Facilitating Farmers’ Monitoring Access to the Hemolymph of Codling Moth Larvae Cydia pomonella (Linnaeus, 1758) for Informed Decision-Making and Control Strategies in Apple Orchards
Abstract
1. Introduction
2. Materials and Methods
2.1. Insects
2.2. Hemocyte Monolayers and Buffer Suitability for In Vitro and In Vivo Studies
2.3. Cellular Attachment Rates
2.4. Bacterial Culture
2.5. Hemocyte Discharge
2.6. Innate Antibacterial Responses In Vivo
2.7. Statistical Analysis
3. Results
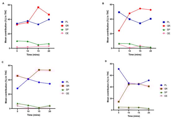
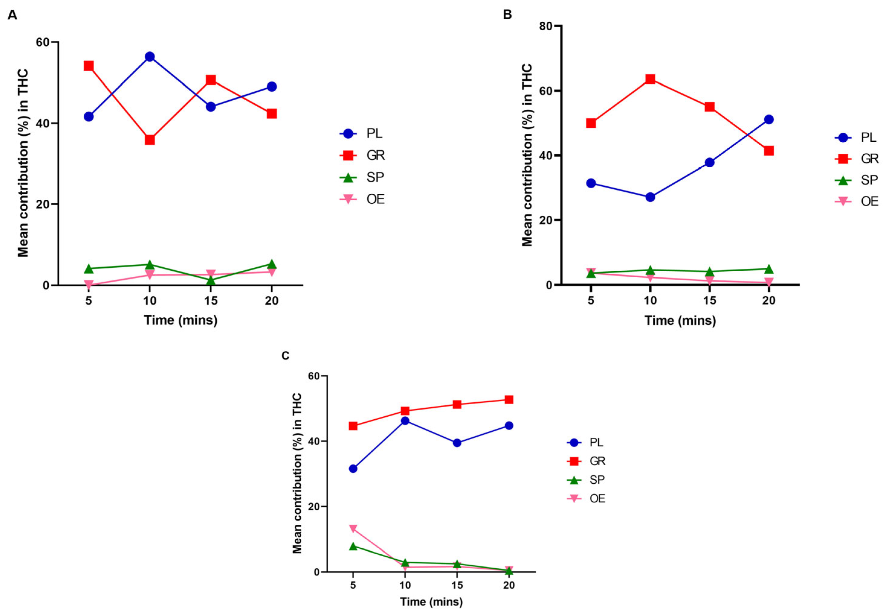
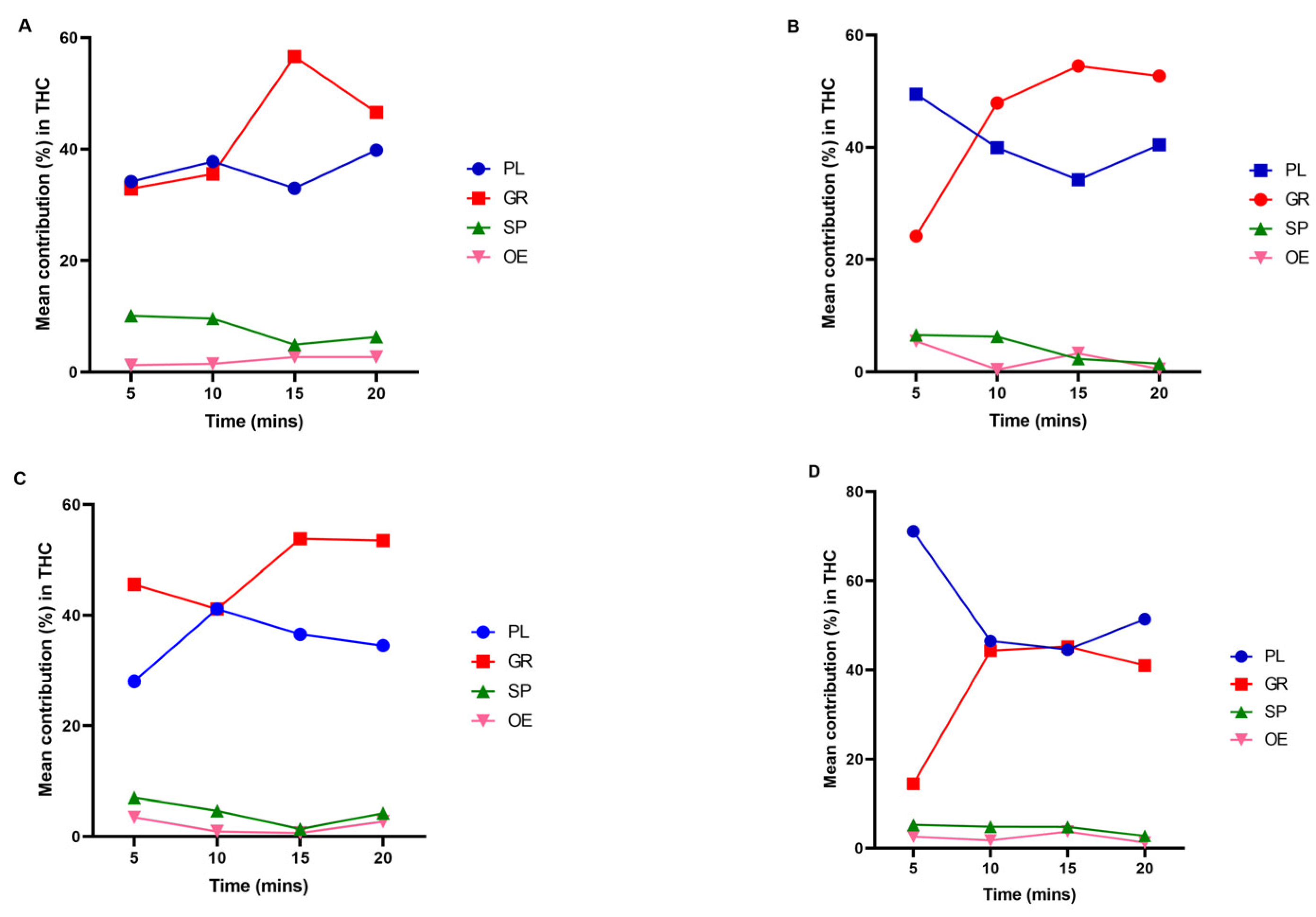
3.1. Τype of Hemocytes
3.2. Buffered Adhesion of Hemocytes to Glass Slides
3.3. Hemocyte Discharge
3.4. Challenging In Vivo C. pomonella Hemolymph with Βacillus Subtilis
4. Discussion
5. Conclusions
Author Contributions
Funding
Institutional Review Board Statement
Data Availability Statement
Acknowledgments
Conflicts of Interest
References
- Płuciennik, Z. The Control of Codling Moth (Cydia pomonella L.) Population Using Mating Disruption Method. J. Hortic. Res. 2013, 21, 65–70. [Google Scholar] [CrossRef]
- Rozsypal, J.; Koštál, V.; Zahradníčková, H.; Šimek, P. Overwintering Strategy and Mechanisms of Cold Tolerance in the Codling Moth (Cydia pomonella). PLoS ONE 2013, 8, e61745. [Google Scholar] [CrossRef] [PubMed]
- Brown, J.J. Haemolymph Protein Reserves of Diapausing and Nondiapausing Codling Moth Larvae, Cydia pomonella (L.) (Lepidoptera: Tortricidae). J. Insect Physiol. 1980, 26, 487–491. [Google Scholar] [CrossRef]
- Jiang, D.; Chen, S.; Hao, M.; Fu, J.; Ding, F. Mapping the Potential Global Codling Moth (Cydia pomonella L.) Distribution Based on a Machine Learning Method. Sci. Rep. 2018, 8, 13093. [Google Scholar] [CrossRef]
- Ju, D.; Mota-Sanchez, D.; Fuentes-Contreras, E.; Zhang, Y.-L.; Wang, X.-Q.; Yang, X.-Q. Insecticide Resistance in the Cydia pomonella (L.): Global Status, Mechanisms, and Research Directions. Pestic. Biochem. Physiol. 2021, 178, 104925. [Google Scholar] [CrossRef]
- Juszczak, R.; Kuchar, L.; Leśny, J.; Olejnik, J. Climate Change Impact on Development Rates of the Codling Moth (Cydia pomonella L.) in the Wielkopolska Region, Poland. Int. J. Biometeorol. 2013, 57, 31–44. [Google Scholar] [CrossRef]
- Whitfield, E.C.; Fountain, M.T. Future Semiochemical Control of Codling Moth, Cydia pomonella. Front. Hortic. 2024, 3, 1446806. [Google Scholar] [CrossRef]
- Shayestehmehr, H.; Karimzadeh, R.; Feizizadeh, B.; Iranipour, S. Spatial Distribution of Cydia pomonella (Lepidoptera: Tortricidae) Populations and Its Relation with Topographic Variables. Appl. Entomol. Zool. 2021, 56, 187–197. [Google Scholar] [CrossRef]
- Iraqui, S.E.; Hmimina, M. Assessment of Control Strategies against Cydia pomonella (L.) in Morocco. J. Plant Prot. Res. 2016, 56, 82–88. [Google Scholar] [CrossRef]
- Pandey, J.P.; Tiwari, R.K. An Overview of Insect Hemocyte Science and Its Future Application in Applied and Biomedical Fields. Am. J. Biochem. Mol. Biol. 2012, 2, 82–105. [Google Scholar] [CrossRef][Green Version]
- Mirhaghparast, S.K.; Zibaee, A.; Hoda, H.; Sendi, J.J. Changes in Cellular Immune Responses of Chilo suppressalis Walker (Lepidoptera: Crambidae) Due to Pyriproxyfen Treatment. J. Plant Prot. Res. 2015, 55, 287–293. [Google Scholar] [CrossRef]
- Yan, D.; Xu, J.; Chen, Y.; Huang, Q. The Immunotoxicity of Ten Insecticides against Insect Hemocyte Cells In Vitro. Vitr. Cell. Dev. Biol.-Anim. 2022, 58, 912–921. [Google Scholar] [CrossRef] [PubMed]
- Lisi, F.; Amichot, M.; Desneux, N.; Gatti, J.-L.; Guedes, R.N.C.; Nazzi, F.; Pennacchio, F.; Russo, A.; Sánchez-Bayo, F.; Wang, X.; et al. Pesticide Immunotoxicity on Insects—Are Agroecosystems at Risk? Sci. Total Environ. 2024, 951, 175467. [Google Scholar] [CrossRef] [PubMed]
- Fan, J.; Wennmann, J.T.; Wang, D.; Jehle, J.A. Novel Diversity and Virulence Patterns Found in New Isolates of Cydia pomonella Granulovirus from China. Appl. Environ. Microbiol. 2020, 86, e02000-19. [Google Scholar] [CrossRef] [PubMed]
- Prabu, S.; Jing, D.; Jurat-Fuentes, J.L.; Wang, Z.; He, K. Hemocyte Response to Treatment of Susceptible and Resistant Asian Corn Borer (Ostrinia furnacalis) Larvae with Cry1F Toxin from Bacillus thuringiensis. Front. Immunol. 2022, 13, 1022445. [Google Scholar] [CrossRef]
- Chaudhary, R.; Nawaz, A.; Khattak, Z.; Butt, M.A.; Fouillaud, M.; Dufossé, L.; Munir, M.; Haq, I.U.; Mukhtar, H. Microbial Bio-Control Agents: A Comprehensive Analysis on Sustainable Pest Management in Agriculture. J. Agric. Food Res. 2024, 18, 101421. [Google Scholar] [CrossRef]
- Lim, H.J.; Gallardo, R.K.; Brady, M.P. Interactions Between Organic and Conventional Markets from Pest and Disease Outbreaks: The Case of the U.S. Apple Industry. J. Agric. Appl. Econ. 2023, 55, 256–282. [Google Scholar] [CrossRef]
- Badiu, D.; Arion, F.; Muresan, I.; Lile, R.; Mitre, V. Evaluation of Economic Efficiency of Apple Orchard Investments. Sustainability 2015, 7, 10521–10533. [Google Scholar] [CrossRef]
- Zhang, L.; Liu, D.; Yin, Q.; Liu, J. Organic Certification, Online Market Access, and Agricultural Product Prices: Evidence from Chinese Apple Farmers. Agriculture 2024, 14, 669. [Google Scholar] [CrossRef]
- Lee, D.J.; Gutbrod, M.; Ferreras, F.M.; Matthews, P.G.D. Changes in Hemolymph Total CO2 Content during the Water-to-Air Respiratory Transition of Amphibiotic Dragonflies. J. Exp. Biol. 2018, 221, jeb.181438. [Google Scholar] [CrossRef]
