Abstract
The study investigated the effect of 17 synthetic fungicides used in strawberry fields in Québec (Canada) on the in vitro growth of Hirsutella sp., an entomopathogenic fungus. Isolates collected from cyclamen mites from farms with a conventional growing system (Hirsutella sp. H94 and Hirsutella nodulosa H98) and from a farm with an organic growing system (H. nodulosa H0) were selected for the study. All the fungicides tested strongly inhibited the mycelial growth of the three isolates, although slight differences in sensitivity were observed. Fullback® 125 SC (A.I.: flutriafol), Mettle® 125 ME (A.I.: tetraconazole), NovaTM (A.I.: myclobutanil), and Quadris top® (A.I.: azoxystrobin and difenoconazole) were the most effective at inhibiting the growth of the three isolates. Property® 300SC (A.I.: pyriofenone) was the fungicide with the lowest inhibiting effect on the growth of the three isolates. Isolates H94 and H98 obtained from farms with a conventional growing system, and thus frequently exposed to synthetic fungicides, did not show resistance to the fungicides tested. The study suggests that fungicides might negatively impact the natural populations of the entomopathogenic fungi of the genus Hirsutella on strawberry plants.
1. Introduction
Management of horticultural crops has changed significantly in the last 2 decades, with growing awareness of the damage caused by extensive use of chemical fertilizers and synthetic pesticides [1,2]. Recent research has highlighted the importance of beneficial microorganisms as plant growth promoters and biocontrol agents, in order to decrease the negative impact of conventional approaches on the environment and human health [3,4]. Among beneficial microorganisms, entomopathogenic fungi represent a very interesting yet little-studied group [5,6,7,8]. Some entomopathogenic fungi, such as Beauveria bassiana and Metarhizium anisopliae, have the ability to infect agricultural pests and therefore have potential for use in biocontrol strategies [9,10,11]. In Canada, Metarhizium brunneum (strain F52) and B. bassiana (strains ANT-03, GHA, PPRI 5339, and R444) are the active ingredients of different phytosanitary products registered to control different pests of horticultural crops [12]. Metarhizium brunneum is registered for use against the western flower thrips (Frankliniella occidentalis) and the strawberry root weevil (Otiorhynchus ovatus). Beauveria bassiana is registered for use against several pests, including the greenhouse whitefly (Trialeurodes vaporariorum), aphids, and thrips. According to Maina et al. [13], phytosanitary products containing microbial agents as active ingredients account for 1.3% of the global pesticide market. Among these products, over one-third feature B. bassiana as the active ingredient [13].
The cyclamen mite (Phytonemus pallidus Banks; Acari: Tarsonemidae) is a major pest of strawberries (Fragaria × ananassa) worldwide causing important economic losses [14,15,16,17]. Historical records show that P. pallidus can cause up to 50% yield reduction in strawberry fields [18]. Recent observations have shown that this mite can cause damage resulting in complete yield loss if left unchecked [19]. Since the highly effective acaricide endosulfan was banned, chemical control of the cyclamen mite has been extremely difficult to achieve, given that few active ingredients are registered in Canada for use in strawberry production [20,21]. In this context, new effective long-term management strategies need to be developed [17,22,23,24].
Recently, some cyclamen mites parasitized by Hirsutella sp. were observed in strawberry fields in Québec (Canada), suggesting that this entomopathogenic fungus, which is naturally present in strawberry fields, could eventually help to control cyclamen mite populations. However, cultivated strawberry plants are affected by several diseases caused by fungi and oomycetes, requiring the application of fungicides [25,26,27]. Studies have shown that field application of pesticides, especially fungicides, can have a negative impact on entomopathogenic fungal communities [28,29,30,31,32,33,34].
As part of ongoing research aimed to enhance the presence of Hirsutella spp. in Québec strawberry fields and explore potential conservation of biological control strategies, this study evaluated the impact of 17 synthetic fungicides commonly used in these fields on the in vitro growth of three Hirsutella isolates.
2. Materials and Methods
Fungicides. The fungicides tested in the study are listed in Table 1. The range of concentrations tested for each fungicide was determined according to the manufacturer’s recommendations.
Table 1.
Fungicides and concentrations tested.
Isolation of Hirsutella sp. strains. Mites covered with a white layer of fungal hyphae were collected between May and October 2022 from young leaves of cultivated strawberry plants growing in fields of different regions (Capitale-Nationale, Montérégie, and Chaudière-Appalaches) of Québec. Dead mites were placed on potato dextrose agar (PDA; Becton, Dickinson and Company, Sparks, MD, USA) supplemented with 50 µg/mL of chloramphenicol (Sigma-Aldrich Inc., St. Louis, MO, USA), penicillin G (Sigma-Aldrich Inc.), and streptomycin sulfate (Thermo Fisher Scientific Inc., Waltham, MA, USA) in Petri dishes (one mite per Petri dish; 60 mm × 15 mm) and incubated at 26 °C in darkness. White dense mycelium surrounding the mite in each Petri dish was isolated. Each isolate was then cultivated in pure culture on PDA.
