Identifying the Garlic and Grain Mixture with the Highest Allithiamine Content
Abstract
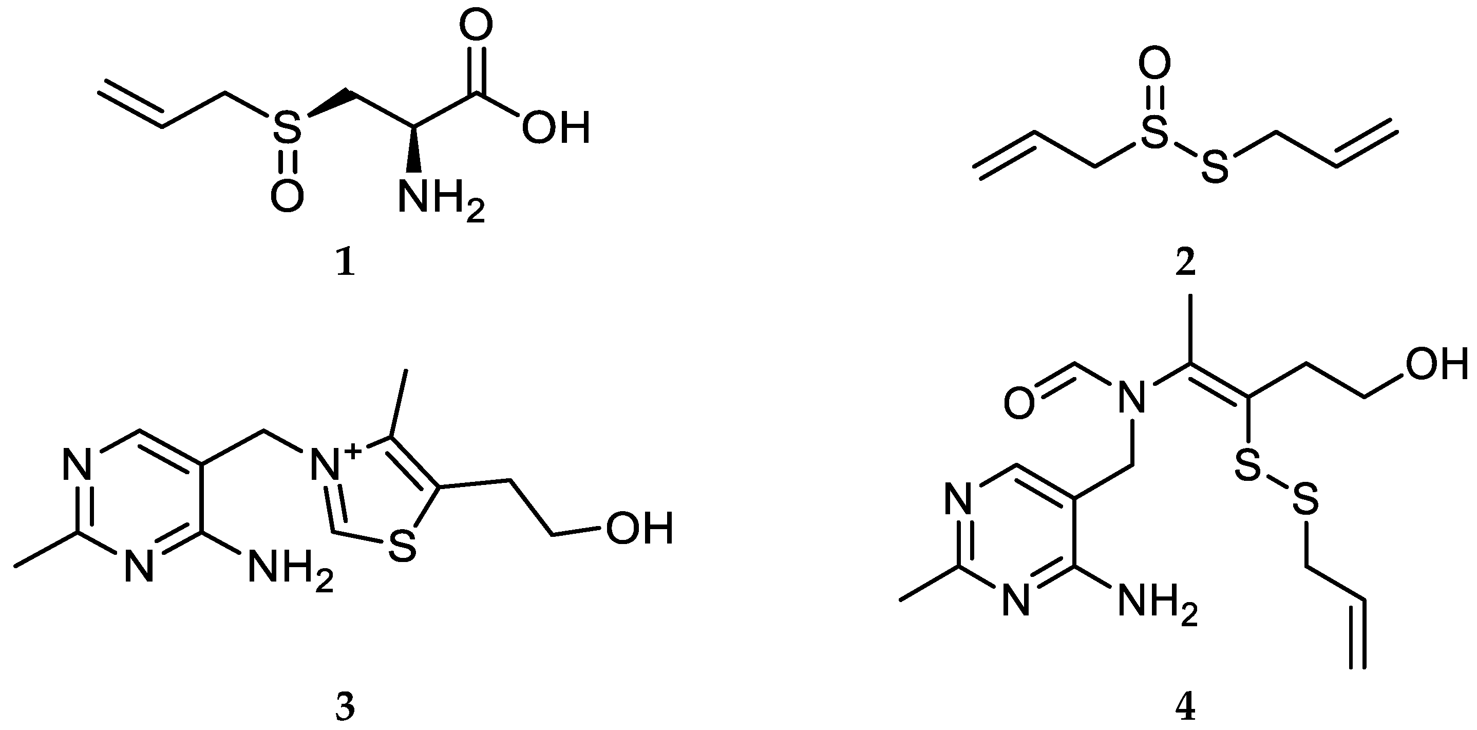
1. Introduction
2. Materials and Methods
2.1. Plant Materials
2.2. Equipment and Reagents
2.3. Grain Mixture
2.4. Preparation of Garlic Samples and Standard Solutions for HPLC Analysis of Allicin
2.5. Preparation of Garlic Samples and Standard Solutions for HPLC Analysis of Alliin, Thiamine, and Allithiamine
2.6. HPLC-UV Conditions of Allicin Analysis
2.7. HPLC-UV Conditions of Alliin, Thiamine, and Allithiamine Analysis
2.8. Calibration Curves
2.9. Statistical Analysis
3. Results
3.1. Regional Variation in Alliin and Allicin Content
3.2. Thiamine Contents of Raw Grains
3.3. Thiamine and Allithiamine Contents in Garlic and Garlic–Grain Mixtures
4. Discussion
5. Conclusions
Author Contributions
Funding
Data Availability Statement
Acknowledgments
Conflicts of Interest
References
- Vimal, V.; Devaki, T. Hepatoprotective effect of allicin on tissue defense system in galactosamine/endotoxin challenged rats. J. Ethnopharmacol. 2004, 90, 151–154. [Google Scholar] [CrossRef] [PubMed]
- Pan, Y.; Zheng, Y.M.; Ho, W.S. Effect of quercetin glucosides from Allium extracts on HepG2, PC-3 and HT-29 cancer cell lines. Oncol. Lett. 2018, 15, 4657–4661. [Google Scholar] [CrossRef] [PubMed]
- Corzo-Martínez, M.; Corzo, N.; Villamiel, M. Biological properties of onions and garlic. Trends Food Sci. Technol. 2007, 18, 609–625. [Google Scholar] [CrossRef]
- Duke, J.B. Handbook of Medicinal Herbs, 2nd ed.; CRC Press: Boca Raton, FL, USA, 2002. [Google Scholar]
- Yang, X.; Su, Y.; Wu, J.; Wan, W.; Chen, H.; Cao, X.; Wang, J.; Zhang, Z.; Wang, Y.; Ma, D.; et al. Parallel analysis of global garlic gene expression and alliin content following leaf wounding. BMC Plant Biol. 2021, 21, 174. [Google Scholar] [CrossRef]
- Batiha, G.E.S.; Beshbishy, A.M.; Wasef, L.G.; Elewa, Y.H.A.; Al-Sagan, A.A.; El-Hack, M.E.A.; Taha, A.E.; Abd-Elhakim, Y.M.; Devkota, H.P. Chemical constituents and pharmacological activities of garlic (Allium sativum L.): A review. Nutrients 2020, 12, 872. [Google Scholar] [CrossRef]
- Depeint, F.; Bruce, W.R.; Shangari, N.; Mehta, R.; O’Brien, P.J. Mitochondrial function and toxicity: Role of the B vitamin family on mitochondrial energy metabolism. Chem. Biol. Interact. 2006, 163, 94–112. [Google Scholar] [CrossRef]
- Fattal-Valevski, A. Thiamine (vitamin B1). Complement. Health Pract. Rev. 2011, 16, 12–20. [Google Scholar] [CrossRef]
- Shimon, L.J.W.; Rabinkov, A.; Shin, I.; Miron, T.; Mirelman, D.; Wilchek, M.; Frolow, F. Two structures of alliinase from Alliium sativum L.: Apo form and ternary complex with aminoacrylate reaction intermediate covalently bound to the PLP cofactor. J. Mol. Biol. 2007, 366, 611–625. [Google Scholar] [CrossRef]
