Geochemical Characterization of Soil and Water in an Agricultural Area for the Sustainable Use of Natural Resources
Abstract
1. Introduction
2. Materials and Methods
2.1. Study Area
2.2. Sample Collection
2.3. Sample Preparation
2.4. Laboratory Analysis
2.4.1. Soil Analysis
2.4.2. Water Analysis
2.5. Methods
2.5.1. Geo-Accumulation Index (Igeo)
2.5.2. Sodium Adsorption Ratio
2.6. Spatial Interpolation Methods for Soil Nutrient Mapping
2.7. Data Processing
3. Results
3.1. Soil Caracterization
3.1.1. Physicochemical Analysis in Soils
3.1.2. Spatial Variability in Soils
Edaphic Parameters
Primary Nutrients
Secondary Nutrients
Micronutrients
Other Elements Present in the Soil
3.1.3. Multi-Element Analysis in Soils
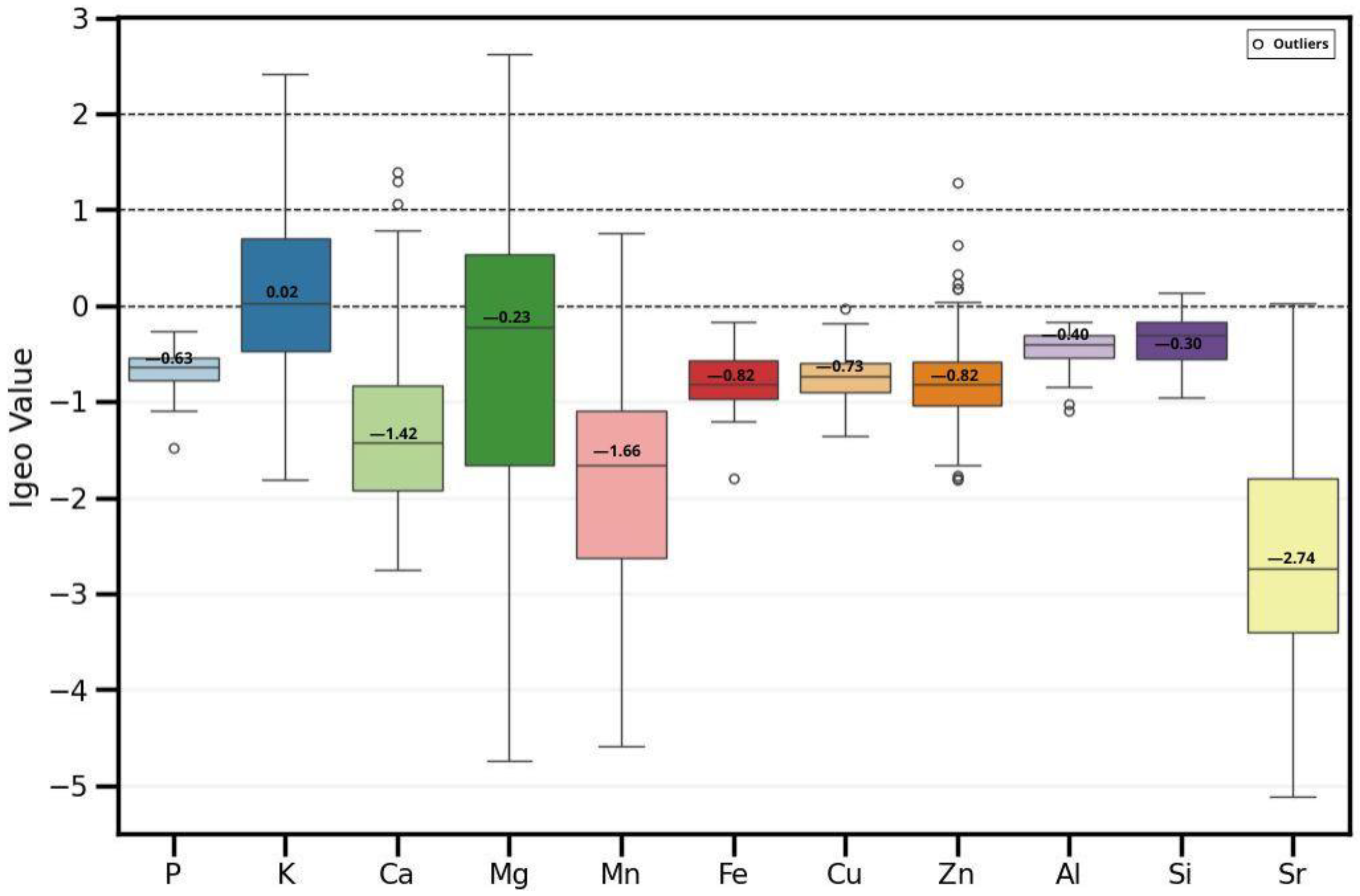
3.1.4. Geo-Accumulation Index
3.2. Irrigation Water Quality
3.2.1. Physicochemical Analysis in Water
3.2.2. Sodium Adsorption Ratio (SAR)
3.2.3. Spatial Variability in Water
3.2.4. Multi-Element Analysis in Water
4. Discussion
4.1. Occurrence of Nutrients in Soil and Water According to Land Use
4.2. Evaluation of Soil Suitability for Pineapple Cultivation
4.3. Implications for Sustainable Natural Resource Management and Public Policy
5. Conclusions
Supplementary Materials
Author Contributions
Funding
Institutional Review Board Statement
Data Availability Statement
Acknowledgments
Conflicts of Interest
References
- ONU Sustainable Development Goals. Available online: https://www.undp.org/es/sustainable-development-goals (accessed on 1 February 2025).
- Castillo, E.; Delgado, O.; León, H.D.; Escartin, L.; Saéz, Y.; Collado, E. Mejoramiento del uso de suelo en la agricultura mediante herramientas basadas en optimización. I+D Tecnológico 2021, 17, 41–48. [Google Scholar] [CrossRef]
- Agarwal, J.; Vaswani, S.; Sharma, A.; Kaushik, D.; Bhardwaj, D. Optimization of Crop Yield Using Machine Learning. In Proceedings of the 2023 3rd International Conference on Technological Advancements in Computational Sciences (ICTACS), Tashkent, Uzbekistan, 1–3 November 2023; pp. 469–474. [Google Scholar]
- Jiménez-Ballesta, R.; García-Navarro, F.J.; Amorós, J.A.; Pérez-de-los-Reyes, C.; Bravo, S. On the Scarce Occurrence of Arsenic in Vineyard Soils of Castilla La Mancha: Between the Null Tolerance of Vine Plants and Clean Vineyards. Pollutants 2023, 3, 351–359. [Google Scholar] [CrossRef]
- Nursapina, K.U.; Uryngaliyeva, A.; Kuangaliyeva, T.K.; Balkibayeva, A. Factors Influencing Agricultural Innovations. J. Econ. Res. Bus. Adm. 2023, 146, 126–134. [Google Scholar] [CrossRef]
- Miller-Klugesherz, J.A.; Sanderson, M.R. Good for the Soil, but Good for the Farmer? Addiction and Recovery in Transitions to Regenerative Agriculture. J. Rural Stud. 2023, 103, 103123. [Google Scholar] [CrossRef]
- El Alem, A.; Hmaissia, A.; Chokmani, K.; Cambouris, A.N. Quantitative Study of the Effect of Water Content on Soil Texture Parameters and Organic Matter Using Proximal Visible—Near Infrared Spectroscopy. Remote Sens. 2022, 14, 3510. [Google Scholar] [CrossRef]
- Liuzza, L.M.; Bush, E.W.; Tubana, B.S.; Gaston, L.A. Determining Nutrient Recommendations for Agricultural Crops Based on Soil and Plant Tissue Analyses Between Different Analytical Laboratories. Commun. Soil Sci. Plant Anal. 2020, 51, 392–402. [Google Scholar] [CrossRef]
- Prem Kumar, S.; Sahifa, S.; Saadhana, B.N.; Sai Sahithi, M.; Pranathi Ketura, D. Crop Selection and Yield Prediction Using Intelligent Algorithms. In Proceedings of the 2024 International Conference on Expert Clouds and Applications (ICOECA), Bengaluru, India, 18–19 April 2024; pp. 420–425. [Google Scholar]
- Vargas, B. Propiedades Químicas del Suelo en Cuatro Fincas de la Agricultura Suburbana en Santiago de Cuba. Available online: https://www.researchgate.net/publication/350451816_Propiedades_quimicas_del_suelo_en_cuatro_fincas_de_la_agricultura_suburbana_en_Santiago_de_Cuba (accessed on 22 January 2025).
