Tracking Soil Organic Carbon and Nitrogen Under Organic Management: A Temporal Perspective
Abstract
1. Introduction
2. Materials and Methods
2.1. Study Site
2.2. Long-Term Trial
2.3. Soil Sampling and Analyses of SOC and Total N
2.4. Soil Microbial Biomass Analyses
2.5. Statistical Analyses
3. Results
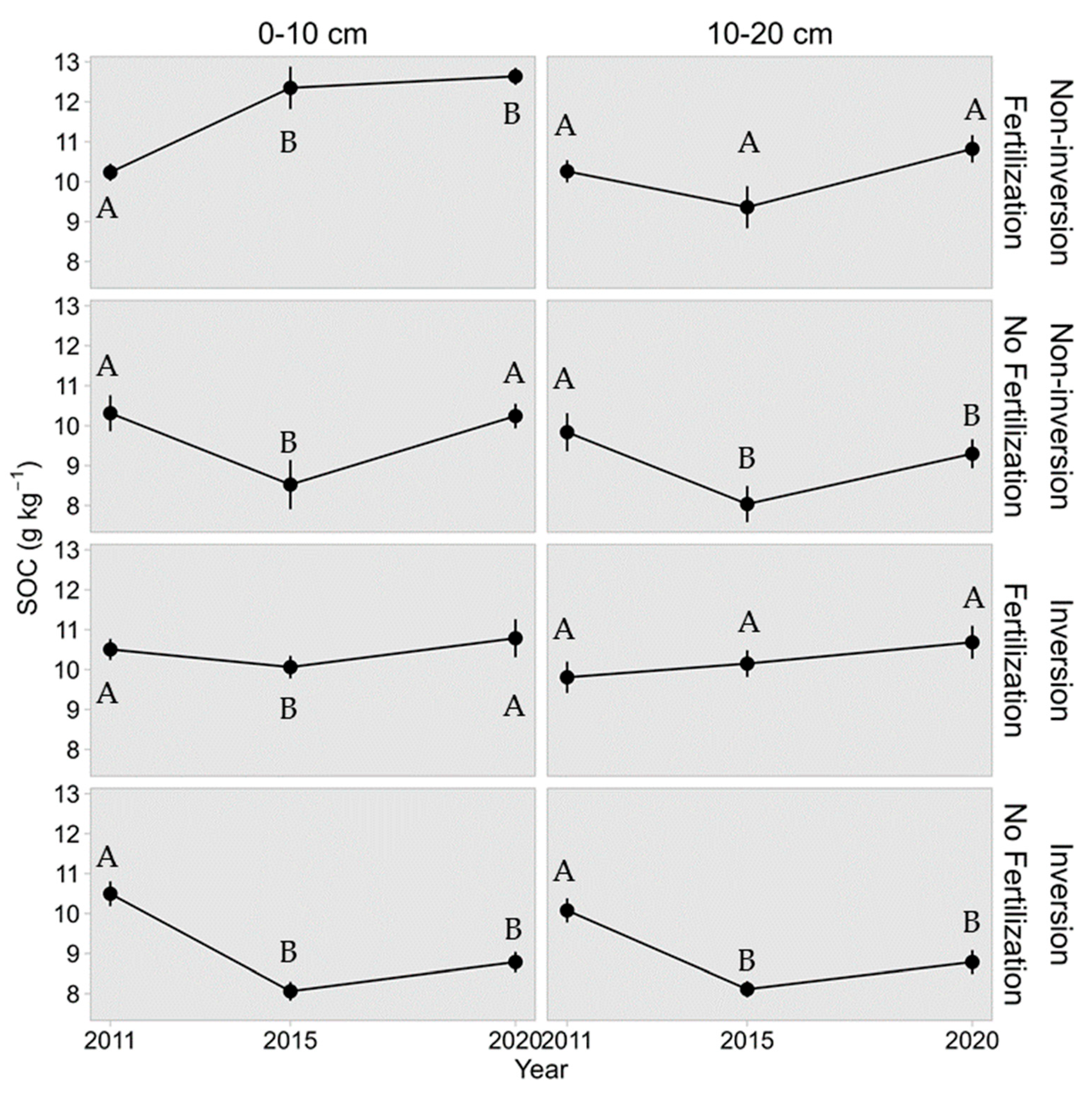
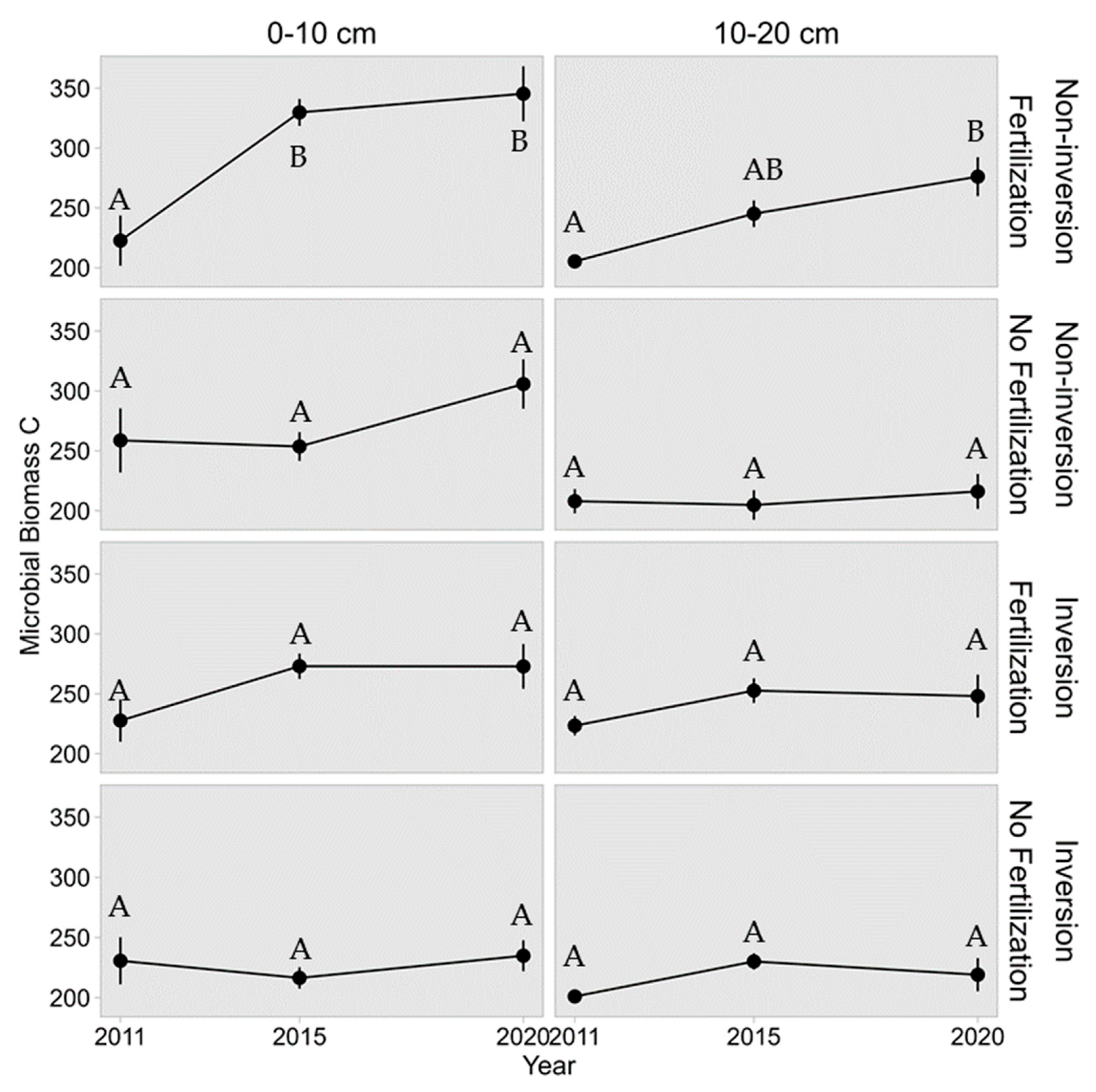
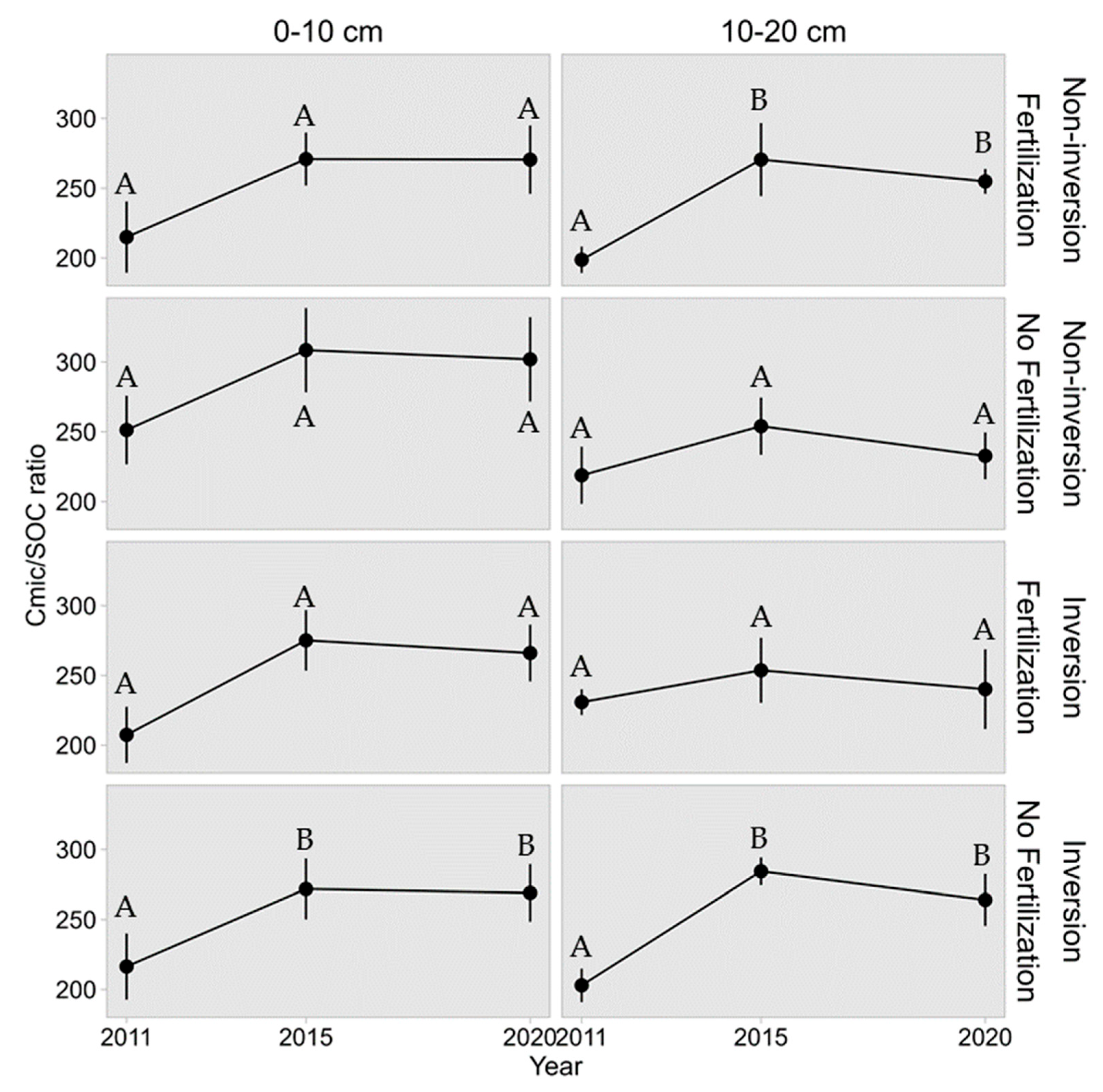
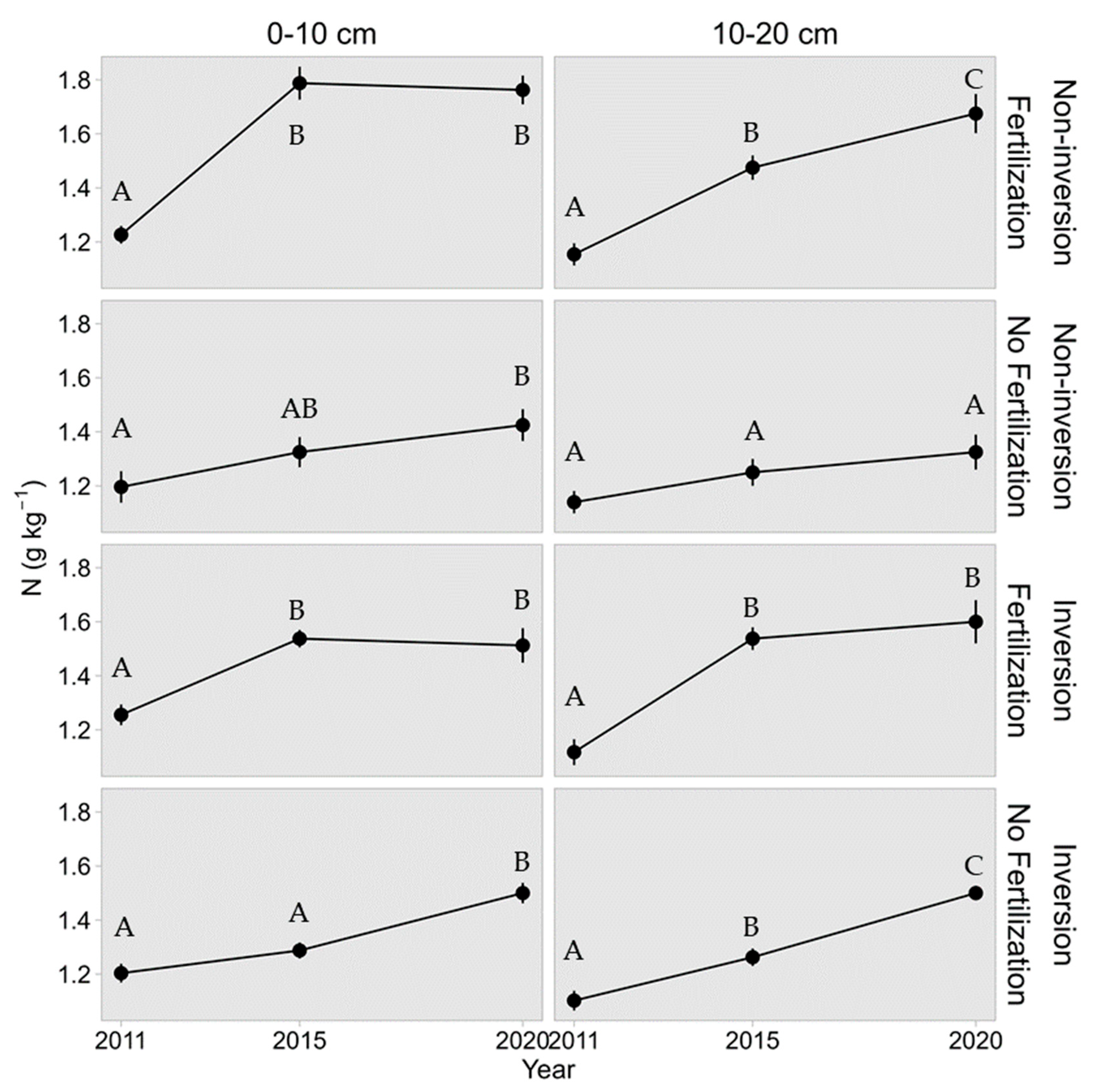
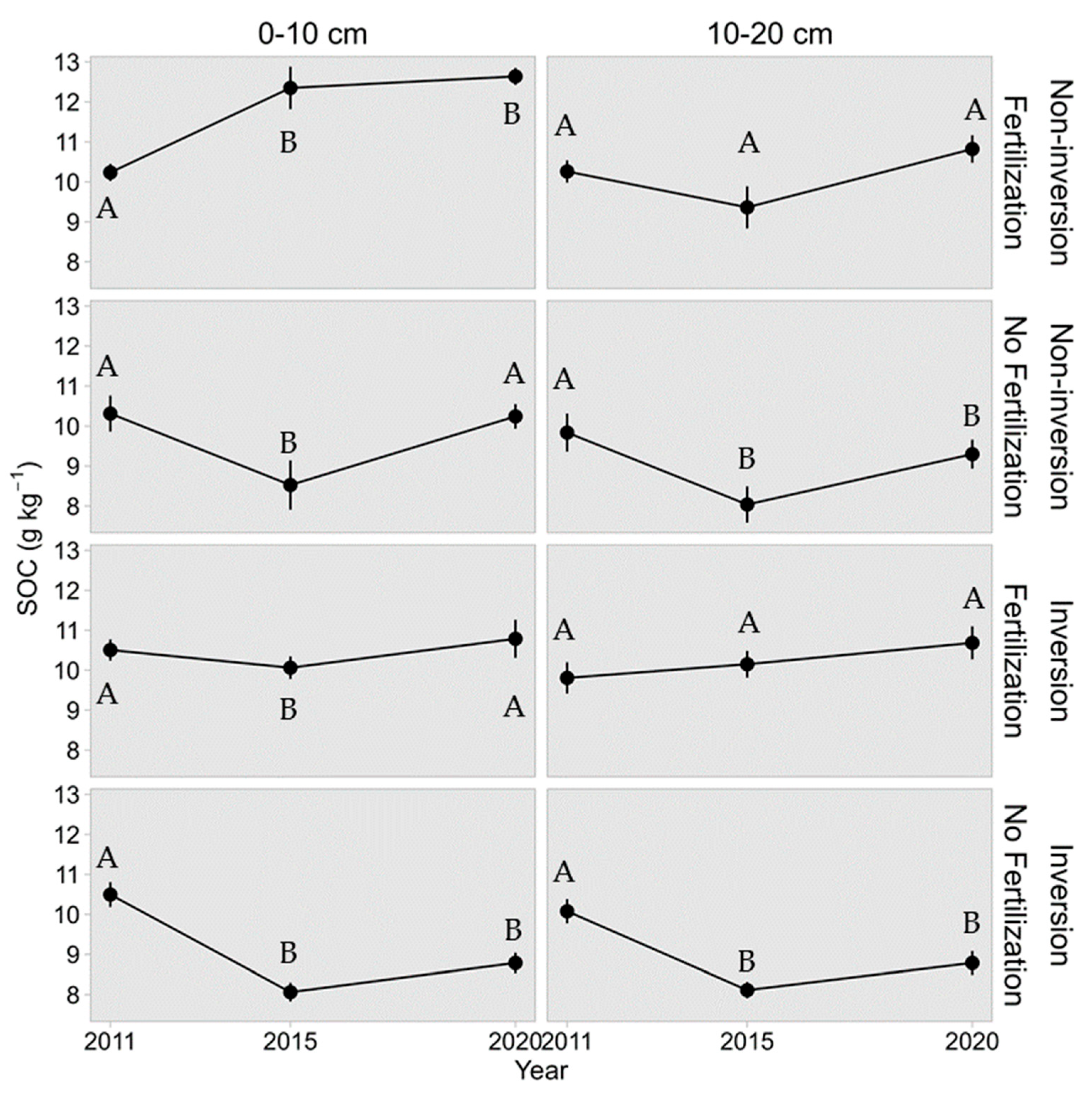
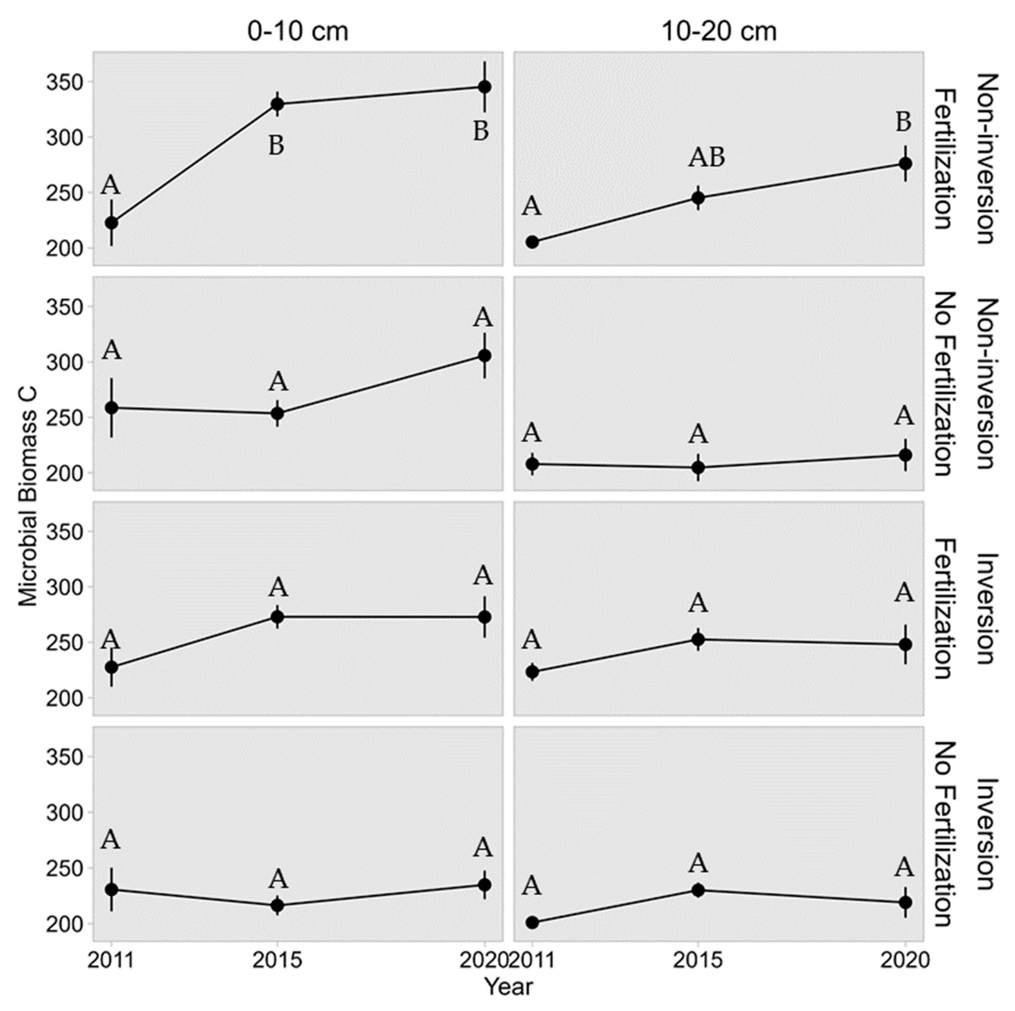
3.1. Changes in SOC, Total N, and Cmic per Combination of Treatments
3.2. Response of SOC and Total N to Experimental Factors
3.2.1. 2011–2015
3.2.2. 2015–2020
4. Discussion
4.1. Response of SOC, Total N, and Microbial Biomass to Management
4.1.1. Response of SOC
4.1.2. Response of Total N
4.1.3. Response of Cmic
4.2. Response of SOC and Total N to Initial SOC
4.2.1. SOC Response
4.2.2. Total N Response
5. Conclusions
Author Contributions
Funding
Institutional Review Board Statement
Data Availability Statement
Acknowledgments
Conflicts of Interest
Appendix A

| Year | 2012 | 2013 | 2014 | 2015 | 2016 | 2021 |
| N kje | 23.8 | 26 | 35.6 | 30.1 | 35.6 | 26.2 |
| 2011–2015 | 2015–2020 | ||
|---|---|---|---|
| ΔSOC (Estimate ± Standard Error) | |||
| Fertilization 0–10 cm | Intercept (average in chisel) | 2.24 ± 0.39 * | 1.25 ± 0.24 * |
