Can Reduced Nitrogen Application of Slow/Controlled-Release Urea Enhance Maize Yield Stability and Mitigate Nitrate/Ammonium Nitrogen Leaching in Soil in North China?
Abstract
1. Introduction
2. Materials and Methods
2.1. Site Description and Experimental Design
2.2. Sampling, Analysis Methods, and Calculation
2.3. Statistical Analysis
3. Results
3.1. Yield of Spring Maize
3.2. Nitrogen Partial Factor Productivity
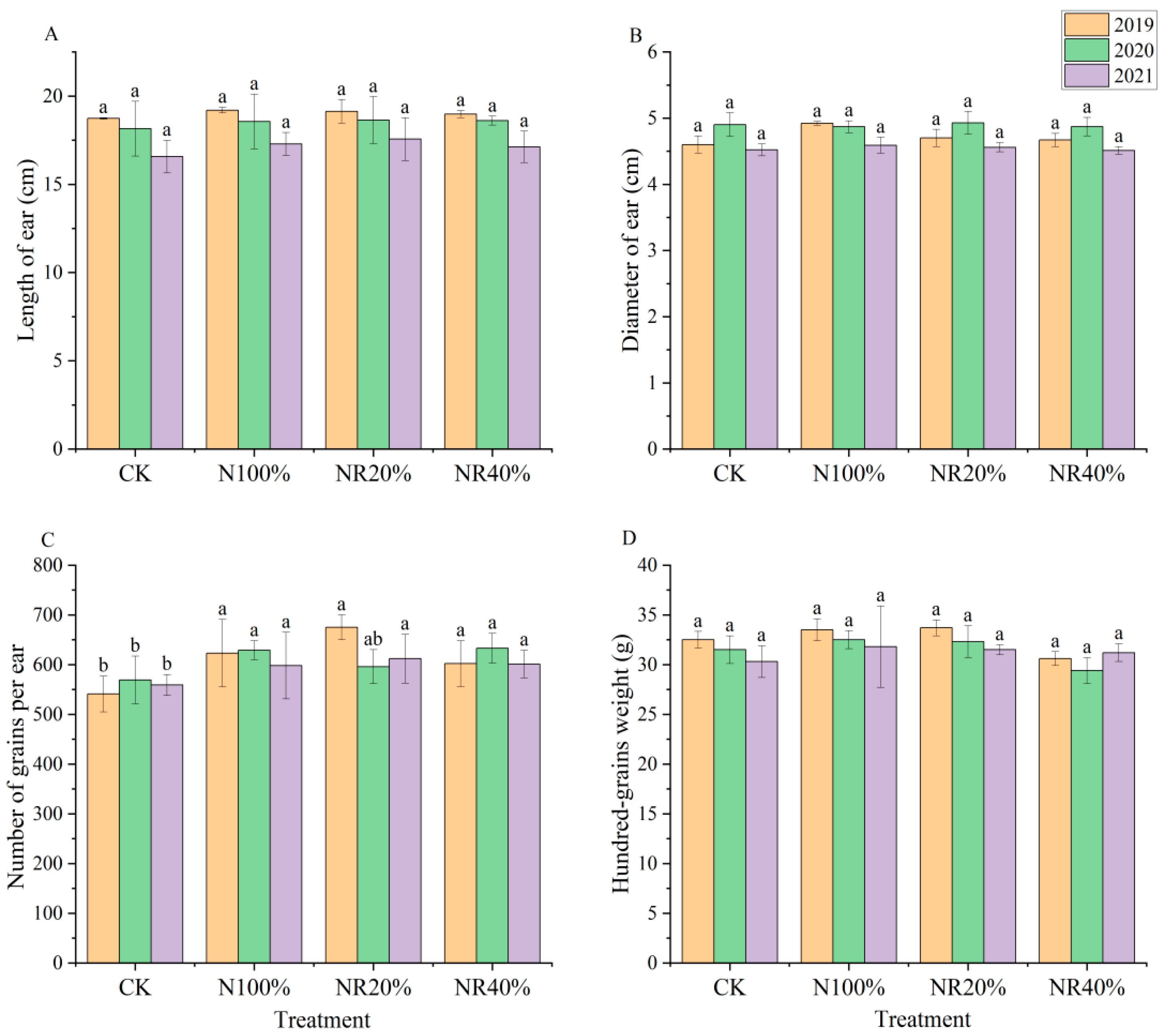
3.3. Yield Components of Spring Maize
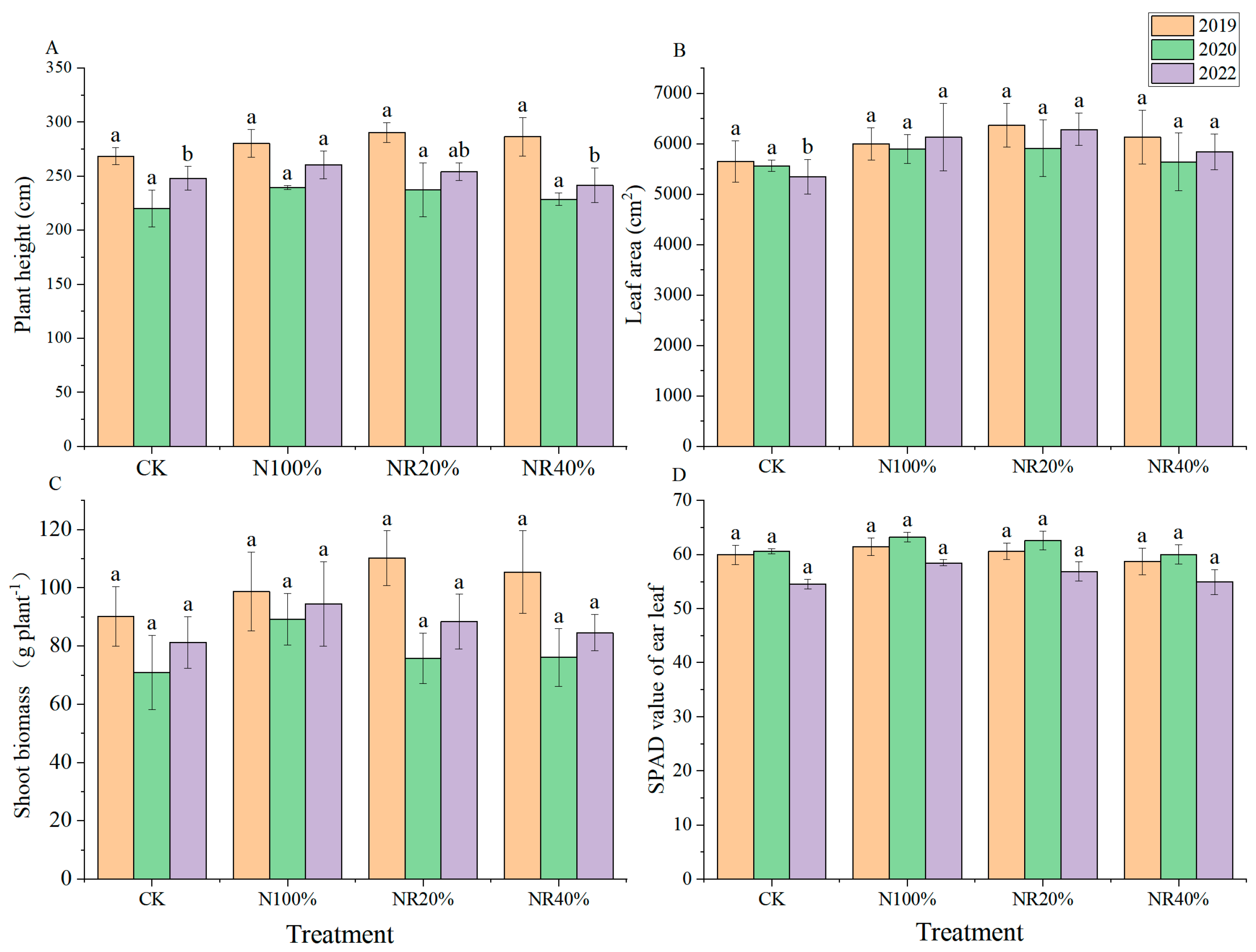
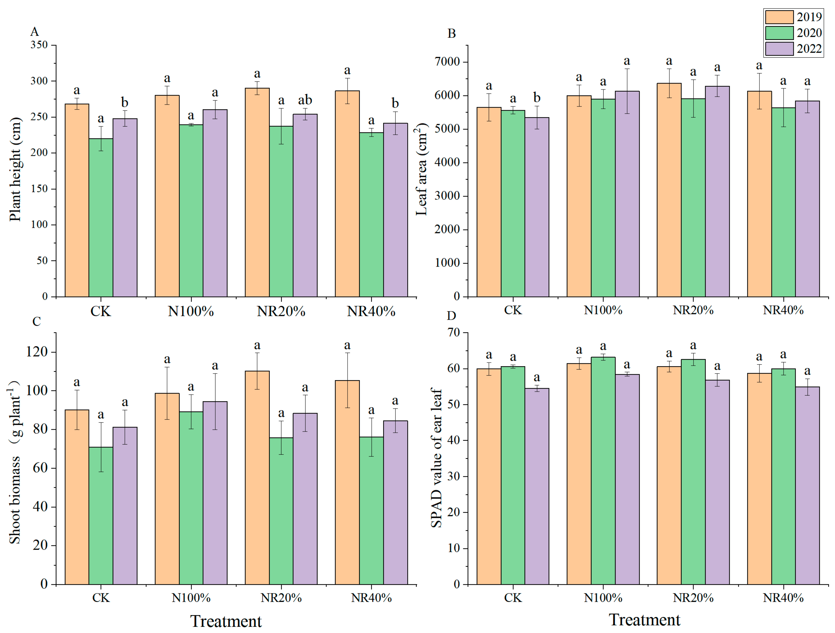
3.4. Main Agronomic Traits of Spring Maize
3.5. Soil Nitrate Nitrogen Content and Distribution
3.6. Soil Ammonium Nitrogen Content and Distribution
3.7. Interaction Between Experimental Year and Fertilization
4. Discussion
5. Conclusions
