Plant and Soil Responses to Concrete and Basalt Amendments Under Elevated CO2: Implications for Plant Growth, Enhanced Weathering and Carbon Sequestration
Abstract
1. Introduction
2. Materials and Methods
2.1. Soil and Plant Selection
| Parameter | Unit | Value |
|---|---|---|
| pH (1:2.5 H2O) 1 | – | 8.7 |
| Electrical conductivity 1 | dS·m−1 | 0.15 |
| Organic matter 1 | % | 0.77 |
| Organic carbon 1 | % | 0.45 |
| Total nitrogen 1 | % | 0.064 |
| C/N ratio 1 | – | 7.0 |
| Cation exchange capacity (CEC) 1 | cmol(+)·kg−1 | 65.3 |
| Base saturation Ca2+ | % | 70.8 |
| Base saturation Mg2+ | % | 25.3 |
| Base saturation K+ | % | 2.0 |
| Base saturation Na+ | % | 1.7 |
| Available phosphorus (Olsen) 1 | mg·kg−1 | 13.1 |
| Total carbonates 2 | %CaCO3 | 9.6 |
| Active lime 3 | %CaCO3 | 2.1 |
| Soil Texture (Bouyoucos Method) 1 | ||
| Sand | % | 47.4 |
| Silt | % | 43.5 |
| Clay | % | 9.1 |
- soil without amendment (control, C),
- soil + amendment with particles < 2 mm (<2),
- soil + amendment with particles 2–6 mm (2–6),
- soil + amendment with particles 6–15 mm (6–15).
2.2. Plant Growth
2.3. Chemical Analyses
2.4. Statistical Analysis
3. Results
3.1. Impact of Amendments and CO2 Condition on Plant Development
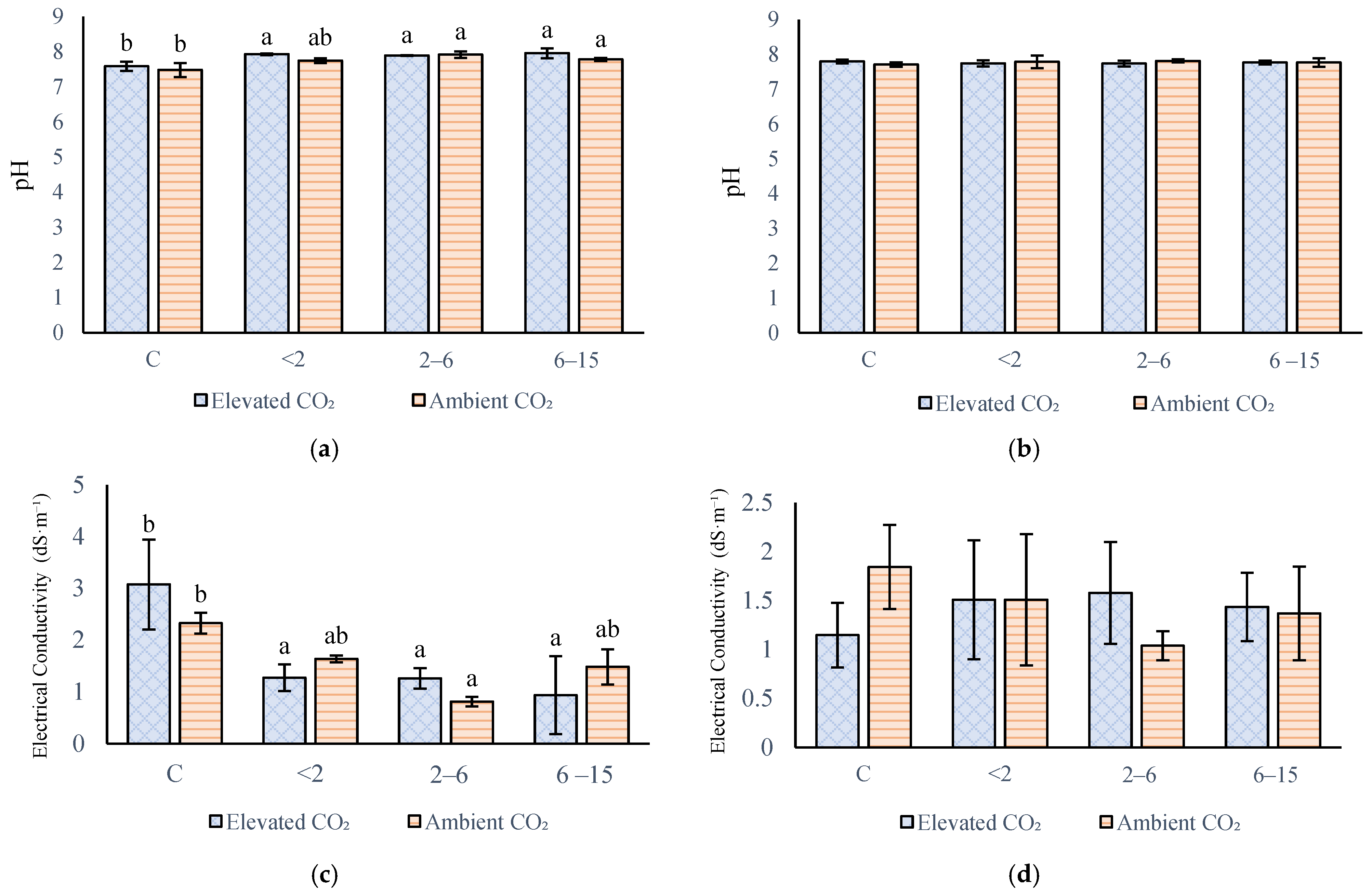
3.2. Soil Carbonate Formation and Physico-Chemical Properties
4. Discussion
4.1. Agronomic Responses Under Elevated CO2
4.2. Effects of Amendments and Particle Size
4.3. Grain Quality and Nutrient Dynamics
4.4. Soil Carbonate Formation and Physico-Chemical Responses
4.5. Limitations and Future Research Directions
5. Conclusions
Author Contributions
Funding
Data Availability Statement
Acknowledgments
Conflicts of Interest
References
- IPCC. Climate Change 2023: Synthesis Report. Contribution of Working Groups I, II and III to the Sixth Assessment Report of the Intergovernmental Panel on Climate Change; Lee, H., Romero, J., Eds.; IPCC: Geneva, Switzerland, 2023. [Google Scholar] [CrossRef]
- IPCC. Climate Change 2021: The Physical Science Basis. Contribution of Working Group I to the Sixth Assessment Report of the Intergovernmental Panel on Climate Change; Masson-Delmotte, V., Zhai, P., Pirani, A., Connors, S.L., Péan, C., Berger, S., Caud, N., Chen, Y., Goldfarb, L., Gomis, M.I., et al., Eds.; Cambridge University Press: Cambridge, UK; New York, NY, USA, 2023. [Google Scholar] [CrossRef]
- Pathak, M.; Slade, R.; Pichs-Madruga, R.; Ürge-Vorsatz, D.; Shukla, P.R.; Skea, J. Technical Summary. In Climate Change 2022: Mitigation of Climate Change. Working Group III Contribution to the Sixth Assessment Report of the Intergovernmental Panel on Climate Change; Shukla, P.R., Skea, J., Slade, R., Al Khourdajie, A., Van Diemen, R., McCollum, D., Pathak, M., Some, S., Vyas, P., Fradera, R., et al., Eds.; Cambridge University Press: Cambridge, UK; New York, NY, USA, 2022; pp. 51–148. [Google Scholar] [CrossRef]
- Schweizer, V.J.; Ebi, K.L.; Van Vuuren, D.P.; Jacoby, H.D.; Riahi, K.; Strefler, J.; Takahashi, K.; Van Ruijven, B.J.; Weyant, J.P. Integrated Climate-Change Assessment Scenarios and Carbon Dioxide Removal. One Earth 2020, 3, 166–172. [Google Scholar] [CrossRef]
- Fuhrman, J.; Bergero, C.; Weber, M.; Monteith, S.; Wang, F.M.; Clarens, A.F.; Doney, S.C.; Shobe, W.; McJeon, H. Diverse Carbon Dioxide Removal Approaches Could Reduce Impacts on the Energy–Water–Land System. Nat. Clim. Change 2023, 13, 341–350. [Google Scholar] [CrossRef]
- Ganti, G.; Gasser, T.; Bui, M.; Geden, O.; Lamb, W.F.; Minx, J.C.; Schleussner, C.-F.; Gidden, M.J. Evaluating the Near- and Long-Term Role of Carbon Dioxide Removal in Meeting Global Climate Objectives. Commun Earth Env. 2024, 5, 377. [Google Scholar] [CrossRef]
