Comparing Stacking Ensemble Learning and 1D-CNN Models for Predicting Leaf Chlorophyll Content in Stellera chamaejasme from Hyperspectral Reflectance Measurements
Abstract
1. Introduction
2. Materials and Methods
2.1. Experimental Site
2.2. Field Data Collection
2.3. Data Preprocessing
2.4. Methodology
2.4.1. Hierarchical Dimensionality Reduction
2.4.2. Red-Edge Parameter and Spectral Index Calculation
2.4.3. Stacking Ensemble Learning
- The random forest (RF) method exhibits high learning efficiency and robust generalization capabilities, making it appropriate for high-dimensional datasets.
- Extreme gradient boosting (XGBoost) accommodates custom loss functions, thereby facilitating a reduction in training errors.
- K-nearest neighbour (KNN) classifies a target point on the basis of the categories of the k-nearest sample data and operates without prior knowledge.
- The Light Gradient Boosting Machine (LightGBM) achieves high-precision predictions from a small set of samples through the implementation of the GOSS and EFB techniques.
- Ridge regression (RR) addresses the issue of multiple collinearities by modifying the regularization coefficient to mitigate overfitting.
2.4.4. One-Dimensional Convolutional Neural Network
2.4.5. Accuracy Evaluation
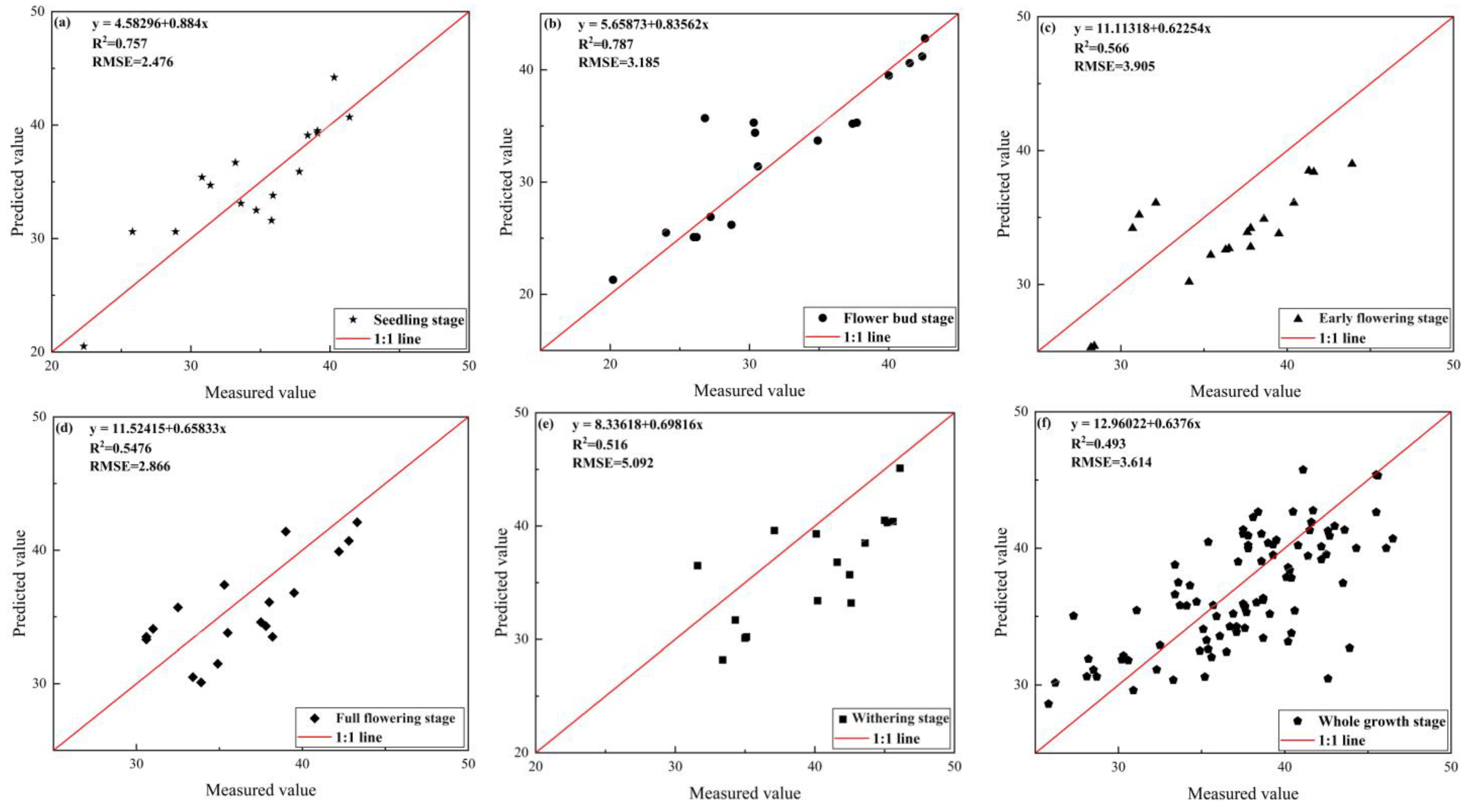
3. Results
3.1. Hyperspectral Response of S. chamaejasme Leaves
3.2. Extraction of Leaf Chlorophyll-Sensitive Feature Spectra
3.3. Establishment of Models for Predicting Leaf Chlorophyll Content
4. Discussion
4.1. The Application of Feature Spectra Selection in Leaf Chlorophyll Content Prediction
4.2. The Accuracy of Prediction Models via Machine Learning and Deep Learning
5. Conclusions
Author Contributions
Funding
Institutional Review Board Statement
Data Availability Statement
Conflicts of Interest
References
- Croft, H.; Chen, J.M.; Wang, R.; Mo, G.; Luo, S.; Luo, X.; He, L.; Gonsamo, A.; Arabian, J.; Zhang, Y.; et al. The Global Distribution of Leaf Chlorophyll Content. Remote Sens. Environ. 2020, 236, 111479. [Google Scholar] [CrossRef]
- Gitelson, A.A.; Gritz, Y.; Merzlyak, M.N. Relationships between Leaf Chlorophyll Content and Spectral Reflectance and Algorithms for Non-Destructive Chlorophyll Assessment in Higher Plant Leaves. J. Plant Physiol. 2003, 160, 271–282. [Google Scholar] [CrossRef]
- Croft, H.; Chen, J.M.; Luo, X.; Bartlett, P.; Chen, B.; Staebler, R.M. Leaf Chlorophyll Content as a Proxy for Leaf Photosynthetic Capacity. Glob. Change Biol. 2017, 23, 3513–3524. [Google Scholar] [CrossRef]
- Xu, M.; Liu, R.; Chen, J.M.; Liu, Y.; Shang, R.; Ju, W.; Wu, C.; Huang, W. Retrieving Leaf Chlorophyll Content Using a Matrix-Based Vegetation Index Combination Approach. Remote Sens. Environ. 2019, 224, 60–73. [Google Scholar] [CrossRef]
- Porra, R.J.; Thompson, W.A.; Kriedemann, P.E. Determination of Accurate Extinction Coefficients and Simultaneous Equations for Assaying Chlorophylls a and b Extracted with Four Different Solvents: Verification of the Concentration of Chlorophyll Standards by Atomic Absorption Spectroscopy. Biochim. Biophys. Acta-Bioenerg. 1989, 975, 384–394. [Google Scholar] [CrossRef]