- Choi, C.; Seo, D.; Yuk, J.; Yun, C. Comparison between Hemolymph and Tissue Ferritin in Response to Heavy Metal Feeding in the Wax Moth Galleria mellonella. Entomol. Res. 2006, 36, 155–161. [Google Scholar] [CrossRef]
- Pendar, H.; Aviles, J.; Adjerid, K.; Schoenewald, C.; Socha, J.J. Functional Compartmentalization in the Hemocoel of Insects. Sci. Rep. 2019, 9, 6075. [Google Scholar] [CrossRef] [PubMed]
- Brasovs, A.; Palaoro, A.V.; Aprelev, P.; Beard, C.E.; Adler, P.H.; Kornev, K.G. Haemolymph Viscosity in Hawkmoths and Its Implications for Hovering Flight. Proc. R. Soc. B Biol. Sci. 2023, 290, 20222185. [Google Scholar] [CrossRef] [PubMed]
- Eleftherianos, I.; Heryanto, C.; Bassal, T.; Zhang, W.; Tettamanti, G.; Mohamed, A. Haemocyte-mediated Immunity in Insects: Cells, Processes and Associated Components in the Fight against Pathogens and Parasites. Immunology 2021, 164, 401–432. [Google Scholar] [CrossRef]
- Schmid, M.R.; Dziedziech, A.; Arefin, B.; Kienzle, T.; Wang, Z.; Akhter, M.; Berka, J.; Theopold, U. Insect Hemolymph Coagulation: Kinetics of Classically and Non-Classically Secreted Clotting Factors. Insect Biochem. Mol. Biol. 2019, 109, 63–71. [Google Scholar] [CrossRef]
- Mahamat, H.; Hassanali, A.; Munyinyi, D. Haemolymph Pigment Composition as a Chemometric Indicator of Phase in the Desert Locust, Schistocerca gregaria. Int. J. Trop. Insect Sci. 1997, 17, 199–204. [Google Scholar] [CrossRef]
- Clark, K.D.; Strand, M.R. Hemolymph Melanization in the Silkmoth Bombyx mori Involves Formation of a High Molecular Mass Complex That Metabolizes Tyrosine. J. Biol. Chem. 2013, 288, 14476–14487. [Google Scholar] [CrossRef]
- Matthews, P.G.D. Acid–Base Regulation in Insect Haemolymph. In Acid-Base Balance and Nitrogen Excretion in Invertebrates; Weihrauch, D., O’Donnell, M., Eds.; Springer International Publishing: Cham, Switzerland, 2017; pp. 219–238. ISBN 978-3-319-39615-6. [Google Scholar]
- Harrison, J.F.; Wong, C.J.H.; Phillips, J.E. Haemolymph Buffering in the Locust Schistocerca gregaria. J. Exp. Biol. 1990, 154, 573–580. [Google Scholar] [CrossRef]
- Barakat, E.; Ahmed, S.; Abokersh, M. Physical Variances in the Hemolymph of Galleria mellonella L. (Lepidoptera: Pyralidae) Following Immune Induction. Afr. J. Biol. Sci. 2018, 14, 25–37. [Google Scholar] [CrossRef]
- Maliszewska, J.; Wyszkowska, J.; Tęgowska, E. Hemolymph pH as a Marker of Pesticide Exposition. Folia Pomeranae Univ. Technol. Stetin. Agric. Aliment. Piscaria Zootech. 2017, 338, 101–108. [Google Scholar] [CrossRef]
- Sutcliffe, D.W. The Chemical Composition of Haemolymph in Insects and Some Other Arthropods, in Relation to Their Phylogeny. Comp. Biochem. Physiol. 1963, 9, 121–135. [Google Scholar] [CrossRef]
- Nation, J.L. Insect Physiology and Biochemistry, 4th ed.; CRC Press: Boca Raton, FL, USA, 2022; ISBN 978-1-003-27982-2. [Google Scholar]
- Giannoulis, P.; Brooks, C.L.; Dunphy, G.B.; Mandato, C.A.; Niven, D.F.; Zakarian, R.J. Interaction of the Bacteria Xenorhabdus nematophila (Enterobactericeae) and Bacillus subtilis (Bacillaceae) with the Hemocytes of Larval Malacosoma Disstria (Insecta: Lepidoptera: Lasiocampidae). J. Invertebr. Pathol. 2007, 94, 20–30. [Google Scholar] [CrossRef]
- Zdybicka-Barabas, A.; Stączek, S.; Kunat-Budzyńska, M.; Cytryńska, M. Innate Immunity in Insects: The Lights and Shadows of Phenoloxidase System Activation. Int. J. Mol. Sci. 2025, 26, 1320. [Google Scholar] [CrossRef] [PubMed]
- Wilson, R.; Ratcliffe, N.A. Effect of Lysozyme on the Lectin-Mediated Phagocytosis of Bacillus cereus by Haemocytes of the Cockroach, Blaberus discoidalis. J. Insect Physiol. 2000, 46, 663–670. [Google Scholar] [CrossRef] [PubMed]
- Qian, C.; Wang, F.; Zhu, B.-J.; Wei, G.-Q.; Li, S.; Liu, C.-L.; Wang, L. Identification and Characterization of an Apolipophorin-III Gene from Actias selene Hübner (Lepidoptera: Saturniidae). J. Asia-Pac. Entomol. 2016, 19, 103–108. [Google Scholar] [CrossRef]
- Eleftherianos, I.; Xu, M.; Yadi, H.; Ffrench-Constant, R.H.; Reynolds, S.E. Plasmatocyte-Spreading Peptide (PSP) Plays a Central Role in Insect Cellular Immune Defenses against Bacterial Infection. J. Exp. Biol. 2009, 212, 1840–1848. [Google Scholar] [CrossRef]
- Wrońska, A.K.; Kaczmarek, A.; Kazek, M.; Boguś, M.I. Infection of Galleria mellonella (Lepidoptera) Larvae With the Entomopathogenic Fungus Conidiobolus coronatus (Entomophthorales) Induces Apoptosis of Hemocytes and Affects the Concentration of Eicosanoids in the Hemolymph. Front. Physiol. 2022, 12, 774086. [Google Scholar] [CrossRef]
- Giannoulis, P.; Brooks, C.L.; Gulii, V.; Dunphy, G.B. Haemocytes of Larval Malacosoma disstria (Lepidoptera: Lasiocampidae) and Factors Affecting Their Adhesion to Glass Slides. Physiol. Entomol. 2005, 30, 278–286. [Google Scholar] [CrossRef]
- Falleiros, Â.M.F.; Bombonato, M.T.S.; Gregório, E.A. Ultrastructural and Quantitative Studies of Hemocytes in the Sugarcane Borer, Diatraea saccharalis (Lepidoptera: Pyralidae). Braz. Arch. Biol. Technol. 2003, 46, 287–294. [Google Scholar] [CrossRef]
- Jiang, H.; Vilcinskas, A.; Kanost, M.R. Immunity in Lepidopteran Insects. In Invertebrate Immunity; Advances in Experimental Medicine and Biology; Söderhäll, K., Ed.; Springer: Boston, MA, USA, 2010; Volume 708, pp. 181–204. ISBN 978-1-4419-8058-8. [Google Scholar]