Hirsutella strain identity. DNA of Hirsutella sp. strains H0, H94, and H98 was extracted using a DNeasy® Plant Mini Kit (Qiagen, Hilden, Germany) according to the manufacturer’s protocol. Internal transcribed spacer region (ITS), 28 S large ribosomal subunit (nrLSU) region, and tef1 genes were targeted using ITS1f/ITS4, LR0R-LR5, and tef1-983F/tef1-2218R as primers, respectively. The identity of the three isolates was determined through Sanger sequencing, followed by a BLAST search (https://blast.ncbi.nlm.nih.gov/Blast.cgi; accessed on 25 February 2025) on the NCBI database (https://www.ncbi.nlm.nih.gov/; accessed on 25 February 2025).
Effect of fungicides on mycelial growth of Hirsutella isolates. PDA agar discs (3 mm diameter) covered with 20-day-old actively growing mycelium of Hirsutella sp. (isolates H0, H94, or H98) were deposited on PDA containing different concentrations of each tested fungicide (Table 1) in Petri dishes. Fungicides were first suspended in sterile distilled water and then incorporated into warm (45–50 °C) PDA. Sterile distilled water was used as control. Petri dishes were incubated at 26 °C in darkness. After different incubation periods (5, 10, 15, 20, and 25 days), the mycelial radial growth of each isolate was measured using a ruler. The percent of inhibition of radial growth (PIRG) was calculated according to the following equation:
PIRG = {[Mycelial radial growth (control) − Mycelial radial growth (fungicide)]/(Mycelial radial growth (control)} × 100
Each combination isolate/fungicide/concentration was tested in six replicates.
Statistical analysis. Analysis of variance (ANOVA) and the Kruskal–Wallis test, a non-parametric alternative, were performed using R (version 4.1.1, R Core Team, 2021, Vienna, Austria). When significant differences were found (p ≤ 0.05), post-hoc comparisons of treatment means were made using the Tukey test.
3. Results
Numerous isolates were obtained from dead mites. Three isolates (H0, H94, and H98; Table 2; Supplementary Table S1) were selected to evaluate the effect of fungicides. The three isolates were first identified as Hirsutella sp. by sequence comparison of ITS [similarity > 99% with GenBank accession no. KJ524680.1 (isolate H0), KJ524690.1 (isolate H94), and KM652172.1 (isolate H98)]. The identity of the entomopathogenic fungus Hirsutella nodulosa associated with P. pallidus was determined based on sequencing of the nrLSU and tef1 regions for isolate H0 and isolate H98. Indeed, these isolates showed a similarity > 99.9% with H. nodulosa [GenBank accession no. KM652117.1 (H0, nrLSU), OQ979221.1 (H0, tef1), KM652117.1 (H98, nrLSU), and KM652000.1 (H98, tef1)] and H. satumaensis [GenBank accession no. KJ524711.1 (H0, nrLSU), KM652008.1 (H0, tef1), KJ524711.1 (H98, nrLSU), and KM652008.1 (H98, tef1)], a species belonging to the H. nodulosa clade. Isolate H94 was not identified at the species level.
Table 2.
Hirsutella sp. isolates used in the present study.
All the fungicides tested strongly inhibited the mycelial growth of Hirsutella isolates (Table 3). Fullback® 125 SC (A.I.: flutriafol), Mettle® 125 ME (A.I.: tetraconazole), and NovaTM (A.I.: myclobutanil) completely inhibited the mycelial growth of the three isolates at the minimum concentration tested (0.5 µL/mL, 0.25 µL/mL, and 0.25 mg/mL, respectively) (Table 3). Quadris top® (A.I.: azoxystrobin and difenoconazole) was similarly effective, except against isolate H94 (PIRG = 97%). The other fungicides inhibited mycelial radial growth to varying degrees, ranging from 46% (Property® 300SC; A.I.: pyriofenone) to 97% (Miravis® Prime; A.I.: fludioxonil and pydiflumetofen) at the minimum concentration tested, and from 58% (Property® 300SC) to 100% (Evito® 480 SC; A.I.: fluoxastrobin, Miravis® Prime) at the maximum concentration tested (Table 3). Property® 300SC was the fungicide with the lowest inhibiting effect against all isolates at both minimum and maximum concentrations (Table 3). The growth inhibition caused by Property® 300SC was significantly lower as compared to the growth inhibition caused by the other fungicides tested.
Table 3.
Effects of minimum (min) and maximum (max) concentrations of the fungicides tested on mycelial growth of Hirsutella nodulosa isolates H0 and H98 and Hirsutella sp. isolate H94.