- Mustafa, A.R.A.; Abdelsamie, E.A.; Mohamed, E.S.; Rebouh, N.Y.; Shokr, M.S. Modeling of Soil Cation Exchange Capacity Based on Chemometrics, Various Spectral Transformations, and Multivariate Approaches in Some Soils of Arid Zones. Sustainability 2024, 16, 7002. [Google Scholar] [CrossRef]
- Benslama, A.; Khanchoul, K.; Benbrahim, F.; Boubehziz, S.; Chikhi, F.; Navarro-Pedreño, J. Monitoring the Variations of Soil Salinity in a Palm Grove in Southern Algeria. Sustainability 2020, 12, 6117. [Google Scholar] [CrossRef]
- Oshunsanya, S.O. Introductory Chapter: Relevance of Soil pH to Agriculture. In Soil pH for Nutrient Availability and Crop Performance; IntechOpen: London, UK, 2018; ISBN 978-1-78985-016-1. [Google Scholar]
- Riches, D.; Porter, I.J.; Oliver, D.P.; Bramley, R.G.V.; Rawnsley, B.; Edwards, J.; White, R.E. Review: Soil Biological Properties as Indicators of Soil Quality in Australian Viticulture. Aust. J. Grape Wine Res. 2013, 19, 311–323. [Google Scholar] [CrossRef]
- Mamatha, B.; Mudigiri, C.; Ramesh, G.; Saidulu, P.; Meenakshi, N.; Prasanna, C.L. Enhancing Soil Health and Fertility Management for Sustainable Agriculture: A Review. Asian J. Soil Sci. Plant Nutr. 2024, 10, 182–190. [Google Scholar] [CrossRef]
- Preshanth, V.P.; Parida, V.; Sharma, V.; Verma, Y.; Saini, Y. IOT Based Soil pH Level Maintaining System. Int. J. Sci. Eng. Dev. Res. 2022, 7, 110–113. [Google Scholar]
- Ban, B.; Lee, J.; Ryu, D.; Lee, M.; Eom, T.D. Nutrient Solution Management System for Smart Farms and Plant Factory. In Proceedings of the 2020 International Conference on Information and Communication Technology Convergence (ICTC), Jeju Island, Republic of Korea, 20–21 October 2020; pp. 1537–1542. [Google Scholar]
- Kumari, A.; Mishra, P.; Chaulya, S.K.; Prasad, G.M.; Nadeem, M.; Kisku, V.; Kumar, V.; Chowdhury, A. Estimation of Soil Nutrients and Fertilizer Dosage Using Ion-Selective Electrodes for Efficient Soil Management. Commun. Soil Sci. Plant Anal. 2024, 55, 1920–1941. [Google Scholar] [CrossRef]
- Malhi, S.S. Relative Effectiveness of Various Amendments in Improving Yield and Nutrient Uptake under Organic Crop Production. Open J. Soil Sci. 2012, 2, 299–311. [Google Scholar] [CrossRef]
- Sarwade, P.P.; Gaisamudre, K.N.; Gaikwad, R.S. Mycorrhizal Fungi in Sustainable Agriculture: Enhancing Crop Yields and Soil Health. Plantae Sci. 2024, 7, 55–61. [Google Scholar] [CrossRef]
- Singh, V. Advances in Precision Agriculture Technologies for Sustainable Crop Production. J. Sci. Res. Rep. 2024, 30, 61–71. [Google Scholar] [CrossRef]
- Zhang, Q. Precision Agriculture Technology for Crop Farming; CRC Press: Boca Raton, FL, USA, 2015; ISBN 978-0-429-15968-8. [Google Scholar]
- Wen, T.; Luo, Y.; Tang, M.; Chen, X.; Shao, L. Effects of Representative Elementary Volume Size on Three-Dimensional Pore Characteristics for Modified Granite Residual Soil. J. Hydrol. 2024, 643, 132006. [Google Scholar] [CrossRef]
- MICI Consumidores Españoles Eligen Piña Panameña como ‘Sabor del año 2023’. Available online: https://mici.gob.pa/2023/02/28/ (accessed on 6 February 2025).
- González, A.; Montenegro, V.; Hernández, D.; Domínguez, A.; Castañeda, Y.; Adames, R.; Percival, H.; Vergara, A.; Zamora, A.; Vargas, Y.; et al. Estudio geoquímico de pH y conductividad eléctrica en una finca piñera, Zanguenga, La Chorrera. I+D Tecnológico 2023, 19, 56–63. [Google Scholar] [CrossRef]
- Ministerio de Comercio e Industrias Análisis del Desempeño Reciente de las Exportaciones de Piña en Panamá y en el Mundo. Available online: https://intelcom.gob.pa/informe/analisis-del-desempeno-reciente-de-las-exportaciones-de-pina-en-panama-y-en-el-mundo (accessed on 6 February 2025).
- Intagri Requerimientos de Fertilidad de Suelos para el Cultivo de la Piñade la Piña|Intagri, S.C. Available online: https://www.intagri.com/articulos/frutales/requerimientos-de-fertilidad-de-suelo-para-pina (accessed on 6 February 2025).
- Suleymanov, A.; Abakumov, E.; Suleymanov, R.; Gabbasova, I.; Komissarov, M. The Soil Nutrient Digital Mapping for Precision Agriculture Cases in the Trans-Ural Steppe Zone of Russia Using Topographic Attributes. ISPRS Int. J. Geo-Inf. 2021, 10, 243. [Google Scholar] [CrossRef]
- Rhymes, J.; Chadwick, D.R.; Williams, A.P.; Harris, I.M.; Lark, R.M.; Jones, D.L. Evaluating the Accuracy and Usefulness of Commercially-Available Proximal Soil Mapping Services for Grassland Nutrient Management Planning and Soil Health Monitoring. Precis. Agric. 2023, 24, 898–920. [Google Scholar] [CrossRef]
- Wang, Y.; Qi, Q.; Wang, J.; Wang, M.; Ye, Y. The Potential of Image Segmentation Applied to Sampling Design for Improving Farm-Level Multi-Soil Property Mapping Accuracy. Precis. Agric. 2023, 24, 2350–2373. [Google Scholar] [CrossRef]
- Meena, N.K.; Gautam, R.; Tiwari, P.; Sharma, P. Nutrient Losses in Soil Due to Erosion. J. Pharmacogn. Phytochem. 2017, 6, 1009–1011. [Google Scholar]
- Navarro, G.; Navarro, S. Química Agrícola: Química del Suelo y de los Nutrientes Esenciales para las Plantas. Available online: https://www.mundiprensa.com/catalogo/9788484766568/quimica-agricola--quimica-del-suelo-y-de-los-nutrientes-esenciales-para-las-plantas (accessed on 22 January 2025).