- Steele, M.R.; Gitelson, A.A.; Rundquist, D.C. A Comparison of Two Techniques for Nondestructive Measurement of Chlorophyll Content in Grapevine Leaves. Agron. J. 2008, 100, 779–782. [Google Scholar] [CrossRef]
- Zhang, K.; Li, W.; Li, H.; Luo, Y.; Li, Z.; Wang, X.; Chen, X. A Leaf-Patchable Reflectance Meter for In Situ Continuous Monitoring of Chlorophyll Content. Adv. Sci. 2023, 10, 2305552. [Google Scholar] [CrossRef]
- Croft, H.; Chen, J.M.; Zhang, Y. The Applicability of Empirical Vegetation Indices for Determining Leaf Chlorophyll Content over Different Leaf and Canopy Structures. Ecol. Complex. 2014, 17, 119–130. [Google Scholar] [CrossRef]
- Ma, W.; Wang, X. Progress on Grassland Chlorophyll Content Estimation by Hyperspectral Analysis. Prog. Geogr. 2016, 35, 25–34. [Google Scholar] [CrossRef]
- Moharana, S.; Dutta, S. Spatial Variability of Chlorophyll and Nitrogen Content of Rice from Hyperspectral Imagery. ISPRS J. Photogramm. Remote Sens. 2016, 122, 17–29. [Google Scholar] [CrossRef]
- Zhao, X.; Sun, X.; Wang, F.; Xie, X.; Guo, X. A Summary of the Researches on Hyperspectral Remote Sensing Monitoring of Rice. Acta Agric. Univ. Jiangxiensis 2019, 41, 1–12. [Google Scholar] [CrossRef]
- Ali, A.M.; Darvishzadeh, R.; Skidmore, A.; Gara, T.W.; O’Connor, B.; Roeoesli, C.; Heurich, M.; Paganini, M. Comparing Methods for Mapping Canopy Chlorophyll Content in a Mixed Mountain Forest Using Sentinel-2 Data. Int. J. Appl. Earth Obs. Geoinf. 2020, 87, 102037. [Google Scholar] [CrossRef]
- An, G.; Xing, M.; He, B.; Liao, C.; Huang, X.; Shang, J.; Kang, H. Using Machine Learning for Estimating Rice Chlorophyll Content from In Situ Hyperspectral Data. Remote Sens. 2020, 12, 3104. [Google Scholar] [CrossRef]
- Li, C.; Liu, Y.; Qin, T.; Wang, Y. Estimation of Chlorophyll Content in Potato Leaves Based on Machine Learning. Spectrosc. Spect. Anal. 2024, 44, 1117–1127. [Google Scholar] [CrossRef]
- Gan, H.; Yue, X.; Hong, T.; Ling, K.; Wang, L.; Cen, Z. A Hyperspectral Inversion Model for Predicting Chlorophyll Content of Longan Leaves Based on Deep Learning. J. South China Agric. Univ. 2018, 39, 102–110. [Google Scholar] [CrossRef]
- Putra, B.T.W.; Wirayuda, H.C.; Syahputra, W.N.H.; Prastowo, E. Evaluating In-Situ Maize Chlorophyll Content Using an External Optical Sensing System Coupled with Conventional Statistics and Deep Neural Networks. Measurement 2021, 189, 110482. [Google Scholar] [CrossRef]
- Sonobe, R.; Hirono, Y.; Oi, A. Quantifying Chlorophyll-a and b Content in Tea Leaves Using Hyperspectral Reflectance and Deep Learning. Remote Sens. Lett. 2020, 11, 933–942. [Google Scholar] [CrossRef]
- Zhang, A.; Yin, S.; Wang, J.; He, N.; Chai, S.; Pang, H. Grassland Chlorophyll Content Estimation from Drone Hyperspectral Images Combined with Fractional-Order Derivative. Remote Sens. 2023, 15, 5623. [Google Scholar] [CrossRef]
- Ji, T.; Liu, X. Establishing a Hyperspectral Model for the Chlorophyll and Crude Protein Content in Alpine Meadows Using a Backward Feature Elimination Method. Agriculture 2024, 14, 757. [Google Scholar] [CrossRef]