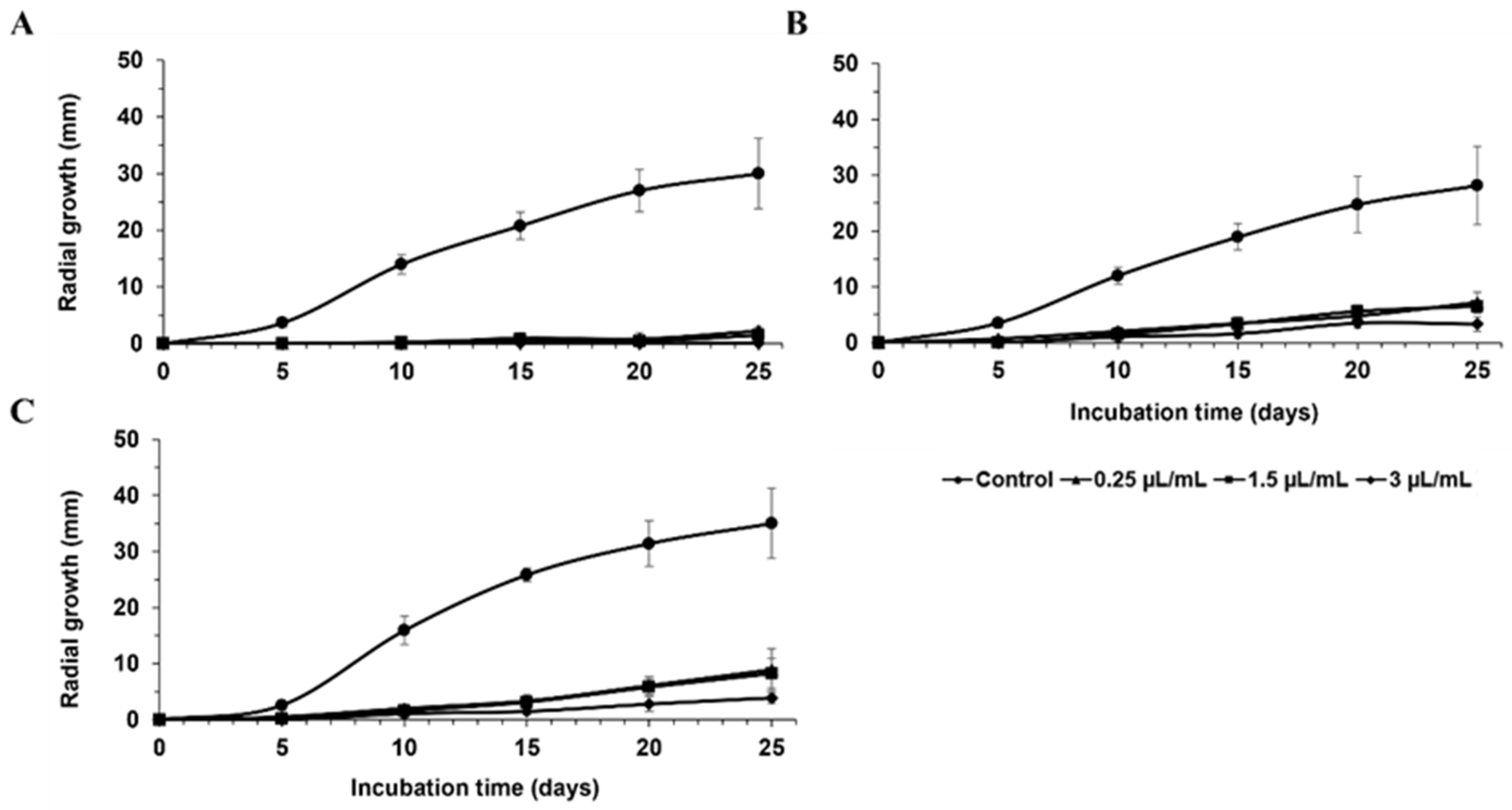
The growth of isolates H0, H94, and H98 over a period of 25 days in the presence of different concentrations of Evito® 480 SC, ScalaMD SC, Property® 300SC, Kenja® 400SC, and Elevate® 50 WDG are presented in Figure 1, Figure 2, Figure 3, Figure 4 and Figure 5. The growth curves of the three isolates are quite similar whatever the concentrations tested for Kenja® 400SC (Figure 4) and Elevate® 50 WDG (Figure 5). The growth curves of isolates H0, H98, and H94 are also quite similar whatever the concentrations tested for Evito® 480 SC (Figure 1A), ScalaMD SC (Figure 2C), and Property® 300SC (Figure 3B), respectively. However, the growth of isolates H98 and H0 is clearly further delayed by the highest concentration of Evito® 480 SC (Figure 1C) and ScalaMD SC (Figure 2A).
Figure 1.
Radial growth of Hirsutella nodulosa H0 (A), Hirsutella sp. H94 (B), and H. nodulosa H98 (C) in the absence (control, ●) and in the presence of 0.25 µL/mL (▲), 1.5 µL/mL (■), and 3 µL/mL (⬧) of Evito® 480 SC (A.I.: fluoxastrobin). Each value represents the mean of six replicates ± standard deviation.
Figure 2.
