Next Article in Journal
Weed Suppression Ability and Yield Impact of Living Mulch in Cereal Crops
Next Article in Special Issue
Modelling Soil Water Content in a Tomato Field: Proximal Gamma Ray Spectroscopy and Soil–Crop System Models
Previous Article in Journal
Carbon and Nitrogen Content of Soil Organic Matter and Microbial Biomass under Long-Term Crop Rotation and Tillage in Illinois, USA
Previous Article in Special Issue
Evaluation of Crop to Crop Water Demand Forecasting: Tomatoes and Bell Peppers Grown in a Commercial Greenhouse
 
 
Font Type:
Arial Georgia Verdana
Font Size:
Aa Aa Aa
Line Spacing:
Column Width:
Background:
Article

Harvesting Method Affects Water Dynamics and Yield of Sweet Orange with Huanglongbing

Southwest Florida Research and Education Center, University of Florida, 2685 SR 29 N, Immokalee, FL 34142, USA
*
Author to whom correspondence should be addressed.
Agriculture 2018, 8(3), 38; https://doi.org/10.3390/agriculture8030038
Submission received: 8 February 2018 / Revised: 1 March 2018 / Accepted: 8 March 2018 / Published: 10 March 2018
(This article belongs to the Special Issue Modelling for Water Management in Agriculture Systems)

Abstract

:
Changes in grove management practices may change crop water dynamics. The objective of this study was to estimate sap flow, stem water potential (Ψstem), and citrus yield as affected by harvesting methods in sweet orange (Citrus sinensis) trees affected by Huanglongbing. The study was initiated in March 2015 for two years on five-year-old commercial sweet orange trees at a commercial grove located at Felda, Florida (26.61° N, 81.48° W) on Felda fine sand soil (Loamy, siliceous, superactive, hyperthermic Arenic Endoaqualfs). All measurements were replicated before and after harvest in four experiments (A, B, C and D) under hand and mechanical harvesting treatments. Sap flow measurements were taken on four trees per treatment with two sensors per tree. Sap flow measured by the heat balance method at hourly intervals during March and April of 2015 and 2016 significantly declined after harvesting by 25% and 35% after hand and mechanical harvesting, respectively. Ψstem measured after harvest was significantly higher than measurements before harvest. The average value of Ψstem measured increased by 10% and 6% after hand and mechanical harvesting, respectively. Mechanical harvesting exhibited lower fruit yields that averaged between 83%, 63%, 49% and 36% of hand-harvested trees under A, B, C and D experiments, respectively. It is concluded that the hand harvesting method is less stressful and less impactful on tree water uptake and fruit yield compared with mechanical harvesting.