- Bao, G.; Wang, Y.; Song, M.; Wang, H.; Yin, Y. Effects of Stellera Chamaejasme Patches on the Surrounding Grassland Community and on Soil Physicarchemical Properties in Degraded Grasslands Susceptible to S. Chamaejasme Invasion. Acta Prataculturae Sin. 2019, 28, 51–61. [Google Scholar] [CrossRef]
- Guo, L.; Wang, K. Research Progress on Biology and Ecology of Stellera chamaejasme L. Acta Agrestia Sin. 2018, 26, 525–532. [Google Scholar] [CrossRef]
- Shi, Z. Important Poisonous Plants in Grassland of China; China Agriculture Press: Beijing, China, 1997; ISBN 7-109-04658-3. [Google Scholar]
- Liu, Y.; Dong, X.; Long, Y.; Zhu, Z.; Wang, L. Classification of Stellera Chamaejasme Communities and Their Relationships with Environmental Factors in Degraded Alpine Meadow in the Central Qilian Mountains, Qinghai Province. Acta Prataculturae Sin. 2022, 31, 1–11. [Google Scholar] [CrossRef]
- Yadava, U.L. A Rapid and Nondestructive Method to Determine Chlorophyll in Intact Leaves. HortScience 1986, 21, 1449–1450. [Google Scholar] [CrossRef]
- Ruiz-Espinoza, F.H.; Murillo-Amador, B.; García-Hernández, J.L.; Fenech-Larios, L.; Rueda-Puente, E.O.; Troyo-Diéguez, E.; Kaya, C.; Beltrán-Morales, A. Field Evaluation of the Relationship between Chlorophyll Content in Basil Leaves and a Portable Chlorophyll Meter (Spad-502) Readings. J. Plant Nutr. 2010, 33, 423–438. [Google Scholar] [CrossRef]
- Luo, J.; Ying, K.; Bai, J. Savitzky–Golay Smoothing and Differentiation Filter for Even Number Data. Signal Process. 2005, 85, 1429–1434. [Google Scholar] [CrossRef]
- Wisnowski, J.; Montgomery, D.; Simpson, J. A Comparative Analysis of Multiple Outlier Detection Procedures in the Linear Regression Model. Comput. Stat. Data Anal. 2001, 36, 351–382. [Google Scholar] [CrossRef]
- Wang, S.; Han, P.; Cui, G.; Wang, D.; Liu, S.; Zhao, Y. The NIR Detection Research of Soluble Solid Content in Watermelon Based on SPXY Algorithm. Spectrosc. Spect. Anal. 2019, 39, 738–742. [Google Scholar]
- Soares, S.F.C.; Gomes, A.A.; Araujo, M.C.U.; Filho, A.R.G.; Galvão, R.K.H. The Successive Projections Algorithm. Trends Anal. Chem. 2013, 42, 84–98. [Google Scholar] [CrossRef]
- Horler, D.N.H.; Dockray, M.; Barber, J.; Barringer, A.R. Red Edge Measurements for Remotely Sensing Plant Chlorophyll Content. Adv. Space Res. 1983, 3, 273–277. [Google Scholar] [CrossRef]
- Sun, W.; Du, Q. Hyperspectral Band Selection: A Review. IEEE Geosci. Remote Sens. Mag. 2019, 7, 118–139. [Google Scholar] [CrossRef]
- Qiao, L.; Tang, W.; Gao, D.; Zhao, R.; An, L.; Li, M.; Sun, H.; Song, D. UAV-Based Chlorophyll Content Estimation by Evaluating Vegetation Index Responses under Different Crop Coverages. Comput. Electron. Agric. 2022, 196, 106775. [Google Scholar] [CrossRef]
- Cui, S.; Zhou, K. A Comparison of the Predictive Potential of Various Vegetation Indices for Leaf Chlorophyll Content. Earth Sci. Inf. 2017, 10, 169–181. [Google Scholar] [CrossRef]
- Tong, A.; He, Y. Estimating and Mapping Chlorophyll Content for a Heterogeneous Grassland: Comparing Prediction Power of a Suite of Vegetation Indices across Scales between Years. ISPRS J. Photogramm. Remote Sens. 2017, 126, 146–167. [Google Scholar] [CrossRef]