- Rilwanu, T.U.Y.; Hassan, F.Y.; Usman, B.; Yalwa, I.R. GEO-Accumulation Index for Heavy Metals in Groundwater: A Study of Bompai and Sharada Industrial Estates, Kano Metropolis, Nigeria. J. Sustain. Nat. Resour. 2022, 3, 58–72. [Google Scholar]
- Esmail, A.O.E.; Rajab, K.S.R. Effect of Chemical Composition of Irrigation Water on Some Growth and Yield of Corn and P-Availability in Calcareous Soil. In Proceedings of the 2nd International Conference of Agricultural Sciences, Dnipro, Ukraine, 16–17 November 2022; pp. 699–706. [Google Scholar] [CrossRef]
- Acharya, G.D.; Solanki, M.R.; Hathi, M.V. Studies on Physico-Chemical Parameters of Irrigation Water, Prantij, Gujarat (India). Int. J. Chem. Sci. 2010, 8, 2377–2385. [Google Scholar]
- Rieu, M. Sodium Adsorption Ratio et estimation du pouvoir alcalinisant des eaux. Cahiers ORSTOM.Série Pédologie 1981, 18, 123–128. [Google Scholar]
- Vafakhah, M.; Janizadeh, S. Chapter 6-Application of Artificial Neural Network and Adaptive Neuro-Fuzzy Inference System in Streamflow Forecasting. In Advances in Streamflow Forecasting; Sharma, P., Machiwal, D., Eds.; Elsevier: Amsterdam, Netherlands, 2021; pp. 171–191. ISBN 978-0-12-820673-7. [Google Scholar]
- Instituto Nacional de Estadística y Censo. Available online: https://www.inec.gob.pa/publicaciones/Default3.aspx?ID_PUBLICACION=1199&ID_CATEGORIA=19&ID_SUBCATEGORIA=71 (accessed on 23 January 2025).
- Dávila-Sánchez, R. Capa de Clasificación Climática Según Dr. A. McKay (2000). 1:50.000. Panamá. Available online: https://www.arcgis.com/home/item.html?id=680dbb7153ff427196550e0646fb0f98 (accessed on 23 January 2025).
- ACP Cuenca Hidrográfica. Available online: https://pancanal.com/cuenca-hidrografica (accessed on 10 October 2024).
- Mosquera Ballejo, C. Soluciones Basadas En La Naturaleza Para Enfrentar los Riesgos Hidrometereológicos en el Sistema Municipal del Distrito de la Chorrera Ubicado en la Cuenca de Río Caimito, Panamá Oeste, Panamá. Master’s Thesis, CATIE, Turrialba, Costa Rica, 2023. [Google Scholar]
- Asniar, N.; Purwana, Y.M.; Surjandari, N.S. Tuff as Rock and Soil: Review of the Literature on Tuff Geotechnical, Chemical and Mineralogical Properties around the World and in Indonesia. AIP Conf. Proc. 2019, 2114, 050022. [Google Scholar] [CrossRef]
- Alexandre, P. Practical Geochemistry; Springer Textbooks in Earth Sciences, Geography and Environment; Springer International Publishing: Cham, Switzerland, 2021; ISBN 978-3-030-72452-8. [Google Scholar]
- Tuncay, T.; Dengiz, O. Chemical Weathering Rates and Geochemical-Mineralogical Characteristics of Soils Developed on Heterogeneous Parent Material and Toposequence. Carpathian J. Earth Environ. Sci. 2016, 11, 583–598. [Google Scholar]
- Jain, P.; Soni, A.; Shende, R. Management of Hard Rock Basaltic Aquifer through Aquifer Mapping: A Case Study of Nashik District, Maharashtra, India; IntechOpen: London, UK, 2023. [Google Scholar] [CrossRef]
- IMHPA. Mapa Hidrogeológico de Panamá-Instituto de Meteorología e Hidrología de Panamá. Available online: https://www.imhpa.gob.pa/es/mapa-hidrogeologicopanama (accessed on 23 January 2025).
- González-Valoys, A.C.; Esbrí, J.M.; Campos, J.A.; Arrocha, J.; García-Noguero, E.M.; Monteza-Destro, T.; Martínez, E.; Jiménez-Ballesta, R.; Gutiérrez, E.; Vargas-Lombardo, M.; et al. Ecological and Health Risk Assessments of an Abandoned Gold Mine (Remance, Panama): Complex Scenarios Need a Combination of Indices. Int. J. Environ. Res. Public Health 2021, 18, 9369. [Google Scholar] [CrossRef]
- Rice, E.W.; Baird, R.B.; Eaton, A.D. Standard Methods for the Examination of Water and Wastewater, 23rd ed.; American Public Health Association; American Water Works Association; Water Environment Federation: Washington, DC, USA, 2017; ISBN 978-0-87553-287-5. [Google Scholar]
- González-Valoys, A.C.; Vargas-Lombardo, M.; Higueras, P.; García-Navarro, F.J.; García-Ordiales, E.; Jiménez-Ballesta, R. Hydrochemistry of Groundwater from Tocumen Sector, Panamá City: An Assessment of Its Possible Usage during Emergency Events. Environ. Earth Sci. 2021, 80, 176. [Google Scholar] [CrossRef]
- Domínguez, A.; Segundo, F.; Arrocha, J.; Miranda, L.; Chong, T.; Sandoval, H.; Martínez, E.; Gutiérrez, E.; Rodríguez, R.; Nieto, C.; et al. Geochemical Insights into Health Risks from Potentially Toxic Elements in Rural Aqueducts of Cocle, Panama: Unveiling Links to Local Geology. Water 2025, 17, 110. [Google Scholar] [CrossRef]
- ASTM D4972-19; Standard Test Methods for pH of Soils. ASTM: West Conshohocken, PA, USA, 2024. [CrossRef]
- Bouyoucos, G.J. Hydrometer Method Improved for Making Particle Size Analyses of Soils. Agron. J. 1962, 54, 464–465. [Google Scholar] [CrossRef]
- ASTM D2974-14; Standard Test Methods for Moisture, Ash, and Organic Matter of Peat and Other Organic Soils. ASTM: West Conshohocken, PA, USA, 2020. Available online: https://www.astm.org/d2974-14.html (accessed on 4 March 2025).
- Jackson, M.L. Análisis Químico de Suelos; Omega: Barcelona, Spain, 1976; ISBN 84-282-0261-3. [Google Scholar]
- Hach Nitrogen (Total), HR (2-150 Mg/L N), Method 10072. Available online: https://www.hach.com/asset-get.download.jsa?id=7639983803&srsltid=AfmBOoqFAv0gj1oj418j74XM-SnPEFHEQzZkMlygiwQ_VX-j8S-_1-pi (accessed on 26 January 2025).