| Tillage (T) (chisel vs. moldboard) | −2.55 ± 0.19 * | −0.20 ± 0.33 | |
| Initial SOC | 0.62 ± 0.2 * | −1.39 ± 0.17 * | |
| Interaction | −1.27 ± 0.26 * | 1.86 ± 0.26 * | |
| Fertilization 10–20 cm | Intercept (average in chisel) | −0.81 ± 0.48 | 1.29 ± 0.21 * |
| Tillage (T) (chisel vs. moldboard) | 0.95 ± 0.40 | −0.75 ± 0.30 | |
| Initial SOC | −0.39 ± 0.41 | −0.54 ± 0.22 | |
| Interaction | −0.47 ± 0.49 | 0.51 ± 0.35 | |
| No Fertilization 0–10 cm | Intercept (average in chisel) | −1.79 ± 0.39 * | 1.87 ± 0.13 * |
| Tillage (T) (chisel vs. moldboard) | −0.56 ± 0.25 | −1.2 ± 0.07 * | |
| Initial SOC | −0.001 ± 0.22 | −0.84 ± 0.06 * | |
| Interaction | −0.98 ± 0.30 * | 0.54 ± 0.11 * | |
| No Fertilization 10–20 cm | Intercept (average in chisel) | −1.82 ± 0.19 * | 1.24 ± 0.26 * |
| Tillage (T) (chisel vs. moldboard) | −0.04 ± 0.28 | −0.544 ± 0.25 | |
| Initial SOC | −0.18 ± 0.17 | −0.44 ± 0.2 | |
| Interaction | −0.75 ± 0.32 | −0.12 ± 0.40 | |
| 2011–2015 | 2015–2020 | ||
|---|---|---|---|
| ΔN (Estimate ± Standard Error) | |||
| Fertilization 0–10 cm | Intercept (average in chisel) | 0.58 ± 0.03 * | 0.02 ± 0.07 |
| Tillage (T) (chisel vs. moldboard) | −0.28 ± 1.9 × 10−9 * | −0.12 ± 0.14 | |
| Initial SOC | 0.09 ± 0.04 | −0.06 ± 0.07 | |
| Interaction | −0.15 ± 0.05 * | 0.30 ± 0.12 | |
| Fertilization 10–20 cm | Intercept (average in chisel) | 0.33 ± 0.05 * | 0.2 ± 0.06 * |