- Clevers, J.G.P.W.; Jong, H.; Epema, G.F.; Van Der Meer, F.; Bakker, W.; Skidmore, A.; Addink, E.A. MERIS and the Red-Edge Position. Int. J. Appl. Earth Obs. Geoinf. 2001, 3, 313–320. [Google Scholar] [CrossRef]
- Guo, B.; Zhu, Y.; Feng, W.; He, L.; Wu, Y.; Zhou, Y.; Ren, X.; Ma, Y. Remotely Estimating Aerial N Uptake in Winter Wheat Using Red-Edge Area Index from Multi-Angular Hyperspectral Data. Front. Plant Sci. 2018, 9, 675. [Google Scholar] [CrossRef]
- Filella, I.; Penuelas, J. The Red Edge Position and Shape as Indicators of Plant Chlorophyll Content, Biomass and Hydric Status. Int. J. Remote Sens. 1994, 15, 1459–1470. [Google Scholar] [CrossRef]
- Evangelides, C.; Nobajas, A. Red-Edge Normalised Difference Vegetation Index (NDVI705) from Sentinel-2 Imagery to Assess Post-Fire Regeneration. Remote Sens. Appl. 2020, 17, 100283. [Google Scholar] [CrossRef]
- Rouse, J.W.; Haas, R.H.; Schell, J.A.; Deering, D.W. Monitoring Vegetation Systems in the Great Plains with ERTS. NASA Spec. Publ. 1974, 1, 309–317. [Google Scholar]
- Yoder, B.J.; Waring, R.H. The Normalized Difference Vegetation Index of Small Douglas-Fir Canopies with Varying Chlorophyll Concentrations. Remote Sens. Environ. 1994, 49, 81–91. [Google Scholar] [CrossRef]
- Zhang, N.; Xiong, H.; Jin, Y. Hyperspectral Estimation Models for Chlorophyll Content Based on the Measured Spectra of Safflower. Hubei Agric. Sci. 2016, 55, 5651–5658. [Google Scholar] [CrossRef]
- Gamon, J.A.; Peñuelas, J.; Field, C.B. A Narrow-Waveband Spectral Index That Tracks Diurnal Changes in Photosynthetic Efficiency. Remote Sens. Environ. 1992, 41, 35–44. [Google Scholar] [CrossRef]
- Daughtry, C.S.; Walthall, C.; Kim, M.; De Colstoun, E.B.; McMurtrey Iii, J. Estimating Corn Leaf Chlorophyll Concentration from Leaf and Canopy Reflectance. Remote Sens. Environ. 2000, 74, 229–239. [Google Scholar] [CrossRef]
- Daughtry, C.S.T.; Gallo, K.P.; Goward, S.N.; Prince, S.D.; Kustas, W.P. Spectral Estimates of Absorbed Radiation and Phytomass Production in Corn and Soybean Canopies. Remote Sens. Environ. 1992, 39, 141–152. [Google Scholar] [CrossRef]
- Jurgens, C. The Modified Normalized Difference Vegetation Index (mNDVI) a New Index to Determine Frost Damages in Agriculture Based on Landsat TM Data. Int. J. Remote Sens. 1997, 18, 3583–3594. [Google Scholar] [CrossRef]
- Huete, A.R. A Soil-Adjusted Vegetation Index (SAVI). Remote Sens. Environ. 1988, 25, 295–309. [Google Scholar] [CrossRef]
- Huete, A.R.; Liu, H.Q.; Batchily, K.; Leeuwen, W. van A Comparison of Vegetation Indices over a Global Set of TM Images for EOS-MODIS. Remote Sens. Environ. 1997, 59, 440–451. [Google Scholar] [CrossRef]
- Roujean, J.-L.; Breon, F.-M. Estimating PAR Absorbed by Vegetation from Bidirectional Reflectance Measurements. Remote Sens. Environ. 1995, 51, 375–384. [Google Scholar] [CrossRef]
- Birth, G.S.; McVey, G.R. Measuring the Color of Growing Turf with a Reflectance Spectrophotometer. Agron. J. 1968, 60, 640–643. [Google Scholar] [CrossRef]
