Pyramiding of Low-Nitrogen-Responsive QTL Clusters Enhances Yield and Nutrient-Use Efficiency in Barley
Abstract
1. Introduction
2. Materials and Methods
2.1. Plant Materials
2.2. Molecular Marker Analysis
2.3. Experimental Design and N Treatments
2.4. Measurement of Indicators
2.5. Data Analysis
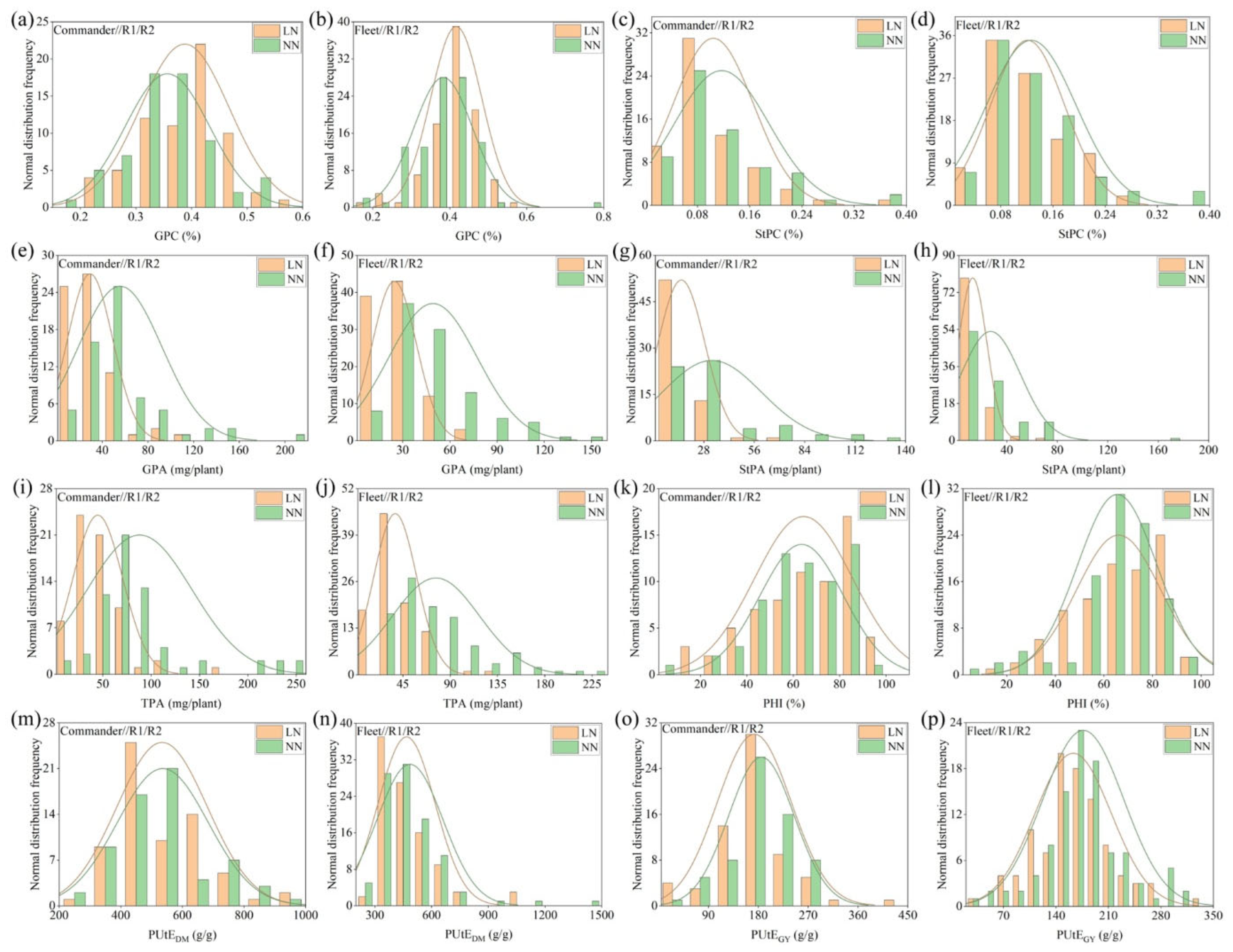
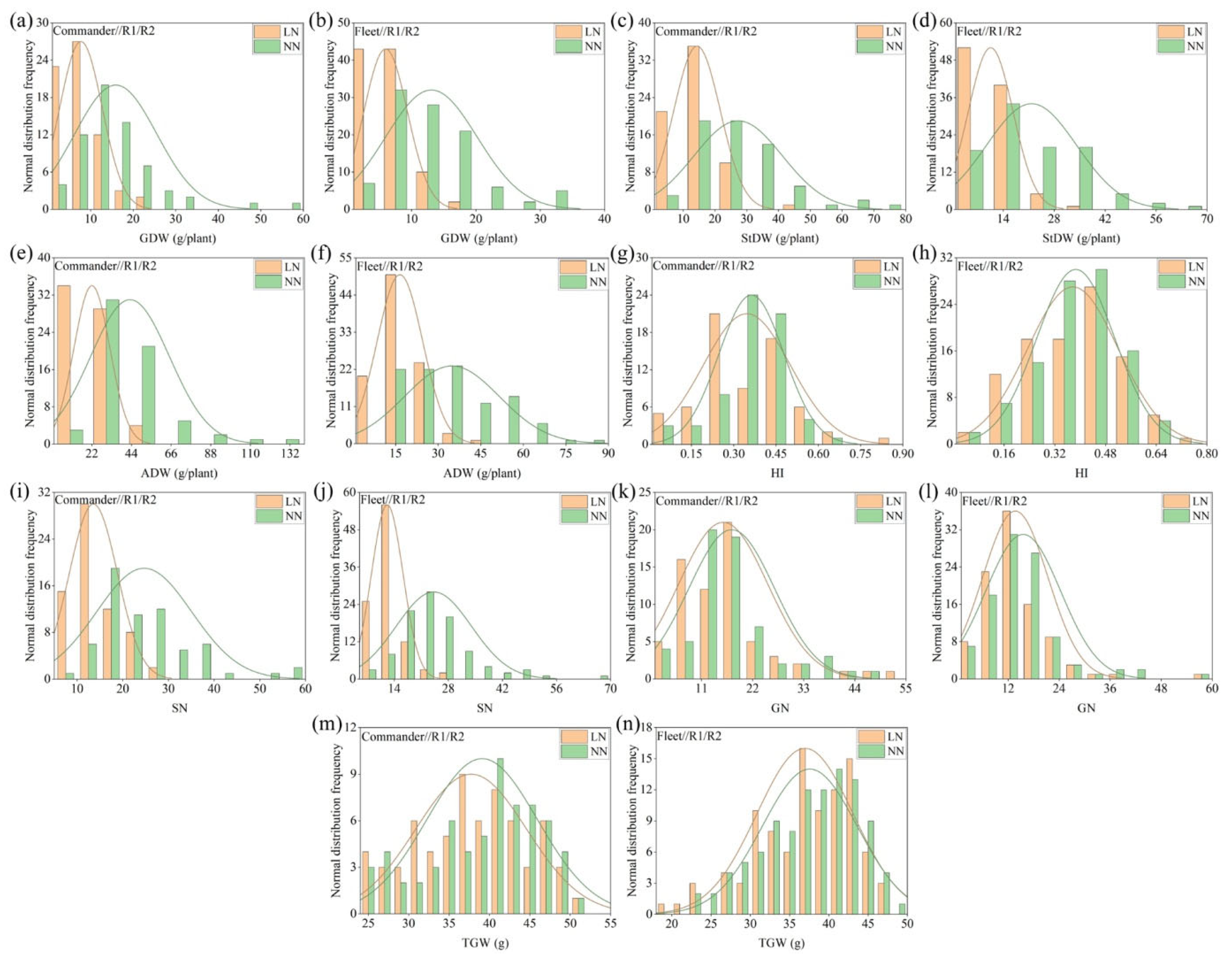
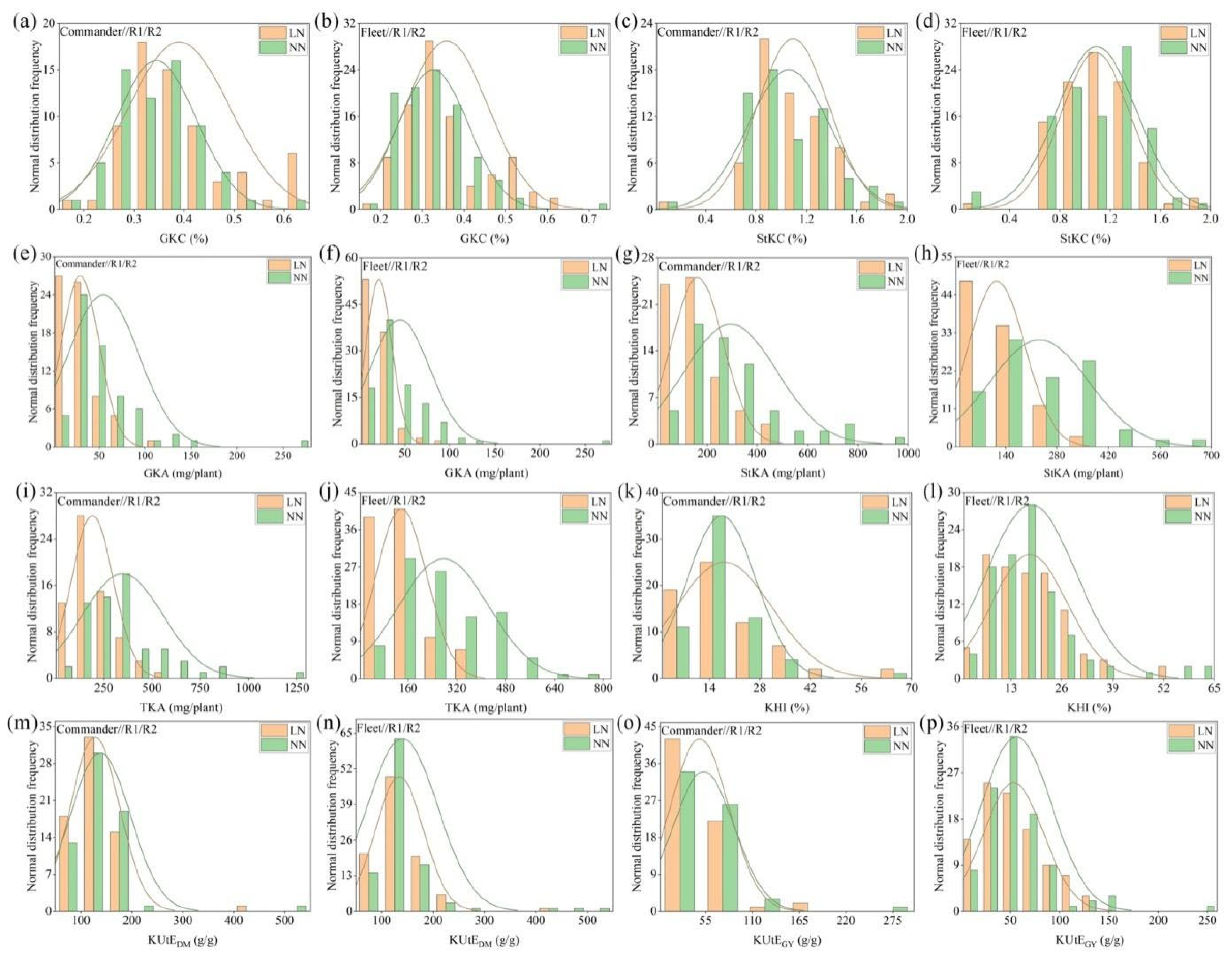
3. Results
3.1. Molecular Marker Analysis Within the RIL Populations
3.2. Phenotypic Analysis of Barley RIL Populations Under LN Stress
3.3. Analysis of QTL Pyramid Effect
4. Discussion
4.1. Analysis of the Additive Effects of Gene Pyramids
4.2. Effect of N Nutrition on Agronomic Traits
4.3. Effect of N Nutrition on N, P, and K-Related Traits
4.4. The Role of Gene Pyramids in Breeding
5. Conclusions
Supplementary Materials
Author Contributions
Funding
Institutional Review Board Statement
Data Availability Statement
Acknowledgments
Conflicts of Interest
References
- Xu, G.-W.; Lu, D.-K.; Wang, H.-Z.; Li, Y. Morphological and physiological traits of rice roots and their relationships to yield and nitrogen utilization as influenced by irrigation regime and nitrogen rate. Agric. Water Manag. 2018, 203, 385–394. [Google Scholar] [CrossRef]
- Duncan, E.G.; O’Sullivan, C.A.; Roper, M.M.; Palta, J.; Whisson, K.; Peoples, M.B. Yield and nitrogen use efficiency of wheat increased with root length and biomass due to nitrogen, phosphorus, and potassium interactions. J. Plant Nutr. Soil Sci. 2018, 181, 364–373. [Google Scholar] [CrossRef]
- Lundy, M.E.; Pittelkow, C.M.; Linquist, B.A.; Liang, X.; van Groenigen, K.J.; Lee, J.; Six, J.; Venterea, R.T.; van Kessel, C. Nitrogen fertilization reduces yield declines following no-till adoption. Field Crop. Res. 2015, 183, 204–210. [Google Scholar] [CrossRef]
- Silva Alves Dos Santos, C.; Bonfim-Silva, E.M.; da Silva, T.J.A. Nitrogen and potassium in biomass production and water use efficiency of irrigated wheat cv. BRS 394 in Cerrado. J. Plant Nutr. 2023, 46, 3174–3183. [Google Scholar] [CrossRef]
- Fageria, N.K.; Oliveira, J.P. Nitrogen, Phosphorus and Potassium Interactions in Upland Rice. J. Plant Nutr. 2014, 37, 1586–1600. [Google Scholar] [CrossRef]