- İzzetoğlu, S. A New Approach for Classification of Major Larval Hemocytes (Prohemocytes, Plasmatocytes and Granulocytes) in the Greater Wax Moth, Galleria mellonella L. (Lepidoptera: Pyralidae) by Acridine Orange Staining. Turk. J. Entomol. 2012, 36, 163–168. [Google Scholar]
- Browne, N.; Heelan, M.; Kavanagh, K. An Analysis of the Structural and Functional Similarities of Insect Hemocytes and Mammalian Phagocytes. Virulence 2013, 4, 597–603. [Google Scholar] [CrossRef] [PubMed]
- Iwański, B.; Mizerska-Kowalska, M.; Andrejko, M. Pseudomonas aeruginosa Exotoxin A Induces Apoptosis in Galleria mellonella Hemocytes. J. Invertebr. Pathol. 2023, 197, 107884. [Google Scholar] [CrossRef] [PubMed]
- Liu, Q.; Deng, X.; Wang, L.; Xie, W.; Zhang, H.; Li, Q.; Yang, Q.; Jiang, C. Chlorantraniliprole Enhances Cellular Immunity in Larvae of Spodoptera frugiperda (Smith) (Lepidoptera: Noctuidae). Insects 2024, 15, 586. [Google Scholar] [CrossRef] [PubMed]
- Zhu, Y.; Mao, Y.; Furukawa, S. Transglutaminase (TGase) Regulates Encapsulation Response of the Oriental Armyworm, Mythimna separata (Lepidoptera: Noctuidae). Insect Sci. 2025. [Google Scholar] [CrossRef]
- Nardi, J.B.; Pilas, B.; Ujhelyi, E.; Garsha, K.; Kanost, M.R. Hematopoietic Organs of Manduca sexta and Hemocyte Lineages. Dev. Genes Evol. 2003, 213, 477–491. [Google Scholar] [CrossRef]
- Chapman, R.F. The Insects: Structure and Function, 5th ed.; Simpson, S.J., Douglas, A.E., Eds.; Cambridge University Press: Cambridge, UK, 2012; pp. 107–131. ISBN 978-0-521-11389-2. [Google Scholar]
- Jones, J.C. Current concepts concerning insect hemocytes. Am. Zool. 1962, 2, 209–246. [Google Scholar] [CrossRef]
- Butt, T.M.; Shields, K.S. The Structure and Behavior of Gypsy Moth (Lymantria dispar) Hemocytes. J. Invertebr. Pathol. 1996, 68, 1–14. [Google Scholar] [CrossRef]
- Beaulaton, J. Hemocytes and Hemocytopoiesis in Silkworms. Biochimie 1979, 61, 157–164. [Google Scholar] [CrossRef]
- Corley, L.S.; Lavine, M.D. A Review of Insect Stem Cell Types. Semin. Cell Dev. Biol. 2006, 17, 510–517. [Google Scholar] [CrossRef]
- Ling, E.; Shirai, K.; Kanekatsu, R.; Kiguchi, K. Hemocyte Differentiation in the Hematopoietic Organs of the Silkworm, Bombyx mori: Prohemocytes Have the Function of Phagocytosis. Cell Tissue Res. 2005, 320, 535–543. [Google Scholar] [CrossRef]
- Yamashita, M.; Iwabuchi, K. Bombyx Mori Prohemocyte Division and Differentiation in Individual Microcultures. J. Insect Physiol. 2001, 47, 325–331. [Google Scholar] [CrossRef] [PubMed]
- Kurtti, T.J.; Brooks, M.A. Growth of Lepidopteran Epithelial Cells and Hemocytes in Primary Cultures. J. Invertebr. Pathol. 1970, 15, 341–350. [Google Scholar] [CrossRef]
- Shin, M.; Cha, N.; Koranteng, F.; Cho, B.; Shim, J. Subpopulation of Macrophage-like Plasmatocytes Attenuates Systemic Growth via JAK/STAT in the Drosophila Fat Body. Front. Immunol. 2020, 11, 63. [Google Scholar] [CrossRef] [PubMed]
- Ribeiro, C.; Brehélin, M. Insect Haemocytes: What Type of Cell Is That? J. Insect Physiol. 2006, 52, 417–429. [Google Scholar] [CrossRef]
- Arnold, J.W.; Hinks, C.F. Haemopoiesis in Lepidoptera. I. The Multiplication of Circulating Haemocytes. Can. J. Zool. 1976, 54, 1003–1012. [Google Scholar] [CrossRef]
- Davies, D.H.; Preston, T.M. The Behaviour of Insect Plasmatocytes In Vitro: Changes in Morphology during Settling, Spreading, and Locomotion. J. Exp. Zool. 1985, 236, 71–82. [Google Scholar] [CrossRef]
- Nardi, J.B.; Pilas, B.; Bee, C.M.; Zhuang, S.; Garsha, K.; Kanost, M.R. Neuroglian-Positive Plasmatocytes of Manduca sexta and the Initiation of Hemocyte Attachment to Foreign Surfaces. Dev. Comp. Immunol. 2006, 30, 447–462. [Google Scholar] [CrossRef]
- Gardiner, E.M.M.; Strand, M.R. Monoclonal Antibodies Bind Distinct Classes of Hemocytes in the Moth Pseudoplusia includens. J. Insect Physiol. 1999, 45, 113–126. [Google Scholar] [CrossRef]
- Wiesner, A. Induction of Immunity by Latex Beads and by Hemolymph Transfer in Galleria mellonella. Dev. Comp. Immunol. 1991, 15, 241–250. [Google Scholar] [CrossRef]
- Zakarian, R.J.; Dunphy, G.B.; Albert, P.J.; Rau, M.E. Apolipophorin-III Affects the Activity of the Haemocytes of Galleria mellonella Larvae. J. Insect Physiol. 2002, 48, 715–723. [Google Scholar] [CrossRef]
- Dean, P.; Potter, U.; Richards, E.H.; Edwards, J.P.; Charnley, A.K.; Reynolds, S.E. Hyperphagocytic Haemocytes in Manduca sexta. J. Insect Physiol. 2004, 50, 1027–1036. [Google Scholar] [CrossRef]
- Dean, P.; Richards, E.H.; Edwards, J.P.; Reynolds, S.E.; Charnley, A.K. Microbial Infection Causes the Appearance of Hemocytes with Extreme Spreading Ability in Monolayers of the Tobacco Hornworm Manduca sexta. Dev. Comp. Immunol. 2004, 28, 689–700. [Google Scholar] [CrossRef]
- Tanada, Y.; Kaya, H.K. Insect Pathology; Academic Press: San Diego, CA, USA, 1993; 666p, ISBN 978-0-12-683255-6. [Google Scholar]
- Pech, L.L.; Strand, M.R. Granular Cells Are Required for Encapsulation of Foreign Targets by Insect Haemocytes. J. Cell Sci. 1996, 109, 2053–2060. [Google Scholar] [CrossRef] [PubMed]
- Rowley, A.F.; Ratcliffe, N.A. The Granular Cells of Galleria mellonella during Clotting and Phagocytic Reactions In Vitro. Tissue Cell 1976, 8, 437–446. [Google Scholar] [CrossRef] [PubMed]
- Brehelin, M.; Zachary, D.; Hoffmann, J.A. A Comparative Ultrastructural Study of Blood Cells from Nine Insect Orders. Cell Tissue Res. 1978, 195, 45–57. [Google Scholar] [CrossRef] [PubMed]