1. Introduction

In the United States, citrus production was 8.6 million metric tons in 2016 [1]. In Florida, Valencia production represented about 80% of the total US Valencia production during the 2015/16 season [1]. During 2015/16 season, the state of Florida produced almost 95% of the total US citrus-juice production [1]. Together with roadside charges, hand harvesting cost was between $1.87 and $2.20 per box throughout the 2014/15 season. Mechanical harvesting costs during the 2011/12 ranged from $1.25 to $1.75 per box. Roka et al. [2] reported that during 2002–2012, growers saved at least 25 cents per box when they used the mechanical harvesting method.
Various methods for mechanical harvesting of citrus have been tested. However, canopy and trunk shaker were the most frequently used methods. Trunk shakers were examined for mechanical harvesting of Florida citrus in the late 1960s [3]. Growers were concerned about the effect of that method on citrus tree health and productivity [4]. In addition, vigorous shaking of the trees during mechanical harvesting results in visible physical tree damage and injuries. Spann and Danyluk [5] reported that mechanical harvesting significantly increased the amount of debris including leaves and different stem sizes to 250% compared to hand harvesting method. An earlier study conducted on healthy citrus trees by [6], they reported that mechanical harvesting removed more leaves, twigs, and exposed tree roots than hand harvesting method.
A critical question to the growers has been whether mechanical harvesting has an adverse effect on the tree health or not. Scientists have conducted several field trials to examine the impact of mechanical harvesting equipment on fruit yield and tree health [4,7]. During 2003, the first program to investigate the effect of mechanical harvesting methods on citrus tree physiological activities (including water relations) was initiated [6]. They indicated that well-maintained trees recovered faster from all harvest-related stresses. However, mechanically shaking “Valencia” tree canopies during the late season may cause a half yield reduction in the following year’s crop [8].
Spreading of citrus Huanglongbing (HLB) after 2005 resulted in declining of the use of mechanical canopy or trunk shakers. During 2013/14, only 6700 acres of sweet oranges were harvested with canopy shakers, an 83% reduction from the 2006/07 harvest season (35,600 acres) [9]. Therefore, many growers who were using a mechanical harvesting method before 2006, stopped using that method because they were concerned that HLB-affected trees could not tolerate mechanical shaking [2]. Due to growers’ concern about the health of their HLB-affected trees and increases in hand harvesting costs since 2006, more study and consideration should be given to mechanical harvesting method. Cost savings from mechanical harvesting may help Florida growers to support their economic profitability.
A 2008 survey of 153,000 acres (17,676,000 trees) revealed that the average amount of HLB-affected trees in Florida was ≈ 11% [10]. Recently, that number has been increased to over 75% [11]. Also, the number of citrus-bearing trees has declined by 25% from 2004 to 2015 [1]. Citrus trees require a proper water management system [12,13] that can provide expected yield quality [13]. Insufficient water supply may result in slower growth, young fruit drop and lack of sugar and quality of the mature fruits [14].
The objective of this study was to estimate the effect of mechanical harvesting on water status, and yield of HLB-affected citrus trees under commercial citrus grove conditions. Sap flow and stem water potential were selected as primary water stress indicators, to investigate before and after both hand and mechanical harvesting methods. Citrus fruit yield was documented as a dependent factor.

2. Materials and Methods

2.1. Experimental Site Measurements

Four experiments (A, B, C and D) were conducted during March and April of 2015 and 2016 on a five-year-old commercial sweet orange “Valencia” (Citrus sinensis (L.) Osbeck) trees located at Felda, Florida (26.61° N, 81.48° W) on Felda fine sand soil (Loamy, siliceous, superactive, hyperthermic Arenic Endoaqualfs, 0–2% slope). Experiment A contained 36 trees (18 hand + 18 mechanical), experiment B contained 49 trees (26 hand + 23 mechanical), experiment C contained 50 trees (25 hand + 25 mechanical), and experiment D contained 50 trees (25 hand + 25 mechanical). Every experiment located within 500 m from each other, and all experiments were similar in soil type, tree age and tree spacing (3.66 × 8.84 m). Prior to the experiment, trees were visually inspected to confirm the existence of HLB symptoms. Also, all trees were irrigated equally and harvested manually. Two harvesting methods (treatments) were used including hand and tree customized canopy shaker built (prototype designed for trees that were 2.5 to 2.7 m tall) in the experimental station at the University of Florida (Figure 1) for evaluation of their effect on tree water relations and tree yields.

2.2. Citrus Sap Flow Measurements

Sap flow was measured during March and April of 2015 and 2016 at four selected experimental locations (A, B, C and D) under hand and mechanical harvesting methods (Table 1). Sap flow was measured using the heat balance method via an automated Flow32-1K flow system (Dynamax Inc., Houston, TX, USA). Using stem heat balance gauges (SGA13, SGB16, SGB19 and SGB25, Dynamax, Houston, TX, USA). Stem diameters where sensors were installed ranged from 11.7 to 26.7 mm. Gauges installation were at least 75 cm above the soil surface and performed as guided by the manufacturer [15]. Gauges were installed at least four days before harvesting and removed after harvesting (seven days at least). Stems were coated with silicone grease (Dow Corning 4, Dow Corning, Midland, MI, USA) to improve thermal contact and to prevent stem injury. Sap flow measurements were taken from sixteen trees each year (four trees hand + four trees mechanical, two experiments) with two sensors per tree. Sap flow data were analyzed as split-plot repeated measurements based on hourly data (g h−1).