- Bravo, S.; Jiménez-Ballesta, R.; Amorós, J.A.; Pérez-de-los-Reyes, C.; Villena, J.; García-Navarro, F.J. Accumulation, Distribution Pattern and Potential Contamination of Sulphur in Vineyard Soils of the Valdepeñas Protected Denomination Origin. Sci. Total Environ. 2023, 904, 166642. [Google Scholar] [CrossRef] [PubMed]
- Jiménez-Ballesta, R.; Bravo, S.; Amorós, J.A.; Pérez-de-los-Reyes, C.; García-Pradas, J.; Sanchez, M.; García-Navarro, F.J. Occurrence of Some Rare Earth Elements in Vineyard Soils under Semiarid Mediterranean Environment. Environ. Monit. Assess. 2022, 194, 341. [Google Scholar] [CrossRef]
- Ellison, S.; Roesslein, M.; Williams, A.; Berglund, M. Eurachem/CITAC Guide CG4. Quantifying Measurement Uncertainty in Analytical Measurement. Available online: https://www.researchgate.net/publication/236884859_EurachemCITAC_Guide_CG4_Quantifying_Measurement_Uncertainty_in_Analytical_Measurement (accessed on 3 March 2025).
- Hach SulfaVer 4, (2–70 Mg/L SO4), Method 10248. Available online: https://www.hach.com/asset-get.download.jsa?id=9595814106&srsltid=AfmBOooEv3YHC5vrztF5hZdisdLzPWLDfB6fHDSFOOU8WEkLLd6A32cS (accessed on 29 January 2025).
- Hach Nitrogen (Total), LR (1-16 mg\L N), Method 10208. Available online: https://www.hach.com/p-nitrogen-total-tntplus-vial-test-lr-1-16-mgl-n-25-tests/TNT826?srsltid=AfmBOoowhRxc2Arm_qK2b4EF2zqLvLRJfjG7iK67HH6cGdN1gYkaFs11 (accessed on 25 January 2025).
- Hach Nitrate, HR (0.3–30.0 Mg/L NO3), Method 8039. Available online: https://www.hach.com/asset-get.download.jsa?id=7639983736&srsltid=AfmBOorfiJh41g72RgiyLOdTmAzuaJJHLG6N-XGJ1Z-yKAdyYHZ2nd1p (accessed on 27 January 2025).
- Hach Phosphorus (Reactive), (0.02–2.50 Mg/L PO4), Method 8048. Available online: https://coessing.org/wp-content/uploads/2018/08/phosphorus_reactive_ortho_8048.pdf (accessed on 26 January 2025).
- Hach Alkalinity, (10–4000 Mg/L CaCO3), Method 8203. Available online: https://www.hach.com/asset-get.download-en.jsa?id=7639983930&srsltid=AfmBOoqelb8H8d9HtPrRTQRLD4asHdh4793IVKaU_SRGJOReEJLumWex (accessed on 27 January 2025).
- Elemile, O.O.; Gana, A.J.; Ejigboye, P.O.; Ibitogbe, E.M.; Olajide, O.S.; Ibitoye, O.O. Analysis of Potentially Toxic Elements from Selected Mechanical Workshops Using the Geo-Accumulation Index and Principal Component Analysis in Omu-Aran Community, Nigeria. Environ. Monit. Assess. 2023, 195, 276. [Google Scholar] [CrossRef]
- Muller, G. Index of Geoaccumulation in Sediments of the Rhine River. J. Geol. 1979, 2, 108–118. [Google Scholar]
- Jamei, M.; Ali, M.; Karbasi, M.; Karimi, B.; Jahannemaei, N.; Farooque, A.A.; Yaseen, Z.M. Monthly Sodium Adsorption Ratio Forecasting in Rivers Using a Dual Interpretable Glass-Box Complementary Intelligent System: Hybridization of Ensemble TVF-EMD-VMD, Boruta-SHAP, and eXplainable GPR. Expert Syst. Appl. 2024, 237, 121512. [Google Scholar] [CrossRef]
- Permatasari, A.A.; Vienastra, S. Kelayakan Air Tanah Untuk Irigasi Pertanian Menggunakan Sodium Arbsoption Ratio (SAR). COMSERVA J. Penelit. Dan Pengabdi. Masy. 2022, 2, 497–505. [Google Scholar] [CrossRef]
- Richards, L.A. Diagnosis and Improvement of Saline and Alkali Soils; U.S. Department of Agriculture: Washington, DC, USA, 1954. [Google Scholar]
- Burgess, T.M.; Webster, R. Optimal Interpolation and Isarithmic Mapping of Soil Properties. J. Soil Sci. 1980, 31, 315–331. [Google Scholar] [CrossRef]
- Campbell, K. Kriging for Interpolation of Sparse and Irregularly Distributed Geologic Data; Los Alamos National Laboratory (LANL): Los Alamos, NM, USA, 1986. [Google Scholar]
- Qiao, P.; Li, P.; Cheng, Y.; Wei, W.; Yang, S.; Lei, M.; Chen, T. Comparison of Common Spatial Interpolation Methods for Analyzing Pollutant Spatial Distributions at Contaminated Sites. Environ. Geochem. Health 2019, 41, 2709–2730. [Google Scholar] [CrossRef]
- Song, X.-D.; Zhang, G.-L.; Liu, F.; Li, D.-C.; Zhao, Y.-G. Characterization of the Spatial Variability of Soil Available Zinc at Various Sampling Densities Using Grouped Soil Type Information. Environ. Monit. Assess. 2016, 188, 600. [Google Scholar] [CrossRef]
- Dash, P.K.; Miller, B.A.; Panigrahi, N.; Mishra, A. Exploring the Effect of Sampling Density on Spatial Prediction with Spatial Interpolation of Multiple Soil Nutrients at a Regional Scale. Land 2024, 13, 1615. [Google Scholar] [CrossRef]
- Qu, L.; Lu, H.; Tian, Z.; Schoorl, J.M.; Huang, B.; Liang, Y.; Qiu, D.; Liang, Y. Spatial Prediction of Soil Sand Content at Various Sampling Density Based on Geostatistical and Machine Learning Algorithms in Plain Areas. Catena 2024, 234, 107572. [Google Scholar] [CrossRef]
- Munyati, C.; Sinthumule, N.I. Comparative Suitability of Ordinary Kriging and Inverse Distance Weighted Interpolation for Indicating Intactness Gradients on Threatened Savannah Woodland and Forest Stands. Environ. Sustain. Indic. 2021, 12, 100151. [Google Scholar] [CrossRef]
- Omar, H. Slope Stability Using Remote Sensing and Geographic Information System Along Karak Highway. Master’s Thesis, Universiti Teknologi Malaysia, Johor, Malaysia, 2010. [Google Scholar]
- University of Georgia Cation Exchange Capacity and Base Saturation. Available online: https://extension.uga.edu/publications/detail.html?number=C1040&title=cation-exchange-capacity-and-base-saturation (accessed on 1 February 2025).
- Ministerio de Economía y Finanzas Norma Ambiental de Calidad de Suelos para Diversos Usos. Available online: https://www.cnpml.org.pa/images/nosotros/suelo/decrejecut2.pdf (accessed on 10 November 2024).