- Powis, C.M.; Smith, S.M.; Minx, J.C.; Gasser, T. Quantifying Global Carbon Dioxide Removal Deployment. Environ. Res. Lett. 2023, 18, 024022. [Google Scholar] [CrossRef]
- IPCC. Global Warming of 1.5 °C: IPCC Special Report on Impacts of Global Warming of 1.5 °C above Pre-Industrial Levels in Context of Strengthening Response to Climate Change, Sustainable Development, and Efforts to Eradicate Poverty, 1st ed.; Cambridge University Press: Cambridge, UK, 2022; ISBN 978-1-009-15794-0. [Google Scholar]
- Beerling, D.J.; Epihov, D.Z.; Kantola, I.B.; Masters, M.D.; Reershemius, T.; Planavsky, N.J.; Reinhard, C.T.; Jordan, J.S.; Thorne, S.J.; Weber, J.; et al. Enhanced Weathering in the U.S. Corn Belt Delivers Carbon Removal with Agronomic Benefits. Proc. Natl. Acad. Sci. USA 2023, 121, e2319436121. [Google Scholar] [CrossRef]
- Skov, K.; Wardman, J.; Healey, M.; McBride, A.; Bierowiec, T.; Cooper, J.; Edeh, I.; George, D.; Kelland, M.E.; Mann, J.; et al. Initial Agronomic Benefits of Enhanced Weathering Using Basalt: A Study of Spring Oat in a Temperate Climate. PLoS ONE 2024, 19, e0295031. [Google Scholar] [CrossRef] [PubMed]
- Lackner, K.S. A Guide to CO2 Sequestration. Science 2003, 300, 1677–1678. [Google Scholar] [CrossRef]
- Manning, D.A.C.; Renforth, P. Passive Sequestration of Atmospheric CO2 through Coupled Plant-Mineral Reactions in Urban Soils. Environ. Sci. Technol. 2013, 47, 135–141. [Google Scholar] [CrossRef]
- Buss, W.; Hasemer, H.; Sokol, N.W.; Rohling, E.J.; Borevitz, J. Applying Minerals to Soil to Draw down Atmospheric Carbon Dioxide through Synergistic Organic and Inorganic Pathways. Commun. Earth Environ. 2024, 5, 602. [Google Scholar] [CrossRef]
- Hartmann, J.; West, A.J.; Renforth, P.; Köhler, P.; De La Rocha, C.L.; Wolf-Gladrow, D.A.; Dürr, H.H.; Scheffran, J. Enhanced Chemical Weathering as a Geoengineering Strategy to Reduce Atmospheric Carbon Dioxide, Supply Nutrients, and Mitigate Ocean Acidification. Rev. Geophys. 2013, 51, 113–149. [Google Scholar] [CrossRef]
- Haque, F.; Santos, R.M.; Dutta, A.; Thimmanagari, M.; Chiang, Y.W. Co-Benefits of Wollastonite Weathering in Agriculture: CO2 Sequestration and Promoted Plant Growth. ACS Omega 2019, 4, 1425–1433. [Google Scholar] [CrossRef]
- Multer Hopkins, B.; Lal, R.; Lyons, W.B.; Welch, S.A. Carbon Capture Potential and Environmental Impact of Concrete Weathering in Soil. Sci. Total Environ. 2024, 957, 177692. [Google Scholar] [CrossRef]
- Rijnders, J.; Vienne, A.; Vicca, S. Effects of Basalt, Concrete Fines, and Steel Slag on Maize Growth and Toxic Trace Element Accumulation in an Enhanced Weathering Experiment. Biogeosciences 2025, 22, 2803–2829. [Google Scholar] [CrossRef]
- Xu, T.; Li, H.; Vicca, S.; Goll, D.S.; Beerling, D.J.; Chen, Q.; Bi, B.; Yang, Z.; Wang, X.; Yuan, Z. Enhanced Rock Weathering Promotes Soil Organic Carbon Accumulation: A Global Meta-Analysis Based on Experimental Evidence. Glob. Change Biol. 2025, 31, e70483. [Google Scholar] [CrossRef] [PubMed]
- Griscom, B.W.; Adams, J.; Ellis, P.W.; Houghton, R.A.; Lomax, G.; Miteva, D.A.; Schlesinger, W.H.; Shoch, D.; Siikamäki, J.V.; Smith, P.; et al. Natural Climate Solutions. Proc. Natl. Acad. Sci. USA 2017, 114, 11645–11650. [Google Scholar] [CrossRef]
- Lewis, A.L.; Sarkar, B.; Wade, P.; Kemp, S.J.; Hodson, M.E.; Taylor, L.L.; Yeong, K.L.; Davies, K.; Nelson, P.N.; Bird, M.I.; et al. Effects of Mineralogy, Chemistry and Physical Properties of Basalts on Carbon Capture Potential and Plant-Nutrient Element Release via Enhanced Weathering. Appl. Geochem. 2021, 132, 105023. [Google Scholar] [CrossRef]
- Kelland, M.E.; Wade, P.W.; Lewis, A.L.; Taylor, L.L.; Sarkar, B.; Andrews, M.G.; Lomas, M.R.; Cotton, T.E.A.; Kemp, S.J.; James, R.H.; et al. Increased Yield and CO2 Sequestration Potential with the C4 Cereal Sorghum Bicolor Cultivated in Basaltic Rock Dust-amended Agricultural Soil. Glob. Change Biol. 2020, 26, 3658–3676. [Google Scholar] [CrossRef] [PubMed]
