture + no-till (1–1.5 cm, 25 kg ha−1) | biological | 7 August | 7 |
| Treatment | 73 DAH | |||
|---|---|---|---|---|
| Binsen | Risp | |||
| − Straw | + Straw | − Straw | + Straw | |
| FST | −603.5 cB | −244.5 bA | −279.0 d | −299.0 cd |
| DST | −860.6 dB | −337.7 bA | −114.0 bcd | −500.4 d |
| PL | −356.4 b | −230.4 b | −198.1 cd | −185.9 bcd |
| GLY | −33.0 a | 45.2 a | 28.1 ab | 24.8 ab |
| GLY+GLY | −31.6 a | 33.3 a | 6.7 abc | −45.5 abc |
| CC+MT | 100.0 a | 100.0 a | 100.0 a | 97.4 a |
| CC+NT | 100.0 a | 95.8 a | 91.7 a | 94.1 a |
| 109 DAH | ||||
|---|---|---|---|---|
| Binsen | Risp | |||
| − Straw | + Straw | − Straw | + Straw | |
| FST | −19.0 a | −6.7 a | 47.4 abc | 21.5 bc |
| DST | −1.4 a | −3.4 a | 13.3 bcA | −40.7 cB |
| PL | −160.2 b | −182.5 b | −14.1 c | −44.1 c |
| GLY | −13.0 a | −4.2 a | −119.8 dB | −46.3 cA |
| GLY+GLY | 75.5 a | 60.0 a | 80.8 ab | 64.4 ab |
| CC+MT | 100.0 a | 96.7 a | 100.0 a | 100.0 a |
| CC+NT | 94.4 a | 100.0 a | 96.7 a | 96.7 ab |
| Treatments | Fresh Cover Crop Biomass | ||
|---|---|---|---|
| Binsen | Risp | ||
| CC+MT | − straw | 32.0 n.s. | 28.2 n.s. |
| + straw | 26.9 n.s. | 30.5 n.s. | |
| CC+NT | − straw | 33.1 n.s. | 29.0 n.s. |
| + straw | 25.9 n.s. | 27.3 n.s. | |
© 2018 by the authors. Licensee MDPI, Basel, Switzerland. This article is an open access article distributed under the terms and conditions of the Creative Commons Attribution (CC BY) license (http://creativecommons.org/licenses/by/4.0/).
Share and Cite
Schappert, A.; Messelhäuser, M.H.; Saile, M.; Peteinatos, G.G.; Gerhards, R. Weed Suppressive Ability of Cover Crop Mixtures Compared to Repeated Stubble Tillage and Glyphosate Treatments. Agriculture 2018, 8, 144. https://doi.org/10.3390/agriculture8090144
Schappert A, Messelhäuser MH, Saile M, Peteinatos GG, Gerhards R. Weed Suppressive Ability of Cover Crop Mixtures Compared to Repeated Stubble Tillage and Glyphosate Treatments. Agriculture. 2018; 8(9):144. https://doi.org/10.3390/agriculture8090144
Chicago/Turabian StyleSchappert, Alexandra, Miriam H. Messelhäuser, Marcus Saile, Gerassimos G. Peteinatos, and Roland Gerhards. 2018. "Weed Suppressive Ability of Cover Crop Mixtures Compared to Repeated Stubble Tillage and Glyphosate Treatments" Agriculture 8, no. 9: 144. https://doi.org/10.3390/agriculture8090144
APA StyleSchappert, A., Messelhäuser, M. H., Saile, M., Peteinatos, G. G., & Gerhards, R. (2018). Weed Suppressive Ability of Cover Crop Mixtures Compared to Repeated Stubble Tillage and Glyphosate Treatments. Agriculture, 8(9), 144. https://doi.org/10.3390/agriculture8090144