- Ganaie, M.A.; Hu, M.; Tanveer, M.; Suganthan, P.N.; Malik, A.K. Ensemble Deep Learning: A Review. Eng. Appl. Artif. Intell. 2022, 115, 105151. [Google Scholar] [CrossRef]
- Mojaradi, B.; Abrishami-Moghaddam, H.; Valadan Zoej, M.J.; Duin, R.P.W. Dimensionality Reduction of Hyperspectral Data via Spectral Feature Extraction. IEEE Trans. Geosci. Remote Sens. 2009, 47, 2091–2105. [Google Scholar] [CrossRef]
- Yao, X.; Tian, Y.; Liu, X.; Cao, W.; Zhu, Y. Comparative Study on Monitoring Canopy Leaf Nitrogen Status on Red Edge Position with Different Algorithms in Wheat. Sci. Agric. Sin. 2010, 43, 2661–2667. [Google Scholar]
- Wang, Y.; Li, F.; Wang, W.; Chen, X.; Chang, Q. Hyper-Spectral Remote Sensing Stimation of Shoot Biomass of Winter Wheat Based on SPA and Transformation Spectra. J. Tcrop. 2020, 40, 1389–1398. [Google Scholar]
- Yang, Y.; Nan, R.; Mi, T.; Song, Y.; Shi, F.; Liu, X.; Wang, Y.; Sun, F.; Xi, Y.; Zhang, C. Rapid and Nondestructive Evaluation of Wheat Chlorophyll under Drought Stress Using Hyperspectral Imaging. Int. J. Mol. Sci. 2023, 24, 5825. [Google Scholar] [CrossRef] [PubMed]
- Cao, Y.; Xu, H.; Song, J.; Yang, Y.; Hu, X.; Wiyao, K.T.; Zhai, Z. Applying Spectral Fractal Dimension Index to Predict the SPAD Value of Rice Leaves under Bacterial Blight Disease Stress. Plant Methods 2022, 18, 67. [Google Scholar] [CrossRef]
- Zhang, A.; Li, M.; Shi, J.; Pang, H. Hyperspectral Inversion Method for Natural Grassland Canopy SPAD Value Based on Scaling Up of Green Coverage Rate. Spectrosc. Spect. Anal. 2024, 44, 3513–3523. [Google Scholar]
- Adam, E.; Mutanga, O. Spectral Discrimination of Papyrus Vegetation (Cyperus Papyrus L.) in Swamp Wetlands Using Field Spectrometry. ISPRS J. Photogramm. Remote Sens. 2009, 64, 612–620. [Google Scholar] [CrossRef]
- Fernandes, M.R.; Aguiar, F.C.; Silva, J.M.N.; Ferreira, M.T.; Pereira, J.M.C. Spectral Discrimination of Giant Reed (Arundo Donax L.): A Seasonal Study in Riparian Areas. ISPRS J. Photogramm. Remote Sens. 2013, 80, 80–90. [Google Scholar] [CrossRef]
- Ji, T.; Wang, B.; Yang, J.; Li, Q.; Liu, Z.; Guan, W.; He, G.; Pan, D.; Liu, X. Construction of Chlorophyll Hyperspectral Inverse Model of Alpine Grassland Community in Eastern Qilian Mountains. Grassl. Turf. 2021, 41, 25–33. [Google Scholar] [CrossRef]
- Amiri, R.; Beringer, J.; Isaac, P. Narrowband Spectral Indices for the Estimation of Chlorophyl along a Precipitation Gradient. In Proceedings of the 2011 3rd Workshop on Hyperspectral Image and Signal Processing: Evolution in Remote Sensing (WHISPERS), Lisbon, Portugal, 6–9 June 2011; pp. 1–4. [Google Scholar]
- Yang, H.; Hu, Y.; Zheng, Z.; Qiao, Y.; Zhang, K.; Guo, T.; Chen, J. Estimation of Potato Chlorophyll Content from UAV Multispectral Images with Stacking Ensemble Algorithm. Agronomy 2022, 12, 2318. [Google Scholar] [CrossRef]
- Chen, Z.; Zhu, Z.; Sun, S.; Wang, Q.; Su, T.; Fu, Y. Estimation of Daily Evapotranspiration and Crop Coefficient of Maize under Mulched Drip Irrigation by Stacking Ensemble Learning Model. Trans. Chin. Soc. Agric. Eng. 2021, 37, 95–104. [Google Scholar] [CrossRef]