- Gupta, A.P. Immunology of Insects and Other Arthropods; Comparative Arthropod Morphology, Physiology, and Development; CRC Press: Boca Raton, FL, USA, 1991; 508p, ISBN 978-0-8493-7381-7. [Google Scholar]
- Cook, D.; Stoltz, D.B.; Pauley, C. Purification and Preliminary Characterization of Insect Spherulocytes. Insect Biochem. 1985, 15, 419–426. [Google Scholar] [CrossRef]
- Neuwirth, M. The Structure of the Hemocytes of Galleria mellonella (Lepidoptera). J. Morphol. 1973, 139, 105–123. [Google Scholar] [CrossRef]
- Fallon, A.M.; Sun, D. Exploration of Mosquito Immunity Using Cells in Culture. Insect Biochem. Mol. Biol. 2001, 31, 263–278. [Google Scholar] [CrossRef]
- Scott, J.E. Histochemistry of Alcian Blue: III. The Molecular Biological Basis of Staining by Alcian Blue 8GX and Analogous Phthalocyanins. Histochemie 1972, 32, 191–212. [Google Scholar] [CrossRef]
- Lavine, M.D.; Strand, M.R. Insect Hemocytes and Their Role in Immunity. Insect Biochem. Mol. Biol. 2002, 32, 1295–1309. [Google Scholar] [CrossRef]
- Sass, M.; Kiss, A.; Locke, M. Integument and Hemocyte Peptides. J. Insect Physiol. 1994, 40, 407–421. [Google Scholar] [CrossRef]
- Stettler, P.; Trenczek, T.; Wyler, T.; Pfister-Wilhelm, R.; Lanzrein, B. Overview of Parasitism Associated Effects on Host Haemocytes in Larval Parasitoids and Comparison with Effects of the Egg-Larval Parasitoid Chelonus inanitus on Its Host Spodoptera littoralis. J. Insect Physiol. 1998, 44, 817–831. [Google Scholar] [CrossRef] [PubMed]
- Lavine, M.D.; Chen, G.; Strand, M.R. Immune Challenge Differentially Affects Transcript Abundance of Three Antimicrobial Peptides in Hemocytes from the Moth Pseudoplusia includens. Insect Biochem. Mol. Biol. 2005, 35, 1335–1346. [Google Scholar] [CrossRef] [PubMed]
- Ling, E.; Shirai, K.; Kanehatsu, R.; Kiguchi, K. Reexamination of Phenoloxidase in Larval Circulating Hemocytes of the Silkworm, Bombyx mori. Tissue Cell 2005, 37, 101–107. [Google Scholar] [CrossRef]
- Hu, J.; Zhu, X.-X.; Fu, W.-J. Passive Evasion of Encapsulation in Macrocentrus cingulum Brischke (Hymenoptera: Braconidae), a Polyembryonic Parasitoid of Ostrinia furnacalis Guenée (Lepidoptera: Pyralidae). J. Insect Physiol. 2003, 49, 367–375. [Google Scholar] [CrossRef]
- Martins, G.F.; Ramalho-Ortigão, J.M. Oenocytes in Insects. ISJ-Invertebr. Surviv. J. 2012, 9, 139–152. [Google Scholar]
- Feng, C.-J.; Fu, W.-J. Tissue Distribution and Purification of Prophenoloxidase in Larvae of Asian Corn Borer (Ostrinia furnacalis) Guenee (Lepidoptera: Pyralidae). Acta Biochim. Biophys. Sin. 2004, 36, 360–364. [Google Scholar] [CrossRef]
- Gillespie, J.P.; Kanost, M.R.; Trenczek, T. Biological mediators of insect immunity. Annu. Rev. Entomol. 1997, 42, 611–643. [Google Scholar] [CrossRef]
- Tojo, S.; Naganuma, F.; Arakawa, K.; Yokoo, S. Involvement of Both Granular Cells and Plasmatocytes in Phagocytic Reactions in the Greater Wax Moth, Galleria mellonella. J. Insect Physiol. 2000, 46, 1129–1135. [Google Scholar] [CrossRef]
- Howard, R.W.; Miller, J.S.; Stanley, D.W. The Influence of Bacterial Species and Intensity of Infections on Nodule Formation in Insects. J. Insect Physiol. 1998, 44, 157–164. [Google Scholar] [CrossRef]
- Ratcliffe, N.A.; Rowley, A.F.; Fitzgerald, S.W.; Rhodes, C.P. Invertebrate Immunity: Basic Concepts and Recent Advances. In International Review of Cytology; Elsevier: Amsterdam, The Netherlands, 1985; Volume 97, pp. 183–350. ISBN 978-0-12-364497-8. [Google Scholar]
- Ono, M.; Arimatsu, C.; Kakinoki, A.; Matsunaga, K.; Yoshiga, T. Comparison of Cellular Encapsulation with Nematodes in Two Lepidopteran Insects. Appl. Entomol. Zool. 2020, 55, 337–344. [Google Scholar] [CrossRef]
- Lu, A.; Zhang, Q.; Zhang, J.; Yang, B.; Wu, K.; Xie, W.; Luan, Y.-X.; Ling, E. Insect Prophenoloxidase: The View beyond Immunity. Front. Physiol. 2014, 5, 252. [Google Scholar] [CrossRef] [PubMed]
- Lackie, A.M. The Role of Substratum Surface-Charge in Adhesion and Encapsulation by Locust Hemocytes In Vivo. J. Invertebr. Pathol. 1986, 47, 377–378. [Google Scholar] [CrossRef]
- Lavine, M.D.; Strand, M.R. Surface Characteristics of Foreign Targets That Elicit an Encapsulation Response by the Moth Pseudoplusia includens. J. Insect Physiol. 2001, 47, 965–974. [Google Scholar] [CrossRef]
- Zakarian, R.J.; Dunphy, G.B.; Rau, M.E.; Albert, P.J. Kinases, Intracellular Calcium, and apolipophorin-III Influence the Adhesion of Larval Hemocytes of the Lepidopterous Insect, Galleria mellonella. Arch. Insect Biochem. Physiol. 2003, 53, 158–171. [Google Scholar] [CrossRef]
- Cytryńska, M.; Zdybicka-Barabas, A.; Jakubowicz, T. Protein Kinase A Activity and Protein Phosphorylation in the Haemocytes of Immune-Challenged Galleria mellonella Larvae. Comp. Biochem. Physiol. B Biochem. Mol. Biol. 2007, 148, 74–83. [Google Scholar] [CrossRef]
- Price, C.D.; Ratcliffe, N.A. A Reappraisal of Insect Haemocyte Classification by the Examination of Blood from Fifteen Insect Orders. Z. Für Zellforsch. Mikrosk. Anat. 1974, 147, 537–549. [Google Scholar] [CrossRef]
- Theopold, U.; Li, D.; Fabbri, M.; Scherfer, C.; Schmidt, O. The Coagulation of Insect Hemolymph. Cell. Mol. Life Sci. CMLS 2002, 59, 363–372. [Google Scholar] [CrossRef]