| Tillage (T) (chisel vs. moldboard) | 0.09 ± 0.05 | −0.18 ± 0.07 | |
| Initial SOC | −0.02 ± 0.05 | 0.01 ± 0.05 | |
| Interaction | 0.02 ± 0.06 | 0.12 ± 0.08 | |
| No Fertilization 0–10 cm | Intercept (average in chisel) | 0.13 ± 0.03 * | 0.11 ± 0.06 |
| Tillage (T) (chisel vs. moldboard) | −0.04 ± 0.05 | 0.11 ± 0.09 | |
| Initial SOC | −0.02 ± 0.03 | −0.04 ± 0.05 | |
| Interaction | 0.002 ± 0.05 | 0.04 ± 0.14 | |
| No Fertilization 10–20 cm | Intercept (average in chisel) | 0.11 ± 0.04 * | 0.07 ± 0.07 |
| Tillage (T) (chisel vs. moldboard) | 0.05 ± 0.03 | 0.17 ± 0.05 | |
| Initial SOC | −0.01 ± 0.03 | −0.007 ± 0.04 | |
| Interaction | 0.04 ± 0.04 | −0.06 ± 0.08 | |
| 2011 | 2016 | 2020 | |||
|---|---|---|---|---|---|
| 0–10 cm | Fertilization | Non-Inversion | 222.70 ± 20.98 A | 329.75 ± 11.29 B | 345.35 ± 23.04 B |
| Inversion | 227.60 ± 17.65 A | 273.01 ± 10.65 A | 272.85 ± 18.72 A | ||
| No Fertilization | Non-Inversion | 258.70 ± 26.85 A | 253.64 ± 12.03 A | 305.77 ± 20.58 A | |
| Inversion | 230.70 ± 19.64 A | 216.43 ± 8.93 A | 234.92 ± 12.95 A | ||
| 10–20 cm | Fertilization | Non-Inversion | 205.40 ± 5.30 A | 245.16 ± 11.15 A B | 276.12 ± 16.3 B |
| Inversion | 223.40 ± 8.16 A | 252.63 ± 10.3 A | 260.72 ± 18.77 A | ||
| No Fertilization | Non-Inversion | 207.96 ± 10.22 A | 204.81 ± 12.39 A | 216.06 ± 14.61 A | |
| Inversion | 203.59 ± 5.64 A | 230.14 ± 6.70 A | 231.60 ± 17.04 A |