2.3. Stem Water Potential (Ψ)

Stem water potential (Ψstem) was determined during March and April 2016 before harvest and one day after harvest (Table 1). Stem water potential was measured on fully matured leaves from the outer canopy (sun-exposed leaves) at mid-day between 12:00 and 14:00. Briefly, Ψstem was measured using four leaves per tree (four trees per treatment) during sap flow measurements. Prior to measurements, leaves were wrapped in plastic, then aluminum foil the day before measurements, to allow the water potential to equilibrate [16]. Selected leaves were cut with a razor blade and Ψstem was measured using a Portable Plant Water Status Console, or pressure chamber (Soilmoisture Equipment Corp. Model 3000, Santa Barbara, CA, USA). The pressure chamber was pressurized until the exudation of water, and the pressure was recorded as -MPa. Ψstem data were subjected to ANOVA split-plot analysis.

2.4. Harvesting Methods and Fruit Yield

Two harvesting methods (hand and canopy shaker) were performed each of four times for all experiments (two per year, total four experiments). Harvested fruit was weighed for each tree, then averaged for each experiment. In the mechanical treatment, prototype designed for trees that were 2.5 to 2.7 m tall, the harvester dropped fruit on the ground, therefore, fruit for both hand and machine harvested trees were picked up from under the trees and weighed then placed into designated tubs. Harvested fruit was subject to analysis of variance (ANOVA) split-plot analysis without repeated measurements.

2.5. Statistical Analysis

Each experiment was arranged as a split-plot design as repeated measurements where appropriate with two treatment methods (hand and machine), sap flow and Ψstem repeated twice (before and after harvest) in four experiments. Each experiment was analyzed separately, and each tree represents an experimental unit. Statistical variations among means were determined using the general linear model procedure (PROC GLM) [17]. Least significant difference test (LSD) was employed to separate the main effect means at α < 0.05. Due to the lack of interactions between each treatment (hand or mechanical method) and the time of sampling (before and after harvest), only treatment effect and time of sampling were reported.

