Impact of Long-Term Inhibitors and Organic Materials Addition on Soil Microbial Carbon Use Efficiency in a Corn Field
Abstract
1. Introduction
2. Materials and Methods
2.1. Experimental Design and Soil Sampling
2.2. Soil Analysis
2.3. DNA Extraction and Real-Time Quantitative PCR (qPCR) Analysis
2.4. Statistical Analysis
3. Results
3.1. Soil Properties
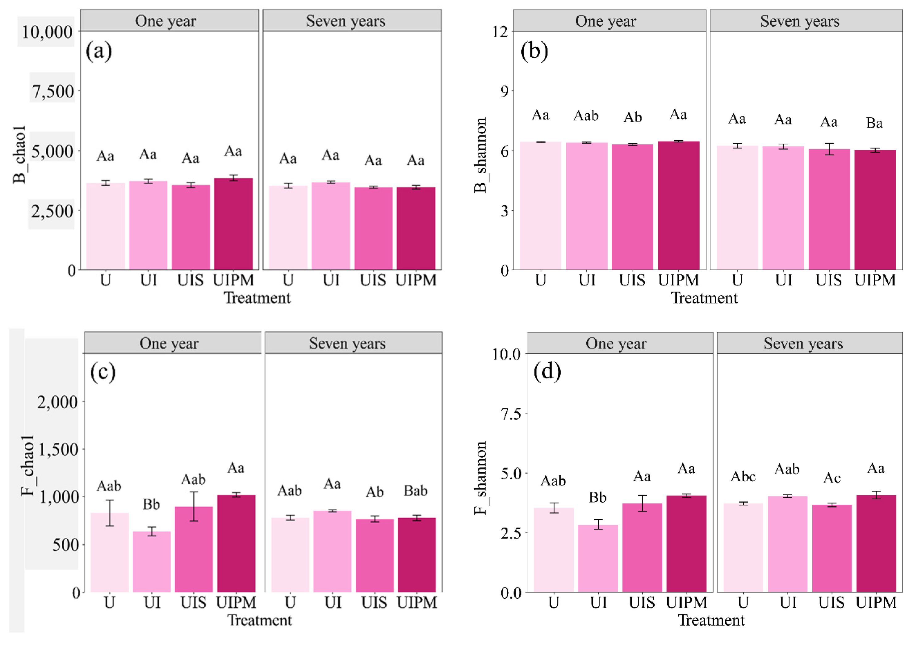
3.2. Bacterial and Fungal Gene Diversity
3.3. Bacterial and Fungal Communities
3.4. Importance Analysis
4. Discussion
4.1. Effects of Inhibitor Application on Soil Microbial CUE
4.2. Effects of Inhibitors Combined with Different Organic Materials on Soil Microbial CUE
4.3. Limitations and Future Directions
5. Conclusions
Supplementary Materials
Author Contributions
Funding
Institutional Review Board Statement
Data Availability Statement
Acknowledgments
Conflicts of Interest
References
- Stockmann, U.; Adams, M.A.; Crawford, J.W.; Field, D.J.; Henakaarchchi, N.; Jenkins, M.; Minasny, B.; McBratney, A.B.; Courcelles, V.R.; Singh, K.; et al. The knowns, known unknowns and unknowns of sequestration of soil organic carbon. Agric. Ecosyst. Environ. 2013, 164, 80–99. [Google Scholar] [CrossRef]
- Pries, C.E.H.; Castanha, C.; Porras, R.; Torn, M. The whole-soil carbon flux in response to warming. Science 2017, 355, 1420–1423. [Google Scholar] [CrossRef]
- Wang, C.; Qu, L.; Yang, L.; Liu, D.; Morrissey, E.; Miao, R.; Liu, Z.; Wang, Q.; Fang, Y.; Bai, E. Large-scale importance of microbial carbon use efficiency and necromass to soil organic carbon. Glob. Change Biol. 2021, 27, 2039–2048. [Google Scholar] [CrossRef] [PubMed]
- Meng, Y.; Wu, K.K.; Gong, P.; Zhang, Z.; Han, M.; Wei, Z.B.; Wang, L.L.; Lv, N.; Bai, W.; Zhang, L.L. Effects of corn stalks returning on soil microbial carbon use efficiency and corn yield in semi-arid cropland. BioResources 2024, 19, 103–115. [Google Scholar] [CrossRef]
- He, T.; Liu, D.; Yuan, J.; Luo, J.; Lindsey, S.; Bolan, N.; Ding, W. Effects of application of inhibitors and biochar to fertilizer on gaseous nitrogen emissions from an intensively managed wheat field. Sci. Total Environ. 2018, 628, 121–130. [Google Scholar] [CrossRef] [PubMed]
- Ma, S.; Zhu, W.; Wang, W.; Li, X.; Sheng, Z. Microbial assemblies with distinct trophic strategies drive changes in soil microbial carbon use efficiency along vegetation primary succession in a glacier retreat area of the southeastern Tibetan Plateau. Sci. Total Environ. 2023, 867, 161587. [Google Scholar] [CrossRef]