- Yokoo, S.; Gotz, P.; Tojo, S. Phagocytic Activities of Haemocytes Separated by Two Simple Methods from Larvae of Two Lepidopteran Species, Agrotis segetum and Galleria mellonella. Appl. Entomol. Zool. 1995, 30, 343–350. [Google Scholar] [CrossRef][Green Version]
- Mandato, C.A.; Diehl-Jones, W.L.; Moore, S.J.; Downer, R.G.H. The Effects of Eicosanoid Biosynthesis Inhibitors On Prophenoloxidase Activation, Phagocytosis and Cell Spreading in Galleria mellonella. J. Insect Physiol. 1997, 43, 1–8. [Google Scholar] [CrossRef]
- Alavo, T.B.C.; Dunphy, G.B. Bacterial Formyl Peptides Affect the Innate Cellular Antimicrobial Responses of Larval Galleria mellonella (Insecta: Lepidoptera). Can. J. Microbiol. 2004, 50, 279–289. [Google Scholar] [CrossRef] [PubMed]
- Park, Y.; Kim, Y. Eicosanoids Rescue Spodoptera exigua Infected with Xenorhabdus nematophilus, the Symbiotic Bacteria to the Entomopathogenic Nematode Steinernema carpocapsae. J. Insect Physiol. 2000, 46, 1469–1476. [Google Scholar] [CrossRef] [PubMed]
- Morishima, I. Cecropin and Lysozyme Induction by Peptidoglycan Fragments in Cultured Fat Body from Bombyx Mori. In Techniques in Insect Immunity; Weisner, A., Dunphy, G.B., Marmanas, V.J., Morishima, I., Sugumaran, M., Yamakawa, M., Eds.; SOS Publications: Fairhaven, NJ, USA, 1998; pp. 59–64. [Google Scholar]
- Sokal, R.R.; Rohlf, F.J. Biometry: The Principles and Practice of Statistics in Biological Research, 3rd ed.; W.H. Freeman: New York, NY, USA, 1995; 887p, ISBN 978-0-7167-2411-7. [Google Scholar]
- Cc, S.; Arun, D.; Divya, L. Insect In Vitro System for Toxicology Studies—Current and Future Perspectives. Front. Toxicol. 2021, 3, 671600. [Google Scholar] [CrossRef] [PubMed]
- Yee, C.M.; Zak, A.J.; Hill, B.D.; Wen, F. The Coming Age of Insect Cells for Manufacturing and Development of Protein Therapeutics. Ind. Eng. Chem. Res. 2018, 57, 10061–10070. [Google Scholar] [CrossRef]
- Lapointe, J.F.; Dunphy, G.B.; Giannoulis, P.; Mandato, C.A.; Nardi, J.B.; Gharib, O.H.; Niven, D.F. Cell Lines, Md108 and Md66, from the Hemocytes of Malacosoma disstria (Lepidoptera) Display Aspects of Plasma-Free Innate Non-Self Activities. J. Invertebr. Pathol. 2011, 108, 180–193. [Google Scholar] [CrossRef]
- Wright, C.L.; Kavanagh, O. Galleria mellonella as a Novel In Vivo Model to Screen Natural Product-Derived Modulators of Innate Immunity. Appl. Sci. 2022, 12, 6587. [Google Scholar] [CrossRef]
- Pristavko, V.P.; Dovzhenok, N.V. Ascorbic Acid Influence on Larval Blood Cell Number and Susceptibility to Bacterial and Fungal Infection in the Codling Moth, Laspeyresia pomonella (Lepidoptera: Tortricidae). J. Invertebr. Pathol. 1974, 24, 165–168. [Google Scholar] [CrossRef]
- Sirotina, M.I. Gemocyte Genesis in Healthy and Jaundice Diseased Oak Silkworm Larvae and Moths. Dokl VASKHNIL 1949, 4, 22–28. [Google Scholar]
- Von Bredow, C.R.; Trenczek, T.E. Distinguishing Manduca sexta Haemocyte Types by Cytometric Methods. Invertebr. Surviv. J. 2022, 19, 13–27. [Google Scholar] [CrossRef]
- Nakahara, Y.; Shimura, S.; Ueno, C.; Kanamori, Y.; Mita, K.; Kiuchi, M.; Kamimura, M. Purification and Characterization of Silkworm Hemocytes by Flow Cytometry. Dev. Comp. Immunol. 2009, 33, 439–448. [Google Scholar] [CrossRef]
- Wu, G.; Liu, Y.; Ding, Y.; Yi, Y. Ultrastructural and Functional Characterization of Circulating Hemocytes from Galleria mellonella Larva: Cell Types and Their Role in the Innate Immunity. Tissue Cell 2016, 48, 297–304. [Google Scholar] [CrossRef] [PubMed]
- Yu, S.; Zhang, G.; Jin, L.H. A High-Sugar Diet Affects Cellular and Humoral Immune Responses in Drosophila. Exp. Cell Res. 2018, 368, 215–224. [Google Scholar] [CrossRef] [PubMed]
- Zheng, X.; Baker, H.; Hancock, W.S.; Fawaz, F.; McCaman, M.; Pungor, E. Proteomic Analysis for the Assessment of Different Lots of Fetal Bovine Serum as a Raw Material for Cell Culture. Part IV. Application of Proteomics to the Manufacture of Biological Drugs. Biotechnol. Prog. 2006, 22, 1294–1300. [Google Scholar] [CrossRef]
- Nakahara, Y.; Matsumoto, H.; Kanamori, Y.; Kataoka, H.; Mizoguchi, A.; Kiuchi, M.; Kamimura, M. Insulin Signaling Is Involved in Hematopoietic Regulation in an Insect Hematopoietic Organ. J. Insect Physiol. 2006, 52, 105–111. [Google Scholar] [CrossRef] [PubMed]
- Saito, T.; Iwabuchi, K. Effect of Bombyxin-II, an Insulin-Related Peptide of Insects, on Bombyx mori Hemocyte Division in Single-Cell Culture. Appl. Entomol. Zool. 2003, 38, 583–588. [Google Scholar] [CrossRef]
- Levin, D.M.; Breuer, L.N.; Zhuang, S.; Anderson, S.A.; Nardi, J.B.; Kanost, M.R. A Hemocyte-Specific Integrin Required for Hemocytic Encapsulation in the Tobacco Hornworm, Manduca sexta. Insect Biochem. Mol. Biol. 2005, 35, 369–380. [Google Scholar] [CrossRef]
- Minnick, M.F.; Rupp, R.A.; Spence, K.D. A Bacterial-Induced Lectin Which Triggers Hemocyte Coagulation in Manduca sexta. Biochem. Biophys. Res. Commun. 1986, 137, 729–735. [Google Scholar] [CrossRef]
- Dunphy, G.B.; Chadwick, J.S. Effects of Selected Carbohydrates and the Contribution of the Prophenoloxidase Cascade System to the Adhesion of Strains of Pseudomonas Aeruginosa and Proteus Mirabilis to Hemocytes of Nonimmune Larval Galleria mellonella. Can. J. Microbiol. 1989, 35, 524–527. [Google Scholar] [CrossRef]
- Lapointe, J.F.; Dunphy, G.B.; Mandato, C.A. Hemocyte–Hemocyte Adhesion and Nodulation Reactions of the Greater Wax Moth, Galleria mellonella Are Influenced by Cholera Toxin and Its B-Subunit. Results Immunol. 2012, 2, 54–65. [Google Scholar] [CrossRef]