- Gutiérrez, M.; Isaac, J. Evaluación de la Pérdida de Suelo y Nutrientes por Erosión Hídrica en el Cultivo de Piña en la Chorrera, Panamá Oeste. Master’s Thesis, Universidad de Panamá, Panama, Panama, 2018. [Google Scholar]
- López Montoya, J. Determinación de los Requerimientos Nutricionales de la Piña Variedad MD-2 en Suelos Ácidos del Municipio de Santander de Quilichao. Ph.D Thesis, Universidad Nacional de Colombia, Bogotá, Colombia, 2017. [Google Scholar]
- Cornwell, E. Effects of Different Agricultural Systems on Soil Quality in Northern Limón Province, Costa Rica. Rev. De Biol. Trop. 2014, 62, 887. [Google Scholar] [CrossRef] [PubMed]
- Ekosse, G.I. Multivariate Analyses and Spatial Distribution of Manganese Minerals in Soils Close to an Abandoned Manganese Mine. Land Degrad. Dev. 2009, 20, 283–299. [Google Scholar] [CrossRef]
- Sparks, D.L.; Singh, B.; Siebecker, M.G. Environmental Soil Chemistry, 3rd ed.; Elsevier: Amsterdam, The Netherlands, 2022; ISBN 978-0-443-14034-1. [Google Scholar]
- Cotter, D.J.; Mishra, U.N. The Role of Organic Matter in Soil Manganese Equilibrium. Plant Soil 1968, 29, 439–448. [Google Scholar] [CrossRef]
- Xiang, H.F.; Banin, A. Solid-Phase Manganese Fractionation Changes in Saturated Arid-Zone Soils: Pathways and Kinetics. Soil Sci. Soc. Am. J. 1996, 60, 1072–1080. [Google Scholar] [CrossRef]
- Khan, Z.I.; Ahmad, K.; Ashraf, M.; Naqvi, S.A.H.; Seidavi, A.; Akram, N.A.; Laudadio, V.; Tufarelli, V. Evaluating Pasture and Soil Allowance of Manganese for Kajli Rams Grazing in Semi-Arid Environment. Trop. Anim. Health Prod. 2015, 47, 563–566. [Google Scholar] [CrossRef]
- Matkin, O.A.; Petersen, F.H. Why and How to Acidify Irrigation Water; Soil and Plant Laboratory Inc.: Orange, CA, USA, 1984. [Google Scholar]
- Isidoro-Ramirez, D.; Grattan, S.R. An Approach to Develop Site-Specific Criteria for Electrical Conductivity to Protect Agricultural Beneficial Uses That Accounts for Rainfall; University of California: San Diego, CA, USA, 2004. [Google Scholar]
- Nall, D.H.; Sedlak, R. Total Dissolved Solids in Reclaimed Water. Available online: https://ashraeny.starchapter.com/images/downloads/Technical_Articles/nail_ashraejournal_oct2013_rev1.pdf (accessed on 20 January 2025).
- Government of Northwest Territories Dissolved Oxygen (DO). Available online: https://www.gov.nt.ca/sites/ecc/files/dissolved_oxygen.pdf (accessed on 11 January 2025).
- Oklahoma State University Understanding Soil Water Content and Thresholds for Irrigation Management. Available online: https://extension.okstate.edu/fact-sheets/understanding-soil-water-content-and-thresholds-for-irrigation-management.html (accessed on 27 January 2025).
- Saludo, E.M.F.; Lagado, M.F.; Jose, A.M.A.S.; Agustin, C.P.; Lipardo, N.J.G.; Agustin, M.A. Water Salinity in Agriculture: Analyzing Irrigation Water Quality for Farmers. Int. J. Environ. Eng. Educ. 2023, 5, 111–118. [Google Scholar] [CrossRef]
- Zaporozec, A. Nitrate Concentrations under Irrigated Agriculture. Environ. Geol. 1983, 5, 35–38. [Google Scholar] [CrossRef]
- Elliott, H.A.; Jaiswal, D. Phosphorus Management for Sustainable Agricultural Irrigation of Reclaimed Water. J. Environ. Eng. 2012, 138, 367–374. [Google Scholar] [CrossRef]
- Plant-Prod Adjusting Irrigation Water-Bicarbonates vs., pH. Available online: https://www.plantprod.com/news/water-quality/ (accessed on 27 January 2025).
- EarthWorks Irrigation Water Guidelines. Available online: https://www.earthworksturf.com/pdf/soiltest/Irrigation_%20Water_Guidelines.pdf (accessed on 27 January 2025).
- FAO Water Quality for Agriculture. Available online: https://www.fao.org/4/t0234e/T0234E06.htm (accessed on 27 January 2025).
- MICI Reutilización de Las Aguas Residuales Tratadas. Available online: https://asep.gob.pa/wp-content/uploads/agua/legislacion/dgnti_24-99.pdf (accessed on 15 November 2024).
- FCCA Irrigation Water Quality Standards and Salinity Management Strategies. Available online: https://fcca.es/documentos/05_documentos_por_temas/Estandares%20de%20calidad%20de%20las%20aguas%20Tablas%20de%20estandares(3)/TOXICIDADES_ESPECIFICAS.pdf (accessed on 15 December 2024).
- University of Massachusetts Amherst Water Quality for Crop Production. Available online: https://ag.umass.edu/greenhouse-floriculture/greenhouse-best-management-practices-bmp-manual/water-quality-for-crop-production (accessed on 22 January 2025).
- FAO Guidelines for Irrigation Water Quality (G.N. No. 617 of 1999)|FAOLEX. Available online: https://www.fao.org/faolex/results/details/en/c/LEX-FAOC053079 (accessed on 29 January 2025).