- Robertson, G.P.; Vitousek, P.M. Nitrogen in Agriculture: Balancing the Cost of an Essential Resource. Annu. Rev. Environ. Resour. 2009, 34, 97–125. [Google Scholar] [CrossRef]
- Ladha, J.K.; Tirol-Padre, A.; Reddy, C.K.; Cassman, K.G.; Verma, S.; Powlson, D.S.; van Kessel, C.; Richter, D.d.B.; Chakraborty, D.; Pathak, H. Global nitrogen budgets in cereals: A 50-year assessment for maize, rice and wheat production systems. Sci. Rep. 2016, 6, 19355. [Google Scholar] [CrossRef]
- Olmo, M.; Villar, R.; Salazar, P.; Alburquerque, J.A. Changes in soil nutrient availability explain biochar’s impact on wheat root development. Plant Soil 2015, 399, 333–343. [Google Scholar] [CrossRef]
- Wang, Y.; Xiao, L.; Guo, S.; An, F.; Du, D. Fine Mapping and Whole-Genome Resequencing Identify the Seed Coat Color Gene in Brassica rapa. PLoS ONE 2016, 11, e0166464. [Google Scholar] [CrossRef]
- Hawkesford, M.J.; Griffiths, S. Exploiting genetic variation in nitrogen use efficiency for cereal crop improvement. Curr. Opin. Plant Biol. 2019, 49, 35–42. [Google Scholar] [CrossRef]
- Bloch, S.E.; Ryu, M.-H.; Ozaydin, B.; Broglie, R. Harnessing atmospheric nitrogen for cereal crop production. Curr. Opin. Biotechnol. 2020, 62, 181–188. [Google Scholar] [CrossRef] [PubMed]
- Xu, G.; Fan, X.; Miller, A.J. Plant Nitrogen Assimilation and Use Efficiency. Annu. Rev. Plant Biol. 2012, 63, 153–182. [Google Scholar] [CrossRef] [PubMed]
- Hefferon, K.L. Nutritionally Enhanced Food Crops; Progress and Perspectives. Int. J. Mol. Sci. 2015, 16, 3895–3914. [Google Scholar] [CrossRef] [PubMed]
- Lenaerts, B.; Collard, B.C.; Demont, M. Review: Improving global food security through accelerated plant breeding. Plant Sci. 2019, 287, 110207. [Google Scholar] [CrossRef]
- Saal, B.; von Korff, M.; Léon, J.; Pillen, K. Advanced-backcross QTL analysis in spring barley: IV. Localization of QTL × nitrogen interaction effects for yield-related traits. Euphytica 2010, 177, 223–239. [Google Scholar] [CrossRef]
- Wei, D.; Cui, K.; Ye, G.; Pan, J.; Xiang, J.; Huang, J.; Nie, L. QTL mapping for nitrogen-use efficiency and nitrogen-deficiency tolerance traits in rice. Plant Soil 2012, 359, 281–295. [Google Scholar] [CrossRef]