- Vienne, A.; Poblador, S.; Portillo-Estrada, M.; Hartmann, J.; Ijiehon, S.; Wade, P.; Vicca, S. Enhanced Weathering Using Basalt Rock Powder: Carbon Sequestration, Co-Benefits and Risks in a Mesocosm Study With Solanum Tuberosum. Front. Clim. 2022, 4, 869456. [Google Scholar] [CrossRef]
- McDermott, F.; Bryson, M.; Magee, R.; Van Acken, D. Enhanced Weathering for CO2 Removal Using Carbonate-Rich Crushed Returned Concrete; a Pilot Study from SE Ireland. Appl. Geochem. 2024, 169, 106056. [Google Scholar] [CrossRef]
- Knapp, W.J.; Tipper, E.T. The Efficacy of Enhancing Carbonate Weathering for Carbon Dioxide Sequestration. Front. Clim. 2022, 4. [Google Scholar] [CrossRef]
- Finlay, R.D.; Mahmood, S.; Rosenstock, N.; Bolou-Bi, E.B.; Köhler, S.J.; Fahad, Z.; Rosling, A.; Wallander, H.; Belyazid, S.; Bishop, K.; et al. Reviews and Syntheses: Biological Weathering and Its Consequences at Different Spatial Levels—From Nanoscale to Global Scale. Biogeosciences 2020, 17, 1507–1533. [Google Scholar] [CrossRef]
- Hinsinger, P.; Fernandes Barros, O.N.; Benedetti, M.F.; Noack, Y.; Callot, G. Plant-Induced Weathering of a Basaltic Rock: Experimental Evidence. Geochim. Cosmochim. Acta 2001, 65, 137–152. [Google Scholar] [CrossRef]
- Lopez, B.R.; Bacilio, M. Weathering and Soil Formation in Hot, Dry Environments Mediated by Plant–Microbe Interactions. Biol Fertil Soils 2020, 56, 447–459. [Google Scholar] [CrossRef]
- Alexandre, A.; Meunier, J.-D.; Colin, F.; Koud, J.-M. Plant Impact on the Biogeochemical Cycle of Silicon and Related Weathering Processes. Geochim. Cosmochim. Acta 1997, 61, 677–682. [Google Scholar] [CrossRef]
- Porder, S. How Plants Enhance Weathering and How Weathering Is Important to Plants. Elements 2019, 15, 241–246. [Google Scholar] [CrossRef]
- Uhlig, D.; Schuessler, J.A.; Bouchez, J.; Dixon, J.L.; Von Blanckenburg, F. Quantifying Nutrient Uptake as Driver of Rock Weathering in Forest Ecosystems by Magnesium Stable Isotopes. Biogeosciences 2017, 14, 3111–3128. [Google Scholar] [CrossRef]
- Moulton, K.L. Solute Flux and Mineral Mass Balance Approaches to the Quantification of Plant Effects on Silicate Weathering. Am. J. Sci. 2000, 300, 539–570. [Google Scholar] [CrossRef]
- Wen, H.; Sullivan, P.L.; Macpherson, G.L.; Billings, S.A.; Li, L. Deepening Roots Can Enhance Carbonate Weathering by Amplifying CO2-Rich Recharge. Biogeosciences 2021, 18, 55–75. [Google Scholar] [CrossRef]
- Druhan, J.L.; Bouchez, J. Ecological Regulation of Chemical Weathering Recorded in Rivers. Earth Planet. Sci. Lett. 2024, 641, 118800. [Google Scholar] [CrossRef]
- Moulton, K.L.; Berner, R.A. Quantification of the Effect of Plants on Weathering: Studies in Iceland. Geology 1998, 26, 895–898. [Google Scholar] [CrossRef]
- Andrews, J.A.; Schlesinger, W.H. Soil CO2 Dynamics, Acidification, and Chemical Weathering in a Temperate Forest with Experimental CO2 Enrichment. Glob. Biogeochem. Cycles 2001, 15, 149–162. [Google Scholar] [CrossRef]
- Gonzalez-Meler, M.A.; Poghosyan, A.; Sanchez-de Leon, Y.; Dias De Olivera, E.; Norby, R.J.; Sturchio, N.C. Does Elevated Atmospheric CO2 Affect Soil Carbon Burial and Soil Weathering in a Forest Ecosystem? PeerJ 2018, 6, e5356. [Google Scholar] [CrossRef] [PubMed]
- Morra, B.; Olsen, A.A. Effect of Common Bean (Phaseolus vulgaris) on Apatite Weathering under Elevated CO2. Chem. Geol. 2020, 558, 119887. [Google Scholar] [CrossRef]
- Williams, E.L.; Walter, L.M.; Ku, T.C.W.; Kling, G.W.; Zak, D.R. Effects of CO2 and Nutrient Availability on Mineral Weathering in Controlled Tree Growth Experiments. Glob. Biogeochem. Cycles 2003, 17, 2002GB001925. [Google Scholar] [CrossRef]