3. Results and Discussion

3.1. Sap Flow Measurements

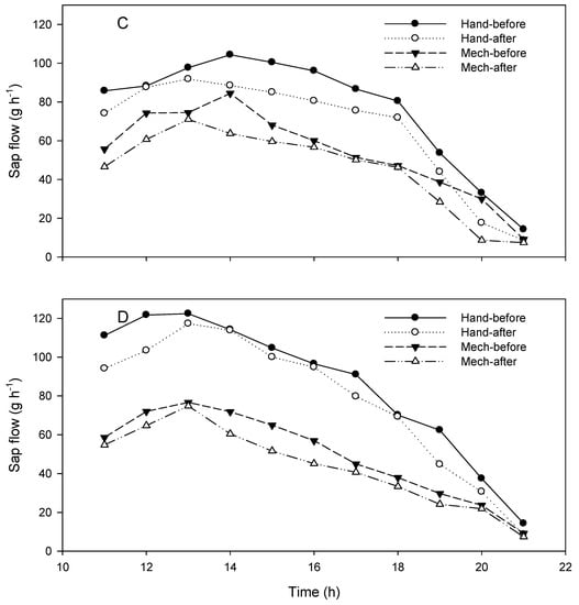
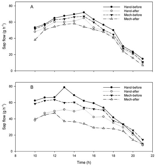
Sap flow measurement is considered to have the most significant potential for irrigation management [18]. Thus, sap flow measurements play an important role in understanding the dynamics of plant water flow pattern under irrigated crops [19]. In our study, sap flow increased in the morning and reached maximum flow between 12 h and 16 h and decline thereafter reaching lower sap flow value at 20 h (Figure 2 and Figure 3). Similar citrus sap flow trends were reported by [13,20].
Statistical analysis shows significant variation in sap flow between hand and mechanical harvesting treatments (P ≤ 0.05). Within all experiments, sap flow in hand-harvested trees represented greater values ranging between 13% and 43% higher than in mechanically harvested trees. After harvesting, sap flow in hand harvesting was significantly higher than mechanically harvested trees. These data indicate water stress conditions under mechanically harvested trees. However, hand-harvesting treatment significantly decreased the sap flow after harvesting by 36% and 25% in both A and B experiments (Table 2), respectively, which could be related to fruit removal. On the other hand, the mechanical method, significantly lowered sap flow by 35% in experiment site B. In that case, because of lower fruit removal in mechanically harvested trees than hand-harvested trees, sap flow reduction could be a stress factor related to the tree damages.
Sap flow was significantly higher in hand-harvested trees than mechanically harvested trees by 30% and 43% in experiments C and D, respectively. After harvesting, sap flow decreased in both treatments. However, sap flow was more significant for hand-harvested trees by 31% and 45% than mechanically harvested trees within C and D experiments, respectively. Indicating higher stress and slower recovery for mechanically harvested trees.
Regardless of harvesting methods, among all experiments, average sap flow declined after harvesting in both treatments which is similar to [21] observations. Sap flow decreased under mechanically harvested trees by greater percentages than hand-harvested treatments, indicating higher water stress symptoms under the mechanical treatment. That reduction could have resulted from the removal of some leaves and stems. Within all experiment, sap flow in mechanically harvested trees were 20%, 13%, 30% and 44% lower than in hand-harvested trees for A, B, C and D experiments, respectively (Table 2).
Greatest sap flow values recorded prior to harvesting treatment were 122 and 84 g h−1 at 13 h and 14 h, declined by 4% and 25% after harvest within hand and mechanical methods, respectively (Figure 3D). The sap flow of citrus trees is a function of soil water content. Although all trees received the same volume of water, trees in mechanically harvested treatment showed significantly lower sap flow values than hand-harvested trees. Mechanical harvesting introduced a stress factor, which is similar to that stress observed by [22,23]. They assumed that stress was directly related to lower root distribution. Li and Syvertsen [6] concluded that the mechanical harvesting methods removed more leaves, stems and exposed roots than hand harvesting. Previous studies indicated that mechanical harvesting removed a significant amount of citrus tree leaves and stems when compared with hand harvesting method [5]. Such activities reduced the water uptake by affected trees which resulted in lower sap flow values under mechanical harvesting compared to hand harvesting method.

3.2. Stem Water Potential (Ψstem)

Stem water potential is regarded as the most reliable indicator of plant water status [13,20,24]. Analysis of variance indicates significant differences in Ψstem between hand and mechanical harvesting treatments, but no differences within harvest method at experimental sites C and D (Table 3). Significant differences were detected before and after harvesting underhand treatment. However, there was no significant difference observed under mechanical harvesting before and after at sites C and D. Similar results were reported by [6]. That could be a result of fast recovery under hand harvesting treatment.
Average value of Ψstem measured under mechanically harvested trees were −1.13 and −0.92 MPa, 2% and 1% lower than that measured after mechanical harvesting treatment. The lowest value of Ψstem (−1.14 ± 0.05 MPa) was observed after mechanical harvesting treatment and was a 25% less than that measured under hand harvesting treatment (−0.86 ± 0.03 MPa) at the same experiment. Values indicated that the effect of harvesting treatment might be used as water stress indicator. In general, highest values of Ψstem measured after hand harvesting treatment was −0.68 ± 0.03 MPa, a 34% (−0.91 ± 0.03 MPa) greater than that for both before hand harvesting and after mechanical method at the same experiment. Indicating, mechanically harvested trees increased drought stress symptoms which could be related to roots and canopy damages caused by the mechanical canopy shaker. Our mechanical harvesting treatment results are similar to that reported by [6]. They stated that (in healthy citrus trees) the mechanical harvester removed 10% more of leaves and twigs and exposed roots compared to hand harvesting. A later study conducted by [5], they indicated that mechanical harvesting had a more significant effect on citrus trees leaves and stems compared to hand harvesting. Such issues could be the reason behind lower activities of stem water potential under mechanical harvesting compared to hand harvesting method which developed stress symptoms under mechanical means.