- Salvia, R.; Scieuzo, C.; Grimaldi, A.; Fanti, P.; Moretta, A.; Franco, A.; Varricchio, P.; Vinson, S.B.; Falabella, P. Role of Ovarian Proteins Secreted by Toxoneuron nigriceps (Viereck) (Hymenoptera, Braconidae) in the Early Suppression of Host Immune Response. Insects 2021, 12, 33. [Google Scholar] [CrossRef]
- Willott, E.; Hallberg, C.A.; Tran, H.Q. Influence of Calcium on Manduca sexta Plasmatocyte Spreading and Network Formation. Arch. Insect Biochem. Physiol. 2002, 49, 187–202. [Google Scholar] [CrossRef] [PubMed]
- Admella, J.; Torrents, E. A Straightforward Method for the Isolation and Cultivation of Galleria mellonella Hemocytes. Int. J. Mol. Sci. 2022, 23, 13483. [Google Scholar] [CrossRef] [PubMed]
- Huang, F.; Yang, Y.; Shi, M.; Li, J.; Chen, Z.; Chen, F.; Chen, X. Ultrastructural and Functional Characterization of Circulating Hemocytes from Plutella xylostella Larva: Cell Types and Their Role in Phagocytosis. Tissue Cell 2010, 42, 360–364. [Google Scholar] [CrossRef] [PubMed]
- Zibaee, A.; Malagoli, D. Immune Response of Chilo suppressalis Walker (Lepidoptera: Crambidae) Larvae to Different Entomopathogenic Fungi. Bull. Entomol. Res. 2014, 104, 155–163. [Google Scholar] [CrossRef]
- Yadav, M.; Gupta, J.; Chatterjee, D.; Mittal, P.; Shrivastava, A.; Agrawal, N. A High Throughput Method for Isolation of Plasmatocytes from Hemolymph of Adult Drosophila. PLoS ONE 2025, 20, e0322707. [Google Scholar] [CrossRef] [PubMed]
- Dubovskii, I.M.; Grizanova, E.V.; Chertkova, E.A.; Slepneva, I.A.; Komarov, D.A.; Vorontsova, Y.L.; Glupov, V.V. Generation of Reactive Oxygen Species and Activity of Antioxidants in Hemolymph of the Moth Larvae Galleria mellonella (L.) (Lepidoptera: Piralidae) at Development of the Process of Encapsulation. J. Evol. Biochem. Physiol. 2010, 46, 35–43. [Google Scholar] [CrossRef]
- Shirai, K. Nature of the Order Parameters of Glass. Foundations 2025, 5, 9. [Google Scholar] [CrossRef]
- Huang, K.; Liu, Y.; Perrimon, N. Roles of Insect Oenocytes in Physiology and Their Relevance to Human Metabolic Diseases. Front. Insect Sci. 2022, 2, 859847. [Google Scholar] [CrossRef]
- Shrestha, S.; Kim, Y. Oenocytoid Cell Lysis to Release Prophenoloxidase Is Induced by Eicosanoid via Protein Kinase C. J. Asia-Pac. Entomol. 2009, 12, 301–305. [Google Scholar] [CrossRef]
- Li, T.; Yan, D.; Wang, X.; Zhang, L.; Chen, P. Hemocyte Changes During Immune Melanization in Bombyx mori Infected with Escherichia coli. Insects 2019, 10, 301. [Google Scholar] [CrossRef]
- Stoepler, T.M.; Castillo, J.C.; Lill, J.T.; Eleftherianos, I. Hemocyte Density Increases with Developmental Stage in an Immune-Challenged Forest Caterpillar. PLoS ONE 2013, 8, e70978. [Google Scholar] [CrossRef][Green Version]
- Hultmark, D.; Andó, I. Hematopoietic Plasticity Mapped in Drosophila and Other Insects. eLife 2022, 11, e78906. [Google Scholar] [CrossRef]
- Vogelweith, F.; Moret, Y.; Monceau, K.; Thiéry, D.; Moreau, J. The Relative Abundance of Hemocyte Types in a Polyphagous Moth Larva Depends on Diet. J. Insect Physiol. 2016, 88, 33–39. [Google Scholar] [CrossRef]
- Roy, M.C.; Kim, Y. Toll Signal Pathway Activating Eicosanoid Biosynthesis Shares Its Conserved Upstream Recognition Components in a Lepidopteran Spodoptera exigua upon Infection by Metarhizium rileyi, an Entomopathogenic Fungus. J. Invertebr. Pathol. 2022, 188, 107707. [Google Scholar] [CrossRef]
- Roth, S. Neofunctionalization of Toll Signaling in Insects: From Immunity to Dorsoventral Patterning. Annu. Rev. Cell Dev. Biol. 2023, 39, 1–22. [Google Scholar] [CrossRef]
- Qiu, P.; Pan, P.C.; Govind, S. A Role for the Drosophila Toll/Cactus Pathway in Larval Hematopoiesis. Development 1998, 125, 1909–1920. [Google Scholar] [CrossRef]
- Mohamed, H.O.; Amro, A. Impact of Different Diets’ Nutrition on the Fitness and Hemocytic Responses of the Greater Wax Moth Larvae, Galleria mellonella (Linnaeus) (Lepidoptera: Pyralidae). J. Basic Appl. Zool. 2022, 83, 10. [Google Scholar] [CrossRef]
- Ghosh, S.; Prasad, A.K.; Mukhopadhyay, A. Effects of Feeding Regimes on Hemocyte Counts in Two Congeners of Hyposidra (Lepidoptera: Geometridae). Entomol. Gen. 2018, 38, 73–82. [Google Scholar] [CrossRef]
- Zhang, D.-W.; Xiao, Z.-J.; Zeng, B.-P.; Li, K.; Tang, Y.-L. Insect Behavior and Physiological Adaptation Mechanisms Under Starvation Stress. Front. Physiol. 2019, 10, 163. [Google Scholar] [CrossRef] [PubMed]
- Kwon, H.; Bang, K.; Cho, S. Characterization of the Hemocytes in Larvae of Protaetia brevitarsis seulensis: Involvement of Granulocyte-Mediated Phagocytosis. PLoS ONE 2014, 9, e103620. [Google Scholar] [CrossRef] [PubMed]
- Ebrahimi, M.; Ajamhassani, M. Investigating the Effect of Starvation and Various Nutritional Types on the Hemocytic Profile and Phenoloxidase Activity in the Indian Meal Moth Plodia interpunctella (Hübner) (Lepidoptera: Pyralidae). Invertebr. Surviv. J. 2020, 17, 175–185. [Google Scholar] [CrossRef]
- Arnold, M.; Gramza-Michalowska, A. Recent Development on the Chemical Composition and Phenolic Extraction Methods of Apple (Malus domestica)—A Review. Food Bioprocess Technol. 2024, 17, 2519–2560. [Google Scholar] [CrossRef]
- Perring, M.A. The Mineral Composition of Apples. V.—The Determination of Sodium and Its Distribution in the Fruit. J. Sci. Food Agric. 1967, 18, 265–268. [Google Scholar] [CrossRef]