Radial growth of Hirsutella nodulosa H0 (A), Hirsutella sp. H94 (B), and H. nodulosa H98 (C) in the absence (control, ●) and in the presence of 1 µL/mL (▲), 2 µL/mL (■), and 4 µL/mL (⬧) of ScalaMD SC (A.I.: pyrimethanil). Each value represents the mean of six replicates ± standard deviation.
Figure 3.
Radial growth of Hirsutella nodulosa H0 (A), Hirsutella sp. H94 (B), and H. nodulosa H98 (C) in the absence (control, ●) and in the presence of 0.25 µL/mL (▲), 1 µL/mL (■), and 2 µL/mL (⬧) of Property® 300SC (A.I.: pyriofenone). Each value represents the mean of six replicates ± standard deviation.
Figure 4.
Radial growth of Hirsutella nodulosa H0 (A), Hirsutella sp. H94 (B), and H. nodulosa H98 (C) in the absence (control, ●) and in the presence of 1 µL/mL (▲), 2 µL/mL (■), and 3 µL/mL (⬧) of Kenja® 400SC (A.I.: isofetamid). Each value represents the mean of six replicates ± standard deviation.
Figure 5.
Radial growth of Hirsutella nodulosa H0 (A), Hirsutella sp. H94 (B), and H. nodulosa H98 (C) in the absence (control, ●) and in the presence of 1.5 µL/mL (▲), 2.5 µL/mL (■), and 3.5 µL/mL (⬧) of Elevate® 50 WDG (A.I.: fenhexamid). Each value represents the mean of six replicates ± standard deviation.
4. Discussion
Different species of entomopathogenic fungi from Beauveria, Metarhizium, Hirsutella, and Lecanicillium genera have been widely studied in recent decades for their potential as environmentally safe alternatives to chemical pesticides [8,11,35,36,37]. Hirsutella nodulosa, the species identified in this study, was previously reported to infect P. pallidus [38]. As observed in the identification of the isolates tested in this study, H. nodulosa shows little phylogenetic variation compared to some other Hirsutella species as H. satumaensis, a species belonging to the H. nodulosa clade [39,40]. Conventional management of pathogens/pests in strawberry production requires the use of several synthetic pesticides including numerous fungicides that might threaten the survival of entomopathogenic fungi such as Hirsutella sp. [29,41,42,43,44]. In this context, the study investigated the effect of 17 fungicides used in Québec strawberry fields on the in vitro growth of Hirsutella sp. to determine which ones would least affect the natural occurrence of the fungus.
Active ingredients of the fungicides tested belong to fungicide resistance action committee (FRAC) codes 3 (demethylation inhibitors; difenoconazole, flutriafol, tetraconazole, myclobutanil), 11 (quinone outside inhibitors; azoxystrobin, mandestrobin, fluoxastrobin, trifloxystrobin, pyraclostrobin), 7 (succinate dehydrogenase inhibitors; boscalid, fluxapyroxad, penthiopyrad, pydiflumetofen, isofetamid), 12 (phenylpyrroles; fludioxonil), 9 (anilinopyrimidines; cyprodinil, pyrimethanil), M 04 (phthalimides; captan), 17 (ketoreductase inhibitors; fenhexamid), and 50 (aryl-phenyl-ketones; pyriofenone) [12]. Regardless of the isolate tested, the results showed that fungicides belonging to FRAC chemical group code 3 (demethylation inhibitors) have the strongest PIRG (∼100%). To a lesser extent, fungicides belonging to FRAC chemical group codes M 04, 7, 9, 11, 12, and 17 strongly inhibited Hirsutella mycelial growth. Property® 300SC (A.I.: pyriofenone) (FRAC group code 50) was the only fungicide to show a PIRG lower than 70% for the three isolates tested. Several studies reported the strong inhibiting effect of fungicides from several FRAC chemical group codes including M 01, M 03, 3, 9, 11, and 12 on the growth of different species of Hirsutella [43,45,46]. There are few exceptions such as sulfur (FRAC group code M 02), an active ingredient often used in organic crop production, which has been shown to have a weak effect on the fungus [43].
Fungicides belonging to different chemical families do not target the same metabolic pathways, and fungal growth can be affected differently depending on exposure [47]. In most cases, the growth of isolates H0, H94, and H98 was strongly affected by the tested fungicides, therefore showing comparable sensitivity. Isolate H0 was found to be slightly more sensitive to Intuity® (A.I.: mandestrobin), Evito® 480 SC (A.I.: fluoxastrobin), and Flint (A.I.: trifloxystrobin) which are quinone outside inhibitors. Isolate H94 was found to be slightly more sensitive to Property® 300SC, which is an aryl-phenyl-ketone, at the minimum concentration tested. Isolate H98 was found to be slightly more sensitive to Elevate® 50 WDG (A.I.: fenhexamid), which is a ketoreductase inhibitor.