| 2011 | 2016 | 2020 | |||
|---|---|---|---|---|---|
| 0–10 cm | Fertilization | Non-Inversion | 214.97 ± 25.6 A | 270.89 ± 18.99 A | 270.48 ± 24.52 A |
| Inversion | 207.43 ± 20.14 A | 275.14 ± 21.71 A | 266.06 ± 20.39 A | ||
| No Fertilization | Non-Inversion | 251.3 ± 24.61 A | 308.55 ± 30.22 A | 301.96 ± 30.27 A | |
| Inversion | 216.45 ± 23.71 A | 271.86 ± 21.75 B | 269.04 ± 20.59 B | ||
| 10–20 cm | Fertilization | Non-Inversion | 198.72 ± 9.46 A | 270.52 ± 26.18 B | 254.89 ± 8.93 B |
| Inversion | 230.86 ± 9.25 A | 253.66 ± 23.32 A | 240.17 ± 28.58 A | ||
| No Fertilization | Non-Inversion | 218.85 ± 20.5 A | 254.03 ± 20.55 A | 232.76 ± 16.83 A | |
| Inversion | 202.99 ± 12.01 A | 284.45 ± 9.91 B | 264.04 ± 18.56 B |
References
- Gebremedhin, M.; Coyne, M.S.; Sistani, K.R. How Much Margin Is Left for Degrading Agricultural Soils? The Coming Soil Crises. Soil Syst. 2022, 6, 22. [Google Scholar] [CrossRef]
- European Commission: Directorate-General for Research and Innovation; Veerman, C.; Pinto Correia, T.; Bastioli, C.; Biro, B.; Bouma, J.; Cienciala, E.; Emmett, B.; Frison, E.A.; Grand, A.; et al. Caring for Soil is Caring for Life—Ensure 75% of Soils Are Healthy by 2030 for Food, People, Nature and Climate—Report of the Mission Board for Soil Health and Food; EU publications: Luxembourg, 2020; Available online: https://data.europa.eu/doi/10.2777/821504 (accessed on 7 February 2024).