3.3. Fruit Yields

During all selected dates, hand harvesting treatment exhibited significantly greater yields than mechanical treatment (P < 0.0001). Hand-harvested trees yields were 120%, 159%, 204% and 278% greater than mechanical harvesting treatment under A, B, C and D experiments, respectively (Table 4). The yield of harvested trees in the second year declined by 40% (from 47.6 to 28.5 kg fruit tree−1) and 74% (from 34.1 to 12.4 kg fruit tree−1) under hand and mechanical harvesting, respectively. However, lower yields under mechanically harvested trees could be related to previous tree damages caused by the canopy shakers. Also, the no-abscission agent was used which may be the reason behind lower mechanical fruit removal [25].
The highest yield was recorded under hand harvesting treatment in April 2015 (late season), a 15% greater than early harvesting during the same year. In general, average citrus fruit yield for hand harvesting treatment was 33% greater than mechanical harvesting treatment. Besides, the mechanical harvesting method efficiencies were very low when the fruit yield exceeds 9.1 kg tree−1, then increased to reach 77% at a fruit yield of 6.4 kg tree−1. Data concluded that high citrus yields were obtained when hand harvesting treatment was used.

4. Conclusions

Continued mechanical harvesting treatment introduced physiological stress and damage (Figure 4) on trees. Besides, significant variations in water relations were observed between hand and mechanical treatments. Differences were observed in sap flow and Ψstem within all sites. Sap flow decreased after harvesting while Ψstem increased indicating less water stress under hand-harvested trees. However, Ψstem did not significantly change under mechanically harvested trees before and after harvesting. That could be related to root declining and physical tree damage, which developed as drought stress factors. Such issues could be avoided by using the hand harvesting treatment. Removal of green fruit and damaging branches by mechanical harvesting adversely affect growth and production of young citrus trees within all sites. Consequently, our study concludes that hand harvesting treatment may be a better choice to reduce HLB-affected tree stress resulted from the mechanical shaker.

Acknowledgments

Presented research was funded by the IFAS Citrus Initiative program.

Author Contributions

Kelly T. Morgan and Said A. Hamido conceived and designed the experiments; Said A. Hamido performed the experiments; Kelly T. Morgan and Said A. Hamido analyzed the data; Kelly T. Morgan and Said A. Hamido wrote the paper.

Conflicts of Interest

The authors declare no conflict of interest.