Entomopathogenic fungi of different genera such as Hirsutella, Beauveria, Conidiobolus, Metarhizium, Paecilomyces, Scopulariopsis, and Lecanicillium were shown to be sensitive to fungicides [33,34,43,48,49]. It has previously been demonstrated that B. bassiana strains can develop resistance to fungicides following exposure in the field [50]. Isolates H94 and H98 obtained from farms with a conventional growing system, and consequently exposed frequently to synthetic fungicides did not show resistance to the fungicides tested.
Conservation biological control is a very complex strategy to apply in crop production [51,52,53]. This strategy showed encouraging results, promoting predator or parasitoid longevity in strawberry fields [54,55,56]. Conservation biological control can be implemented by creating beneficial habitats for predators or by reducing the use of pesticides [51]. In light of the results obtained in this study, it is difficult to recommend a specific strategy to limit the non-targeted effects of fungicides commonly used in strawberries on the entomopathogenic fungi of the genus Hirsutella. However, the in vitro tests described here evaluate the effect of fungicides in direct contact with the fungi and do not always reflect field conditions [57]. Future research should evaluate the effect of these fungicides under field conditions to determine in planta their impact on Hirsutella sp.
5. Conclusions
This study reveals the strong in vitro inhibiting effect of 17 fungicides commonly used in Québec strawberry fields even at the lowest concentrations tested. This suggests that fungicides might negatively impact the natural populations of the entomopathogenic fungi of the genus Hirsutella on strawberry plants. Future work will be undertaken in planta to further investigate the effect of fungicides on the populations of these entomopathogenic fungi.
Supplementary Materials
The following supporting information can be downloaded at: https://www.mdpi.com/article/10.3390/agriculture15070715/s1, Supplementary Table S1. ITS, nrLSU, and tef1 sequences of Hirsutella isolates.
Author Contributions
Conceptualization, V.F. and R.J.T.; methodology, A.D., M.D.-H. and J.M.-D.S.; writing—original draft preparation, A.D.; writing—review and editing, A.D., M.D.-H., J.M.-D.S., V.F., R.J.T. and S.T.; supervision, V.F. and R.J.T.; funding acquisition, V.F. All authors have read and agreed to the published version of the manuscript.
Funding
This research was funded by the Innov’Action Agroalimentaire program, grant number IA121708, under the Canadian Agricultural Partnership, an agreement between the governments of Canada and Québec.
Institutional Review Board Statement
Not applicable.
Data Availability Statement
The original contributions presented in this study are included in the article/Supplementary Material. Further inquiries can be directed to the corresponding author.
Acknowledgments
The authors would like to thank all the companies that supplied fungicide samples: UPL Limited, BASF Canada, Syngenta Canada, Valent Canada Inc., and Belchim Crop Protection.
Conflicts of Interest
The authors declare no conflicts of interest.
References
- Aktar, W.; Sengupta, D.; Chowdhury, A. Impact of pesticides use in agriculture: Their benefits and hazards. Interdisc. Toxicol. 2009, 2, 1–12. [Google Scholar] [CrossRef]
- Sharma, A.; Kumar, V.; Shahzad, B.; Tanveer, M.; Sidhu, G.P.S.; Handa, N.; Kohli, S.K.; Yadav, P.; Bali, A.S.; Parihar, R.D.; et al. Worldwide pesticide usage and its impacts on ecosystem. SN Appl. Sci. 2019, 1, 1446. [Google Scholar] [CrossRef]
- Koul, B.; Chopra, M.; Lamba, S. Microorganisms as biocontrol agents for sustainable agriculture. In Relationship Between Microbes and the Environment for Sustainable Ecosystem Services; Samuel, J., Kumar, A., Singh, J., Eds.; Elsevier: Amsterdam, The Netherlands, 2022; pp. 45–68. [Google Scholar] [CrossRef]
- Ikiz, B.; Dasgan, H.Y.; Gruda, N.S. Utilizing the power of plant growth promoting rhizobacteria on reducing mineral fertilizer, improved yield, and nutritional quality of Batavia lettuce in a floating culture. Sci. Rep. 2024, 14, 1616. [Google Scholar] [CrossRef]
- Mantzoukas, S.; Kitsiou, F.; Natsiopoulos, D.; Eliopoulos, P.A. Entomopathogenic fungi: Interactions and applications. Encyclopedia 2022, 2, 646–656. [Google Scholar] [CrossRef]
- Litwin, A.; Nowak, M.; Różalska, S. Entomopathogenic fungi: Unconventional applications. Rev. Environ. Sci. Biotechnol. 2020, 19, 23–42. [Google Scholar] [CrossRef]
- Lacey, L.A.; Grzywacz, D.; Shapiro-Ilan, D.I.; Frutos, R.; Brownbridge, M.; Goettel, M.S. Insect pathogens as biological control agents: Back to the future. J. Invertebr. Pathol. 2015, 132, 1–41. [Google Scholar] [CrossRef]
- Sharma, A.; Sharma, S.; Yadav, P.K. Entomopathogenic fungi and their relevance in sustainable agriculture: A review. Cogent. Food Agric. 2023, 9, 2180857. [Google Scholar] [CrossRef]
- Inglis, C.D.; Goettel, M.S.; Butt, T.M.; Strasser, H. Use of hyphomycetous fungi for managing insect pests. In Fungi as Biocontrol Agents; CABI Books: Wallingford, UK, 2001; pp. 23–69. ISBN 9780851993560. [Google Scholar]
- Vega, F.E.; Goettel, M.S.; Blackwell, M.; Chandler, D.; Jackson, M.A.; Keller, S.; Koike, M.; Maniania, N.K.; Monzón, A.; Ownley, B.H.; et al. Fungal entomopathogens: New insights on their ecology. Fungal. Ecol. 2009, 2, 149–159. [Google Scholar] [CrossRef]
- Dara, S.K. Managing strawberry pests with chemical pesticides and non-chemical alternatives. Int. J. Fruit Sci. 2016, 16, 129–141. [Google Scholar] [CrossRef]
- Government of Canada. Pesticides and Pest Management Reports and Publications; Government of Canada: Ottawa, ON, Canada, 2024; Available online: https://www.canada.ca/en/health-canada/services/consumer-product-safety/reports-publications/pesticides-pest-management.html (accessed on 23 February 2024).