Supplementary Materials
Author Contributions
Funding
Data Availability Statement
Acknowledgments
Conflicts of Interest
Abbreviations
| N | Nitrogen |
| SCRNF | Slow/controlled-release nitrogen fertilizer |
References
- Rodríguez, S.L.; Bussel, L.G.V.; Alkemade, R. Classification of agricultural land management systems for global modeling of biodiversity and ecosystem services. Agric. Ecosyst. Environ. 2024, 360, 108795. [Google Scholar] [CrossRef]
- Davis, A.G.; Huggins, D.R.; Reganold, J.P. Linking soil health and ecological resilience to achieve agricultural sustainability. Front. Ecol. Environ. 2023, 21, 131–139. [Google Scholar] [CrossRef]
- Ye, H.; Li, H.; Wang, C.; Yang, J.; Huang, G.; Meng, X.; Zhou, Q. Degradable polyester/urea inclusion complex applied as a facile and environment-friendly strategy for slow-release fertilizer: Performance and mechanism. Chem. Eng. J. 2020, 381, 122704. [Google Scholar] [CrossRef]
- Ramli, R.A. Slow release fertilizer hydrogels: A review. Polym. Chem. 2019, 10, 6073–6090. [Google Scholar] [CrossRef]
- Zhu, Z.; Jin, J. Fertilizer use and food security in China. Plant Nutr. Fertil. Sci. 2013, 19, 259–273. [Google Scholar]
- Bailey-Serres, J.; Parker, J.E.; Ainsworth, E.A.; Oldroyd, G.E.D.; Schroeder, J.I. Genetic strategies for improving crop yields. Nature 2019, 575, 109–118. [Google Scholar] [CrossRef]
- Chen, K.E.; Chen, H.Y.; Tseng, C.S.; Tsay, Y.F. Improving nitrogen use efficiency by manipulating nitrate remobilization in plants. Nat. Plants 2020, 6, 1126–1135. [Google Scholar] [CrossRef]
- FAO. World Fertilizer Trends and Outlook to 2022; FAO: Rome, Italy, 2019.