- Grilli, E.; Carvalho, S.C.P.; Chiti, T.; Coppola, E.; D’Ascoli, R.; La Mantia, T.; Marzaioli, R.; Mastrocicco, M.; Pulido, F.; Rutigliano, F.A.; et al. Critical Range of Soil Organic Carbon in Southern Europe Lands under Desertification Risk. J. Environ. Manag. 2021, 287, 112285. [Google Scholar] [CrossRef]
- Lal, R. Soil Carbon Sequestration Impacts on Global Climate Change and Food Security. Science 2004, 304, 1623–1627. [Google Scholar] [CrossRef]
- Gama-Rodrigues, A.C. Soil Organic Matter, Nutrient Cycling and Biological Dinitrogen-Fixation in Agroforestry Systems. Agroforest Syst 2011, 81, 191–193. [Google Scholar] [CrossRef]
- Molina-Herrera, S.; Romanyà, J. Synergistic and Antagonistic Interactions among Organic Amendments of Contrasted Stability, Nutrient Availability and Soil Organic Matter in the Regulation of C Mineralisation. Eur. J. Soil Biol. 2015, 70, 118–125. [Google Scholar] [CrossRef]
- González-Sánchez, E.J.; Ordóñez-Fernández, R.; Carbonell-Bojollo, R.; Veroz-González, O.; Gil-Ribes, J.A. Meta-Analysis on Atmospheric Carbon Capture in Spain through the Use of Conservation Agriculture. Soil Tillage Res. 2012, 122, 52–60. [Google Scholar] [CrossRef]
- Janzen, H.H. The Soil Carbon Dilemma: Shall We Hoard It or Use It? Soil Biol. Biochem. 2006, 38, 419–424. [Google Scholar] [CrossRef]
- Paustian, K.; Lehmann, J.; Ogle, S.; Reay, D.; Robertson, G.P.; Smith, P. Climate-Smart Soils. Nature 2016, 532, 49–57. [Google Scholar] [CrossRef]
- Robertson, G.P.; Vitousek, P.M. Nitrogen in Agriculture: Balancing the Cost of an Essential Resource. Annu. Rev. Environ. Resour. 2009, 34, 97–125. [Google Scholar] [CrossRef]
- Seufert, V.; Ramankutty, N.; Foley, J.A. Comparing the Yields of Organic and Conventional Agriculture. Nature 2012, 485, 229–232. [Google Scholar] [CrossRef]
- Ma, F.; Wang, C.; Zhang, Y.; Chen, J.; Xie, R.; Sun, Z. Development of Microbial Indicators in Ecological Systems. Int. J. Environ. Res. Public Health 2022, 19, 13888. [Google Scholar] [CrossRef]
- Busari, M.A.; Kukal, S.S.; Kaur, A.; Bhatt, R.; Dulazi, A.A. Conservation Tillage Impacts on Soil, Crop and the Environment. Int. Soil Water Conserv. Res. 2015, 3, 119–129. [Google Scholar] [CrossRef]
- Liang, B.; Yang, X.; He, X.; Zhou, J. Effects of 17-Year Fertilization on Soil Microbial Biomass C and N and Soluble Organic C and N in Loessial Soil during Maize Growth. Biol. Fertil. Soils 2011, 47, 121–128. [Google Scholar] [CrossRef]
- Stoate, C.; Báldi, A.; Beja, P.; Boatman, N.D.; Herzon, I.; van Doorn, A.; de Snoo, G.R.; Rakosy, L.; Ramwell, C. Ecological Impacts of Early 21st Century Agricultural Change in Europe—A Review. J. Environ. Manag. 2009, 91, 22–46. [Google Scholar] [CrossRef] [PubMed]
- Blanco-Canqui, H.; Ruis, S.J.; Francis, C.A. Do Organic Farming Practices Improve Soil Physical Properties? Soil Use Manag. 2024, 40, e12999. [Google Scholar] [CrossRef]
- Francaviglia, R.; Almagro, M.; Vicente-Vicente, J.L. Conservation Agriculture and Soil Organic Carbon: Principles, Processes, Practices and Policy Options. Soil Syst. 2023, 7, 17. [Google Scholar] [CrossRef]
- Gattinger, A.; Muller, A.; Haeni, M.; Skinner, C.; Fliessbach, A.; Buchmann, N.; Mäder, P.; Stolze, M.; Smith, P.; Scialabba, N.E.-H.; et al. Enhanced Top Soil Carbon Stocks under Organic Farming. Proc. Natl. Acad. Sci. USA 2012, 109, 18226–18231. [Google Scholar] [CrossRef] [PubMed]
- Hewelke, E.; Weber, J.; Mielnik, L.; Spaccini, R.; Gozdowski, D.; Podlasiński, M.; Ćwieląg-Piasecka, I.; Jamróz, E.; Jerzykiewicz, M.; Perzanowska, A.; et al. Effect of 55 Years of Different Soil Management on Soil Physical Properties and Stability of Soil Organic Matter. Agric. Ecosyst. Environ. 2026, 396, 110005. [Google Scholar] [CrossRef]
- Bilibio, C.; Uteau, D.; Horvat, M.; Rosskopf, U.; Junge, S.M.; Finckh, M.R.; Peth, S. Impact of Ten Years Conservation Tillage in Organic Farming on Soil Physical Properties in a Loess Soil—Northern Hesse, Germany. Agriculture 2023, 13, 133. [Google Scholar] [CrossRef]
- West, T.O.; Post, W.M. Soil Organic Carbon Sequestration Rates by Tillage and Crop Rotation. Soil Sci. Soc. Am. J. 2002, 66, 1930–1946. [Google Scholar] [CrossRef]
- D’Hose, T.; Molendijk, L.; Van Vooren, L.; Van Den Berg, W.; Hoek, H.; Runia, W.; Van Evert, F.; Ten Berge, H.; Spiegel, H.; Sandèn, T.; et al. Responses of Soil Biota to Non-Inversion Tillage and Organic Amendments: An Analysis on European Multiyear Field Experiments. Pedobiologia 2018, 66, 18–28. [Google Scholar] [CrossRef]
- Li, Y.; Wang, Y.; Qiu, G.; Yu, H.; Liu, F.; Wang, G.; Duan, Y. Conservation Tillage Facilitates the Accumulation of Soil Organic Carbon Fractions by Affecting the Microbial Community in an Eolian Sandy Soil. Front. Microbiol. 2024, 15, 1394179. [Google Scholar] [CrossRef]
- Alvarez, R. A Review of Nitrogen Fertilizer and Conservation Tillage Effects on Soil Organic Carbon Storage. Soil Use Manag. 2005, 21, 38–52. [Google Scholar] [CrossRef]
- Krauss, M.; Wiesmeier, M.; Don, A.; Cuperus, F.; Gattinger, A.; Gruber, S.; Haagsma, W.K.; Peigné, J.; Palazzoli, M.C.; Schulz, F.; et al. Reduced Tillage in Organic Farming Affects Soil Organic Carbon Stocks in Temperate Europe. Soil Tillage Res. 2022, 216, 105262. [Google Scholar] [CrossRef]
- Luo, Z.; Wang, E.; Sun, O.J. Can No-Tillage Stimulate Carbon Sequestration in Agricultural Soils? A Meta-Analysis of Paired Experiments. Agric. Ecosyst. Environ. 2010, 139, 224–231. [Google Scholar] [CrossRef]