- Ferdush, J.; Paul, V. A Review on the Possible Factors Influencing Soil Inorganic Carbon under Elevated CO2. CATENA 2021, 204, 105434. [Google Scholar] [CrossRef]
- Liu, J.; Xu, Z.; Zhang, D.; Zhou, G.; Deng, Q.; Duan, H.; Zhao, L.; Wang, C. Effects of Carbon Dioxide Enrichment and Nitrogen Addition on Inorganic Carbon Leaching in Subtropical Model Forest Ecosystems. Ecosystems 2011, 14, 683–697. [Google Scholar] [CrossRef]
- Oh, N.; Hofmockel, M.; Lavine, M.L.; Richter, D.D. Did Elevated Atmospheric CO2 Alter Soil Mineral Weathering?: An Analysis of 5-year Soil Water Chemistry Data at Duke FACE Study. Glob. Change Biol. 2007, 13, 2626–2641. [Google Scholar] [CrossRef]
- Beerling, D.J.; Kantzas, E.P.; Lomas, M.R.; Wade, P.; Eufrasio, R.M.; Renforth, P.; Sarkar, B.; Andrews, M.G.; James, R.H.; Pearce, C.R.; et al. Potential for Large-Scale CO2 Removal via Enhanced Rock Weathering with Croplands. Nature 2020, 583, 242–248. [Google Scholar] [CrossRef]
- Levy, C.R.; Almaraz, M.; Beerling, D.J.; Raymond, P.; Reinhard, C.T.; Suhrhoff, T.J.; Taylor, L. Enhanced Rock Weathering for Carbon Removal–Monitoring and Mitigating Potential Environmental Impacts on Agricultural Land. Environ. Sci. Technol. 2024, 58, 17215–17226. [Google Scholar] [CrossRef]
- Swoboda, P.; Döring, T.F.; Hamer, M. Remineralizing Soils? The Agricultural Usage of Silicate Rock Powders: A Review. Sci. Total Environ. 2022, 807, 150976. [Google Scholar] [CrossRef]
- Tejada, M.; Gonzalez, J.L. Application of Different Organic Wastes on Soil Properties and Wheat Yield. Agron. J. 2007, 99, 1597–1606. [Google Scholar] [CrossRef]
- Abbas, A.; Naveed, M.; Shehzad Khan, K.; Ashraf, M.; Siddiqui, M.H.; Abbas, N.; Mustafa, A.; Ali, L. The Efficacy of Organic Amendments on Maize Productivity, Soil Properties and Active Fractions of Soil Carbon in Organic-Matter Deficient Soil. Span. J. Soil Sci. 2024, 14, 12814. [Google Scholar] [CrossRef]
- Ministerio de Agricultura, Pesca y Alimentación. Métodos Oficiales de Análisis; Ministerio de Agricultura, Pesca y Alimentación: Madrid, España, 1994. [Google Scholar]
- Holden, F.J.; Davies, K.; Bird, M.I.; Hume, R.; Green, H.; Beerling, D.J.; Nelson, P.N. In-Field Carbon Dioxide Removal via Weathering of Crushed Basalt Applied to Acidic Tropical Agricultural Soil. Sci. Total Environ. 2024, 955, 176568. [Google Scholar] [CrossRef]
- Burke, T.M.; Kamber, B.S.; Rowlings, D. Microscopic Investigation of Incipient Basalt Breakdown in Soils: Implications for Selecting Products for Enhanced Rock Weathering. Front. Clim. 2025, 7, 1572341. [Google Scholar] [CrossRef]
- Bonneville, S.; Linchamps, D.; Machado, D.F.; Wuillem, S.; Platiaux, L.; Demuynck, G.; Drouet, T. Field Evaluation of Olivine-Enhanced Weathering: Assessing the Impact of Grain Size and Mycorrhization in Belgian Croplands. In Proceedings of the GOLDSCHMIDT, Prague, Czech Republic, 7 July 2025. [Google Scholar]
- AOAC International. Official Methods of Analysis, 18th ed.; 3rd revision; AOAC International: Gaithersburg, MD, USA, 2010. [Google Scholar]
- Food and Agriculture Organization of the United Nations. Standard Operating Procedure for Soil Calcium Carbonate Equivalent. Titrimetric Method; Food and Agriculture Organization of the United Nations: Roma, Italy, 2020. [Google Scholar]
- Juarros-Basterretxea, J.; Aonso-Diego, G.; Postigo, Á.; Montes-Álvarez, P.; Menéndez-Aller, Á.; García-Cueto, E. Post-Hoc Tests in One-Way ANOVA: The Case for Normal Distribution. Methodology 2024, 20, 84–99. [Google Scholar] [CrossRef]
- Ainsworth, E.A.; Long, S.P. 30 Years of Free-air Carbon Dioxide Enrichment (FACE): What Have We Learned about Future Crop Productivity and Its Potential for Adaptation? Glob. Change Biol. 2021, 27, 27–49. [Google Scholar] [CrossRef] [PubMed]