- Govil, S.; Long, N.V.D.; Escribà-Gelonch, M.; Hessel, V. Controlled-release fertiliser: Recent developments and perspectives. Ind. Crops Prod. 2024, 219, 119160. [Google Scholar] [CrossRef]
- Cetin, M.; Cebi Kilicoglu, M.; Kocan, N. Usability of biomonitors in monitoring the change of tin concentration in the air. Environ. Sci. Pollut. Res. 2023, 30, 112357–112367. [Google Scholar] [CrossRef]
- Cetin, M.; Isik Pekkan, O.; Bilge Ozturk, G.; Cabuk, S.N.; Senyel Kurkcuoglu, M.A.; Cabuk, A. Determination of the impacts of mining activities on land cover and soil organic carbon: Altintepe gold mine case, Turkey. Water Air Soil Pollut. 2023, 234, 272. [Google Scholar] [CrossRef]
- Ju, X.T.; Zhang, C. Nitrogen cycling and environmental impacts in upland agricultural soils in North China: A review. J. Integr. Agric. 2017, 16, 2848–2862. [Google Scholar] [CrossRef]
- Guo, J.H.; Liu, X.J.; Zhang, Y.; Shen, J.L.; Han, W.X.; Zhang, W.F.; Christie, P.; Goulding, K.W.T.; Vitousek, P.M.; Zhang, F.S. Significant acidification in major Chinese croplands. Science 2010, 327, 1008–1010. [Google Scholar] [CrossRef]
- Tan, X.; Lv, Q.; Dong, G.; Zhang, Z.; Chai, D.; Zhao, M.; Zhang, W.; Li, J. Insight into the preparation and improved properties of cellulose citrate ester hydrogel slow-release fertilizer. Ind. Crops Prod. 2024, 222, 119517. [Google Scholar] [CrossRef]
- Zhang, H.; Liang, H.; Xing, L.; Ding, W.; Geng, Z.; Xu, C. Cellulose-based slow-release nitrogen fertilizers: Synthesis, properties, and effects on pakchoi growth. Int. J. Biol. Macromol. 2023, 244, 125413. [Google Scholar] [CrossRef] [PubMed]
- Sim, D.H.H.; Tan, I.A.W.; Lim, L.L.P.; Hameed, B.H. Encapsulated biochar-based sustained release fertilizer for precision agriculture: A review. J. Clean. Prod. 2021, 303, 127018. [Google Scholar] [CrossRef]
- Wang, C.; Li, H.; Shen, Y.; Du, L.; Yang, Z.; He, Z.; Liu, Y.; Zhou, C.; Li, P. Self-healing modification of bio-based polyurethane coated fertilizers with aromatic disulfide compounds to enhance the controlled release of nitrogen. Polymer 2025, 335, 128812. [Google Scholar] [CrossRef]
- Ren, W.; Li, X.; Liu, T.; Chen, N.; Xin, M.; Qi, Q.; Liu, B. Controlled-release fertilizer improved sunflower yield and nitrogen use efficiency by promoting root growth and water and nitrogen capacity. Ind. Crops Prod. 2025, 226, 120671. [Google Scholar] [CrossRef]
- Zhang, Z.; Gao, G.; Yu, J.; Zhan, R.; Yang, H.; He, Z.; Dong, B.; Fan, J.; Fang, Y.; Zeng, S.; et al. Balancing productivity and environmental sustainability in pomelo production through controlled-release fertilizer optimization. Agriculture 2025, 15, 1367. [Google Scholar] [CrossRef]
- Ding, W.; Xu, X.; He, P.; Ullah, S.; Zhang, J.; Cui, Z.; Zhou, W. Improving yield and nitrogen use efficiency through alternative fertilization options for rice in China: A meta-analysis. Field Crops Res. 2018, 227, 11–18. [Google Scholar] [CrossRef]