References

  1. USDA-NASS. Citrus Production by Type and State. 2016. Available online: https://quickstats.nass.usda.gov/results/0D73291D-33CC-3916-84E0-D4A1DC62C16C?pivot=short_desc (accessed on 15 May 2017).
  2. Roka, F.M.; Ehsani, R.J.; Futch, S.H.; Hyman, B.R. Citrus Mechanical Harvesting Systems—Continuous Canopy Shakers. Gainesville: University of Florida Institute of Food and Agricultural Sciences. 2014. Available online: http://edis.ifas.ufl.edu/pdffiles/FE/FE95100.pdf (accessed on 12 August 2017).
  3. Whitney, J.D. A review of citrus harvesting in Florida. In Proceedings of the Citrus Engineering Conference, Lakeland, FL, USA, 23 March 1995; ASME: New York, NY, USA, 1995; Volume 41, pp. 33–59. [Google Scholar]
  4. Hedden, S.L.; Churchill, D.B.; Whiteny, J.D. Trunk shakers for citrus harvestin—Part II: Tree growth, fruit yield and removal. Appl. Eng. Agric. 1988, 4, 102–106. [Google Scholar] [CrossRef]
  5. Spann, T.M.; Danyluk, M.D. Mechanical harvesting increases leaf and stem debris in loads of mechanically harvested citrus fruit. HortScience 2010, 45, 1297–1300. [Google Scholar]
  6. Li, K.T.; Syversten, J.P. Mechanical harvesting has little effect on water status and leaf gas exchange in citrus trees. J. Am. Soc. Hortic. Sci. 2005, 130, 661–666. [Google Scholar]
  7. Whitney, J.D. Trunk shaker and abscission chemical effects on yields, fruit removal, and growth of orange trees. Proc. Fla. State Hortic. Soc. 2003, 116, 230–235. [Google Scholar]
  8. Coppock, G.E. Properties of young and mature ‘Valencia’ oranges related to selective harvest by mechanical means. Am. Soc. Agric. Biol. Eng. 1972, 15, 235–238. [Google Scholar] [CrossRef]
  9. FDOC. Citrus Mechanical Harvesting Website. Florida Department of Citrus, Lakeland, FL, USA. 2016. Available online: http://citrusmh.ifas.ufl.edu/index.asp?s=2&p=2 (accessed on 22 October 2017).
  10. Morris, R.A.; Erick, C.; Estes, M. The Incidence of Greening and Canker Infection in Florida Citrus Groves from September 2007 through August 20081FE823.EDIS; FE823 Florida Cooperative Extension Service; Institute of Food and Agricultural Sciences, University of Florida: Gainesville, FL, USA, 2009. [Google Scholar]
  11. Singerman, A. 2014/15 Picking, Roadsiding and Hauling Charges for Florida Citrus. University of Florida, IFAS, Citrus Research and Education Center, Lake Alfred, FL, USA, 2015. Available online: http://www.crec.ifas.ufl.edu/extension/economics/pdf/Estimated_Average_Picking_2014-15.pdf (accessed on 25 September 2017).
  12. Zekri, M.; Obreza, T.A.; Koo, R. Irrigation, Nutrition, and Citrus Fruit Quality; EDIS, SL 207, Florida Cooperative Extension Service; Institute of Food and Agricultural Sciences, University of Florida: Gainesville, FL, USA, 2009. [Google Scholar]
  13. Hamido, S.A.; Morgan, K.T.; Kadyampakeni, D.M. The effect of Huanglongbing on young citrus tree water use. HortTechnology 2017, 27, 659–665. [Google Scholar] [CrossRef]
  14. Enciso, J.; Sauls, J.W.; Wiedenfeld, R.P.; Nelson, S.D. Impacts of Irrigation on Citrus in the Lower Rio Grande Valley; B-6205 05-08; Agrilife Extension-Texas A & M System: College Station, TX, USA, 2008. [Google Scholar]
  15. Dynamax. Dynagage Installation and Operation Manual; Dynamax: Houston, TX, USA, 1990; p. 80. [Google Scholar]
  16. Garnier, E.; Berger, A. Testing water potential in peach trees as an indicator of water stress. J. Hortic. Sci. 1985, 60, 47–56. [Google Scholar] [CrossRef]
  17. SAS Institute. SAS System for Windows Release 9.1.3; SAS Institute: Cary, NC, USA, 2007. [Google Scholar]