- Saha, S.; Das, B.; Chatterjee, D.; Sehgal, V.K.; Chakraborty, D.; Pal, M. Crop Growth Responses Towards Elevated Atmospheric CO2. In Plant Ecophysiology and Adaptation Under Climate Change: Mechanisms and Perspectives I; Hasanuzzaman, M., Ed.; Springer: Singapore, 2020; pp. 147–198. ISBN 978-981-15-2155-3. [Google Scholar]
- Jayawardena, D.M.; Heckathorn, S.A.; Boldt, J.K. A Meta-Analysis of the Combined Effects of Elevated Carbon Dioxide and Chronic Warming on Plant %N, Protein Content and N-Uptake Rate. AoB PLANTS 2021, 13, plab031. [Google Scholar] [CrossRef] [PubMed]
- Taub, D.R.; Miller, B.; Allen, H. Effects of Elevated CO2 on the Protein Concentration of Food Crops: A Meta-analysis. Glob. Change Biol. 2008, 14, 565–575. [Google Scholar] [CrossRef]
- Attavanich, W.; McCarl, B.A. How Is CO2 Affecting Yields and Technological Progress? A Statistical Analysis. Clim. Change 2014, 124, 747–762. [Google Scholar] [CrossRef]
- Khan, P.; Aziz, T.; Jan, R.; Kim, K.-M. Effects of Elevated CO2 on Maize Physiological and Biochemical Processes. Agronomy 2025, 15, 202. [Google Scholar] [CrossRef]
- Leakey, A.D.B.; Ainsworth, E.A.; Bernacchi, C.J.; Rogers, A.; Long, S.P.; Ort, D.R. Elevated CO2 Effects on Plant Carbon, Nitrogen, and Water Relations: Six Important Lessons from FACE. J. Exp. Bot. 2009, 60, 2859–2876. [Google Scholar] [CrossRef]
- Kimball, B.A. Crop Responses to Elevated CO2 and Interactions with H2O, N, and Temperature. Curr. Opin. Plant Biol. 2016, 31, 36–43. [Google Scholar] [CrossRef] [PubMed]
- Li, R.; Zeng, Y.; Xu, J.; Wang, Q.; Wu, F.; Cao, M.; Lan, H.; Liu, Y.; Lu, Y. Genetic Variation for Maize Root Architecture in Response to Drought Stress at the Seedling Stage. Breed. Sci. 2015, 65, 298–307. [Google Scholar] [CrossRef]
- Srinivasarao, C.; Kundu, S.; Shanker, A.K.; Naik, R.P.; Vanaja, M.; Venkanna, K.; Maruthi Sankar, G.R.; Rao, V.U.M. Continuous Cropping under Elevated CO2: Differential Effects on C4 and C3 Crops, Soil Properties and Carbon Dynamics in Semi-Arid Alfisols. Agric. Ecosyst. Environ. 2016, 218, 73–86. [Google Scholar] [CrossRef]
- Emilsson, T. Vegetation Development on Extensive Vegetated Green Roofs: Influence of Substrate Composition, Establishment Method and Species Mix. Ecol. Eng. 2008, 33, 265–277. [Google Scholar] [CrossRef]
- Olszewski, M.W.; Holmes, M.H.; Young, C.A. Assessment of Physical Properties and Stonecrop Growth in Green Roof Substrates Amended with Compost and Hydrogel. HortTechnology 2010, 20, 438–444. [Google Scholar] [CrossRef]
- Olszewski, M.W.; Young, C.A. Physical and Chemical Properties of Green Roof Media and Their Effect on Plant Establishment. J. Environ. Hortic. 2011, 29, 81–86. [Google Scholar] [CrossRef]
- Jiang, N.; Zou, W.; Lu, Y.; Liao, Z.; Wu, L. Using Recycled Construction Waste Materials with Varying Components and Particle Sizes for Extensive Green Roof Substrates: Assessment of Its Effects on Vegetation Development. Sustainability 2024, 16, 414. [Google Scholar] [CrossRef]
- Graceson, A.; Hare, M.; Monaghan, J.; Hall, N. The Water Retention Capabilities of Growing Media for Green Roofs. Ecol. Eng. 2013, 61, 328–334. [Google Scholar] [CrossRef]
- Young, T.; Cameron, D.D.; Sorrill, J.; Edwards, T.; Phoenix, G.K. Importance of Different Components of Green Roof Substrate on Plant Growth and Physiological Performance. Urban For. Urban Green. 2014, 13, 507–516. [Google Scholar] [CrossRef]
- Vanhees, D.J.; Loades, K.W.; Bengough, A.G.; Mooney, S.J.; Lynch, J.P. Root Anatomical Traits Contribute to Deeper Rooting of Maize under Compacted Field Conditions. J. Exp. Bot. 2020, 71, 4243–4257. [Google Scholar] [CrossRef]