- Maina, U.M.; Galadima, I.B.; Gambo, F.M.; Zakaria, D. A review on the use of entomopathogenic fungi in the management of insect pests of field crops. J. Entomol. Zool. Stud. 2018, 6, 27–32. [Google Scholar]
- Schaefers, G.A. Seasonal densities and control of the cyclamen mite, Steneotarsonemus pallidus (Acarina: Tarsonemidae) on strawberry in New York. J. Econ. Entomol. 1963, 56, 565–571. [Google Scholar] [CrossRef]
- Stenseth, C.; Nordby, A.L.F. Damage, and control of the strawberry mite Steneotarsonemus pallidus (Acarina: Tarsonemidae), on strawberries. J. Hortic. Sci. 1976, 51, 24–49. [Google Scholar] [CrossRef]
- Harnois, M.; Lacroix, C. Tarsonème du Fraisier; Bulletin d’information No 17—Petits fruits, Réseau d’avertissements phytosanitaires; MAPAQ: Québec, QC, Canada, 2013. [Google Scholar]
- Bernier, V.; Lefebvre, N.; Khelifi, M.; Renkema, J.; Fournier, V. Control of Phytonemus pallidus (Acari: Tarsonemidae) from strawberry transplants using controlled atmosphere temperature treatment. J. Econ. Entomol. 2023, 116, 1560–1566. [Google Scholar] [CrossRef] [PubMed]
- Alford, D.V. The effects of Tarsonemus fragariae Zimmermann (Acarina: Tarsonemidae) on strawberry yields. Ann. Appl. Biol. 1972, 70, 13–18. [Google Scholar] [CrossRef]
- Ajila, H.E.V.; Lemos, F.; Colares, F.; Ferreira, J.A.M.; Lofego, A.C.; Pallini, A. A new record of a pest mite on strwberry Phy-tonemus pallidus (Banks) (Acari: Tarsonemidae) arrives in Minas Gerais, Brazil. Fla. Entomol. 2018, 101, 529–532. [Google Scholar] [CrossRef]
- Łabanowska, B.H.; Piotrowski, W.; Korzeniowski, M.; Cuthbertson, A.G.S. Control of the strawberry mite, Phytonemus pallidus (Banks) in strawberry plantations by alternative acaricides. Crop Prot. 2015, 78, 5–14. [Google Scholar] [CrossRef]
- Fountain, M.T.; Harris, A.L.; Cross, J.V. The use of surfactants to enhance acaricide control of Phytonemus pallidus (Acari: Tarsonemidae) in strawberry. Crop Prot. 2010, 29, 1286–1292. [Google Scholar] [CrossRef]
- Johansen, N.S.; Trandem, N.; Le, V.H.; Stensvand, A. The potential for using aerated steam to eradicate strawberry mite and two-spotted spider mite on strawberry transplants. Exp. Appl. Acarol. 2022, 88, 243–262. [Google Scholar] [CrossRef]
- Renkema, J.M.; Takeda, F.; Janisiewicz, W. Ultraviolet-C irradiation has no short-term, direct effects on cyclamen mite (Phytonemus pallidus (Banks)) in strawberry. Can. J. Plant Sci. 2023, 103, 589–594. [Google Scholar] [CrossRef]
- Patenaude, S.; Tellier, S.; Fournier, V. Cyclamen mite (Acari: Tarsonemidae) monitoring in eastern Canada strawberry (Rosaceae) fields and its potential control by the predatory mite Neoseiulus cucumeris (Acari: Phytoseiidae). Can. Entomol. 2020, 152, 249–260. [Google Scholar] [CrossRef]
- Snowden, A.L. Soft fruits and berry fruits. In Post-Harvest Diseases and Disorders of Fruits and Vegetables; CRC Press: London, UK, 1990; pp. 238–269. [Google Scholar]
- Swett, C.L.; Butler, B.B.; Peres, N.A.; Koivunen, E.E.; Hellman, E.M.; Beaulieu, J.R. Using model-based fungicide programing to effectively control Botrytis and Anthracnose fruit rots in Mid-Atlantic strawberry fields and co-manage strawberry sap beetle (Stelidota geminate). Crop Prot. 2020, 134, 105175. [Google Scholar] [CrossRef]
- Vischetti, C.; Feliziani, E.; Landi, L.; De Bernardi, A.; Marini, E.; Romanazzi, G. Effectiveness of four synthetic fungicides in the control of post-harvest gray mold of strawberry and analyses of residues on fruit. Agronomy 2024, 14, 65. [Google Scholar] [CrossRef]
- Lagnaoui, A.; Radcliffe, E.B. Potato fungicides interfere with entomopathogenic fungi impacting population dynamics of green peach aphid. Am. J. Potato Res. 1998, 75, 19–25. [Google Scholar] [CrossRef]