  18. Jones, H.G. Irrigation scheduling: Advantages and pitfalls of plant-based methods. J. Exp. Bot. 2004, 407, 2427–2436. [Google Scholar] [CrossRef] [PubMed]
  19. Smith, D.M.; Allen, S.J. Measurements of sap flow in plant stems. J. Exp. Bot. 1996, 47, 1833–1844. [Google Scholar] [CrossRef]
  20. Hamido, S.A.; Morgan, K.T.; Ebel, R.C.; Kadyampakeni, D.M. Improved irrigation management of sweet orange with Huanglongbing. HortScience 2017, 52, 916–921. [Google Scholar] [CrossRef]
  21. Morgan, K.T.; Barkataky, S.; Kadyampakeni, D.; Ebel, R.; Roka, F. Effects of short-term drought stress and mechanical harvesting on sweet orange tree health, water uptake, and yield. HortScience 2014, 49, 835–842. [Google Scholar]
  22. Xu, X.; Tong, L.; Li, F.; Kang, S.; Qu, Y. Sap flow of irrigated Populus alba var. pyramidalis and its relationship with environmental factors and leaf area index in an arid region of Northwest China. J. For. Res. 2011, 16, 144–152. [Google Scholar] [CrossRef]
  23. Yin, G.; Zhou, G.; Wang, X.; Chu, G.; Huang, Z. A study on sap flux density of two eucalyptus (Eucalyptus ueophylla) plantation in southeastern China by heat-pulse method. Acta Ecol. Sin. 2003, 23, 1984–1990. [Google Scholar]
  24. Chone, X.; van Leeuwen, C.; Dubourdieu, D.; Gaudillère, J.P. Stem water potential is a sensitive indicator of grapevine water status. Ann. Bot. 2001, 87, 477–483. [Google Scholar] [CrossRef]
  25. Castro-Garcia, S.; Blanco-Roldan, G.L.; Ferguson, L.; Gonzalez-Sanchez, E.J.; Gil-Ribes, J.A. Frequency response of late-season ‘Valencia’ orange to selective harvesting by vibration for juice industry. Biosyst. Eng. 2017, 155, 77–83. [Google Scholar] [CrossRef]
Figure 1. A photograph is showing the customized harvester used in the mechanical harvesting method during 2015 and 2016.
Figure 1. A photograph is showing the customized harvester used in the mechanical harvesting method during 2015 and 2016.
Agriculture 08 00038 g001
Figure 2. Effect of harvesting methods (Hand and mechanical canopy shaker) on hourly sap flow measurements in (A) and (B) experiments before and after harvesting respectively at the commercial site in southwest Florida during 2015.
Figure 2. Effect of harvesting methods (Hand and mechanical canopy shaker) on hourly sap flow measurements in (A) and (B) experiments before and after harvesting respectively at the commercial site in southwest Florida during 2015.
Agriculture 08 00038 g002
Figure 3. Effect of harvesting methods (Hand and mechanical canopy shaker) on hourly sap flow measurements in (C) and (D) experiments before and after harvesting respectively at the commercial site in southwest Florida during 2016.
Figure 3. Effect of harvesting methods (Hand and mechanical canopy shaker) on hourly sap flow measurements in (C) and (D) experiments before and after harvesting respectively at the commercial site in southwest Florida during 2016.
Agriculture 08 00038 g003
Figure 4. Photographs are showing some of the mechanical harvesting damages to fruit, leaves, and stems of citrus trees during harvesting seasons.
Figure 4. Photographs are showing some of the mechanical harvesting damages to fruit, leaves, and stems of citrus trees during harvesting seasons.
Agriculture 08 00038 g004
Table 1. Duration and time of each field measurements at Felda commercial site in southwest Florida during 2015 and 2016 seasons.
Table 1. Duration and time of each field measurements at Felda commercial site in southwest Florida during 2015 and 2016 seasons.
ExperimentsSap FlowStem Water PotentialHarvesting
Start DateEnd DateDateDate