- Śróbka, J.; Potocka, I.; Karczewski, J.; Szymanowska-Pułka, J. Sensitivity and Strength of Maize Roots Facing Different Physical Conditions of the Growth Medium. Acta Soc. Bot. Pol. 2024, 93, 1–15. [Google Scholar] [CrossRef]
- Anselmucci, F.; Andò, E.; Viggiani, G.; Lenoir, N.; Arson, C.; Sibille, L. Imaging Local Soil Kinematics during the First Days of Maize Root Growth in Sand. Sci. Rep. 2021, 11, 22262. [Google Scholar] [CrossRef]
- Myers, S.S.; Zanobetti, A.; Kloog, I.; Huybers, P.; Leakey, A.D.B.; Bloom, A.J.; Carlisle, E.; Dietterich, L.H.; Fitzgerald, G.; Hasegawa, T.; et al. Increasing CO2 Threatens Human Nutrition. Nature 2014, 510, 139–142. [Google Scholar] [CrossRef] [PubMed]
- Jobe, T.O.; Rahimzadeh Karvansara, P.; Zenzen, I.; Kopriva, S. Ensuring Nutritious Food Under Elevated CO2 Conditions: A Case for Improved C4 Crops. Front. Plant Sci. 2020, 11, 1267. [Google Scholar] [CrossRef] [PubMed]
- Ujiie, K.; Ishimaru, K.; Hirotsu, N.; Nagasaka, S.; Miyakoshi, Y.; Ota, M.; Tokida, T.; Sakai, H.; Usui, Y.; Ono, K.; et al. How Elevated CO2 Affects Our Nutrition in Rice, and How We Can Deal with It. PLoS ONE 2019, 14, e0212840. [Google Scholar] [CrossRef]
- Ho, H.-J.; Iizuka, A.; Shibata, E. Chemical Recycling and Use of Various Types of Concrete Waste: A Review. J. Clean. Prod. 2021, 284, 124785. [Google Scholar] [CrossRef]
- Poon, C.S.; Shen, P.; Jiang, Y.; Ma, Z.; Xuan, D. Total Recycling of Concrete Waste Using Accelerated Carbonation: A Review. Cem. Concr. Res. 2023, 173, 107284. [Google Scholar] [CrossRef]
- Bargrizan, S.; Smernik, R.J.; Mosley, L.M. Constraining the Carbonate System in Soils via Testing the Internal Consistency of pH, pCO2 and Alkalinity Measurements. Geochem. Trans. 2020, 21, 4. [Google Scholar] [CrossRef] [PubMed]
- Romero-Mujalli, G.; Hartmann, J.; Börker, J.; Gaillardet, J.; Calmels, D. Ecosystem Controlled Soil-Rock pCO2 and Carbonate Weathering—Constraints by Temperature and Soil Water Content. Chem. Geol. 2019, 527, 118634. [Google Scholar] [CrossRef]
- Zamanian, K.; Pustovoytov, K.; Kuzyakov, Y. Pedogenic Carbonates: Forms and Formation Processes. Earth-Sci. Rev. 2016, 157, 1–17. [Google Scholar] [CrossRef]
- Martins, S. Size–Energy Relationship in Comminution, Incorporating Scaling Laws and Heat. Int. J. Miner. Process. 2016, 153, 29–43. [Google Scholar] [CrossRef]
- Li, Z.; Planavsky, N.J.; Reinhard, C.T. Geospatial Assessment of the Cost and Energy Demand of Feedstock Grinding for Enhanced Rock Weathering in the Coterminous United States. Front. Clim. 2024, 6, 1380651. [Google Scholar] [CrossRef]
- Rinder, T.; Von Hagke, C. The Influence of Particle Size on the Potential of Enhanced Basalt Weathering for Carbon Dioxide Removal—Insights from a Regional Assessment. J. Clean. Prod. 2021, 315, 128178. [Google Scholar] [CrossRef]
- Conyers, M.K.; Scott, B.J.; Whitten, M.G. The Reaction Rate and Residual Value of Particle Size Fractions of Limestone in Southern New South Wales. Crop Pasture Sci. 2020, 71, 368. [Google Scholar] [CrossRef]
- Batool, M.; Cihacek, L.J.; Alghamdi, R.S. Soil Inorganic Carbon Formation and the Sequestration of Secondary Carbonates in Global Carbon Pools: A Review. Soil Syst. 2024, 8, 15. [Google Scholar] [CrossRef]
- Dupla, X.; Claustre, R.; Bonvin, E.; Graf, I.; Le Bayon, R.-C.; Grand, S. Let the Dust Settle: Impact of Enhanced Rock Weathering on Soil Biological, Physical, and Geochemical Fertility. Sci. Total Environ. 2024, 954, 176297. [Google Scholar] [CrossRef] [PubMed]





| Recycled Concrete | Basalt | ||
|---|---|---|---|
| Element | % | Element | % |
| SiO2 | 52.18 | SiO2 | 42.60 |
| CaO | 24.27 | Al2O3 | 14.18 |
| Al2O3 | 8.23 | CaO | 10.39 |
| Fe2O3 | 3.14 | MgO | 8.79 |
| MgO | 2.13 | FeO | 6.40 |
| K2O | 1.07 | Fe2O3 | 5.00 |
| Na2O | 0.47 | Na2O | 3.80 |
| SO3 | 0.63 | TiO2 | 2.80 |
| TiO2 | 0.52 | K2O | 0.96 |