- Gong, X.; Wheeler, R.; Bovill, W.D.; McDonald, G.K. QTL mapping of grain yield and phosphorus efficiency in barley in a Mediterranean-like environment. Theor. Appl. Genet. 2016, 129, 1657–1672. [Google Scholar] [CrossRef]
- Guo, Y.; Kong, F.-M.; Xu, Y.-F.; Zhao, Y.; Liang, X.; Wang, Y.-Y.; An, D.-G.; Li, S.-S. QTL mapping for seedling traits in wheat grown under varying concentrations of N, P and K nutrients. Theor. Appl. Genet. 2011, 124, 851–865. [Google Scholar] [CrossRef]
- Chen, G.; Habib, A.; Wei, Y.; Zheng, Y.-L.; Shabala, S.; Zhou, M.; Liu, C. Enhancing Fusarium crown rot resistance by pyramiding large-effect QTL in barley. Mol. Breed. 2015, 35, 26. [Google Scholar] [CrossRef]
- Shamsudin, N.A.A.; Swamy, B.P.M.; Ratnam, W.; Cruz, M.T.S.; Sandhu, N.; Raman, A.K.; Kumar, A. Pyramiding of drought yield QTLs into a high quality Malaysian rice cultivar MRQ74 improves yield under reproductive stage drought. Rice 2016, 9, 21. [Google Scholar] [CrossRef]
- Wang, P.; Xing, Y.; Li, Z.; Yu, S. Improving rice yield and quality by QTL pyramiding. Mol. Breed. 2011, 29, 903–913. [Google Scholar] [CrossRef]
- Lande, R.; Thompson, R. Efficiency of marker-assisted selection in the improvement of quantitative traits. Genetics 1990, 124, 743–756. [Google Scholar] [CrossRef] [PubMed]
- Chen, D.-G.; Guo, J.; Chen, K.; Ye, C.-J.; Liu, J.; Chen, Y.-D.; Zhou, X.-Q.; Liu, C.-G. Pyramiding Breeding of Low-Glutelin-Content Indica Rice with Good Quality and Resistance. Plants 2023, 12, 3763. [Google Scholar] [CrossRef] [PubMed]
- Lin, C.; Zhu, T.; Ogorek, L.L.P.; Wang, Y.; Sauter, M.; Pedersen, O. The Pyramiding of Three Key Root Traits Aid Breeding of Flood-Tolerant Rice. Plants 2022, 11, 2033. [Google Scholar] [CrossRef]
- Muthu, V.; Abbai, R.; Nallathambi, J.; Rahman, H.; Ramasamy, S.; Kambale, R.; Thulasinathan, T.; Ayyenar, B.; Muthurajan, R. Pyramiding QTLs controlling tolerance against drought, salinity, and submergence in rice through marker assisted breeding. PLoS ONE 2020, 15, e0227421. [Google Scholar] [CrossRef]
- Gautam, T.; Dhillon, G.S.; Saripalli, G.; Rakhi; Singh, V.P.; Prasad, P.; Kaur, S.; Chhuneja, P.; Sharma, P.K.; Balyan, H.S.; et al. Marker-assisted pyramiding of genes/QTL for grain quality and rust resistance in wheat (Triticum aestivum L.). Mol. Breed. 2020, 40, 49. [Google Scholar] [CrossRef]