- Wilcox, L.V. Classification and Use of Irrigation Waters; U.S. Department of Agriculture: Washington, DC, USA, 1955. [Google Scholar]
- El-Mashali, H.A.; Badran, H.M.; Elnimr, T. Metal Concentrations in Irrigation Canals and the Nile River in an Intensively Exploited Agricultural Area. Environ. Monit. Assess. 2015, 187, 136. [Google Scholar] [CrossRef]
- Zhang, Y.; Li, F.; Li, J.; Liu, Q.; Tu, C.; Suzuki, Y.; Huang, C. Spatial Distribution, Potential Sources, and Risk Assessment of Trace Metals of Groundwater in the North China Plain. Hum. Ecol. Risk Assess. Int. J. 2015, 21, 726–743. [Google Scholar] [CrossRef]
- Krueger, K.M.; Vavrus, C.E.; Lofton, M.E.; McClure, R.P.; Gantzer, P.; Carey, C.C.; Schreiber, M.E. Iron and Manganese Fluxes across the Sediment-Water Interface in a Drinking Water Reservoir. Water Res. 2020, 182, 116003. [Google Scholar] [CrossRef]
- Melo, V.F.; de Oliveira, J.C., Jr.; Batista, A.H.; Cherobim, V.F.; Favaretto, N. Goethite and Hematite in Bichromic Soil Profiles of Southern Brazil: Xanthization or Yellowing Process. CATENA 2020, 188, 104445. [Google Scholar] [CrossRef]
- Scheinost, A.C. Metal Oxides. In Encyclopedia of Soils in the Environment; Hillel, D., Ed.; Elsevier: Oxford, UK, 2005; pp. 428–438. ISBN 978-0-12-348530-4. [Google Scholar]
- Ugochukwu, E.J. Bioremediation of Arable Soil Using Nitrogen, Phosphorus, Potassium Fertilizer Treatment. Sustinere J. Environ. Sustain. 2019, 3, 15–23. [Google Scholar] [CrossRef]
- Pérez-Dalí, S.M.; Sánchez-Martín, Á.; Márquez-Moreno, J.; González-Pérez, J.A.; San-Emeterio, L.M.; María de la Rosa, J. Effects of Contrasting Organic Amendments on Carbon Stability and Soil Carbon Dynamics in Acidic and Alkaline Soils. In Proceedings of the EGU General Assembly Conference Abstracts, Vienna, Austria, 14–19 April 2024. [Google Scholar]
- Omokaro, G.O.; Osarhiemen, I.O.; Idama, V.; Airueghian, E.O.; West, S.T.; Igbigbi, F.E.; Nnake, D.C.; Obolokor, E.; Ahmed, A.; Omoshie, V.O. The Role of Organic Amendments and Their Impact on Soil Restoration: A Review. Asian J. Environ. Ecol. 2024, 23, 41–52. [Google Scholar] [CrossRef]
- Cole, N.A.; Schwartz, R.C.; Todd, R.W. Assimilation Versus Accumulation of Macro- and Micronutrients in Soils: Relations to Livestock and Poultry Feeding Operations123. J. Appl. Poult. Res. 2005, 14, 393–405. [Google Scholar] [CrossRef]
- Kumaresan, A.; Bujarbaruah, K.M.; Pathak, K.A.; Brajendra; Ramesh, T. Soil–Plant–Animal Continuum in Relation to Macro and Micro Mineral Status of Dairy Cattle in Subtropical Hill Agro Ecosystem. Trop. Anim. Health Prod. 2010, 42, 569–577. [Google Scholar] [CrossRef]
- Ma, Y.; Rate, A.W. Formation of Trace Element Biogeochemical Anomalies in Surface Soils: The Role of Biota. Geochem. Explor. Environ. Anal. 2009, 9, 353–367. [Google Scholar] [CrossRef]
- Mesa, D.; Paredes, O.; Sandoval, S.; Prieto, G. Atlas Geoquímico de Colombia, Concentración de Manganeso (Mn). 2020. Available online: https://www2.sgc.gov.co/sgc/mapas/Documents/Atlas-Geoquimico-de-Colombia-version-2020-Nota-Explicativa.pdf (accessed on 18 March 2025).
- Song, X.; Wang, Y.; Chen, L. Magmatic Ni-Cu-(PGE) Deposits in Magma Plumbing Systems: Features, Formation and Exploration. Geosci. Front. 2011, 2, 375–384. [Google Scholar] [CrossRef]
- Yang, W.; Zhang, Y.; Li, M. Sensing Technology of Soil Physical Properties. In Soil and Crop Sensing for Precision Crop Production; Li, M., Yang, C., Zhang, Q., Eds.; Springer International Publishing: Cham, Switzerland, 2022; pp. 19–48. ISBN 978-3-030-70432-2. [Google Scholar]
- Sefiani, S.; El Mandour, A.; Laftouhi, N.; Khalil, N.; Chehbouni, A.; Jarlan, L.; Hanich, L.; Khabba, S.; Kamal, S.; Markhi, A.; et al. Evaluation of Groundwater Quality and Agricultural Use Under a Semi-Arid Environment: Case of Agafay, Western Haouz, Morocco. Irrig. Drain. 2019, 68, 778–796. [Google Scholar] [CrossRef]
- Zhai, Y.; Cao, X.; Xia, X.; Wang, B.; Teng, Y.; Li, X. Elevated Fe and Mn Concentrations in Groundwater in the Songnen Plain, Northeast China, and the Factors and Mechanisms Involved. Agronomy 2021, 11, 2392. [Google Scholar] [CrossRef]
- USGS Hardness of Water. U.S.|Geological Survey. Available online: https://www.usgs.gov/special-topics/water-science-school/science/hardness-water (accessed on 6 February 2025).
- Guo, H.; Li, M.; Wang, L.; Wang, Y.; Zang, X.; Zhao, X.; Wang, H.; Zhu, J. Evaluation of Groundwater Suitability for Irrigation and Drinking Purposes in an Agricultural Region of the North China Plain. Water 2021, 13, 3426. [Google Scholar] [CrossRef]
- Seid, M.; Genanew, T. Evaluation of Soil and Water Salinity for Irrigation in North-Eastern Ethiopia: Case Study of Fursa Small Scale Irrigation System in Awash River Basin. Afr. J. Environ. Sci. Technol. 2013, 7, 167–174. [Google Scholar]
- Souza, L.F.d.S.; Reinhardt, D.H. Pineapple. In Tropical Fruits of Brazil; International Potash Institute: Horgen, Switzerland, 2007. [Google Scholar]
- Guinto, D.F.; Inciong, M.M. Soil Quality, Management Practices and Sustainability of Pineapple Farms in Cavite, Philippines: Part 1. Soil Quality. J. South Pac. Agric. 2012, 16, 30–41. [Google Scholar]
- Bartholomew, D.P.; Paull, R.E.; Rohrbach, K.G. The Pineapple: Botany, Production, and Uses; CABI Publishing: Oxon, UK, 2003; ISBN 978-0-85199-503-8. [Google Scholar]
- de la Luz Mora, M.; Rumpel, C.; Calabi-Floody, M. Smart Fertilizers and Innovative Organic Amendments for Sustainable Agricultural Systems; MDPI-Multidisciplinary Digital Publishing Institute: Basel, Switzerland, 2022; ISBN 978-3-0365-2762-8. [Google Scholar]
- Veste, M.; Sheppard, J.P.; Abdulai, I.; Ayisi, K.K.; Borrass, L.; Chirwa, P.W.; Funk, R.; Kapinga, K.; Morhart, C.; Mwale, S.E.; et al. The Need for Sustainable Agricultural Land-Use Systems. In Sustainability of Southern African Ecosystems Under Global Change: Science for Management and Policy Interventions; von Maltitz, G.P., Midgley, G.F., Veitch, J., Brümmer, C., Rötter, R.P., Viehberg, F.A., Veste, M., Eds.; Springer International Publishing: Cham, Germany, 2024; pp. 587–623. ISBN 978-3-031-10948-5. [Google Scholar]
- Aizprúa, J.C. El impacto del Fenómeno de El Niño en el Campo Panameño. Available online: https://www.tvn-2.com/contenido-exclusivo/impacto-fenomeno-nino-campo-panameno-agricultura-lluvias-sequia-medio-ambiente-contenido-exclusivo_1_2052560.html (accessed on 6 February 2025).