- Kritmetapak, K.; Kumar, R. Phosphate as a Signaling Molecule. Calcif. Tissue Int. 2021, 108, 16–31. [Google Scholar] [CrossRef] [PubMed]
- Sriskanthadevan-Pirahas, S.; Deshpande, R.; Lee, B.; Grewal, S.S. Ras/ERK-Signalling Promotes tRNA Synthesis and Growth via the RNA Polymerase III Repressor Maf1 in Drosophila. PLoS Genet. 2018, 14, e1007202. [Google Scholar] [CrossRef]
- Lavoie, H.; Gagnon, J.; Therrien, M. ERK Signalling: A Master Regulator of Cell Behaviour, Life and Fate. Nat. Rev. Mol. Cell Biol. 2020, 21, 607–632. [Google Scholar] [CrossRef]
- Kovács, A.; Nemcsok, D.S.; Kocsis, T. Bonding Interactions in EDTA Complexes. J. Mol. Struct. THEOCHEM 2010, 950, 93–97. [Google Scholar] [CrossRef]
- Vazdar, K.; Tempra, C.; Olżyńska, A.; Biriukov, D.; Cwiklik, L.; Vazdar, M. Stealthy Player in Lipid Experiments? EDTA Binding to Phosphatidylcholine Membranes Probed by Simulations and Monolayer Experiments. J. Phys. Chem. B 2023, 127, 5462–5469. [Google Scholar] [CrossRef]
- Akroute, D.; Douaik, A.; Habbadi, K.; ElBakkali, A.; BenBouazza, A.; Benkirane, R.; El Iraqui El Houssaini, S. Influence of Some Fruit Traits on Codling Moth (Cydia pomonella L.) Preference among Apple Varieties in Two Contrasted Climatic Conditions. Horticulturae 2023, 9, 788. [Google Scholar] [CrossRef]
- Zupan, A.; Mikulic-Petkovsek, M.; Cunja, V.; Stampar, F.; Veberic, R. Comparison of Phenolic Composition of Healthy Apple Tissues and Tissues Affected by Bitter Pit. J. Agric. Food Chem. 2013, 61, 12066–12071. [Google Scholar] [CrossRef]
- Anggraeni, T.; Ratcliffe, N.A. Studies on Cell-Cell Co-Operation during Phagocytosis by Purified Haemocyte Populations of the Wax Moth, Galleria mellonella. J. Insect Physiol. 1991, 37, 453–460. [Google Scholar] [CrossRef]
- Zhang, M.-M.; Luo, L.-L.; Liu, Y.; Wang, G.-J.; Zheng, H.-H.; Liu, X.-S.; Wang, J.-L. Calcium and Integrin-Binding Protein 1-like Interacting with an Integrin α-Cytoplasmic Domain Facilitates Cellular Immunity in Helicoverpa armigera. Dev. Comp. Immunol. 2022, 131, 104379. [Google Scholar] [CrossRef]
- Sjaastad, M.D.; Nelson, W.J. Integrin-mediated Calcium Signaling and Regulation of Cell Adhesion by Intracellular Calcium. BioEssays 1997, 19, 47–55. [Google Scholar] [CrossRef]
- Nardi, J.B.; Zhuang, S.; Pilas, B.; Mark Bee, C.; Kanost, M.R. Clustering of Adhesion Receptors Following Exposure of Insect Blood Cells to Foreign Surfaces. J. Insect Physiol. 2005, 51, 555–564. [Google Scholar] [CrossRef]
- Kausar, S.; Abbas, M.N.; Gul, I.; Liu, Y.; Tang, B.-P.; Maqsood, I.; Liu, Q.-N.; Dai, L.-S. Integrins in the Immunity of Insects: A Review. Front. Immunol. 2022, 13, 906294. [Google Scholar] [CrossRef]
- Khan, F.; Tunaz, H.; Haas, E.; Kim, Y.; Stanley, D. PGE2 Binding Affinity of Hemocyte Membrane Preparations of Manduca sexta and Identification of the Receptor-Associated G Proteins in Two Lepidopteran Species. Arch. Insect Biochem. Physiol. 2024, 117, e70005. [Google Scholar] [CrossRef] [PubMed]
- Turnbull, M.W.; Martin, S.B.; Webb, B.A. Quantitative Analysis of Hemocyte Morphological Abnormalities Associated with Campoletis sonorensis Parasitization. J. Insect Sci. 2004, 4, 11. [Google Scholar] [CrossRef] [PubMed]
- Tateishi, K.; Kasahara, Y.; Watanabe, K.; Hosokawa, N.; Doi, H.; Nakajima, K.; Adachi, H.; Nomoto, A. A New Cell Line from the Fat Body of Spodoptera litura (Lepidoptera, Noctuidae) and Detection of Lysozyme Activity Release upon Immune Stimulation. Vitr. Cell. Dev. Biol.-Anim. 2015, 51, 15–18. [Google Scholar] [CrossRef] [PubMed]
- Shahin, R.; El-Agamy, E. Detection of Lysozyme and Antioxidant Enzymes in Normal and Immunized Haemolymph of the Silkworm, Bombyx mori during the Immature Stage. Egypt. J. Chem. 2023, 66, 487–495. [Google Scholar] [CrossRef]
- Yu, K.H.; Kim, K.N.; Lee, J.H.; Lee, H.S.; Kim, S.H.; Cho, K.Y.; Nam, M.H.; Lee, I.H. Comparative Study on Characteristics of Lysozymes from the Hemolymph of Three Lepidopteran Larvae, Galleria mellonella, Bombyx mori, Agrius convolvuli. Dev. Comp. Immunol. 2002, 26, 707–713. [Google Scholar] [CrossRef]
- Farah, S.B.; Amara, N. Lab to Farm: Mapping Knowledge Transfer Channels and Determinants from Researchers’ Perspective—A Systematic Literature Review. J. Innov. Knowl. 2025, 10, 100650. [Google Scholar] [CrossRef]
- Xiang, P.; Guo, J. Understanding Farmers’ Intentions to Adopt Pest and Disease Green Control Techniques: Comparison and Integration Based on Multiple Models. Sustainability 2023, 15, 10822. [Google Scholar] [CrossRef]
- Samietz, J.; Stoeckli, S.; Hirschi, M.; Spirig, C.; Höhn, H.; Calanca, P.; Rotach, M. Modelling the Impact of Climate Change on Sustainable Management of the Codling Moth (Cydia pomonella) As Key Pest in Apple. Acta Hortic. 2015, 35–42. [Google Scholar] [CrossRef]
- Jha, P.K.; Zhang, N.; Rijal, J.P.; Parker, L.E.; Ostoja, S.; Pathak, T.B. Climate Change Impacts on Insect Pests for High Value Specialty Crops in California. Sci. Total Environ. 2024, 906, 167605. [Google Scholar] [CrossRef] [PubMed]
- Kuyulu, A.; Genç, H. Genetic Diversity of Codling Moth Cydia pomonella L. (Lepidoptera: Tortricidae) Populations in Turkey. Turk. J. Zool. 2020, 44, 462–471. [Google Scholar] [CrossRef]