- Liu, R.; Lu, J.; Zhou, M.; Zheng, S.; Liu, Z.; Zhang, C.; Du, M.; Wang, M.; Li, Y.; Wu, Y.; et al. Developing stripe rust resistant wheat (Triticum aestivum L.) lines with gene pyramiding strategy and marker-assisted selection. Genet. Resour. Crop. Evol. 2020, 67, 381–391. [Google Scholar] [CrossRef]
- Zhang, B.; Shi, W.; Li, W.; Chang, X.; Jing, R. Efficacy of pyramiding elite alleles for dynamic development of plant height in common wheat. Mol. Breed. 2013, 32, 327–338. [Google Scholar] [CrossRef]
- Zheng, Z.; Gao, S.; Zhou, M.; Yan, G.; Liu, C. Enhancing Fusarium crown rot resistance by pyramiding large-effect QTL in common wheat (Triticum aestivum L.). Mol. Breed. 2017, 37, 107. [Google Scholar] [CrossRef]
- Moullet, O.; Díaz Bermúdez, G.; Fossati, D.; Brabant, C.; Mascher, F.; Schori, A. Pyramiding wheat pre-harvest sprouting resistance genes in triticale breeding. Mol. Breed. 2022, 42, 60. [Google Scholar] [CrossRef]
- Langridge, P. Economic and Academic Importance of Barley. In The Barley Genome; Stein, N., Muehlbauer, G.J., Eds.; Springer International Publishing: Cham, Switzerland, 2018; pp. 1–10. ISBN 978-3-319-92528-8. [Google Scholar]
- Chen, B.; Hou, Y.; Huo, Y.; Zeng, Z.; Hu, D.; Mao, X.; Zhong, C.; Xu, Y.; Tang, X.; Gao, X.; et al. QTL Mapping of Yield, Agronomic, and Nitrogen-Related Traits in Barley (Hordeum vulgare L.) under Low Nitrogen and Normal Nitrogen Treatments. Plants 2024, 13, 2137. [Google Scholar] [CrossRef] [PubMed]
- Hoffmann, A.; Maurer, A.; Pillen, K. Detection of nitrogen deficiency QTL in juvenile wild barley introgression linesgrowing in a hydroponic system. BMC Genet. 2012, 13, 88. [Google Scholar] [CrossRef] [PubMed]
- Kindu, G.A.; Tang, J.; Yin, X.; Struik, P.C. Quantitative trait locus analysis of nitrogen use efficiency in barley (Hordeum vulgare L.). Euphytica 2014, 199, 207–221. [Google Scholar] [CrossRef]
- Kjaer, B.; Jensen, J. The Inheritance of Nitrogen and Phosphorus Content in Barley Analysed by Genetic Markers. Hereditas 1995, 123, 109–119. [Google Scholar] [CrossRef]
- Schnaithmann, F.; Pillen, K. Detection of exotic QTLs controlling nitrogen stress tolerance among wild barley introgression lines. Euphytica 2012, 189, 67–88. [Google Scholar] [CrossRef]