- Tian, D.; Zhang, Y.; Zhou, Y.; Mu, Y.; Liu, J.; Zhang, C.; Liu, P. Effect of nitrification inhibitors on mitigating N2O and NO emissions from an agricultural field under drip fertigation in the North China Plain. Sci. Total Environ. 2017, 598, 87–96. [Google Scholar] [CrossRef]
- Vogel, C.; Sekine, R.; Huang, J.; Steckenmesser, D.; Steffens, D.; Huthwelker, T.; Borca, C.N.; Pradas Del Real, A.E.; Castillo-Michel, H.; Adam, C. Effects of a nitrification inhibitor on nitrogen species in the soil and the yield and phosphorus uptake of maize. Sci. Total Environ. 2020, 715, 136895. [Google Scholar] [CrossRef]
- Su, Y.; Wang, Y.; Liu, G.; Zhang, Z.; Li, X.; Chen, G.; Gou, Z.; Gao, Q. Nitrogen (N) “supplementation, slow release, and retention” strategy improves N use efficiency via the synergistic effect of biochar, nitrogen-fixing bacteria, and dicyandiamide. Sci. Total Environ. 2024, 908, 168518. [Google Scholar] [CrossRef]
- Wu, K.K.; Gong, P.; Bai, W.; Zhang, Z.; Wei, Z.B.; Yu, C.X.; Song, Y.C.; Xue, Y.; Zhang, L.L. Effect of mixed inhibitor application on N2O production pathways in paddy soil. J. Soils Sediments 2022, 22, 1913–1923. [Google Scholar] [CrossRef]
- Silva-Sánchez, A.; Soares, M.; Rousk, J. Testing the dependence of microbial growth and carbon use efficiency on nitrogen availability, pH, and organic matter quality. Soil Biol. Biochem. 2019, 134, 25–35. [Google Scholar] [CrossRef]
- Manzoni, S.; Capek, P.; Mooshammer, M.; Lindahl, B.D.; Richter, A.; Santruckova, H. Optimal metabolic regulation along resource stoichiometry gradients. Ecol. Lett. 2017, 20, 1182–1191. [Google Scholar] [CrossRef] [PubMed]
- Cui, J.; Zhu, Z.; Xu, X.; Liu, S.; Jones, D.L.; Kuzyakov, Y.; Shibistova, O.; Wu, J.; Ge, T. Carbon and nitrogen recycling from microbial necromass to cope with C:N stoichiometric imbalance by priming. Soil Biol. Biochem. 2020, 142, 107720. [Google Scholar] [CrossRef]
- Strickland, M.S.; Rousk, J. Considering fungal: Bacterial dominance in soils—Methods, controls, and ecosystem implications. Soil Biol. Biochem. 2010, 42, 1385–1395. [Google Scholar] [CrossRef]
- Miao, Y.C.; Niu, Y.H.; Luo, R.Y.; Li, Y.; Zheng, H.J.; Kuzyakov, Y.; Chen, Z.M.; Liu, D.Y.; Ding, W.X. Lower microbial carbon use efficiency reduces cellulose-derived carbon retention in soils amended with compost versus mineral fertilizers. Soil Biol. Biochem. 2021, 156, 108227. [Google Scholar] [CrossRef]
- Yin, G.; Gu, J.; Zhang, F.; Hao, L.; Cong, P.; Liu, Z. Maize yield response to water supply and fertilizer input in a semi-arid environment of Northeast China. PLoS ONE 2014, 9, e86099. [Google Scholar] [CrossRef]