| MnO | 0.19 | ||
| P2O5 | 0.19 | ||
| Species | Treatment | Description | Replicates |
|---|---|---|---|
| Triticum durum | C (elevated CO2) | Substrate + T. durum + CO2 (elevated) | r1, r2, r3 |
| C (ambient CO2) | Substrate + T. durum + CO2 (ambient) | r1, r2, r3 | |
| <2 mm (elevated CO2) | Substrate + T. durum + Concrete (<2 mm) + CO2 (elevated) | r1, r2, r3 | |
| <2 mm (ambient CO2) | Substrate + T. durum + Concrete (<2 mm) + CO2 (ambient) | r1, r2, r3 | |
| 2–6 mm (elevated CO2) | Substrate + T. durum + Concrete (2–6 mm) + CO2 (elevated) | r1, r2, r3 | |
| 2–6 mm (ambient CO2) | Substrate + T. durum + Concrete (2–6 mm) + CO2 (ambient) | r1, r2, r3 | |
| 6–15 mm (elevated CO2) | Substrate + T. durum + Concrete (6–15 mm) + CO2 (elevated) | r1, r2, r3 | |
| 6–15 mm (ambient CO2) | Substrate + T. durum + Concrete (6–15 mm) + CO2 (ambient) | r1, r2, r3 | |
| Zea mays | C (elevated CO2) | Substrate + Z. mays + CO2 (elevated) | r1, r2, r3, r4 |
| C (ambient CO2) | Substrate + Z. mays + CO2 (ambient) | r1, r2, r3, r4 | |
| <2 mm (elevated CO2) | Substrate + Z. mays + Basalt (<2 mm) + CO2 (elevated) | r1, r2, r3, r4 | |
| <2 mm (ambient CO2) | Substrate + Z. mays + Basalt (<2 mm) + CO2 (ambient) | r1, r2, r3, r4 | |
| 2–6 mm (elevated CO2) | Substrate + Z. mays + Basalt (2–6 mm) + CO2 (elevated) | r1, r2, r3, r4 | |
| 2–6 mm (ambient CO2) | Substrate + Z. mays + Basalt (2–6 mm) + CO2 (ambient) | r1, r2, r3, r4 | |
| 6–15 mm (elevated CO2) | Substrate + Z. mays + Basalt (6–15 mm) + CO2 (elevated) | r1, r2, r3, r4 | |
| 6–15 mm (ambient CO2) | Substrate + Z. mays + Basalt (6–15 mm) + CO2 (ambient) | r1, r2, r3, r4 |
| Variable | Species | Chamber | C | <2 | 2–6 | 6–15 |
|---|---|---|---|---|---|---|
| Plant height (cm) | T. durum | Enriched | 56.67 ± 1.89 a | 55.67 ± 1.69 a | 57.23 ± 0.32 a | 46.33 ± 2.57 b |
| Ambient | 68.03 ± 2.0 a | 72.13 ± 1.59 a | 66.87 ± 5.59 a | 58.5 ± 3.91 b | ||
| Z. mays | Enriched | 142.63 ± 10.54 | 137.70 ± 10.94 | 134.00 ± 12.33 | 144.18 ± 7.31 | |
| Ambient | 178.20 ± 11.73 | 190.10 ± 8.60 | 190.00 ± 6.94 | 172.20 ± 4.33 | ||
| Aboveground biomass (g) | T. durum | Enriched | 29.57 ± 4.03 | 26.73 ± 1.1 | 30.53 ± 3.52 | 22.53 ± 7.51 |
| Ambient | 19.07 ± 3.4 | 21.33 ± 3.05 | 22.27 ± 3.72 | 14.03 ± 2.15 | ||
| Z. mays | Enriched | 22.57 ± 5.24 | 22.98 ± 5.76 | 20.57 ± 3.12 | 26.00 ± 4.82 | |
| Ambient | 22.43 ± 4.27 | 21.45 ± 3.90 | 21.37 ± 0.74 | 24.20 ± 4,33 | ||
| Grain husk (g)/Corncob (g) | T. durum | Enriched | 8.23 ± 1.71 ab | 9.87 ± 1.25 a | 9.53 ± 0.81 a | 5.67 ± 2.19 b |
| Ambient | 3.1 ± 0.0 | 3.67 ± 0.35 | 3.23 ± 0.64 | 1.73 ± 1.25 | ||
| Z. mays | Enriched | 4.37 ± 1.78 | 9.58 ± 5.60 | 4.23 ± 0.72 | 5.90 ± 0.50 | |
| Ambient | 5.57 ± 1.22 | 3.18 ± 2.64 | 4.66 ± 4.23 | 1.88 ± 0.87 | ||
| Grain (g) | T. durum | Enriched | 6.83 ± 2.63 ab | 9.0 ± 1.22 a | 7.67 ± 1.08 a | 3.0 ± 1.83 b |
| Ambient | 8.93 ± 1.01 a | 8.3 ± 0.46 a | 10.57 ± 1.81 a | 3.1 ± 1.61 b | ||
| Z. mays | Enriched | 0.73 ± 1.47 | 4.69 ± 6.99 | 0.15 ± 0.17 | 0.11 ± 0.22 | |
| Ambient | 0.20 ± 0.40 | 0.00 ± 0.00 | 3.28 ± 3.85 | 0.35 ± 0.42 | ||
| Roots (g) | T. durum | Enriched | 0.57 ± 0.31 | 0.83 ± 0.15 | 1.07 ± 0.38 | 0.8 ± 0.35 |
| Ambient | 0.2 ± 0.0 | 0.43 ± 0.12 | 0.57 ± 0.15 | 0.4 ± 0.2 | ||
| Z. mays | Enriched | 17.23 ± 3.65 | 17.53 ± 6.31 | 15.45 ± 2.30 | 22.45 ± 4.80 | |
| Ambient | 7.28 ± 1.56 | 5.75 ± 1.32 | 5.83 ± 1.81 | 6.55 ± 0.70 | ||
| Total biomass (g) | T. durum | Enriched | 45.2 ± 7.67 ab | 46.43 ± 0.91 ab | 48.8 ± 4.56 a | 32.0 ± 10.5 b |
| Ambient | 31.3 ± 4.36 ab | 33.73 ± 3.43 ab | 36.63 ± 6.01 a | 19.27 ± 4.58 b | ||
| Z. mays | Enriched | 44.91 ± 10.44 | 54.76 ± 15.16 | 40.40 ± 4.73 | 54.46 ± 9.65 | |
| Ambient | 35.66 ± 5.05 | 30.27 ± 3.09 | 35.14 ± 2.26 | 32.98 ± 3.63 |