- Zeng, Z.; Song, S.; Ma, J.; Hu, D.; Xu, Y.; Hou, Y.; Chen, H.; Chen, Y.; Huo, Y.; Li, Y.; et al. QTL mapping of nitrogen use efficiency traits at the seedling and maturity stages under different nitrogen conditions in barley (Hordeum vulgare L.). Plant Breed. 2023, 143, 155–167. [Google Scholar] [CrossRef]
- Castro, A.J.; Capettini, F.; Corey, A.E.; Filichkina, T.; Hayes, P.M.; Kleinhofs, A.; Kudrna, D.; Richardson, K.; Sandoval-Islas, S.; Rossi, C.; et al. Mapping and pyramiding of qualitative and quantitative resistance to stripe rust in barley. Theor. Appl. Genet. 2003, 107, 922–930. [Google Scholar] [CrossRef]
- Castro, A.J.; Chen, X.; Corey, A.; Filichkina, T.; Hayes, P.M.; Mundt, C.; Richardson, K.; Sandoval-Islas, S.; Vivar, H. Pyramiding and Validation of Quantitative Trait Locus (QTL) Alleles Determining Resistance to Barley Stripe Rust: Effects on adult plant resistance. Crop. Sci. 2003, 43, 2234–2239. [Google Scholar] [CrossRef]
- Richardson, K.L.; Vales, M.I.; Kling, J.G.; Mundt, C.C.; Hayes, P.M. Pyramiding and dissecting disease resistance QTL to barley stripe rust. Theor. Appl. Genet. 2006, 113, 485–495. [Google Scholar] [CrossRef]
- Riedel, C.; Habekuß, A.; Schliephake, E.; Niks, R.; Broer, I.; Ordon, F. Pyramiding of Ryd2 and Ryd3 conferring tolerance to a German isolate of Barley yellow dwarf virus-PAV (BYDV-PAV-ASL-1) leads to quantitative resistance against this isolate. Theor. Appl. Genet. 2011, 123, 69–76. [Google Scholar] [CrossRef]
- Werner, K.; Friedt, W.; Ordon, F. Strategies for Pyramiding Resistance Genes Against the Barley Yellow Mosaic Virus Complex (BaMMV, BaYMV, BaYMV-2). Mol. Breed. 2005, 16, 45–55. [Google Scholar] [CrossRef]
- Emebiri, L.; Michael, P.; Moody, D.B.; Ogbonnaya, F.C.; Black, C. Pyramiding QTLs to improve malting quality in barley: Gains in phenotype and genetic diversity. Mol. Breed. 2008, 23, 219–228. [Google Scholar] [CrossRef]
- Ellis, R.; Forster, B.; Robinson, D.; Handley, L.; Gordon, D.; Russell, J.; Powell, W. Wild barley: A source of genes for crop improvement in the 21st century? J. Exp. Bot. 2000, 51, 9–17. [Google Scholar] [CrossRef] [PubMed]
- Chen, G.D.; Liu, Y.X.; Wei, Y.M.; McIntyre, C.L.; Zhou, M.X.; Zheng, Y.-L.; Liu, C.J. Major QTL for Fusarium crown rot resistance in a barley landrace. Theor. Appl. Genet. 2013, 126, 2511–2520. [Google Scholar] [CrossRef]