- Latteur, G.; Jansen, J.-P. Effects of 20 fungicides on the infectivity of conidia of the aphid entomopathogenic fungus Erynia neoaphidis. BioControl 2002, 47, 435–444. [Google Scholar] [CrossRef]
- Garratt, M.P.D.; Wright, D.J.; Leather, S.R. The effects of farming system and fertilisers on pests and natural enemies: A synthesis of current research. Agric. Ecosyst. Environ. 2011, 141, 261–270. [Google Scholar] [CrossRef]
- Zaller, J.G.; Brühl, C.A. Non-target effects of pesticides on organisms inhabiting agroecosystems. Front. Environ. Sci. 2019, 7, 75. [Google Scholar] [CrossRef]
- Srinivasulu, M.; Ortiz, D.R. Effect of pesticides on bacterial and fungal populations in Ecuadorian tomato cultivated soils. Environ. Process. 2017, 4, 93–105. [Google Scholar] [CrossRef]
- Celar, F.A.; Kos, K. Effects of selected herbicides and fungicides on growth, sporulation and conidial germination of entomopathogenic fungus Beauveria bassiana. Pest Manag. Sci. 2016, 72, 2110–2117. [Google Scholar] [CrossRef]
- Fiedler, Ż.; Sosnowska, D. Side effects of fungicides and insecticides on entomopathogenic fungi in vitro. J. Plant Prot. Res. 2018, 57, 355–360. [Google Scholar] [CrossRef]
- Bamisile, B.S.; Akutse, K.S.; Siddiqui, J.A.; Xu, Y. Model application of entomopathogenic fungi as alternatives to chemical pesticides: Prospects, challenges, and insights for next-generation sustainable agriculture. Front. Plant Sci. 2021, 12, 741804. [Google Scholar] [CrossRef]
- Afandhi, A.; Choliq, F.A.; Fernando, I.; Marpaung, Y.M.A.N.; Setiawan, Y. Occurrence of soil-inhabiting entomopathogenic fungi within a conventional and organic farm and their virulence against Spodoptera litura. Biodiversitas. J. Biol. Divers. 2022, 23, 1172–1180. [Google Scholar] [CrossRef]
- Samal, I.; Bhoi, T.K.; Vyas, V.; Majhi, P.K.; Mahanta, D.K.; Komal, J.; Singh, S.; Kumar, P.V.D.; Acharya, L.K. Resistance to fungicides in entomopathogenic fungi: Underlying mechanisms, consequences, and opportunities for progress. Trop. Plant Pathol. 2024, 49, 5–17. [Google Scholar] [CrossRef]
- Bałazy, S.; Wrzosek, M.; Sosnowska, D.; Tkaczuk, C.; Muszewska, A. Laboratory trials to infect insects and nematodes by some acaropathogenic Hirsutella strains (Mycota: Clavicipitaceous anamorphs). J. Invertebr. Pathol. 2008, 97, 103–113. [Google Scholar] [CrossRef]
- Simmons, D.R.; Kepler, R.M.; Rehner, S.A.; Groden, E. Phylogeny of Hirsutella species (Ophiocordycipitaceae) from the USA: Remedying the paucity of Hirsutella sequence data. IMA Fungus 2015, 6, 345–356. [Google Scholar] [CrossRef] [PubMed]
- Qu, J.; Zou, X.; Cao, W.; Xu, Z.; Liang, Z. Two new species of Hirsutella (Ophiocordycipitaceae, Sorariomycetes) that are parasitic on lepidopteran insects from China. MycoKeys 2021, 82, 81–96. [Google Scholar] [CrossRef] [PubMed]
- Dara, S.K. Compatibility of the entomopathogenic fungus Beauveria bassiana with some fungicides used in California strawberry. Open Plant Sci. J. 2017, 10, 29–34. [Google Scholar] [CrossRef][Green Version]
- Roberti, R.; Righini, H.; Masetti, A.; Maini, S. Compatibility of Beauveria bassiana with fungicides in vitro and on zucchini plants infested with Trialeurodes vaporariorum. Biol. Control 2017, 113, 39–44. [Google Scholar] [CrossRef]
- Tkaczuk, C.; Majchrowska-Safaryan, A. Effect of selected fungicides on the growth of acaropathogenic fungi from the genus Hirsutella. Appl. Ecol. Env. Res. 2020, 18, 3897–3905. [Google Scholar] [CrossRef]
- Yáñez, M.; France, A. Effects of fungicides on the development of the entomopathogenic fungus Metarhizium anisopliae var. anisopliae. Chil. J. Agr. Res. 2010, 70, 390–398. [Google Scholar] [CrossRef]