- Zhu, S.; Liu, L.; Xu, Y.; Yang, Y.; Shi, R. Application of controlled release urea improved grain yield and nitrogen use efficiency: A meta-analysis. PLoS ONE 2020, 15, e0241481. [Google Scholar] [CrossRef] [PubMed]
- Kassem, I.; Ablouh, E.; El Bouchtaoui, F.Z.; Jaouahar, M.; El Achaby, M. Polymer coated slow/controlled release granular fertilizers: Fundamentals and research trends. Prog. Mater. Sci. 2024, 144, 101269. [Google Scholar] [CrossRef]
- Wang, S.; Li, X.; Lu, J.; Chen, G.; Liu, B.; Xue, X.; Wei, Y. Nutrient release characteristics of controlled-release urea in water and different soils. Plant Nutr. Fertil. Sci. 2014, 20, 636–641. [Google Scholar]
- Xia, Z.; Gong, Y.; Yang, Y.; Wu, M.; Bai, J.; Zhang, S.; Lu, H. Effects of root-zone warming, nitrogen supply and their interactions on root-shoot growth, nitrogen uptake and photosynthetic physiological characteristics of maize. Plant Physiol. Biochem. 2024, 214, 108887. [Google Scholar] [CrossRef]
- Yin, M.H.; Jiang, Y.B.; Ling, Y.; Ma, Y.L.; Qi, G.P.; Kang, Y.X.; Wang, Y.Y.; Lu, Q.; Shang, Y.J.; Fan, X.R.; et al. Optimizing lucerne productivity and resource efficiency in China’s Yellow River irrigated region: Synergistic effects of ridge-film mulching and controlled-release nitrogen fertilization. Agriculture 2025, 15, 845. [Google Scholar] [CrossRef]
- Zhao, L.; Yin, W.; Chai, Q.; Li, P.; Guo, Z.; Fan, Z.; Hu, F.; Zhao, C.; Yu, A.; Wan, P.; et al. Synergistic effects of slow-release fertilizer and biochar on crop yield and soil carbon-nitrogen dynamics under reduced nitrogen input. Agric. Ecosyst. Environ. 2025, 393, 109849. [Google Scholar] [CrossRef]
- Wang, J.J.; Qian, R.; Li, J.X.; Wei, F.N.; Ma, Z.M.; Gao, S.S.; Sun, X.; Zhang, P.; Cai, T.; Zhao, X.N.; et al. Nitrogen reduction enhances crop productivity, decreases soil nitrogen loss and optimize its balance in wheat-maize cropping area of the Loess Plateau, China. Eur. J. Agron. 2024, 161, 127352. [Google Scholar] [CrossRef]
- Meng, Q.F.; Yue, S.C.; Hou, P.; Cui, Z.L.; Chen, X.P. Improving yield and nitrogen use efficiency simultaneously for maize and wheat in China: A Review. Pedosphere 2016, 26, 137–147. [Google Scholar] [CrossRef]
- Wang, C.; Luo, D.; Zhang, X.; Huang, R.; Cao, Y.; Liu, G.; Zhang, Y.; Wang, H. Biochar-based slow-release of fertilizers for sustainable agriculture: A mini review. Environ. Sci. Ecotechnol. 2022, 10, 100167. [Google Scholar] [CrossRef]
- Kang, J.; Chu, Y.; Ma, G.; Zhang, Y.; Zhang, X.; Wang, M.; Lu, H.; Wang, L.; Kang, G.; Ma, D.; et al. Physiological mechanisms underlying reduced photosynthesis in wheat leaves grown in the field under conditions of nitrogen and water deficiency. Crops J. 2023, 11, 638–650. [Google Scholar] [CrossRef]