- Chartzoulakis, K.; Bertaki, M. Sustainable Water Management in Agriculture under Climate Change. Agric. Agric. Sci. Procedia 2015, 4, 88–98. [Google Scholar] [CrossRef]













| Igeo | Class | Soil Quality |
|---|---|---|
| <0 | 0 | Uncontaminated |
| 0–1 | 1 | Uncontaminated to moderately contaminated |
| 1–2 | 2 | Moderately contaminated |
| 2–3 | 3 | Moderate to heavily contaminated |
| 3–4 | 4 | Heavily contaminated |
| 4–5 | 5 | Heavily to extremely contaminated |
| >5 | 6 | Extremely contaminated |
| pH | EC | OM | SM | CEC | Al | Ca | Cu | Fe | K | Mg | Mn | Soluble N | P | Si | Sr | Zn | |
|---|---|---|---|---|---|---|---|---|---|---|---|---|---|---|---|---|---|
| dS m−1 | % | cmol kg−1 | % | mg kg−1 | % | mg kg−1 | % | mg kg−1 | |||||||||
| Mean | 5.00 | 1.54 × 10−1 | 8.43 | 27.0 | 12.6 | 15.2 | 1.58 × 103 | 1.25 × 102 | 9.09 | 6.01 × 102 | 1.57 × 103 | 1.38 × 103 | 30.8 | 9.99 × 102 | 22.9 | 42.5 | 85.0 |
| Min | 3.90 | 2.88 × 10−3 | 2.99 | 9.32 | 3.63 | 9.59 | 4.46 × 102 | <1.00 | 4.39 | 1.33 × 102 | <1.00 | 1.54 × 102 | <2.00 | 5.54 × 102 | 15.0 | <1.00 | <1.00 |
| p95 | 5.93 | 3.60 × 10−1 | 14.4 | 32.2 | 18.7 | 17.5 | 4.18 × 103 | 1.66 × 102 | 12.2 | 1.16 × 103 | 4.67 × 103 | 3.23 × 103 | 76.4 | 1.26 × 103 | 29.0 | 1.25 × 102 | 1.56 × 102 |
| Max | 6.76 | 8.81 × 10−1 | 16.3 | 70.0 | 22.1 | 18.4 | 7.87 × 103 | 2.03 × 102 | 13.6 | 2.50 × 103 | 8.78 × 103 | 6.28 × 103 | 1.52 × 102 | 1.29 × 103 | 32.1 | 1.87 × 102 | 3.37 × 102 |
| SD | 5.40 × 10−1 | 1.26 × 10−1 | 2.87 | 5.71 | 3.53 | 1.86 | 1.37 × 103 | 2.52 × 101 | 1.75 | 4.09 × 102 | 1.57 × 103 | 1.06 × 103 | 35.5 | 1.34 × 102 | 4.13 | 39.2 | 39.1 |
| Clay % | Silt % | Sand % | |
|---|---|---|---|
| Mean | 65.0 | 20.7 | 14.3 |
| Min | <1.00 | <1.00 | <1.00 |
| p95 | 84.1 | 34.1 | 33.4 |
| Max | 90.1 | 74.1 | 53.9 |
| SD | 17.0 | 10.5 | 11.4 |
| Parameter | Panama Standard [78] | La Chorrera [79] | Costa Rica [81] | Colombia [80] |
|---|---|---|---|---|
| CEC (cmol kg−1) | - | 25.0 | 16.7 | 5.66 |
| EC (dS m−1) | - | 9.00 × 10−2 | - | - |
| OM (%) | - | 4.85 | - | 7.83 |
| Al (%) | - | 2.20 × 10−2 | - | 3.90 × 10−2 |
| Ca (mg kg−1) | - | 7.24 × 102 | 9.80 × 102 | 2.02 × 102 |
| Cu (mg kg−1) | - | 10.0 | - | 1.18 |
| Fe (%) | - | 8.00 × 10−3 | - | 2.00 × 10−3 |
| K (mg kg−1) | - | 52.0 | 5.00 × 102 | 6.24 × 101 |
| Mg (mg kg−1) | - | 1.88 × 103 | 4.81 × 103 | 2.16 × 101 |
| Mn (mg kg−1) | - | 81.0 | - | 3.34 |
| Soluble N (mg kg−1) | - | - | 1.50 × 103 | - |
| P (mg kg−1) | - | 4.00 | 2.16 × 104 | 12.1 |
| Si (%) | - | - | - | - |
| Sr (mg kg−1) | - | - | - | - |
| Zn (mg kg−1) | 3.00 | 13.0 | - | 2.48 |
| Variable | PC1 | PC2 | PC3 |
|---|---|---|---|
| pH | 0.248 | 3.60 × 10−2 | 0.236 |
| SM | 0.137 | 0.246 | 0.376 |
| OM | 0.350 | −2.10 × 10−2 | −0.112 |
| CEC | 3.20 × 10−2 | −0.107 | −0.373 |
| EC | −0.147 | 0.117 | −0.299 |
| Al | −0.431 | 2.70 × 10−2 | 9.30 × 10−2 |
| Ca | 0.231 | 0.454 | 0.185 |
| Cu | 3.00 × 10−2 | −0.220 | 0.294 |
| Fe | 0.355 | −0.321 | −0.183 |
| K | −7.90 × 10−2 | 0.520 | −0.221 |
| Mg | 0.278 | 0.234 | 0.377 |
| Mn | 0.222 | −0.029 | −0.155 |
| P | 0.186 | 0.290 | −0.323 |
| Si | −0.340 | 0.323 | 8.20 × 10−2 |
| Sr | 0.241 | 0.201 | −0.269 |
| Zn | 0.261 | 1.00 × 10−2 | 1.70 × 10−2 |
| Eigenvalues | 4.61 | 2.42 | 1.90 |
| Loadings | 28.4 | 14.9 | 11.7 |
| Cumulative Loadings | 28.4 | 43.3 | 55.0 |
| Source | pH | EC | TDS | DO | Saturation | Salinity | NO3-N | PO4 | HCO3 | SO4 | Total N | Ca | Fe | K | Mg | Mn | Na | Cu | Zn | |
|---|---|---|---|---|---|---|---|---|---|---|---|---|---|---|---|---|---|---|---|---|
| dS m−1 | mg L−1 | % | mg L−1 | |||||||||||||||||
| Superficial | Mean | 6.49 | 7.00 × 10−2 | 44.8 | 3.57 | 44.6 | 4.00 × 10−2 | 5.90 × 10−1 | 1.30 × 10−1 | 18.1 | 12.0 | 3.92 | 2.05 | 3.03 | 1.56 | 3.25 | <5.90 × 10−1 | 8.27 | <2.40 × 10−1 | <1.40 × 10−1 |
| Min | 5.89 | 4.00 × 10−2 | 26.4 | 1.30 | 16.4 | 3.00 × 10−2 | <3.00 × 10−1 | 4.00 × 10−2 | <10.0 | <2.00 | <1.00 | <1.08 | 7.80 × 10−1 | 3.30 × 10−1 | 3.70 × 10−1 | <5.90 × 10−1 | 3.33 | <2.40 × 10−1 | <1.40 × 10−1 | |
| p95 | 7.15 | 1.30 × 10−1 | 84.0 | 5.44 | 68.9 | 7.00 × 10−2 | 1.94 | 4.20 × 10−1 | 30.9 | <2.00 | 7.90 | 3.77 | 5.53 | 3.03 | 5.48 | <5.90 × 10−1 | 20.8 | <2.40 × 10−1 | <1.40 × 10−1 | |
| Max | 7.26 | 1.9 × 10−1 | 1.19 × 102 | 5.92 | 73.8 | 9.00 × 10−2 | 3.20 | 4.30 × 10−1 | 32.9 | 12.0 | 9.00 | 4.49 | 6.83 | 3.53 | 5.79 | 1.15 | 21.6 | <2.40 × 10−1 | <1.40 × 10−1 | |