- Padarian, J.; Minasny, B.; McBratney, A.B. Using Deep Learning to Predict Soil Properties from Regional Spectral Data. Geoderma Reg. 2019, 16, e00198. [Google Scholar] [CrossRef]
- Furbank, R.T.; Silva-Perez, V.; Evans, J.R.; Condon, A.G.; Estavillo, G.M.; He, W.; Newman, S.; Poiré, R.; Hall, A.; He, Z. Wheat Physiology Predictor: Predicting Physiological Traits in Wheat from Hyperspectral Reflectance Measurements Using Deep Learning. Plant Methods 2021, 17, 108. [Google Scholar] [CrossRef] [PubMed]
- Shi, X.; Wu, Y.; Tang, L.; Huang, X. Application of Neural Network Model with Partial Least-Square Regression in Prediction of Peak Velocity of Blasting Vibration. Shock. Vib. 2013, 32, 45–49. [Google Scholar] [CrossRef]
- Dietterich, T.G. Ensemble Methods in Machine Learning. In Multiple Classifier Systems; Springer: Berlin/Heidelberg, Germany, 2000; pp. 1–15. [Google Scholar]










| Growth Stage | Sample Set | Number | SPAD Value | Mean | Standard Deviation |
|---|---|---|---|---|---|
| Seedling stage | I | 41 | 20.4~41.4 | 34.25 | 6.588 |
| II | 17 | 22.9~42.2 | 34.65 | 5.665 | |
| Flower bud stage | I | 42 | 20.2~38.1 | 34.46 | 6.039 |
| II | 17 | 19.3~43 | 33.39 | 6.979 | |
| Early flowering stage | I | 41 | 26.6~42.5 | 36.48 | 5.578 |
| II | 17 | 27.8~45.3 | 37.72 | 4.565 | |
| Full flowering stage | I | 41 | 28.5~42.5 | 37.85 | 5.028 |
| II | 17 | 30.6~43 | 36.41 | 4.153 | |
| Withering stage | I | 40 | 35.4~45.5 | 40.15 | 4.634 |
| II | 16 | 31.6~46 | 40.7 | 4.65 | |
| Whole growth stage | I | 203 | 19.3~47.6 | 36.21 | 6.658 |
| II | 86 | 22.9~42.7 | 37.33 | 4.942 |
| Red-Edge Parameter | Definition |
|---|---|
| Red-edge position [35] | The wavelength corresponding to the maximum value of the first derivative spectrum within 680–760 nm. |
| Red-edge area (Sr) [36] | The area enclosed by the first derivative spectrum within 680–760 nm. |
| Red-edge amplitude [37] | The maximum value of the first derivative spectrum within 680–760 nm. |
| Spectral index | Calculation formula |
| Normalized Difference Vegetation Index (NDVI705) [38] | (R750 − R705)/(R750 + R705) |
| Normalized Difference Vegetation Index (NDVI) [39] | (RNIR − RRED)/(RNIR + RRED) |
| Normalized Chlorophyll Index (NCPI) [40] | (R680 − R430)/(R680 + R430) |
| Lobate Vegetation Index (LCI) [41] | (R850 − R710)/(R850 − R680) |
| Photochemical Reflectance Index (PRI) [42] | (R531 − R570)/(R531 + R570) |
| Modified Chlorophyll Absorption Reflectance Index (MCARI) [43] | [(R702 − R671)−0.2(R702 − R549)] (R702/R671) |
| Green Normalized Difference Vegetation Index (GNDVI) [44] | (R750 − R550)/(R750 + R550) |
| Modified Normalized Difference Vegetation Index (MNDVI) [45] | (R750 − R705)/(R750 + R705−2×R445) |
| Soil Adjusted Vegetation Index (SAVI) [46] | 1.5(R800 − R670)/(R800 − R670 + 0.5) |
| Enhanced Vegetation Index (EVI) [47] | [2.5(R800 − R700)]/(R800 + 6R700 − 7.5R436 + 1) |
| Difference Vegetation Index (DVI) [48] | RNIR − RRED |
| Ratio Vegetation Index (RVI) [49] | RNIR/RRED |
| Model | Parameter | Value | |||||
|---|---|---|---|---|---|---|---|
| Seedling Stage | Flower Bud Stage | Early Flowering Stage | Full Flowering Stage | Withering Stage | Whole Growth Stage | ||