- Cai, A.; Liang, G.; Zhang, X.; Zhang, W.; Li, L.; Rui, Y.; Xu, M.; Luo, Y. Long-term straw decomposition in agro-ecosystems described by a unified three-exponentiation equation with thermal time. Sci. Total Environ. 2018, 636, 699–708. [Google Scholar] [CrossRef]
- Fang, Y.Y.; Singh, B.P.; Collins, D.; Li, B.Z.; Zhu, J.; Tavakkoli, E. Nutrient supply enhanced wheat residue-carbon mineralization, microbial growth, and microbial carbon-use efficiency when residues were supplied at high rate in contrasting soils. Soil Biol. Biochem. 2018, 126, 168–178. [Google Scholar] [CrossRef]
- Jones, D.L.; Hill, P.W.; Smith, A.R.; Farrell, M.; Ge, T.; Banning, N.C.; Murphy, D.V. Role of substrate supply on microbial carbon use efficiency and its role in interpreting soil microbial community-level physiological profiles (CLPP). Soil Biol. Biochem. 2018, 123, 1–6. [Google Scholar] [CrossRef]
- Öquist, M.G.; Erhagen, B.; Haei, M.; Sparrman, T.; Ilstedt, U.; Schleucher, J.; Nilsson, M.B. The effect of temperature and substrate quality on the carbon use efficiency of saprotrophic decomposition. Plant Soil 2017, 414, 113–125. [Google Scholar] [CrossRef]
- Soong, J.L.; Fuchslueger, L.; Maranon-Jimenez, S.; Torn, M.S.; Janssens, I.A.; Penuelas, J.; Richter, A. Microbial carbon limitation: The need for integrating microorganisms into our understanding of ecosystem carbon cycling. Glob. Change Biol. 2020, 26, 1953–1961. [Google Scholar] [CrossRef] [PubMed]
- Wang, H.; Ye, W.H.; He, W.; Guo, Z.X.; Hu, G.Q.; Lou, Y.H.; Yang, Q.G.; Yang, Z.C.; Sun, Y.J.; Pan, H.; et al. Phosphorus addition increases soil organic matter priming in a coastal saline soil. Soil Biol. Biochem. 2025, 208, 109862. [Google Scholar] [CrossRef]
- Qu, L.R.; Wang, C.; Bai, E. Evaluation of the 18O-H2O incubation method for measurement of soil microbial carbon use efficiency. Soil Biol. Biochem. 2020, 145, 107802. [Google Scholar] [CrossRef]
- Yu, C.X.; Xie, X.S.; Yang, H.Z.; Yang, L.J.; Li, W.T.; Wu, K.K.; Zhang, W.M.; Feng, C.; Li, D.P.; Wu, Z.J.; et al. Effect of straw and inhibitors on the fate of nitrogen applied to paddy soil. Sci. Rep. 2020, 10, 21582. [Google Scholar] [CrossRef]
- Joergensen, R.G. The fumigation-extraction method to estimate soil microbial biomass: Calibration of the k(EC) value. Soil Biol. Biochem. 1996, 28, 25–31. [Google Scholar] [CrossRef]
- Li, J.; Sang, C.P.; Yang, J.Y.; Qu, L.R.; Xia, Z.W.; Sun, H.; Jiang, P.; Wang, X.G.; He, H.B.; Wang, C. Stoichiometric imbalance and microbial community regulate microbial elements use efficiencies under nitrogen addition. Soil Biol. Biochem. 2021, 156, 108207. [Google Scholar] [CrossRef]