- Edmeades, D.C. The Long-Term Effects of Manures and Fertilisers on Soil Productivity and Quality: A Review. Nutr. Cycl. Agroecosyst. 2003, 66, 165–180. [Google Scholar] [CrossRef]
- Simon, C.; Miltner, A.; Mulder, I.; Kaiser, K.; Lorenz, M.; Thiele-Bruhn, S.; Lechtenfeld, O. Long-Term Effects of Manure Addition on Soil Organic Matter Molecular Composition: Carbon Transformation as a Major Driver of Energetic Potential. Soil Biol. Biochem. 2025, 205, 109755. [Google Scholar] [CrossRef]
- Crystal-Ornelas, R.; Thapa, R.; Tully, K.L. Soil Organic Carbon Is Affected by Organic Amendments, Conservation Tillage, and Cover Cropping in Organic Farming Systems: A Meta-Analysis. Agric. Ecosyst. Environ. 2021, 312, 107356. [Google Scholar] [CrossRef]
- Reimer, M.; Kopp, C.; Hartmann, T.; Zimmermann, H.; Ruser, R.; Schulz, R.; Müller, T.; Möller, K. Assessing Long Term Effects of Compost Fertilization on Soil Fertility and Nitrogen Mineralization Rate. J. Plant Nutr. Soil Sci. 2023, 186, 217–233. [Google Scholar] [CrossRef]
- Govednik, A.; Potočnik, Ž.; Eler, K.; Mihelič, R.; Suhadolc, M. Combined Effects of Long-Term Tillage and Fertilisation Regimes on Soil Organic Carbon, Microbial Biomass, and Abundance of the Total Microbial Communities and N-Functional Guilds. Appl. Soil Ecol. 2023, 188, 104876. [Google Scholar] [CrossRef]
- Haddaway, N.R.; Hedlund, K.; Jackson, L.E.; Kätterer, T.; Lugato, E.; Thomsen, I.K.; Jørgensen, H.B.; Isberg, P.-E. How Does Tillage Intensity Affect Soil Organic Carbon? A Systematic Review. Environ. Evid. 2017, 6, 30. [Google Scholar] [CrossRef]
- Aguilera, E.; Lassaletta, L.; Gattinger, A.; Gimeno, B.S. Managing Soil Carbon for Climate Change Mitigation and Adaptation in Mediterranean Cropping Systems: A Meta-Analysis. Agric. Ecosyst. Environ. 2013, 168, 25–36. [Google Scholar] [CrossRef]
- Bertora, C.; Zavattaro, L.; Sacco, D.; Monaco, S.; Grignani, C. Soil Organic Matter Dynamics and Losses in Manured Maize-Based Forage Systems. Eur. J. Agron. 2009, 30, 177–186. [Google Scholar] [CrossRef]
- Chocano, C.; García, C.; González, D.; Melgares de Aguilar, J.; Hernández, T. Organic Plum Cultivation in the Mediterranean Region: The Medium-Term Effect of Five Different Organic Soil Management Practices on Crop Production and Microbiological Soil Quality. Agric. Ecosyst. Environ. 2016, 221, 60–70. [Google Scholar] [CrossRef]
- Laudicina, V.A.; Badalucco, L.; Palazzolo, E. Effects of Compost Input and Tillage Intensity on Soil Microbial Biomass and Activity under Mediterranean Conditions. Biol. Fertil. Soils 2011, 47, 63–70. [Google Scholar] [CrossRef]
- Gardi, C.; Visioli, G.; Conti, F.D.; Scotti, M.; Menta, C.; Bodini, A. High Nature Value Farmland: Assessment of Soil Organic Carbon in Europe. Front. Environ. Sci. 2016, 4, 47. [Google Scholar] [CrossRef]
- Jones, R.J.A.; Hiederer, R.; Rusco, E.; Montanarella, L. Estimating Organic Carbon in the Soils of Europe for Policy Support. Eur. J. Soil Sci. 2005, 56, 655–671. [Google Scholar] [CrossRef]
- Jarvis, P.; Rey, A.; Petsikos, C.; Wingate, L.; Rayment, M.; Pereira, J.; Banza, J.; David, J.; Miglietta, F.; Borghetti, M.; et al. Drying and Wetting of Mediterranean Soils Stimulates Decomposition and Carbon Dioxide Emission: The “Birch Effect”. Tree Physiol. 2007, 27, 929–940. [Google Scholar] [CrossRef] [PubMed]
- Kurganova, I.N.; Lopes de Gerenyu, V.O.; Gallardo Lancho, J.F.; Oehm, C.T. Evaluation of the Rates of Soil Organic Matter Mineralization in Forest Ecosystems of Temperate Continental, Mediterranean, and Tropical Monsoon Climates. Eurasian Soil Sci. 2012, 45, 68–79. [Google Scholar] [CrossRef]
- Lorenz, K.; Lal, R.; Ehlers, K. Soil Organic Carbon Stock as an Indicator for Monitoring Land and Soil Degradation in Relation to United Nations’ Sustainable Development Goals. Land Degrad. Dev. 2019, 30, 824–838. [Google Scholar] [CrossRef]
- Fiedler, S.R.; Buczko, U.; Jurasinski, G.; Glatzel, S. Soil Respiration after Tillage under Different Fertiliser Treatments—Implications for Modelling and Balancing. Soil Tillage Res. 2015, 150, 30–42. [Google Scholar] [CrossRef]
- Gambolati, G.; Putti, M.; Teatini, P.; Camporese, M.; Ferraris, S.; Stori, G.G.; Nicoletti, V.; Silvestri, S.; Rizzetto, F.; Tosi, L. Peat Land Oxidation Enhances Subsidence in the Venice Watershed. Eos Trans. Am. Geophys. Union 2005, 86, 217–220. [Google Scholar] [CrossRef]
- Loveland, P.; Webb, J. Is There a Critical Level of Organic Matter in the Agricultural Soils of Temperate Regions: A Review. Soil Tillage Res. 2003, 70, 1–18. [Google Scholar] [CrossRef]
- Kimetu, J.M.; Lehmann, J.; Kinyangi, J.M.; Cheng, C.H.; Thies, J.; Mugendi, D.N.; Pell, A. Soil Organic C Stabilization and Thresholds in C Saturation. Soil Biol. Biochem. 2009, 41, 2100–2104. [Google Scholar] [CrossRef]
- Stewart, C.E.; Paustian, K.; Conant, R.T.; Plante, A.F.; Six, J. Soil Carbon Saturation: Concept, Evidence and Evaluation. Biogeochemistry 2007, 86, 19–31. [Google Scholar] [CrossRef]
- Senthilkumar, S.; Basso, B.; Kravchenko, A.N.; Robertson, G.P. Contemporary Evidence of Soil Carbon Loss in the U.S. Corn Belt. Soil Sci. Soc. Am. J. 2009, 73, 2078–2086. [Google Scholar] [CrossRef]
- Soil Survey Staff. Illustrated Guide to Soil Taxonomy; U.S. Department of Agriculture, Natural Resources Conservation Service, National Soil Survey Center: Lincoln, NE, USA, 2015.