- Zeng, Z.; Song, S.; Ma, J.; Hu, D.; Xu, Y.; Hou, Y.; He, C.; Tang, X.; Lan, T.; Zeng, J.; et al. QTL Mapping of Agronomic and Physiological Traits at the Seedling and Maturity Stages under Different Nitrogen Treatments in Barley. Int. J. Mol. Sci. 2023, 24, 8736. [Google Scholar] [CrossRef]
- Li, J.; Wang, S.; Yu, J.; Wang, L.; Zhou, S. A Modified CTAB Protocol for Plant DNA Extraction. Chin. Bull. Bot. 2013, 48, 72–78. [Google Scholar] [CrossRef]
- Ceccarelli, S. Adaptation to low/high input cultivation. Euphytica 1996, 92, 203–214. [Google Scholar] [CrossRef]
- Weltzien, E.; Fischbeck, G. Performance and Variability of Local Barley Landraces in Near-Eastern Environments. Plant Breed. 1990, 104, 58–67. [Google Scholar] [CrossRef]
- Zhao, F.; Wang, L.; Xu, S. Identification of QTL-by-environment interaction by controlling polygenic background effect. J. Genet. Genom. 2025, 52, 915–926. [Google Scholar] [CrossRef]
- Baethgen, W.E.; Christianson, C.; Lamothe, A.G. Nitrogen fertilizer effects on growth, grain yield, and yield components of malting barley. Field Crop. Res. 1995, 43, 87–99. [Google Scholar] [CrossRef]
- Cai, H.; Chu, Q.; Gu, R.; Yuan, L.; Liu, J.; Zhang, X.; Chen, F.; Mi, G.; Zhang, F. Identification of QTLs for plant height, ear height and grain yield in maize (Zea mays L.) in response to nitrogen and phosphorus supply. Plant Breed. 2012, 131, 502–510. [Google Scholar] [CrossRef]
- Cai, H.; Chu, Q.; Yuan, L.; Liu, J.; Chen, X.; Chen, F.; Mi, G.; Zhang, F. Identification of quantitative trait loci for leaf area and chlorophyll content in maize (Zea mays) under low nitrogen and low phosphorus supply. Mol. Breed. 2012, 30, 251–266. [Google Scholar] [CrossRef]
- Yang, X.; Xia, X.; Zhang, Z.; Nong, B.; Zeng, Y.; Xiong, F.; Wu, Y.; Gao, J.; Deng, G.; Li, D. QTL Mapping by Whole Genome Re-sequencing and Analysis of Candidate Genes for Nitrogen Use Efficiency in Rice. Front. Plant Sci. 2017, 8, 1634. [Google Scholar] [CrossRef] [PubMed]
- Li, W.; Li, L.; Sun, J.; Zhang, F.; Christie, P. Effects of Nitrogen and Phosphorus Fertilizers and Intercropping on Uptake of Nitrogen and Phosphorus by Wheat, Maize, and Faba Bean. J. Plant Nutr. 2003, 26, 629–642. [Google Scholar] [CrossRef]