- Lopez, G.; Ahmadi, S.H.; Amelung, W.; Athmann, M.; Gocke, M.I.; Postma, J.; Rachmilevitch, S.; Schaaf, G.; Schnepf, A.; Stoschus, A.; et al. Nutrient deficiency effects on root architecture and root-to-shoot ratio in arable crops. Front. Plant Sci. 2023, 13, 1067498. [Google Scholar] [CrossRef] [PubMed]
- Vitousek, P.M.; Naylor, R.; Crews, T.; David, M.B.; Drinkwater, L.E.; Holland, E.; Johnes, P.J.; Katzenberger, J.; Martinelli, L.A.; Matson, P.A.; et al. Nutrient imbalances in agricultural development. Science 2009, 324, 1519–1520. [Google Scholar] [CrossRef] [PubMed]
- Mustafa, A.; Athar, F.; Khan, I.; Chattha, M.U.; Nawaz, M.; Shah, A.N.; Mahmood, A.; Batool, M.; Aslam, M.T.; Jaremko, M.; et al. Improving crop productivity and nitrogen use efficiency using sulfur and zinc-coated urea: A review. Front. Plant Sci. 2022, 13, 942384. [Google Scholar] [CrossRef]
- Albornoz, F. Crop responses to nitrogen overfertilization: A review. Sci. Hortic. 2016, 205, 79–83. [Google Scholar] [CrossRef]
- Hassan, M.U.; Huang, G.Q.; Arif, M.S.; Mubarik, M.S.; Tang, H.Y.; Xu, H.F.; Yang, B.J.; Zhou, Q.; Shakoor, A. Can urea-coated fertilizers be an effective means of reducing greenhouse gas emissions and improving crop productivity? J. Environ. Manag. 2024, 67, 121927. [Google Scholar] [CrossRef]
- Moises, C.; Andrade, F.H.; Monzon, J.P.; Calvo, N.I.R.; Cerrudo, A. Nitrogen deficiency in maize fields of the Southern Pampas does not affect kernel number but reduces weight per kernel. Field Crops Res. 2024, 312, 109394. [Google Scholar] [CrossRef]
- Wang, P.F.; Yu, A.Z.; Li, Y.; Wang, Y.L.; Lyu, H.; Wang, F.; Shang, Y.P.; Yang, X.H.; Chai, Q. Reducing nitrogen application by 20% under the condition of multiple cropping using green manure after wheat harvesting can mitigate carbon emission without sacrificing maize yield in arid areas. Field Crops Res. 2024, 306, 109232. [Google Scholar] [CrossRef]
- Dimkpa, C.O.; Fugice, J.; Singh, U.; Lewis, T.D. Development of fertilizers for enhanced nitrogen use efficiency-Trends and perspectives. Sci. Total Environ. 2020, 731, 139113. [Google Scholar] [CrossRef] [PubMed]




| Treatment | Yield (kg hm−2) | Yield Increase (kg hm−2) | ||||
|---|---|---|---|---|---|---|
| 2019 | 2020 | 2021 | 2019 | 2020 | 2021 | |
| CK | 8976.5 ± 100.4 a | 9931.0 ± 162.6 a | 7621.2 ±106.6 a | -- | -- | -- |
| N100% | 9224.0 ± 52.8 a | 10,348.0 ± 75.1 a | 8407.7 ± 96.0 a | 247.5 ± 41.5 b | 417.0 ± 28.9 b | 786.5 ± 26.1 a |
| NR20% | 9384.5 ± 76.6 a | 10,807.1 ± 113.7 a | 8515.6 ± 65.9 a | 408.0 ± 65.6 a | 876.0 ± 30.1 a | 894.4 ± 50.1 a |
| NR40% | 9572.1 ± 64.3 a | 10,457.5 ± 90.8 a | 8018.4 ± 48.0 a | 595.6 ± 42.4 a | 526.5 ± 10.2 a | 397.2 ± 19.7 b |
| Treatment | Increased Yield per 1 kg Fertilizer N (kg kg−1) | N Partial Factor Productivity (kg kg−1) | Increase of N Partial Factor Productivity (%) | ||||||