- Iciek, M.; Kwiecień, I.; Włodek, L. Biological properties of garlic and garlic-derived organosulfur compounds. Environ. Mol. Mutagen. 2009, 50, 247–265. [Google Scholar] [CrossRef]
- Ţigu, A.B.; Toma, V.A.; Mot, A.C.; Jurj, A.; Moldova, C.S.; Fischer-Fodor, E.; Berindan-Neagoe, I.; Pârvu, M. The synergistic antitumor effect of 5-fluorouracil combined with allicin against lung and colorectal carcinoma cells. Molecules 2020, 25, 1947. [Google Scholar] [CrossRef]
- Rosas-González, V.C.; Téllez-Bañuelos, M.C.; Hernández-Flores, G.; Bravo-Cuellar, A.; Aguilar-Lemarroy, A.; Jave-Suárez, L.F.; Haramati, J.; Solorzano-Ibarra, F.; Ortiz-Lazareno, P.C. Differential effects of alliin and allicin on apoptosis and senescence in luminal A and triple-negative breast cancer: Caspase, ΔΨm, and pro-apoptotic gene involvement. Fundam. Clin. Pharmacol. 2020, 34, 671–686. [Google Scholar] [CrossRef] [PubMed]
- Shang, A.; Cao, S.Y.; Xu, X.Y.; Gan, R.Y.; Tang, G.Y.; Corke, H.; Mavumengwana, V.; Li, H. Bin Bioactive compounds and biological functions of garlic (Allium sativum L.). Foods 2019, 8, 246. [Google Scholar] [CrossRef] [PubMed]
- Banerjee, S.K.; Maulik, S.K. Effect of garlic on cardiovascular disorders: A review. Nutr. J. 2002, 1, 1–14. [Google Scholar] [CrossRef] [PubMed]
- Ota, A.; Ulrih, N.P. An overview of herbal products and secondary metabolites used for management of type two diabetes. Front. Pharmacol. 2017, 8, 436. [Google Scholar] [CrossRef]
- Isbilen, O.; Volkan, E. Allium Species in the Fight Against Cancer; MedDocs Publisher LLC: Reno, NV, USA, 2020. [Google Scholar]
- D’Argenio, G.; Mazzone, G.; Ribecco, M.T.; Lembo, V.; Vitaglione, P.; Guarino, M.; Morisco, F.; Napolitano, M.; Fogliano, V.; Caporaso, N. Garlic extract attenuating rat liver fibrosis by inhibiting TGF-β1. Clin. Nutr. 2013, 32, 252–258. [Google Scholar] [CrossRef]
- Pârvu, M.; Moţ, C.A.; Pârvu, A.E.; Mircea, C.; Stoeber, L.; Roşca-Casian, O.; Ţigu, A.B. Allium sativum extract chemical composition, antioxidant activity and antifungal effect against Meyerozyma guilliermondii and Rhodotorula mucilaginosa causing onychomycosis. Molecules 2019, 24, 3958. [Google Scholar] [CrossRef]
- Cui, T.; Liu, W.; Yu, C.; Ren, J.; Li, Y.; Shi, X.; Li, Q.; Zhang, J. Protective effects of allicin on acute myocardial infarction in rats via hydrogen sulfide-mediated regulation of coronary arterial vasomotor function and myocardial calcium transport. Front. Pharmacol. 2022, 12, 752244. [Google Scholar] [CrossRef]