| RF | n_estimators | 104 | 105 | 105 | 107 | 104 | 109 |
| Max_features | 5 | 5 | 5 | 5 | 5 | 5 | |
| Xgboost | n_estimators | 100 | 100 | 100 | 100 | 100 | 100 |
| Max_depth | 3 | 4 | 3 | 3 | 3 | 5 | |
| KNN | K-neighbours | 5 | 5 | 3 | 4 | 3 | 5 |
| LightGBM | Max_depth | 8 | 8 | 10 | 10 | 10 | 10 |
| Learning_rate | 0.3 | 0.3 | 0.3 | 0.2 | 0.1 | 0.1 | |
| RR | Alpha | 0.1 | 0.1 | 0.1 | 0.1 | 0.1 | 0.1 |
| Network Layer | Model Parameters |
|---|---|
| Input layer | Feature spectra parameter of S. chamaejasme leaves |
| Average pooling layer | Pool size =10 |
| Convolutional layer C1 | filters = 16, filter size = 5, dilation = 1, ReLu activation function |
| Convolutional layer C2 | filters = 32, filter size = 5, dilation = 2, ReLu activation function |
| Fully connected layer | Linear activation function |
| Output layer | Output prediction result |
| Growth Stage | Seedling Stage | Flower Bud Stage | Early Flowering Stage | Full Flowering Stage | Withering Stage |
|---|---|---|---|---|---|
| Wavelength range | 351~368, 381~385, 464~470, 478~479, 540~543, 560~566, 571~576, 591~596, 692~696, 722~776, 778~784, 797~804, 820~829, 834~841, 864, 876~877, 881~882, 890~892, 896~907, 909~911, 913~952, 954~985 | 351~359, 398~462, 479~549, 555~671, 676~822, 915~966, 970~989, 991~1000 | 351~395, 491~505, 546~561, 626~672, 675~701, 948~964 | 351~398, 527~543, 672, 696~879, 938~961, 978~982 | 407~461, 488~552, 574~583, 602~624, 631~675, 680~706, 862~865, 868~870, 909~912, 966~974, 976~977 |
| Wavelength Number | 140 | 447 | 120 | 225 | 186 |
| Max_r | −0.459 | −0.665 | 0.475 | 0.401 | −0.451 |
| Wavelength_ Max_r | 350 | 985 | 669 | 384 | 697 |
| Growth Stage | Wavelength/nm |
|---|---|
| Seedling stage | 751, 756, 995, 677, 479, 721, 774, 561, 639, 350, 358, 934, 951 |
| Flower bud stage | 432, 577, 618, 652, 704, 778, 954, 983, 985, 699, 643, 720, 387, 470, 924, 362 |
| Early flowering stage | 379, 554, 671, 686, 652, 627, 669, 412, 428, 395, 674, 518, 961, 465, 375 |
| Full flowering stage | 388, 539, 650, 785, 866, 979, 772, 384, 387, 744, 400, 854, 428, 449, 540, 578, 374, 519, 720 |
| Withering stage | 426, 545, 694, 774, 813, 697, 962, 574, 979, 382, 750, 605, 548 |
| Whole growth period | 916, 946, 880, 968, 820, 768, 586, 569, 695, 678, 665, 621, 982, 737, 386, 389, 373, 383, 400, 711, 551, 522, 646, 380, 394, 408, 426, 473 |
| Spectral Index | Correlation Coefficient (r) | |||||
|---|---|---|---|---|---|---|
| Seedling Stage | Flower Bud Stage | Early Flowering Stage | Full Flowering Stage | Withering Stage | Whole Growth Stage | |
| NDVI | −0.382 * | −0.332 * | −0.442 * | −0.210 * | −0.441 * | −0.423 * |
| NDVI705 | −0.427 * | −0.245 * | −0.563 * | −0.331 * | −0.562 * | −0.545 * |
| NCPI | −0.562 * | −0.367 * | −0.604 * | −0.452 * | −0.603 * | −0.666 * |
| LCI | 0.368 * | 0.489 * | 0.187 * | 0.573 * | 0.345 * | 0.444 * |
| PRI | 0.588 * | 0.512 * | 0.209 * | 0.644 * | 0.467 * | 0.567 * |
| SAVI | 0.302 | 0.634 | 0.330 | 0.232 | 0.589 | 0.600 |
| MCARI | −0.412 * | −0.156 * | −0.451 * | −0.353 * | −0.621 * | −0.468 * |