| Variable | Species | Chamber | C | <2 | 2–6 | 6–15 |
|---|---|---|---|---|---|---|
| Harvest Index (HI) | T. durum | Enriched | 0.15 ± 0.04 ab | 0.19 ± 0.03 a | 0.16 ± 0.02 ab | 0.09 ± 0.04 b |
| Ambient | 0.29 ± 0.01 a | 0.25 ± 0.02 a | 0.29 ± 0.01 a | 0.15 ± 0.06 b | ||
| Z. mays | Enriched | 0.01 ± 0.02 | 0.08 ± 0.10 | 0.00 ± 0.00 | 0.00 ± 0.00 | |
| Ambient | 0.00 ± 0.01 | 0.00 ± 0.00 | 0.08 ± 0.09 | 0.01 ± 0.01 | ||
| Root-to-shoot ratio | T. durum | Enriched | 0.02 ± 0.01 | 0.03 ± 0.01 | 0.03 ± 0.01 | 0.04 ± 0.02 |
| Ambient | 0.01 ± 0.00 | 0.02 ± 0.01 | 0.03 ± 0.01 | 0.03 ± 0.01 | ||
| Z. mays | Enriched | 0.78 ± 0.18 | 0.75 ± 0.15 | 0.75 ± 0.01 | 0.86 ± 0.09 | |
| Ambient | 0.33 ± 0.06 | 0.28 ± 0.08 | 0.27 ± 0.07 | 0.28 ± 0.08 |
| Variable | Species | Chamber | C | <2 | 2–6 | 6–15 |
|---|---|---|---|---|---|---|
| Carbonate increase (%) | T. durum | Enriched | −0.25 ± 0.47 a | 1.24 ± 1.80 a | 0.40 ± 1.96 a | 4.63 ± 1.03 b |
| Ambient | 0.76 ± 0.61 | 1.52 ± 0.72 | 1.02 ± 0.28 | 1.21 ± 0.72 | ||
| Z. mays | Enriched | −0.30 ± 1.39 | 0.22 ± 0.48 | 0.99 ± 0.87 | 1.82 ± 1.39 | |
| Ambient | 0.27 ± 0.30 a | −2.55 ± 0.25 b | 0.85 ± 1.91 a | 0.29 ± 1.25 a | ||
| pH | T. durum | Enriched | 7.59 ± 0.13 b | 7.93 ± 0.026 a | 7.89 ± 0.011 a | 7.96 ± 0.14 a |
| Ambient | 7.48 ± 0.20 b | 7.75 ± 0.066 ab | 7.92 ± 0.092 a | 7.78 ± 0.045 a | ||
| Z. mays | Enriched | 7.80 ± 0.054 | 7.75 ± 0.086 | 7.74 ± 0.085 | 7.77 ± 0.056 | |
| Ambient | 7.71 ± 0.062 | 7.79 ± 0.18 | 7.82 ± 0.045 | 7.77 ± 0.12 | ||
| EC (dS·m−1) | T. durum | Enriched | 3.07 ± 0.87 b | 1.27 ± 0.26 a | 1.26 ± 0.20 a | 0.93 ± 0.75 a |
| Ambient | 2.23 ± 0.52 b | 1.63 ± 0.20 ab | 0.81 ± 0.24 a | 1.48 ± 0.34 ab | ||
| Z. mays | Enriched | 1.15 ± 0.33 | 1.51 ± 0.61 | 1.58 ± 0.52 | 1.44 ± 0.35 | |
| Ambient | 1.84 ± 0.43 | 1.51 ± 0.67 | 1.04 ± 0.15 | 1.37 ± 0.48 |
Disclaimer/Publisher’s Note: The statements, opinions and data contained in all publications are solely those of the individual author(s) and contributor(s) and not of MDPI and/or the editor(s). MDPI and/or the editor(s) disclaim responsibility for any injury to people or property resulting from any ideas, methods, instructions or products referred to in the content. |
© 2025 by the authors. Licensee MDPI, Basel, Switzerland. This article is an open access article distributed under the terms and conditions of the Creative Commons Attribution (CC BY) license (https://creativecommons.org/licenses/by/4.0/).
Share and Cite
León, H.d.P.; Martinez, S.; Delgado, M.d.M.; Gabriel, J.L.; Alvarez, S. Plant and Soil Responses to Concrete and Basalt Amendments Under Elevated CO2: Implications for Plant Growth, Enhanced Weathering and Carbon Sequestration. Agriculture 2025, 15, 2435. https://doi.org/10.3390/agriculture15232435
León HdP, Martinez S, Delgado MdM, Gabriel JL, Alvarez S. Plant and Soil Responses to Concrete and Basalt Amendments Under Elevated CO2: Implications for Plant Growth, Enhanced Weathering and Carbon Sequestration. Agriculture. 2025; 15(23):2435. https://doi.org/10.3390/agriculture15232435
Chicago/Turabian StyleLeón, Haridian del Pilar, Sara Martinez, María del Mar Delgado, José L. Gabriel, and Sergio Alvarez. 2025. "Plant and Soil Responses to Concrete and Basalt Amendments Under Elevated CO2: Implications for Plant Growth, Enhanced Weathering and Carbon Sequestration" Agriculture 15, no. 23: 2435. https://doi.org/10.3390/agriculture15232435
APA StyleLeón, H. d. P., Martinez, S., Delgado, M. d. M., Gabriel, J. L., & Alvarez, S. (2025). Plant and Soil Responses to Concrete and Basalt Amendments Under Elevated CO2: Implications for Plant Growth, Enhanced Weathering and Carbon Sequestration. Agriculture, 15(23), 2435. https://doi.org/10.3390/agriculture15232435