- Fujiwara, M.; Watanabe, H.; Matsui, K. “Allithiamine”, a newly found derivative of vitamin B1: I. Discovery of allithiamine. J. Biochem. 1954, 41, 29–39. [Google Scholar] [CrossRef]
- Fujiwara, M.; Yoshimura, M.; Tsuno, S. “Allithiamine”, a newly found derivative of vitamin B1: III. On the allicin homologues in the plants of the Allium species. J. Biochem. 1955, 42, 591–601. [Google Scholar] [CrossRef]
- Lonsdale, D. Thiamine tetrahydrofurfuryl disulfide: A little known therapeutic agent. Med. Sci. Monit. 2004, 10, 199–203. [Google Scholar]
- Choi, E.J.; Jeon, C.H.; Park, D.H.; Kwon, T.H. Allithiamine exerts therapeutic effects on sepsis by modulating metabolic flux during dendritic cell activation. Mol. Cells 2020, 43, 964–973. [Google Scholar] [CrossRef] [PubMed]
- Zhou, C.; Hu, X.; Chao, C.; Li, H.; Zhang, S.; Yan, X.; Yang, F.; Li, Q. Quantitation of allicin in garlic-based products: Comparisons among spectrophotometry, GC and HPLC. Adv. J. Food Sci. Technol. 2015, 9, 269–277. [Google Scholar] [CrossRef]
- Arnault, I.; Christidès, J.P.; Mandon, N.; Haffner, T.; Kahane, R.; Auger, J. High-performance ion-pair chromatography method for simultaneous analysis of alliin, deoxyalliin, allicin and dipeptide precursors in garlic products using multiple mass spectrometry and UV detection. J. Chromatogr. A 2003, 991, 69–75. [Google Scholar] [CrossRef] [PubMed]
- Edwards, K.A.; Tu-Maung, N.; Cheng, K.; Wang, B.; Baeumner, A.J.; Kraft, C.E. Thiamine assays—Advances, challenges, and caveats. ChemistryOpen 2017, 6, 178–191. [Google Scholar] [CrossRef]
- Hrubša, M.; Siatka, T.; Nejmanová, I.; Vopršalová, M.; Krčmová, L.K.; Matoušová, K.; Javorská, L.; Macáková, K.; Mercolini, L.; Remião, F.; et al. Biological properties of vitamins of the B-complex, part 1: Vitamins B1, B2, B3, and B5. Nutrients 2022, 14, 484. [Google Scholar] [CrossRef]
- Oh, H.L.; Kim, N.Y.; Sohn, C.W.; Ryu, B.R.; Yoon, J.H.; Kim, M.R. Analyses of pungency-related factors of field and rice paddy garlic. J. Korean Soc. Food Sci. Nutr. 2012, 41, 655–660. [Google Scholar] [CrossRef]
- Sunanta, P.; Kontogiorgos, V.; Pankasemsuk, T.; Jantanasakulwong, K.; Rachtanapun, P.; Seesuriyachan, P.; Sommano, S.R. The nutritional value, bioactive availability and functional properties of garlic and its related products during processing. Front. Nutr. 2023, 10, 1142784. [Google Scholar] [CrossRef]
- Hyun, S.H.; Kim, M.B.; Lim, S. Bin Physiological activities of garlic extracts from Daejeong Jeju and major cultivating areas in Korea. J. Korean Soc. Food Sci. Nutr. 2008, 37, 1542–1547. [Google Scholar] [CrossRef][Green Version]