- Xia, Z.; Yang, J.; Sang, C.; Wang, X.; Sun, L.; Jiang, P.; Wang, C.; Bai, E. Phosphorus Reduces Negative Effects of Nitrogen Addition on Soil Microbial Communities and Functions. Microorganisms 2020, 8, 1828. [Google Scholar] [CrossRef]
- Jiang, D.Q.; Jiang, N.; Jiang, H.; Chen, L.J. Urease inhibitors increased soil ureC gene abundance and intracellular urease activity when extracellular urease activity was inhibited. Geoderma 2023, 430, 116295. [Google Scholar] [CrossRef]
- Hu, J.; Huang, C.; Zhou, S.; Kuzyakov, Y. Nitrogen addition to soil affects microbial carbon use efficiency: Meta-analysis of similarities and differences in 13C and 18O approaches. Glob. Change Biol. 2022, 28, 4977–4988. [Google Scholar] [CrossRef]
- Smith, T.P.; Clegg, T.; Bell, T.; Pawar, S. Systematic variation in the temperature dependence of bacterial carbon use efficiency. Ecol. Lett. 2021, 24, 2123–2133. [Google Scholar] [CrossRef]
- Lee, Z.M.; Schmidt, T.M. Bacterial growth efficiency varies in soils under different land management practices. Soil Biol. Biochem. 2014, 69, 282–290. [Google Scholar] [CrossRef]
- Li, S.; Cui, Y.; Xia, Z.; Zhang, X.; Zhou, C.; An, S.; Zhu, M.; Gao, Y.; Yu, W.; Ma, Q. Microbial nutrient limitations limit carbon sequestration but promote nitrogen and phosphorus cycling: A case study in an agroecosystem with long-term straw return. Sci. Total Environ. 2023, 870, 161865. [Google Scholar] [CrossRef]







| Soil Type | Mean Annual Air Temperature | Mean Annual Precipitation | Frost-Free Period | Organic C (g kg−1) | Total N (g kg−1) | pH |
|---|---|---|---|---|---|---|
| Luvisol | 7–8 °C | 700 mm | 147–164 days | 11.62 | 1.03 | 5.77 |
| Sample Type | Amplification Region | Primer Sequence 5′–3′ | Thermal Profile |
|---|---|---|---|
| Bacteria | 16S rDNA V3-V4 (338–806) | ACTCCTACGGGAGGCAGCAG | 95 °C for 30 s, followed by 40 cycles of 95 °C for 10 s, 60 °C for 30 s, and 72 °C for 40 s |
| GGACTACHVGGGTWTCTAAT | |||
| Fungi | ITS1 (ITS1-ITS2) | CTTGGTCATTTAGAGGAAGTAA | 95 °C for 30 s, followed by 40 cycles of 95 °C for 10 s, 60 °C for 30 s, and 72 °C for 40 s |
| TGCGTTCTTCATCGATGC |
| Year | Treatment | Log of Fungal Gene Copies g−1 Dry Soil | Log of Bacterial Gene Copies g−1 Dry Soil | Fungal Gene/Bacterial Gene |
|---|---|---|---|---|
| 2016 | U | 7.37 ± 0.63 Aab | 8.93 ± 0.10 Ba | 0.08 ± 0.04 Aa |
| UI | 6.10 ± 0.09 Bb | 8.93 ± 0.10 Ba | 0.00 ± 0.00 Ba | |
| UIS | 7.13 ± 0.43 Bab | 8.48 ± 0.31 Ba | 0.16 ± 0.09 Aa | |
| UIPM | 7.77 ± 0.12 Ba | 8.65 ± 0.25 Ba | 0.19 ± 0.12 Aa | |
| 2022 | U | 8.76 ± 0.04 Ab | 10.64 ± 0.09 Ac | 0.01 ± 0.00 Aa |
| UI | 8.80 ± 0.04 Ab | 10.87 ± 0.09 Abc | 0.01 ± 0.00 Aa | |