- IUSS Working Group WRB. World Reference Base for Soil Resources 2014, Update 2015. International Soil Classification System for Naming Soils and Creating Legends for Soil Maps; FAO: Rome, Italy, 2015. [Google Scholar]
- Baldivieso-Freitas, P.; Blanco-Moreno, J.M.; Armengot, L.; Chamorro, L.; Romanyà, J.; Sans, F.X. Crop Yield, Weed Infestation and Soil Fertility Responses to Contrasted Ploughing Intensity and Manure Additions in a Mediterranean Organic Crop Rotation. Soil Tillage Res. 2018, 180, 10–20. [Google Scholar] [CrossRef]
- Shamrikova, E.V.; Vanchikova, E.V.; Lu-Lyan-Min, E.I.; Kubik, O.S.; Zhangurov, E.V. Which Method to Choose for Measurement of Oranic and Inorganic Carbon Content in Carbonate-Rich Soils? Advantages and Disadvantages of Dry and Wet Chemistry. CATENA 2023, 228, 107151. [Google Scholar] [CrossRef]
- FAO. Standard Operating Procedure for Soil Nitrogen—Kjeldahl Method; FAO: Rome, Italy, 2021. [Google Scholar]
- Vance, E.D.; Brookes, P.C.; Jenkinson, D.S. An Extraction Method for Measuring Soil Microbial Biomass C. Soil Biol. Biochem. 1987, 19, 703–707. [Google Scholar] [CrossRef]
- Joergensen, R.G. The Fumigation-Extraction Method to Estimate Soil Microbial Biomass: Calibration of the kEC Value. Soil Biol. Biochem. 1996, 28, 25–31. [Google Scholar] [CrossRef]
- Hartig, F. DHARMa: Residual Diagnostics for Hierarchical (Multi-Level/Mixed) Regression Models. R Package Version 0.4.7. 2024. Available online: https://github.com/florianhartig/dharma (accessed on 3 September 2025).
- R Core Team. R: A Language and Environment for Statistical Computing, Version 4.2.3; R Foundation for Statistical Computing: Vienna, Austria, 2022. [Google Scholar]
- Hernanz, J.L.; López, R.; Navarrete, L.; Sánchez-Girón, V. Long-Term Effects of Tillage Systems and Rotations on Soil Structural Stability and Organic Carbon Stratification in Semiarid Central Spain. Soil Tillage Res. 2002, 66, 129–141. [Google Scholar] [CrossRef]
- Martínez-Mena, M.; Carrillo-López, E.; Boix-Fayos, C.; Almagro, M.; García Franco, N.; Díaz-Pereira, E.; Montoya, I.; de Vente, J. Long-Term Effectiveness of Sustainable Land Management Practices to Control Runoff, Soil Erosion, and Nutrient Loss and the Role of Rainfall Intensity in Mediterranean Rainfed Agroecosystems. CATENA 2020, 187, 104352. [Google Scholar] [CrossRef]
- Mihelič, R.; Pintarič, S.; Eler, K.; Suhadolc, M. Effects of Transitioning from Conventional to Organic Farming on Soil Organic Carbon and Microbial Community: A Comparison of Long-Term Non-Inversion Minimum Tillage and Conventional Tillage. Biol. Fertil. Soils 2024, 60, 341–355. [Google Scholar] [CrossRef]
- Swanepoel, C.M.; Rötter, R.P.; van der Laan, M.; Annandale, J.G.; Beukes, D.J.; du Preez, C.C.; Swanepoel, L.H.; van der Merwe, A.; Hoffmann, M.P. The Benefits of Conservation Agriculture on Soil Organic Carbon and Yield in Southern Africa Are Site-Specific. Soil Tillage Res. 2018, 183, 72–82. [Google Scholar] [CrossRef]
- Gadermaier, F.; Berner, A.; Fließbach, A.; Friedel, J.K.; Mäder, P. Impact of Reduced Tillage on Soil Organic Carbon and Nutrient Budgets under Organic Farming. Renew. Agric. Food Syst. 2012, 27, 68–80. [Google Scholar] [CrossRef]
- Sacco, D.; Moretti, B.; Monaco, S.; Grignani, C. Six-Year Transition from Conventional to Organic Farming: Effects on Crop Production and Soil Quality. Eur. J. Agron. 2015, 69, 10–20. [Google Scholar] [CrossRef]
- Martín-Lammerding, D.; Tenorio, J.L.; Albarrán, M.M.; Zambrana, E.; Walter, I. Influence of Tillage Practices on Soil Biologically Active Organic Matter Content over a Growing Season under Semiarid Mediterranean Climate. Span. J. Agric. Res. 2013, 11, 232–243. [Google Scholar] [CrossRef]
- Allam, M.; Radicetti, E.; Quintarelli, V.; Petroselli, V.; Marinari, S.; Mancinelli, R. Influence of Organic and Mineral Fertilizers on Soil Organic Carbon and Crop Productivity under Different Tillage Systems: A Meta-Analysis. Agriculture 2022, 12, 464. [Google Scholar] [CrossRef]
- Grignani, C.; Zavattaro, L.; Sacco, D.; Monaco, S. Production, Nitrogen and Carbon Balance of Maize-Based Forage Systems. Eur. J. Agron. 2007, 26, 442–453. [Google Scholar] [CrossRef]
- Lehtinen, T.; Schlatter, N.; Baumgarten, A.; Bechini, L.; Krüger, J.; Grignani, C.; Zavattaro, L.; Costamagna, C.; Spiegel, H. Effect of Crop Residue Incorporation on Soil Organic Carbon and Greenhouse Gas Emissions in European Agricultural Soils. Soil Use Manag. 2014, 30, 524–538. [Google Scholar] [CrossRef]
- Navas, A.; Gaspar, L.; Quijano, L.; López-Vicente, M.; Machín, J. Patterns of Soil Organic Carbon and Nitrogen in Relation to Soil Movement under Different Land Uses in Mountain Fields (South Central Pyrenees). CATENA 2012, 94, 43–52. [Google Scholar] [CrossRef]
- Wang, Y.; Tu, C.; Cheng, L.; Li, C.; Gentry, L.F.; Hoyt, G.D.; Zhang, X.; Hu, S. Long-Term Impact of Farming Practices on Soil Organic Carbon and Nitrogen Pools and Microbial Biomass and Activity. Soil Tillage Res. 2011, 117, 8–16. [Google Scholar] [CrossRef]
- Drinkwater, L.E.; Wagoner, P.; Sarrantonio, M. Legume-Based Cropping Systems Have Reduced Carbon and Nitrogen Losses. Nature 1998, 396, 262–265. [Google Scholar] [CrossRef]
- Goulding, K.W.T.; Bailey, N.J.; Bradbury, N.J.; Hargreaves, P.; Howe, M.; Murphy, D.V.; Poulton, P.R.; Willison, T.W. Nitrogen Deposition and Its Contribution to Nitrogen Cycling and Associated Soil Processes. New Phytol. 1998, 139, 49–58. [Google Scholar] [CrossRef]