| SD | 4.80 × 10−1 | 4.00 × 10−2 | 24.4 | 1.58 | 20.0 | 2.00 × 10−2 | 8.40 × 10−1 | 1.40 × 10−1 | 6.74 | <2.00 | 2.27 | 1.19 | 1.60 | 9.30 × 10−1 | 1.41 | <5.90 × 10−1 | 5.97 | <2.40 × 10−1 | <1.40 × 10−1 | |
| Groundwater | Mean | 7.26 | 2.40 × 10−1 | 143 | 4.17 | 53.9 | 1.10 × 10−1 | 7.30 × 10−1 | 3.60 × 10−1 | 105 | <2.00 | 3.00 | 5.13 | <0.71 | 1.87 | 4.17 | <5.90 × 10−1 | 42.3 | <2.40 × 10−1 | <1.40 × 10−1 |
| Min | 6.20 | 7.00 × 10−2 | 39.4 | 3.86 | 50.4 | 4.00 × 10−2 | 6.00 × 10−1 | 5.00 × 10−2 | 19.9 | <2.00 | 1.00 | 2.77 | <0.71 | 4.20 × 10−1 | 9.50 × 10−1 | <5.90 × 10−1 | 5.62 | <2.40 × 10−1 | <1.40 × 10−1 | |
| p95 | 8.54 | 4.80 × 10−1 | 291 | 4.44 | 57.8 | 2.20 × 10−1 | 8.90 × 10−1 | 8.50 × 10−1 | 226 | <2.00 | 4.85 | 9.24 | <0.71 | 3.65 | 8.34 | <5.90 × 10−1 | 128 | <2.40 × 10−1 | <1.40 × 10−1 | |
| Max | 8.80 | 5.30 × 10−1 | 321 | 4.47 | 58.5 | 2.40 × 10−1 | 9.00 × 10−1 | 9.50 × 10−1 | 251 | <2.00 | 5.00 | 10.01 | <0.71 | 3.98 | 9.20 | <5.90 × 10−1 | 149 | <2.40 × 10−1 | <1.40 × 10−1 | |
| SD | 1.10 | 2.00 × 10−1 | 123 | 2.60 × 10−1 | 3.40 | 9.00 × 10−2 | 1.50 × 10−1 | 4.00 × 10−1 | 101 | <2.00 | 1.83 | 3.39 | <0.71 | 1.52 | 3.53 | <5.90 × 10−1 | 70.9 | <2.40 × 10−1 | <1.40 × 10−1 | |
| Parameter | Panama Standard [98] | Texas A&M University [99] | University of Massachusetts Amherst [100] | FAO [101] |
|---|---|---|---|---|
| pH | - | - | 5.00 to 7.00 | 5.00 to 9.00 |
| EC (dS m−1) | 3.00 × 103 | - | - | 2.00 × 103 |
| TDS (mg L−1) | - | - | 9.60 × 102 | - |
| NO3-N (mg L−1) | - | - | 5.00 | 1.50 × 101 |
| PO4 (mg L−1) | - | - | - | - |
| HCO3 (mg L−1) | - | - | - | - |
| SO4 (mg L−1) | 3.50 × 105 | - | - | 5.00 × 102 |
| Soluble N (mg L−1) | - | - | - | - |
| Ca (mg L−1) | - | - | 4.00 × 101 to 1.00 × 102 | - |
| Fe (mg L−1) | 5.00 × 103 | 5.00 | 5.00 | 5.00 |
| K (mg L−1) | - | - | - | - |
| Mg (mg L−1) | - | - | >2.50 × 101 | - |
| Mn (mg L−1) | 2.00 × 10−1 | 2.00 × 10−1 | 2.00 | 2.00 × 10−1 |
| Na (mg L−1) | 3.50 × 104 | - | 5.00 × 101 | - |
| Variables | PC1 | PC2 | PC3 |
|---|---|---|---|
| pH | 0.418 | 7.00 × 10−3 | −0.195 |
| EC | 0.428 | −0.180 | 2.00 × 10−2 |
| DO | 0.165 | 0.402 | −0.384 |
| HCO3 | 0.409 | −0.213 | −8.30 × 10−2 |
| NO3-N | 0.180 | 0.246 | 0.460 |
| PO4 | 0.198 | 0.337 | 0.302 |
| Total N | 0.158 | 0.232 | 0.318 |
| Ca | 0.255 | −5.70 × 10−2 | −0.210 |
| Fe | −0.287 | −0.315 | 0.357 |
| K | 0.212 | −0.410 | 0.389 |
| Mg | 0.147 | 0.427 | 0.282 |
| Na | 0.370 | −0.284 | 2.60 × 10−2 |
| Eigenvalues | 5.24 | 2.76 | 1.59 |
| Loadings | 41.0 | 21.5 | 12.4 |
| Cumulative Loadings | 41.0 | 62.5 | 75.0 |
Disclaimer/Publisher’s Note: The statements, opinions and data contained in all publications are solely those of the individual author(s) and contributor(s) and not of MDPI and/or the editor(s). MDPI and/or the editor(s) disclaim responsibility for any injury to people or property resulting from any ideas, methods, instructions or products referred to in the content. |
© 2025 by the authors. Licensee MDPI, Basel, Switzerland. This article is an open access article distributed under the terms and conditions of the Creative Commons Attribution (CC BY) license (https://creativecommons.org/licenses/by/4.0/).
Share and Cite
González-Valoys, A.C.; Chong, T.; Arrocha, J.; Lloyd, J.; Olmos, J.; Vergara, F.; Denvers, M.; Jaén, J.; Jiménez-Oyola, S.; García-Navarro, F.J. Geochemical Characterization of Soil and Water in an Agricultural Area for the Sustainable Use of Natural Resources. Agriculture 2025, 15, 702. https://doi.org/10.3390/agriculture15070702
González-Valoys AC, Chong T, Arrocha J, Lloyd J, Olmos J, Vergara F, Denvers M, Jaén J, Jiménez-Oyola S, García-Navarro FJ. Geochemical Characterization of Soil and Water in an Agricultural Area for the Sustainable Use of Natural Resources. Agriculture. 2025; 15(7):702. https://doi.org/10.3390/agriculture15070702
Chicago/Turabian StyleGonzález-Valoys, Ana C., Tamir Chong, Jonatha Arrocha, Javier Lloyd, Jorge Olmos, Fidedigna Vergara, Medin Denvers, Juan Jaén, Samantha Jiménez-Oyola, and Francisco Jesús García-Navarro. 2025. "Geochemical Characterization of Soil and Water in an Agricultural Area for the Sustainable Use of Natural Resources" Agriculture 15, no. 7: 702. https://doi.org/10.3390/agriculture15070702
APA StyleGonzález-Valoys, A. C., Chong, T., Arrocha, J., Lloyd, J., Olmos, J., Vergara, F., Denvers, M., Jaén, J., Jiménez-Oyola, S., & García-Navarro, F. J. (2025). Geochemical Characterization of Soil and Water in an Agricultural Area for the Sustainable Use of Natural Resources. Agriculture, 15(7), 702. https://doi.org/10.3390/agriculture15070702