|---|---|---|---|---|---|---|---|---|---|
| 2019 | 2020 | 2021 | 2019 | 2020 | 2021 | 2019 | 2020 | 2021 | |
| CK | -- | -- | -- | 37.4 ± 1.0 b | 41.4 ± 0.7 b | 31.8± 0.5 b | -- | -- | -- |
| N100% | 1.0 ± 0.06 c | 1.7 ± 0.09 b | 3.3 ± 0.15 b | 38.4 ± 0.8 b | 43.1 ± 0.3 b | 35.0 ± 0.4 b | 2.7 | 4.1 | 10.1 |
| NR20% | 2.1 ± 0.30 b | 4.6 ± 0.11 a | 4.7 ± 0.80 a | 48.9 ± 0.4 a | 56.3 ± 0.6 a | 44.4 ± 0.4 a | 30.7 | 36.0 | 39.6 |
| NR40% | 4.1 ± 0.31 a | 3.7 ± 0.09 a | 2.8 ± 0.10 b | 66.5 ± 0.1 a | 72.6 ± 0.6 a | 55.7± 0.3 a | 77.8 | 75.4 | 75.2 |
| Variable | Year (Y) | Treatment (T) | Y × T |
|---|---|---|---|
| Yield | ** | * | * |
| Length of Ear | * | NS | NS |
| Diameter of Ear | * | * | * |
| Number of Grains per Ear | * | ** | ** |
| Hundred-Grains Weight | ** | ** | NS |
| Plant Height | ** | ** | * |
| Leaf Area | ** | ** | ** |
| Shoot Biomass | ** | ** | ** |
| SPAD | ** | ** | NS |
| Nitrate Nitrogen Content | * | ** | * |
| Ammonium Nitrogen Content | * | ** | * |
Disclaimer/Publisher’s Note: The statements, opinions and data contained in all publications are solely those of the individual author(s) and contributor(s) and not of MDPI and/or the editor(s). MDPI and/or the editor(s) disclaim responsibility for any injury to people or property resulting from any ideas, methods, instructions or products referred to in the content. |
© 2025 by the authors. Licensee MDPI, Basel, Switzerland. This article is an open access article distributed under the terms and conditions of the Creative Commons Attribution (CC BY) license (https://creativecommons.org/licenses/by/4.0/).
Share and Cite
Zhao, C.; Ye, M.; Li, N.; Huang, X.; Wang, J. Can Reduced Nitrogen Application of Slow/Controlled-Release Urea Enhance Maize Yield Stability and Mitigate Nitrate/Ammonium Nitrogen Leaching in Soil in North China? Agriculture 2025, 15, 2045. https://doi.org/10.3390/agriculture15192045
Zhao C, Ye M, Li N, Huang X, Wang J. Can Reduced Nitrogen Application of Slow/Controlled-Release Urea Enhance Maize Yield Stability and Mitigate Nitrate/Ammonium Nitrogen Leaching in Soil in North China? Agriculture. 2025; 15(19):2045. https://doi.org/10.3390/agriculture15192045
Chicago/Turabian StyleZhao, Cong, Meihua Ye, Nana Li, Xuefang Huang, and Juanling Wang. 2025. "Can Reduced Nitrogen Application of Slow/Controlled-Release Urea Enhance Maize Yield Stability and Mitigate Nitrate/Ammonium Nitrogen Leaching in Soil in North China?" Agriculture 15, no. 19: 2045. https://doi.org/10.3390/agriculture15192045
APA StyleZhao, C., Ye, M., Li, N., Huang, X., & Wang, J. (2025). Can Reduced Nitrogen Application of Slow/Controlled-Release Urea Enhance Maize Yield Stability and Mitigate Nitrate/Ammonium Nitrogen Leaching in Soil in North China? Agriculture, 15(19), 2045. https://doi.org/10.3390/agriculture15192045