- Kim, J.S.; Ra, J.H.; Hyun, H.N. Correlations between soil environment and bioactive constituents of Namdo garlic harvested in the non-volcanic ash soil distributed western Jeju. Korean J. Med. Crop Sci. 2015, 23, 125–131. [Google Scholar] [CrossRef]
- Oliveira, M.M.; Cruz-Tirado, J.P.; Barbin, D.F. Nontargeted analytical methods as a powerful tool for the authentication of spices and herbs: A review. Compr. Rev. Food Sci. Food Saf. 2019, 18, 670–689. [Google Scholar] [CrossRef]
- Pacholczyk-Sienicka, B.; Modranka, J.; Ciepielowski, G. Comparative analysis of bioactive compounds in garlic owing to the cultivar and origin. Food Chem. 2024, 439, 138141. [Google Scholar] [CrossRef] [PubMed]
- Whitfield, K.C.; Smith, T.J.; Rohner, F.; Wieringa, F.T.; Green, T.J. Thiamine fortification strategies in low- and middle-income settings: A review. Ann. N. Y. Acad. Sci. 2021, 1498, 29–45. [Google Scholar] [CrossRef]
- Dohmen, R.; Milke, R. Diffusion in polycrystalline materials: Grain boundaries, mathematical models, and experimental data. Rev. Mineral. Geochem. 2010, 72, 921–970. [Google Scholar] [CrossRef]
- Polednia, J.; Dohmen, R.; Marquardt, K. Grain boundary diffusion and its relation to segregation of multiple elements in yttrium aluminum garnet. Eur. J. Mineral. 2020, 32, 675–696. [Google Scholar] [CrossRef]
- Guo, S.; Yang, X.; Fan, X.; Ding, G.; Cao, S.; Zheng, B.; Chen, R.; Yan, A. The effect of grain size on the diffusion efficiency and microstructure of sintered Nd-Fe-B magnets by Tb grain boundary diffusion. Materials 2022, 15, 4987. [Google Scholar] [CrossRef]
- El-Saadony, M.T.; Saad, A.M.; Korma, S.A.; Salem, H.M.; Abd El-Mageed, T.A.; Alkafaas, S.S.; Elsalahaty, M.I.; Elkafas, S.S.; Mosa, W.F.A.; Ahmed, A.E.; et al. Garlic bioactive substances and their therapeutic applications for improving human health: A comprehensive review. Front. Immunol. 2024, 15, 1277074. [Google Scholar] [CrossRef]
- Borlinghaus, J.; Albrecht, F.; Gruhlke, M.C.H.; Nwachukwu, I.D.; Slusarenko, A.J. Allicin: Chemistry and biological properties. Molecules 2014, 19, 12591–12618. [Google Scholar] [CrossRef]
- Müller, A.; Eller, J.; Albrecht, F.; Prochnow, P.; Kuhlmann, K.; Bandow, J.E.; Slusarenko, A.J.; Leichert, L.I.O. Allicin induces thiol stress in bacteria through S-allylmercapto modification of protein cysteines. J. Biol. Chem. 2016, 291, 11477–11490. [Google Scholar] [CrossRef]
- Rowland, F.E.; Richter, C.A.; Tillitt, D.E.; Walters, D.M. Evolutionary and ecological correlates of thiaminase in fishes. Sci. Rep. 2023, 13, 18147. [Google Scholar] [CrossRef]








| Compound | tR 1 | Calibration Equation 2 | Correlation Factor, r 2 3 |
|---|---|---|---|
| alliin (1) | 9.9 | Y = 18272.5X + 505.4 | 0.9984 |