- Tkaczuk, C.; Mietkiewski, R. Effect of selected pesticides on the growth of fungi from Hirsutella genus isolated from phytophagous mites. J. Plant Prot. Res. 2005, 45, 171–179. [Google Scholar]
- Tkaczuk, C.; Łabanowska, B.H.; Miętkiewski, R. The influence of pesticides on the growth of fungus Hirsutella nodulosa (Petch) — entomopathogen of strawberry mite (Phytonemus pallidus ssp. fragariae Zimm.). J. Fruit Ornam. Plant Res. 2004, 12, 119–126. [Google Scholar]
- Ishii, H.; Watanabe, H.; Yamaoka, Y.; Schnabel, G. Sensitivity to fungicides in isolates of Colletotrichum gloeosporioides and C. acutatum species complexes and efficacy against anthracnose diseases. Pestic. Biochem. Physiol. 2022, 182, 105049. [Google Scholar] [CrossRef]
- Bruck, D.J. Impact of fungicides on Metarhizium anisopliae in the rhizosphere, bulk soil and in vitro. BioControl 2009, 54, 597–606. [Google Scholar] [CrossRef]
- Erdoğan, O.; Sağlan, Z. In vitro compatibility of entomopathogenic fungi Beauveria bassiana (BALS.) Vuill. with different fungicides. Black Sea J. Agric. 2023, 6, 416–421. [Google Scholar] [CrossRef]
- Shapiro-Ilan, D.I.; Reilly, C.C.; Hotchkiss, M.W.; Wood, B.W. The potential for enhanced fungicide resistance in Beauveria bassiana through strain discovery and artificial selection. J. Invertebr. Pathol. 2002, 81, 86–93. [Google Scholar] [CrossRef] [PubMed]
- Begg, G.S.; Cook, S.M.; Dye, R.; Ferrante, M.; Franck, P.; Lavigne, C.; Lövei, G.L.; Mansion-Vaquie, A.; Pell, J.K.; Petit, S.; et al. A functional overview of conservation biological control. Crop Prot. 2017, 97, 145–158. [Google Scholar] [CrossRef]
- Van Emden, H.F. Conservation biological control of insect pests. CABI Rev. 2022, 17, 1–11. [Google Scholar] [CrossRef]
- Tixier, M.-S. Predatory mites (Acari: Phytoseiidae) in agro-ecosystems and conservation biological control: A review and explorative approach for forecasting plant-predatory mite interactions and mite dispersal. Front. Ecol. Evol. 2018, 6, 192. [Google Scholar] [CrossRef]
- Díaz-Lucas, M.F.; Maza, N.; Kirschbaum, D.S.; Rocca, M.; Greco, N.M. The potential of the hoverfly Allograpta exotica as a biological control agent of the strawberry aphid Chaetosiphon fragaefolii. J. Appl. Èntomol. 2024, 148, 191–198. [Google Scholar] [CrossRef]
- Ottaviano, M.F.G.; Cédola, C.V.; Sánchez, N.E.; Greco, N.M. Conservation biological control in strawberry: Effect of different pollen on development, survival, and reproduction of Neoseiulus californicus (Acari: Phytoseiidae). Exp. Appl. Acarol. 2015, 67, 507–521. [Google Scholar] [CrossRef]
- Sigsgaard, L.; Betzer, C.; Naulin, C.; Eilenberg, J.; Enkegaard, A.; Kristensen, K. The effect of floral resources on parasitoid and host longevity: Prospects for conservation biological control in strawberries. J. Insect Sci. 2013, 13, 104. [Google Scholar] [CrossRef] [PubMed]
- Jaronski, S.T. Ecological factors in the inundative use of fungal entomopathogens. BioControl 2010, 55, 159–185. [Google Scholar] [CrossRef]
Disclaimer/Publisher’s Note: The statements, opinions and data contained in all publications are solely those of the individual author(s) and contributor(s) and not of MDPI and/or the editor(s). MDPI and/or the editor(s) disclaim responsibility for any injury to people or property resulting from any ideas, methods, instructions or products referred to in the content. |
© 2025 by the authors. Licensee MDPI, Basel, Switzerland. This article is an open access article distributed under the terms and conditions of the Creative Commons Attribution (CC BY) license (https://creativecommons.org/licenses/by/4.0/).