- Catalán, T.P.; Wozniak, A.; Niemeyer, H.M.; Kalergis, A.M.; Bozinovic, F. Interplay between Thermal and Immune Ecology: Effect of Environmental Temperature on Insect Immune Response and Energetic Costs after an Immune Challenge. J. Insect Physiol. 2012, 58, 310–317. [Google Scholar] [CrossRef]
- Baranek, J.; Banaszak, M.; Kaznowski, A.; Lorent, D. A Novel Bacillus thuringiensis Cry9Ea-like Protein with High Insecticidal Activity towards Cydia Pomonella Larvae. Pest Manag. Sci. 2021, 77, 1401–1408. [Google Scholar] [CrossRef]
- Kadoić Balaško, M.; Bažok, R.; Mikac, K.M.; Lemic, D.; Pajač Živković, I. Pest Management Challenges and Control Practices in Codling Moth: A Review. Insects 2020, 11, 38. [Google Scholar] [CrossRef]
- Tsygichko, A.A.; Asaturova, A.M.; Lakhova, T.N.; Klimenko, A.I.; Lashin, S.A.; Vasiliev, G.V. Biocontrol Potential of the New Codling Moth Granulovirus (CpGV) Strains. Microorganisms 2024, 12, 1991. [Google Scholar] [CrossRef]














| Specific Context | Scientist | Agronomic Consultant | Farmer |
|---|---|---|---|
| Primary Interest | Fundamental understanding of innate and adaptive immunity of C. pomonella, cellular biology, larval host–pathogen interactions | Practical codling moth management solutions, product development, farmer problem-solving | Direct apple tree protection, economic and efficient codling moth control, sustainable production |
| Hemocyte Investigation Objectives | Understand immunity in all aspects for the C. pomonella larval invasive stage, in-depth plasma and cell type characterization and discovery of the plasticity of signaling pathways | Assess insecticide resistance, evaluate biocontrol effectiveness, screen new pesticidal products | Determine codling moth health status, assess treatment efficacy, monitor field populations |
| Territorial Scope | Global relevance, multiple ecosystems | Regional focus, local adaptation, client territories | Farm-specific, local conditions with low risk tolerance |
| Time Available/Deadlines | Long-term (2–5 years), funding cycles | Medium-term (6 months–2 years), project-based | Short-term (days, season, cultivation period), immediate decisions |
| Technical Skills and Equipment | Advanced microscopy, molecular techniques, other frontline research techniques Research-grade, cutting-edge equipment | Standardized protocols, field-to-lab correlation, communication with the farmer | Rapid assessment, practical interpretation, field applicability. Practical workshops, hands-on training. Use of simple, durable, cost-effective equipment. |
| Achievement Indicators | Publications, citations, grants, novel discoveries | Farmer satisfaction, problem resolution, economic impact, technology transfer | Yield protection, cost savings, reduced pesticide use, crop quality |
| Innovation Uptake | Novel techniques and approaches, proof-of-concept | Proven technologies, scalable methods, field-tested protocols | Simple, robust with proven effectiveness methods |
| Time (min) | PBS | Physiological Saline | Galeria mellonella Anticoagulant Buffer |
|---|---|---|---|
| 0 | 98.33 ± 1.15 a,a | 96.66 ± 1.52 a,a | 97.66 ± 1.52 a,a |
| 5 | 95.00 ± 3.60 a,a | 92.33 ± 2.51 b,a | 85.00 ± 4.58 b,b |
| 10 | 96.33 ± 1.52 a,a | 89.66 ± 1.52 b,b | 84.33 ± 3.21 b,c |
| 15 | 96.00 ± 1.73 a,a | 85.33 ± 2.51 c,b | 86.33 ± 6.02 b,c |
| 20 | 97.00 ± 1.00 a,a | 77.66 ± 3.21 d,b | 71.33 ± 10.01 c,b |
| Glass Slide Deposited Material | Lytic Zone (mm) | μg of Lysozyme Equivalents/mL |
|---|---|---|
| PBS (only) | 0 a | 0 a |
| Dead Β. subtilis in PBS | 0 a | 0 a |
| Hemolymph + PBS | 8 ± 1 b | 75 b |
| Hemolymph + dead Β. subtilis in PBS | 14.2 ± 1.7 c | 600 c |
Disclaimer/Publisher’s Note: The statements, opinions and data contained in all publications are solely those of the individual author(s) and contributor(s) and not of MDPI and/or the editor(s). MDPI and/or the editor(s) disclaim responsibility for any injury to people or property resulting from any ideas, methods, instructions or products referred to in the content. |
© 2025 by the authors. Licensee MDPI, Basel, Switzerland. This article is an open access article distributed under the terms and conditions of the Creative Commons Attribution (CC BY) license (https://creativecommons.org/licenses/by/4.0/).
Share and Cite
Giannoulis, P.; Kalorizou, H. Facilitating Farmers’ Monitoring Access to the Hemolymph of Codling Moth Larvae Cydia pomonella (Linnaeus, 1758) for Informed Decision-Making and Control Strategies in Apple Orchards. Agriculture 2025, 15, 2341. https://doi.org/10.3390/agriculture15222341
Giannoulis P, Kalorizou H. Facilitating Farmers’ Monitoring Access to the Hemolymph of Codling Moth Larvae Cydia pomonella (Linnaeus, 1758) for Informed Decision-Making and Control Strategies in Apple Orchards. Agriculture. 2025; 15(22):2341. https://doi.org/10.3390/agriculture15222341
Chicago/Turabian StyleGiannoulis, Paschalis, and Helen Kalorizou. 2025. "Facilitating Farmers’ Monitoring Access to the Hemolymph of Codling Moth Larvae Cydia pomonella (Linnaeus, 1758) for Informed Decision-Making and Control Strategies in Apple Orchards" Agriculture 15, no. 22: 2341. https://doi.org/10.3390/agriculture15222341
APA StyleGiannoulis, P., & Kalorizou, H. (2025). Facilitating Farmers’ Monitoring Access to the Hemolymph of Codling Moth Larvae Cydia pomonella (Linnaeus, 1758) for Informed Decision-Making and Control Strategies in Apple Orchards. Agriculture, 15(22), 2341. https://doi.org/10.3390/agriculture15222341