| allicin (2) | 6.5, 8.6, 11.7, 16.6 | Y = 15481.0X + 23.2 | 1.0000 |
| thiamine (3) | 17.9 | Y = 68605.2X + 1081.1 | 0.9971 |
| allithiamine (4) | 23.5 | Y = 23923.2X + 23.2 | 1.0000 |
| Sample | Contents (mg/g) **** | |
|---|---|---|
| Alliin | Allicin | |
| Jeju garlic | 19.47 ± 0.38 b | 1.04 ± 0.01 a |
| Muan garlic | 7.48 ± 0.01 e | 0.06 ± 0.01 d |
| Namhae garlic | 17.12 ± 0.40 c | 0.28 ± 0.01 b |
| Uiseong garlic | 24.90 ± 0.30 a | 0.12 ± 0.01 c |
| Yeongcheon garlic | 14.10 ± 0.01 d | 0.26 ± 0.01 b |
| Sample | Contents (mg/g) **** | |
|---|---|---|
| Thiamine | Allithiamine | |
| A. hypogaea | ND | ND |
| A. sativa | ND | ND |
| P.vulgaris | ND | ND |
| R. nulubilis | 0.16 ± 0.01 | ND |
| Control Sample | Contents (mg/g) | |
|---|---|---|
| Thiamine | Allithiamine | |
| AHG | tr | ND |
| ASG | tr | ND |
| PVG | tr | ND |
| RNG | tr | ND |
| Jeju + thiamine | 0.97 ± 0.01 | tr |
| Sample | Contents (mg/g) **** | |
|---|---|---|
| Thiamine | Allithiamine | |
| AHTG | 21.08 ± 0.01 b | 6.37 ± 0.01 c |
| ASTG | 37.04 ± 0.01 a | 14.93 ± 0.01 a |
| PVTG | 5.54 ± 0.01 d | 2.54 ± 0.01 d |
| RNTG | 16.06 ± 0.01 c | 6.92 ± 0.01 b |
Disclaimer/Publisher’s Note: The statements, opinions and data contained in all publications are solely those of the individual author(s) and contributor(s) and not of MDPI and/or the editor(s). MDPI and/or the editor(s) disclaim responsibility for any injury to people or property resulting from any ideas, methods, instructions or products referred to in the content. |
© 2025 by the authors. Licensee MDPI, Basel, Switzerland. This article is an open access article distributed under the terms and conditions of the Creative Commons Attribution (CC BY) license (https://creativecommons.org/licenses/by/4.0/).
Share and Cite
Lee, C.-D.; Chae, J.; Kim, M.; Jang, M.; Ye, E.; Kim, J.; Lee, S. Identifying the Garlic and Grain Mixture with the Highest Allithiamine Content. Agriculture 2025, 15, 284. https://doi.org/10.3390/agriculture15030284
Lee C-D, Chae J, Kim M, Jang M, Ye E, Kim J, Lee S. Identifying the Garlic and Grain Mixture with the Highest Allithiamine Content. Agriculture. 2025; 15(3):284. https://doi.org/10.3390/agriculture15030284
Chicago/Turabian StyleLee, Chang-Dae, Jiheong Chae, Minju Kim, Minah Jang, Eunju Ye, Jungwook Kim, and Sanghyun Lee. 2025. "Identifying the Garlic and Grain Mixture with the Highest Allithiamine Content" Agriculture 15, no. 3: 284. https://doi.org/10.3390/agriculture15030284
APA StyleLee, C.-D., Chae, J., Kim, M., Jang, M., Ye, E., Kim, J., & Lee, S. (2025). Identifying the Garlic and Grain Mixture with the Highest Allithiamine Content. Agriculture, 15(3), 284. https://doi.org/10.3390/agriculture15030284