- Zhang, F.; Niu, J.; Zhang, W.; Chen, X.; Li, C.; Yuan, L.; Xie, J. Potassium nutrition of crops under varied regimes of nitrogen supply. Plant Soil 2010, 335, 21–34. [Google Scholar] [CrossRef]
- Brennan, R.F.; Bolland, M.D.A. Comparing the Nitrogen and Potassium Requirements of Canola and Wheat for Yield and Grain Quality. J. Plant Nutr. 2009, 32, 2008–2026. [Google Scholar] [CrossRef]
- Zubillaga, M.M.; Aristi, J.P.; Lavado, R.S. Effect of Phosphorus and Nitrogen Fertilization on Sunflower (Helianthus annus L.) Nitrogen Uptake and Yield. J. Agron. Crop. Sci. 2002, 188, 267–274. [Google Scholar] [CrossRef]
- Forde, B.G. Nitrogen signalling pathways shaping root system architecture: An update. Curr. Opin. Plant Biol. 2014, 21, 30–36. [Google Scholar] [CrossRef]
- Ueda, Y.; Kiba, T.; Yanagisawa, S. Nitrate-inducible NIGT1 proteins modulate phosphate uptake and starvation signalling via transcriptional regulation of SPX genes. Plant J. 2020, 102, 448–466. [Google Scholar] [CrossRef]
- Bonneau, L.; Huguet, S.; Wipf, D.; Pauly, N.; Truong, H. Combined phosphate and nitrogen limitation generates a nutrient stress transcriptome favorable for arbuscular mycorrhizal symbiosis in Medicago truncatula. New Phytol. 2013, 199, 188–202. [Google Scholar] [CrossRef]
- Endo, T.; Chiba, B.; Wagatsuma, K.; Saeki, K.; Ando, T.; Shomura, A.; Mizubayashi, T.; Ueda, T.; Yamamoto, T.; Nishio, T. Detection of QTLs for cold tolerance of rice cultivar ‘Kuchum’ and effect of QTL pyramiding. Theor. Appl. Genet. 2016, 129, 631–640. [Google Scholar] [CrossRef]
- Feng, B.; Chen, K.; Cui, Y.; Wu, Z.; Zheng, T.; Zhu, Y.; Ali, J.; Wang, B.; Xu, J.; Zhang, W.; et al. Genetic Dissection and Simultaneous Improvement of Drought and Low Nitrogen Tolerances by Designed QTL Pyramiding in Rice. Front. Plant Sci. 2018, 9, 306. [Google Scholar] [CrossRef]
- Zou, T.; Zhao, H.; Li, X.; Zheng, M.; Zhang, S.; Sun, L.; He, N.; Pan, X.; Liu, Z.; Fu, X. QTLs detection and pyramiding for stigma exsertion rate in wild rice species by using the single-segment substitution lines. Mol. Breed. 2020, 40, 74. [Google Scholar] [CrossRef]