- Rochester, I.J.; Peoples, M.B.; Hulugalle, N.R.; Gault, R.R.; Constable, G.A. Using Legumes to Enhance Nitrogen Fertility and Improve Soil Condition in Cotton Cropping Systems. Field Crops Res. 2001, 70, 27–41. [Google Scholar] [CrossRef]
- Hartmann, M.; Frey, B.; Mayer, J.; Mäder, P.; Widmer, F. Distinct Soil Microbial Diversity under Long-Term Organic and Conventional Farming. ISME J. 2015, 9, 1177–1194. [Google Scholar] [CrossRef]
- Li, J.; Li, Y.; Yang, X.; Zhang, J.; Lin, Z.; Zhao, B. Microbial Community Structure and Functional Metabolic Diversity Are Associated with Organic Carbon Availability in an Agricultural Soil. J. Integr. Agric. 2015, 14, 2500–2511. [Google Scholar] [CrossRef]
- Ulrich, S.; Tischer, S.; Hofmann, B.; Christen, O. Biological Soil Properties in a Long-Term Tillage Trial in Germany. J. Plant Nutr. Soil Sci. 2010, 173, 483–489. [Google Scholar] [CrossRef]
- Lal, R. Restoring Soil Quality to Mitigate Soil Degradation. Sustainability 2015, 7, 5875–5895. [Google Scholar] [CrossRef]
- Francaviglia, R.; Di Bene, C.; Farina, R.; Salvati, L.; Vicente-Vicente, J.L. Assessing “4 per 1000” Soil Organic Carbon Storage Rates under Mediterranean Climate: A Comprehensive Data Analysis. Mitig. Adapt. Strat. Glob. Change 2019, 24, 795–818. [Google Scholar] [CrossRef]
- Sun, W.; Huang, Y.; Zhang, W.; Yu, Y. Carbon Sequestration and Its Potential in Agricultural Soils of China. Glob. Biogeochem. Cycles 2010, 24, 3. [Google Scholar] [CrossRef]
- Pezzuolo, A.; Dumont, B.; Sartori, L.; Marinello, F.; De Antoni Migliorati, M.; Basso, B. Evaluating the Impact of Soil Conservation Measures on Soil Organic Carbon at the Farm Scale. Comput. Electron. Agric. 2017, 135, 175–182. [Google Scholar] [CrossRef]
- Rosinger, C.; Keiblinger, K.; Bieber, M.; Bernardini, L.G.; Huber, S.; Mentler, A.; Sae-Tun, O.; Scharf, B.; Bodner, G. On-Farm Soil Organic Carbon Sequestration Potentials Are Dominated by Site Effects, Not by Management Practices. Geoderma 2023, 433, 116466. [Google Scholar] [CrossRef]
- Six, J.; Conant, R.T.; Paul, E.A.; Paustian, K. Stabilization Mechanisms of Soil Organic Matter: Implications for C-Saturation of Soils. Plant Soil 2002, 241, 155–176. [Google Scholar] [CrossRef]







| Year | 2012 | 2013 | 2014 | 2015 | 2016 | 2017 | 2018 | 2019 | 2020 |
| Crop | Spelt | Chickpea | Winter wheat | Lentil | Spelt | Alfalfa (Medicago sativa) (failed: fallow) | Oat + Vetch | Winter wheat | Chickpea |
| (Triticum spelta) | (Cicer arietinum) | (Triticum aestivum) | (Vicia lens) | (Triticum spelta) | (Avena sativa + Vicia sativa) | (Triticum aestivum) | (Cicer arietinum) | ||
| Fertilization (kg N/ha) | 134.6 | 40.04 | 138.28 | 62.36 | 127.49 | No fert | No fert | No fert | No fert |
| Tillage date | 12 December 2011 | 28 March 2013 | 10 December 2013 | 20 March 2015 | 13 November 2015 | 1 March 2017 | 10 March 2018 | 7 January 2019 | 10 March 2020 |
| Sowing date | 14 December 2011 | 13 April 2013 | 16 December 2013 | 31 March 2015 | 19 November 2015 | 20 March 2017 | 14 March 2018 | 10 January 2019 | 9 March 2020 |
| Sowing density (kg/ha) | 195 | 30 | 220 | 180 | 200 | 20 | 60 Oat 100 Vetch | 200 | 30 |
| Weed control method | - | Inter-row cultivator | Flex-tine harrow | Hand weeding | - | - | - | - | - |
| Weed control date | - | 30 May 2013 | 4 March 2014 | 2 June 2015 | - | - | - | - | - |
| Harvest | 12 July 2012 | 31 July 2013 | 12 August 2014 | 20 September 2015 | 13 July 2016 | 12 October 2017 | No harvest | 22 July 2019 | 27 July 2020 |
| Biomass (kg ha−1) | Cereal | Legume | Weed | ||
|---|---|---|---|---|---|
| 2011–2015 | F+ | NI | 5474.5 ± 735.5 | 1931.4 ± 430.8 | 1261.7 ± 239 |
| I | 5643.2 ± 761.5 | 1919 ± 399.4 | 1109 ± 221.4 | ||
| F− | NI | 4336.5 ± 633.5 | 2165.1 ± 435 | 829.7 ± 140.9 | |
| I | 4542.2 ± 666.2 | 2401.9 ± 447.1 | 787.6 ± 145.3 | ||
| 2015–2020 | F+ | NI | 5708.2 ± 777.6 | 2866.9 ± 615.5 | 275 ± 55.1 |
| I | 6004.3 ± 779.3 | 2540 ± 470.1 | 143.5 ± 58.8 | ||
| F− | NI | 4774.8 ± 588.5 | 3261.1 ± 537.4 | 227.5 ± 73.4 | |
| I | 5115 ± 606.4 | 3697.2 ± 579 | 104.5 ± 22.3 |
Disclaimer/Publisher’s Note: The statements, opinions and data contained in all publications are solely those of the individual author(s) and contributor(s) and not of MDPI and/or the editor(s). MDPI and/or the editor(s) disclaim responsibility for any injury to people or property resulting from any ideas, methods, instructions or products referred to in the content. |
© 2025 by the authors. Licensee MDPI, Basel, Switzerland. This article is an open access article distributed under the terms and conditions of the Creative Commons Attribution (CC BY) license (https://creativecommons.org/licenses/by/4.0/).
Share and Cite
Bragg, D.; Romanyà, J.; Blanco-Moreno, J.M.; Sans, F.X. Tracking Soil Organic Carbon and Nitrogen Under Organic Management: A Temporal Perspective. Agriculture 2025, 15, 2117. https://doi.org/10.3390/agriculture15202117
Bragg D, Romanyà J, Blanco-Moreno JM, Sans FX. Tracking Soil Organic Carbon and Nitrogen Under Organic Management: A Temporal Perspective. Agriculture. 2025; 15(20):2117. https://doi.org/10.3390/agriculture15202117
Chicago/Turabian StyleBragg, Daniel, Joan Romanyà, José M. Blanco-Moreno, and Francesc Xavier Sans. 2025. "Tracking Soil Organic Carbon and Nitrogen Under Organic Management: A Temporal Perspective" Agriculture 15, no. 20: 2117. https://doi.org/10.3390/agriculture15202117
APA StyleBragg, D., Romanyà, J., Blanco-Moreno, J. M., & Sans, F. X. (2025). Tracking Soil Organic Carbon and Nitrogen Under Organic Management: A Temporal Perspective. Agriculture, 15(20), 2117. https://doi.org/10.3390/agriculture15202117