| GNDVI | 0.651 * | 0.278 * | 0.572 * | 0.474 * | 0.368 * | 0.588 * |
| MNDVI | 0.653 * | 0.390 * | 0.613 * | 0.595* | 0.480 * | 0.620 * |
| EVI | 0.611 * | 0.412 * | 0.198 * | 0.616 * | 0.511 * | 0.489 * |
| DVI | 0.568 * | 0.534 * | 0.220 * | 0.301 * | 0.632 * | 0.510 * |
| RVI | −0.391 * | −0.656 * | −0.341 * | −0.422 * | −0.399 * | −0.633 * |
| 0.609 * | 0.378 * | 0.462 * | 0.543 * | 0.410 * | 0.499 * | |
| Sr | 0.333 | 0.399 | 0.583 | 0.664 | 0.531 | 0.555 |
| −0.554 * | −0.321 * | −0.624 * | −0.320* | −0.652 * | −0.645 * | |
| Growth Stage | Stacking Ensemble Learning | 1D-CNN | ||||||
|---|---|---|---|---|---|---|---|---|
| Model Accuracy | Validation Accuracy | Model Accuracy | Validation Accuracy | |||||
| R2 | RMSE | R2 | RMSE | R2 | RMSE | R2 | RMSE | |
| Seedling stage | 0.677 | 2.905 | 0.668 | 3.031 | 0.764 | 2.334 | 0.757 | 2.476 |
| Flower bud stage | 0.755 | 3.278 | 0.748 | 3.466 | 0.792 | 3.065 | 0.787 | 3.185 |
| Early flowering stage | 0.529 | 3.353 | 0.524 | 3.573 | 0.582 | 3.875 | 0.566 | 3.905 |
| Full flowering stage | 0.497 | 5.238 | 0.494 | 5.495 | 0.574 | 2.809 | 0.548 | 2.866 |
| Withering stage | 0.494 | 5.312 | 0.490 | 5.529 | 0.521 | 5.078 | 0.516 | 5.092 |
| Whole growth stage | 0.533 | 3.028 | 0.518 | 3.902 | 0.507 | 3.386 | 0.493 | 3.614 |
Disclaimer/Publisher’s Note: The statements, opinions and data contained in all publications are solely those of the individual author(s) and contributor(s) and not of MDPI and/or the editor(s). MDPI and/or the editor(s) disclaim responsibility for any injury to people or property resulting from any ideas, methods, instructions or products referred to in the content. |
© 2025 by the authors. Licensee MDPI, Basel, Switzerland. This article is an open access article distributed under the terms and conditions of the Creative Commons Attribution (CC BY) license (https://creativecommons.org/licenses/by/4.0/).
Share and Cite
Li, X.; Liu, Y.; Wang, H.; Dong, X.; Wang, L.; Long, Y. Comparing Stacking Ensemble Learning and 1D-CNN Models for Predicting Leaf Chlorophyll Content in Stellera chamaejasme from Hyperspectral Reflectance Measurements. Agriculture 2025, 15, 288. https://doi.org/10.3390/agriculture15030288
Li X, Liu Y, Wang H, Dong X, Wang L, Long Y. Comparing Stacking Ensemble Learning and 1D-CNN Models for Predicting Leaf Chlorophyll Content in Stellera chamaejasme from Hyperspectral Reflectance Measurements. Agriculture. 2025; 15(3):288. https://doi.org/10.3390/agriculture15030288
Chicago/Turabian StyleLi, Xiaoyu, Yongmei Liu, Huaiyu Wang, Xingzhi Dong, Lei Wang, and Yongqing Long. 2025. "Comparing Stacking Ensemble Learning and 1D-CNN Models for Predicting Leaf Chlorophyll Content in Stellera chamaejasme from Hyperspectral Reflectance Measurements" Agriculture 15, no. 3: 288. https://doi.org/10.3390/agriculture15030288
APA StyleLi, X., Liu, Y., Wang, H., Dong, X., Wang, L., & Long, Y. (2025). Comparing Stacking Ensemble Learning and 1D-CNN Models for Predicting Leaf Chlorophyll Content in Stellera chamaejasme from Hyperspectral Reflectance Measurements. Agriculture, 15(3), 288. https://doi.org/10.3390/agriculture15030288