A (early season)26 March 20157 April 2015NA30 March 2015
B (late season)7 April 201524 April 2015NA14 April 2015
C (early season)3 March 201613 April 201629 March and 5 April4 April 2016
D (late season)13 April 201627 April 201614 and 21 April20 April 2016
NA means not measured.
Table 2. Means and analysis of variance for the harvesting methods effect on sap flow (g h−1) at Felda site in the southwest of Florida during 2015 and 2016 seasons.
Table 2. Means and analysis of variance for the harvesting methods effect on sap flow (g h−1) at Felda site in the southwest of Florida during 2015 and 2016 seasons.
Experiment (Site)\MeanHarvesting MethodHand HarvestingMechanical Harvesting
HandMechanicalDifference %Before After Difference %Before After Difference %
A56.445.219.8668.844.135.9048.441.913.43
B45.339.413.0251.938.725.4347.731.035.01
C77.253.830.0282.771.713.3058.449.215.75
D89.0a50.443.3793.284.89.0153.747.112.29
ANOVA
Harvesting method Sampling time-hand harvestingSampling time-mechanical harvesting
F valuePr > F F valuePr > F F valuePr > F
A14.60.0068 9.20.0061 0.40.5567
B4.10.0118 8.50.0080 3.40.0808
C5.10.0047 1.20.2982 1.30.2622
D9.00.0001 0.40.5189 0.70.4278
Table 3. Means and analysis of variance for the harvesting methods effect on stem water potential (MPa) at Felda site in the southwest of Florida during 2016 seasons.
Table 3. Means and analysis of variance for the harvesting methods effect on stem water potential (MPa) at Felda site in the southwest of Florida during 2016 seasons.
Experiment\MeanHarvesting MethodHand HarvestingMechanical Harvesting
HandMechanicalBeforeAfter BeforeAfter
C−0.93−1.14−0.99−0.86−1.14−1.13
D−0.79−0.92−0.91−0.68−0.92−0.91
ANOVA
Harvesting methodSampling time-HandSampling time-Mechanical
F valuePr > FF valuePr > FF valuePr > F
C18.8<0.000111.980.00220.070.7971
D31.2<0.000158.21<0.00010.070.8005
Table 4. Statistical variation of sweet orange “Valencia” tree yields under different harvesting methods at early and late harvesting seasons at Felda site in the southwest of Florida during 2015 and 2016.
Table 4. Statistical variation of sweet orange “Valencia” tree yields under different harvesting methods at early and late harvesting seasons at Felda site in the southwest of Florida during 2015 and 2016.
ExperimentHarvesting DatesNumber of TreesYield (kg Fruit tree−1)p Value
HandMechanicalHandMechanical
A (early season)30 March 2015181841.434.5<0.0001
B (late season)14 April 2015262353.733.7<0.0001
C (early season)4 April 2016252532.515.9<0.0001
D (late season)20 April 2016252524.58.8<0.0001
38.123.2<0.0001

Share and Cite

MDPI and ACS Style

Hamido, S.A.; Morgan, K.T. Harvesting Method Affects Water Dynamics and Yield of Sweet Orange with Huanglongbing. Agriculture 2018, 8, 38. https://doi.org/10.3390/agriculture8030038

AMA Style

Hamido SA, Morgan KT. Harvesting Method Affects Water Dynamics and Yield of Sweet Orange with Huanglongbing. Agriculture. 2018; 8(3):38. https://doi.org/10.3390/agriculture8030038

Chicago/Turabian Style

Hamido, Said A., and Kelly T. Morgan. 2018. "Harvesting Method Affects Water Dynamics and Yield of Sweet Orange with Huanglongbing" Agriculture 8, no. 3: 38. https://doi.org/10.3390/agriculture8030038

APA Style

Hamido, S. A., & Morgan, K. T. (2018). Harvesting Method Affects Water Dynamics and Yield of Sweet Orange with Huanglongbing. Agriculture, 8(3), 38. https://doi.org/10.3390/agriculture8030038

Note that from the first issue of 2016, this journal uses article numbers instead of page numbers. See further details here.

Article Metrics

Back to TopTop