| UIS | 9.07 ± 0.14 Aab | 11.02 ± 0.11 Aab | 0.01 ± 0.00 Aa | |
| UIPM | 9.25 ± 0.12 Aa | 11.22 ± 0.06 Aa | 0.01 ± 0.00 Aa |
| Bacteria Community | Fungi Community | ||||||
|---|---|---|---|---|---|---|---|
| U | UI | UIS | U | UI | UIS | ||
| Treatment | U | ||||||
| UI | 1.17 | 0.89 | |||||
| UIS | 2.40 * | 1.09 | 2.09 | 1.65 | |||
| UIPM | 3.77 ** | 2.45 | 2.11 | 3.10 * | 2.32 | 2.67 * | |
| Year | One year | One year | |||||
| Seven years | 18.53 *** | 9.83 *** | |||||
| Bacteria Community | Fungi Community | ||||||
|---|---|---|---|---|---|---|---|
| U | UI | UIS | U | UI | UIS | ||
| Treatment | U | ||||||
| UI | 0.86 | 1.42 | |||||
| UIS | 2.03 | 0.50 | 2.98 | 1.08 | |||
| UIPM | 8.37 ** | 5.45 ** | 2.58 | 0.19 | 1.53 | 2.66 | |
| Year | One year | One year | |||||
| Seven years | 9.41 *** | 6.11 ** | |||||
Disclaimer/Publisher’s Note: The statements, opinions and data contained in all publications are solely those of the individual author(s) and contributor(s) and not of MDPI and/or the editor(s). MDPI and/or the editor(s) disclaim responsibility for any injury to people or property resulting from any ideas, methods, instructions or products referred to in the content. |
© 2026 by the authors. Licensee MDPI, Basel, Switzerland. This article is an open access article distributed under the terms and conditions of the Creative Commons Attribution (CC BY) license.
Share and Cite
Meng, Y.; Wu, K.; Bai, W.; Li, N.; Zhang, S.; Xue, Y.; Gong, P.; Song, Y.; Wu, Z.; Zhang, L. Impact of Long-Term Inhibitors and Organic Materials Addition on Soil Microbial Carbon Use Efficiency in a Corn Field. Agriculture 2026, 16, 300. https://doi.org/10.3390/agriculture16030300
Meng Y, Wu K, Bai W, Li N, Zhang S, Xue Y, Gong P, Song Y, Wu Z, Zhang L. Impact of Long-Term Inhibitors and Organic Materials Addition on Soil Microbial Carbon Use Efficiency in a Corn Field. Agriculture. 2026; 16(3):300. https://doi.org/10.3390/agriculture16030300
Chicago/Turabian StyleMeng, Yue, Kaikuo Wu, Wei Bai, Na Li, Shiyu Zhang, Yan Xue, Ping Gong, Yuchao Song, Zhijie Wu, and Lili Zhang. 2026. "Impact of Long-Term Inhibitors and Organic Materials Addition on Soil Microbial Carbon Use Efficiency in a Corn Field" Agriculture 16, no. 3: 300. https://doi.org/10.3390/agriculture16030300
APA StyleMeng, Y., Wu, K., Bai, W., Li, N., Zhang, S., Xue, Y., Gong, P., Song, Y., Wu, Z., & Zhang, L. (2026). Impact of Long-Term Inhibitors and Organic Materials Addition on Soil Microbial Carbon Use Efficiency in a Corn Field. Agriculture, 16(3), 300. https://doi.org/10.3390/agriculture16030300