- Zhou, K.; Yu, J.; Yu, Z.; Chi, C.; Ren, J.; Zhao, Z.; Zhang, H.; Ling, Y.; Zhang, C.; Zhao, F. Identification of quantitative trait loci for yield traits and fine-mapping of qGW4 using the chromosome segment substitution line-Z708 and dissected single-segment substitution lines. Front. Plant Sci. 2025, 16, 1524770. [Google Scholar] [CrossRef]











| Target QTL Cluster | Forward Primer | Reverse Primer | Tm/°C |
|---|---|---|---|
| C1 | AAGCAGCAAAGCAAAGTACC | TCATCAGCATCTGATCATCC | 53.4 °C |
| C2 | TGCTCTGTCCGAAATGAT | GGTGACTGGGCTTTGTTGA | 51.5 °C |
| C3 | TCCAGGAGCCAAGAACC | ACGAGCGGCGAAAGA | 52.9 °C |
Disclaimer/Publisher’s Note: The statements, opinions and data contained in all publications are solely those of the individual author(s) and contributor(s) and not of MDPI and/or the editor(s). MDPI and/or the editor(s) disclaim responsibility for any injury to people or property resulting from any ideas, methods, instructions or products referred to in the content. |
© 2026 by the authors. Licensee MDPI, Basel, Switzerland. This article is an open access article distributed under the terms and conditions of the Creative Commons Attribution (CC BY) license.
Share and Cite
Chen, B.-J.; Hou, Y.; Zeng, Z.-Y.; Huo, Y.-F.; Hu, D.-Y.; Yin, L.; Xu, Y.-G.; Li, Y.; Yuan, S.; Chen, G.-D. Pyramiding of Low-Nitrogen-Responsive QTL Clusters Enhances Yield and Nutrient-Use Efficiency in Barley. Agriculture 2026, 16, 453. https://doi.org/10.3390/agriculture16040453
Chen B-J, Hou Y, Zeng Z-Y, Huo Y-F, Hu D-Y, Yin L, Xu Y-G, Li Y, Yuan S, Chen G-D. Pyramiding of Low-Nitrogen-Responsive QTL Clusters Enhances Yield and Nutrient-Use Efficiency in Barley. Agriculture. 2026; 16(4):453. https://doi.org/10.3390/agriculture16040453
Chicago/Turabian StyleChen, Bing-Jie, Yao Hou, Zhao-Yong Zeng, Yuan-Feng Huo, De-Yi Hu, Li Yin, Ying-Gang Xu, Yang Li, Shu Yuan, and Guang-Deng Chen. 2026. "Pyramiding of Low-Nitrogen-Responsive QTL Clusters Enhances Yield and Nutrient-Use Efficiency in Barley" Agriculture 16, no. 4: 453. https://doi.org/10.3390/agriculture16040453
APA StyleChen, B.-J., Hou, Y., Zeng, Z.-Y., Huo, Y.-F., Hu, D.-Y., Yin, L., Xu, Y.-G., Li, Y., Yuan, S., & Chen, G.-D. (2026). Pyramiding of Low-Nitrogen-Responsive QTL Clusters Enhances Yield and Nutrient-Use Efficiency in Barley. Agriculture, 16(4), 453. https://doi.org/10.3390/agriculture16040453

